Force Prediction and Material Removal Mechanism Analysis of Milling SiCp/2009Al
Abstract
1. Introduction
2. Experimental Conditions
2.1. Milling Experiments
2.2. Experimental Design
3. SiCp/Al Milling Force Analysis
3.1. Experiment Results
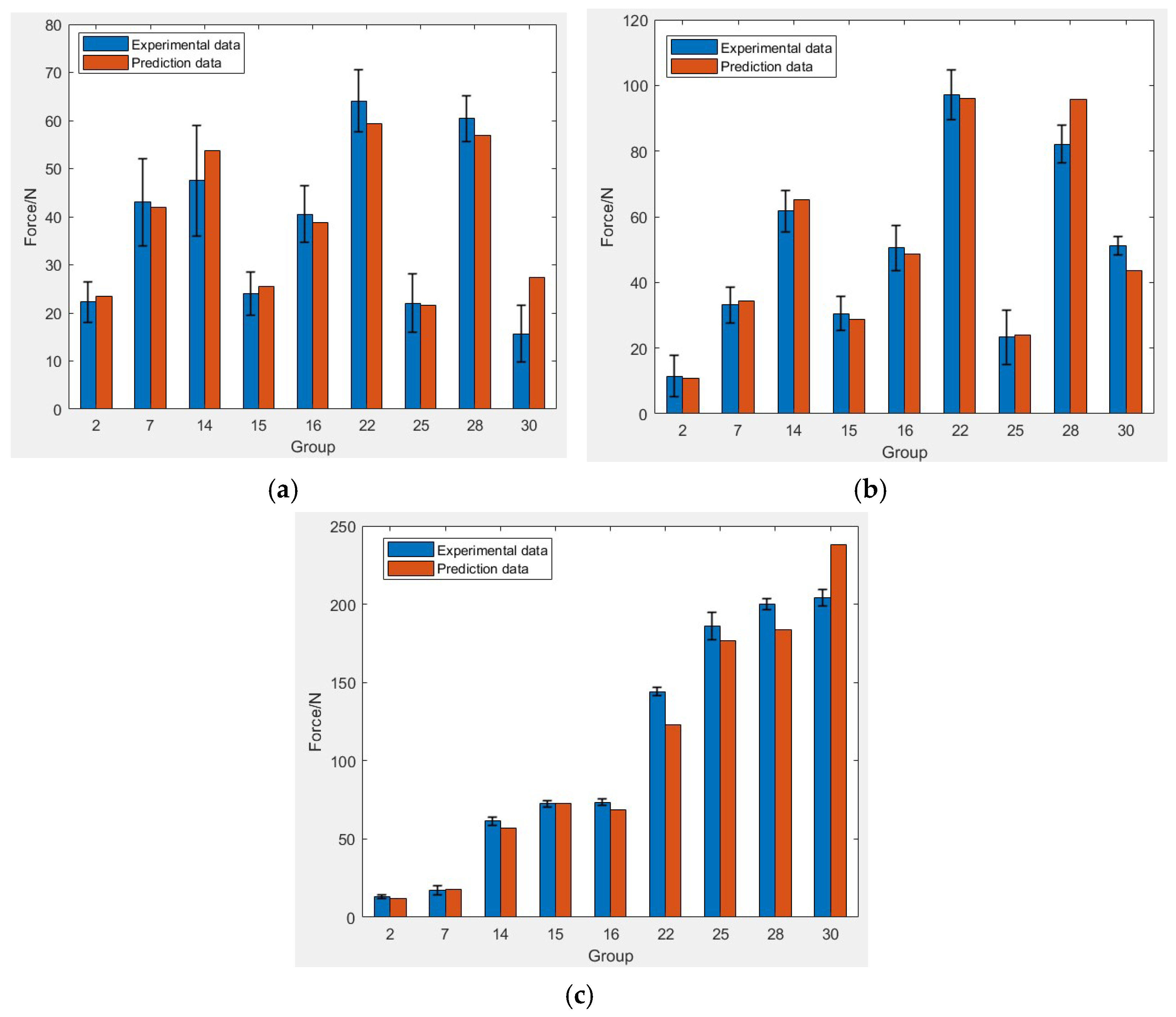
3.2. Force Prediction Model Establishment and Verification
3.3. Sensitivity Analysis
4. Removal Mechanism of SiCp/Al Composites
4.1. Removal Form of Aluminum Matrix
4.2. Removal Form of SiC Particles
4.3. Influence of Milling Parameters on the Form of Material Removal
5. Conclusions
- (1).
- From the milling experiments results, it was found that milling speed, feed rate, and milling depth had a significant impact on milling forces, respectively. Due to the particularity of SiCp/Al composites, the milling force increases with increasing speed in the milling process. The milling force increases with increasing feed rate and milling depth. From the above discussion, it was found that the milling force is affected by milling speed > feed rate > milling depth.
- (2).
- Through orthogonal experiments, the relevant parameters of the milling force empirical formula are determined, and the SiCp/Al composite milling force empirical formula model is established. The average error of the x-axis milling force prediction model is 13.47%, the y-axis milling force prediction model is 6.58%, and the z-axis milling force prediction model is 7.81%. The prediction model error is small, so the empirical formula can predict the milling force well.
- (3).
- The removal mechanism of reinforced phase and aluminum matrix in SiCp/Al composites is discussed in this paper. Among them, the aluminum matrix undergoes elasto-plastic removal, while the removal of SiC particles takes the form of debonding, cutting, and crushing.
- (4).
- The effect of milling speed on the material removal form of SiCp/Al composites during high-speed milling was analyzed theoretically. Based on the dislocation theory, it was found that the higher the milling speed, the better the milling force machining quality. Furthermore, the analysis revealed that decreasing the milling depth is effective for obtaining a better surface quality though affecting the undeformed chip thickness.
Author Contributions
Funding
Data Availability Statement
Conflicts of Interest
References
- Teferi, F.; Kolhe, K.P.; Tsegaw, A.; Borena, T.; Avvari, M. The Advancement of Aluminum Metal Matrix Composite Reinforced with Silicon Carbide Particles (Al-6061/SiC). In International Conference on Advances of Science and Technology; Springer: Cham, Switzerland, 2022; pp. 326–336. [Google Scholar]
- Vargas, A.; Nguyen, T.; Liu, J. Machinability study on sic particle reinforced aluminum alloy composite (sicp/al) material with cvd diamond coated end mills. In Proceedings of the ASME 2017 International Mechanical Engineering Congress and Exposition, Tampa, FL, USA, 3–9 November 2017. [Google Scholar]
- Cui, Y.; Gao, S.; Wang, F.; Hu, Q.; Xu, C.; Xu, F. Study on the High-Speed Milling Performance of High-Volume Fraction SiCp/Al Composites. Materials 2021, 14, 4143. [Google Scholar] [CrossRef]
- Qiang, Z.; Dan, L.; Chen, G.; Xiu, Z.; Wu, G. Performance and application of SiCp/Al composites for electronic packaging. In Proceedings of the 2009 16th IEEE International Symposium on the Physical and Failure Analysis of Integrated Circuits, Suzhou, China, 6–10 July 2009; pp. 252–255. [Google Scholar]
- Gao, Q.; Guo, G.; Wang, Q. Study on micro-grinding mechanism and surface quality of high-volume fraction SiCp/Al composites. J. Mech. Sci. Technol. 2021, 35, 2885–2894. [Google Scholar] [CrossRef]
- Km, A.; Aa, A.; Hajizamani, M. Compressive strength and wear properties of SiC/Al6061 composites reinforced with high contents of SiC fabricated by pressure-assisted infiltration. Ceram. Int. 2021, 47, 2406–2413. [Google Scholar]
- Rao, C.; Rao, Y.S.; Marimuthu, P.; Jeyapaul, R.; Chakravarthy, N.S.K.; Murugesan, P. Optimisation of Drilling Parameters of Metal Matrix Composites using Genetic Algorithm in the Taguchi Method. IOP Conf. Ser. Mater. Sci. Eng. 2021, 1126, 012035. [Google Scholar] [CrossRef]
- Pramanik, A.; Zhang, L.C.; Arsecularatne, J.A. Prediction of cutting forces in machining of metal matrix composites. Int. J. Mach. Tools Manuf. 2006, 46, 1795–1803. [Google Scholar] [CrossRef]
- Kishawy, H.A.; Kishawy, H.A.; Umer, U.; Hussein, H.M. On tool–workpiece interactions during machining metal matrix composites: Investigation of the effect of cutting speed. Int. J. Adv. Manuf. Technol. 2016, 84, 2423–2435. [Google Scholar]
- Duan, C.Z.; Che, M.F.; Sun, W.; Yin, W.D. Study of Cutting Force on High Volume Fraction SiCp/Al Composites. Modul. Mach. Tool Autom. Manuf. Tech. 2019, 2, 1–4. [Google Scholar]
- Joardar, H.; Das, N.S.; Sutradhar, G.; Singh, S. Application of response surface methodology for determining cutting force model in turning of LM6/SiCP metal matrix composite. Measurement 2014, 47, 452–464. [Google Scholar] [CrossRef]
- Huang, S.; Guo, L.; Yang, H.; Su, Y.; Xu, L. Study on characteristics in high-speed milling SiCp/Al composites with small particles and high volume fraction by adopting PCD cutters with different grain sizes. Int. J. Adv. Manuf. Technol. 2019, 102, 3563–3571. [Google Scholar] [CrossRef]
- Han, R.; Wang, D.; Liu, H. Research on the Cutting Force Properties of Machining SiCp/2024 Composites. High Technol. Technol. Lett. 2001, 7, 94–96. [Google Scholar]
- Tang, C.A.; Yang, J. Crack branching mechanism of rock-like quasi-brittle materials under dynamic stress. J. Cent. South Univ. 2012, 11, 3273–3284. [Google Scholar] [CrossRef]
- Meng, J.F.; Li, J.F.; Ge, P.Q.; Gao, W. Removal Mechanism in Wire-Sawing of Hard-Brittle Material. Mater. Sci. Forum 2004, 471–472, 192–195. [Google Scholar] [CrossRef]
- Ding, X.; Liew, W.Y.; Liu, X.D. Evaluation of machining performance of MMC with PCBN and PCD tools. Wear 2005, 259, 1225–1234. [Google Scholar] [CrossRef]
- Du, J.; Ming, W.; Cao, Y.; Ma, J.; He, W.; Li, X. Particle Removal Mechanism of High Volume Fraction SiCp/Al Composites by Single Diamond Grit Tool. J. Wuhan Univ. Technol.-Mater. Sci. Ed. 2019, 34, 324–331. [Google Scholar] [CrossRef]
- Zha, H.; Feng, P.; Zhang, J.; Yu, D.; Wu, Z. Material removal mechanism in rotary ultrasonic machining of high-volume fraction SiCp/Al composites. Int. J. Adv. Manuf. Technol. 2018, 97, 2099–2109. [Google Scholar] [CrossRef]
- Ling, J.; Xin, Z.J. High-speed Milling Experiment and Surface Indefects of SiCp/Al Composites. Sci. Technol. Eng. 2015, 15, 1671–1815. [Google Scholar]
- Yan, H.; Yuhou, W.U.; Zong, Y. Research on cutting force of high speed milling marble using CVD coating tool. Manuf. Technol. Mach. Tool 2016, 3, 24–26. [Google Scholar]
- Zhou, J.L.; Huang, S.T.; Cui, Y. The Characteristic Experimental Research on the High-Speed-Cutting of Al-56%SiC_P as-cast Metal Matrix Composites. Mech. Eng. 2007, 11, 4–6. [Google Scholar]
- Daniel, T.; Gundu, D.T.; Gbashi, S. Effect of cut thickness and cutting speed on cutting forces in orthogonal cutting of mild carbon steel (cs1030). Eur. J. Mater. Sci. Eng. 2018, 3, 133–139. [Google Scholar]
- Bifano, T.G.; Dow, T.A.; Scattergood, R.O. Ductile-Regime Grinding: A New Technology for Machining Brittle Materials. J. Eng. Ind. 1991, 113, 184–189. [Google Scholar] [CrossRef]
- Sai, G.; Lu, S.X.; Zhang, B.; Fai, G. Surface integrity and material removal mechanisms in high-speed grinding of Al/SiCp metal matrix composites. Int. J. Mach. Tools Manuf. 2022, 178, 103906. [Google Scholar]









| Symbol | Physical Quantity | Numerical Value |
|---|---|---|
| Tensile strength | 560 MPa | |
| Yield strength | 380 MPa | |
| Elongation | 4–5% | |
| Hardness | 200 HBS | |
| Modulus of elasticity | 111 GPa | |
| Coefficient of thermal expansion | ||
| Density |
| Material | Modulus of Elasticity E/[MPa] | Density | Diameter D/[mm] | Cutter Tooth Number Z | |
|---|---|---|---|---|---|
| YG6X | 640,000 | 14,600 | 0.22 | 10 | 4 |
| Factors | [m/min] | [mm/min] | |
|---|---|---|---|
| Level 1 | 31.42 | 200 | 0.1 |
| Level 2 | 62.83 | 240 | 0.2 |
| Level 3 | 94.25 | 280 | 0.3 |
| Level 4 | 125.66 | 320 | 0.4 |
| Number | A | B | C | ||||
|---|---|---|---|---|---|---|---|
| 1 | A1 | B1 | C1 | 3.54 | 3.74 | 6.15 | 8.02 |
| 2 | A1 | B1 | C2 | 22.28 | 11.45 | 13.22 | 28.32 |
| 3 | A1 | B2 | C3 | 32.67 | 24.91 | 14.22 | 43.47 |
| 4 | A1 | B2 | C4 | 42.86 | 33.69 | 12.72 | 55.98 |
| 5 | A1 | B3 | C1 | 23.01 | 9.29 | 19.46 | 31.53 |
| 6 | A1 | B3 | C2 | 32.09 | 21.01 | 19.83 | 43.18 |
| 7 | A1 | B4 | C3 | 43.02 | 33.09 | 17.29 | 56.96 |
| 8 | A1 | B4 | C4 | 47.87 | 53.89 | 18.01 | 74.30 |
| 9 | A2 | B1 | C3 | 30.37 | 26.14 | 28.93 | 49.42 |
| 10 | A2 | B1 | C4 | 39.69 | 35.25 | 34.21 | 63.15 |
| 11 | A2 | B2 | C1 | 19.55 | 14.15 | 42.42 | 48.80 |
| 12 | A2 | B2 | C2 | 31.35 | 24.53 | 42.51 | 58.24 |
| 13 | A2 | B3 | C3 | 39.11 | 39.23 | 50.51 | 74.97 |
| 14 | A2 | B3 | C4 | 47.53 | 61.71 | 61.52 | 99.26 |
| 15 | A2 | B4 | C1 | 24.03 | 30.49 | 72.51 | 82.25 |
| 16 | A2 | B4 | C2 | 40.56 | 50.55 | 73.54 | 98.02 |
| 17 | A3 | B1 | C3 | 29.38 | 48.82 | 102.86 | 117.59 |
| 18 | A3 | B1 | C4 | 54.25 | 67.39 | 133.76 | 159.30 |
| 19 | A3 | B2 | C1 | 21.55 | 37.31 | 128.35 | 135.39 |
| 20 | A3 | B2 | C2 | 41.97 | 60.74 | 133.54 | 152.59 |
| 21 | A3 | B3 | C3 | 56.95 | 85.17 | 142.96 | 175.88 |
| 22 | A3 | B3 | C4 | 64.09 | 97.13 | 144.25 | 185.34 |
| 23 | A3 | B4 | C1 | 24.87 | 52.08 | 176.71 | 185.90 |
| 24 | A3 | B4 | C2 | 49.98 | 90.39 | 159.95 | 190.40 |
| 25 | A4 | B1 | C1 | 22.04 | 23.32 | 186.01 | 188.76 |
| 26 | A4 | B1 | C2 | 44.03 | 40.78 | 191.97 | 201.13 |
| 27 | A4 | B2 | C3 | 51.69 | 60.75 | 195.93 | 211.54 |
| 28 | A4 | B2 | C4 | 60.39 | 82.14 | 200.09 | 224.57 |
| 29 | A4 | B3 | C1 | 15.67 | 51.21 | 203.94 | 210.85 |
| 30 | A4 | B3 | C2 | 38.59 | 69.83 | 206.07 | 220.98 |
| 31 | A4 | B4 | C3 | 54.95 | 91.78 | 199.89 | 226.71 |
| 32 | A4 | B4 | C4 | 64.31 | 109.56 | 194.07 | 231.95 |
| K1 | K2 | K3 | K4 | |
|---|---|---|---|---|
| 341.76 | 574.11 | 1302.39 | 1716.49 | |
| f | 815.69 | 930.58 | 1041.99 | 1146.49 |
| 891.50 | 992.86 | 956.54 | 1093.85 | |
| Degree of influence | > f > | |||
| Optimal combination | = 125.66, f = 320, = 0.4 | |||
Publisher’s Note: MDPI stays neutral with regard to jurisdictional claims in published maps and institutional affiliations. |
© 2022 by the authors. Licensee MDPI, Basel, Switzerland. This article is an open access article distributed under the terms and conditions of the Creative Commons Attribution (CC BY) license (https://creativecommons.org/licenses/by/4.0/).
Share and Cite
Wang, R.; Zhao, M.; Mao, J.; Liang, S.Y. Force Prediction and Material Removal Mechanism Analysis of Milling SiCp/2009Al. Micromachines 2022, 13, 1687. https://doi.org/10.3390/mi13101687
Wang R, Zhao M, Mao J, Liang SY. Force Prediction and Material Removal Mechanism Analysis of Milling SiCp/2009Al. Micromachines. 2022; 13(10):1687. https://doi.org/10.3390/mi13101687
Chicago/Turabian StyleWang, Rong, Man Zhao, Jian Mao, and Steven Y. Liang. 2022. "Force Prediction and Material Removal Mechanism Analysis of Milling SiCp/2009Al" Micromachines 13, no. 10: 1687. https://doi.org/10.3390/mi13101687
APA StyleWang, R., Zhao, M., Mao, J., & Liang, S. Y. (2022). Force Prediction and Material Removal Mechanism Analysis of Milling SiCp/2009Al. Micromachines, 13(10), 1687. https://doi.org/10.3390/mi13101687

