Inclination Effect on the Periodic Response of a Symmetrical MEMS Gyroscope
Abstract
:1. Introduction
2. The Dynamical Model of the MEMS Gyroscope Considering the Influence of the Inclination Angle
2.1. The Dynamical Model of the MEMS Gyroscope
2.2. The Electrostatic Forces in the Driving and Sensing Directions with Inclination Effect
2.3. The Inclination Effect on the Restoring Force
2.4. The Static Pull-In Analysis in the Driving Direction
3. The Periodic Solution and Its Stability of the Gyroscope
4. The Influence of Parameters on the Response of the Gyroscope
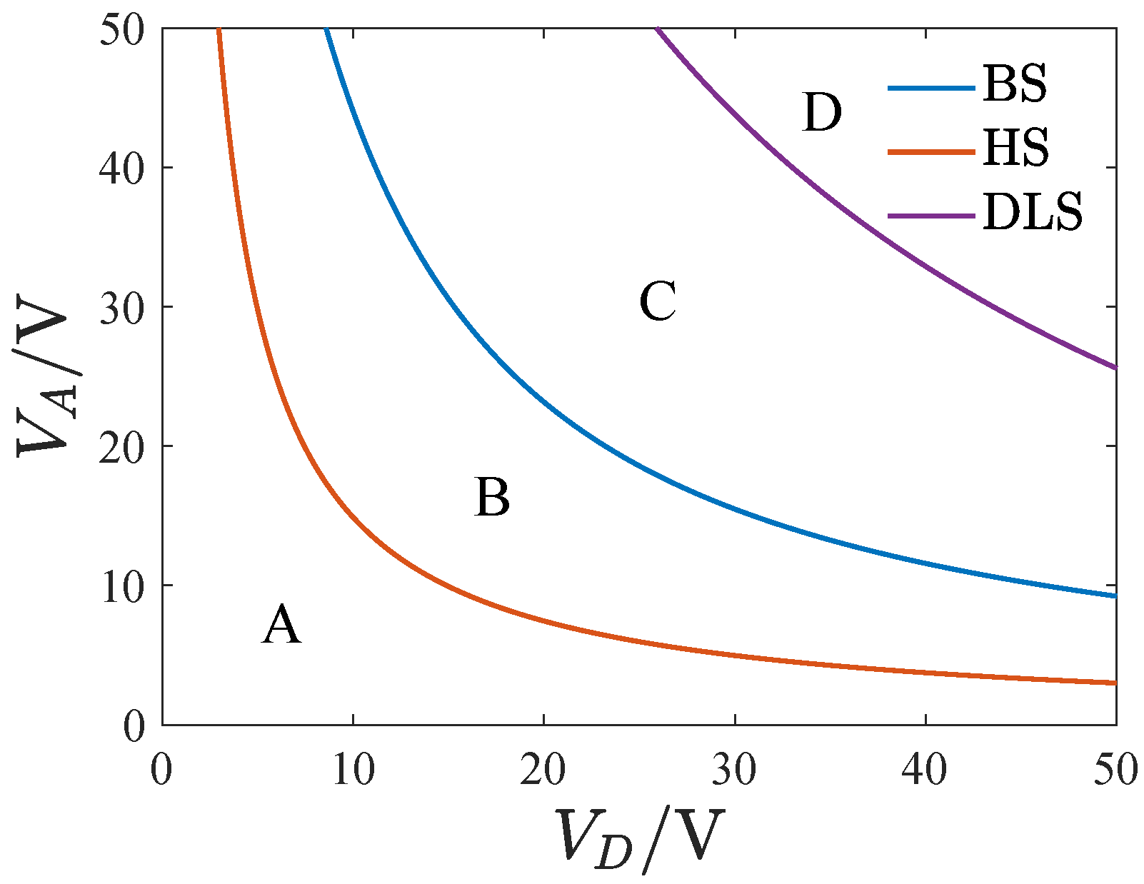
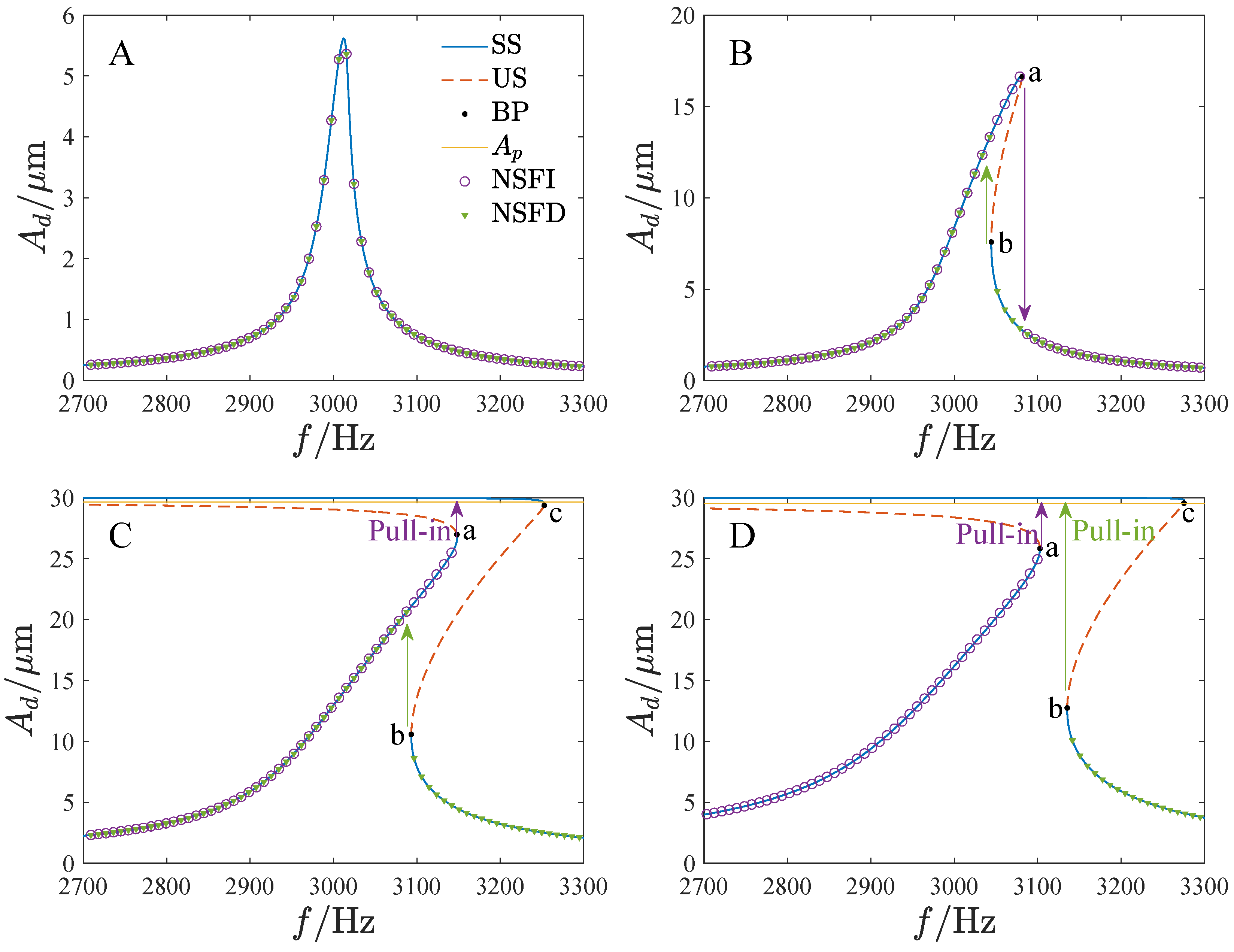
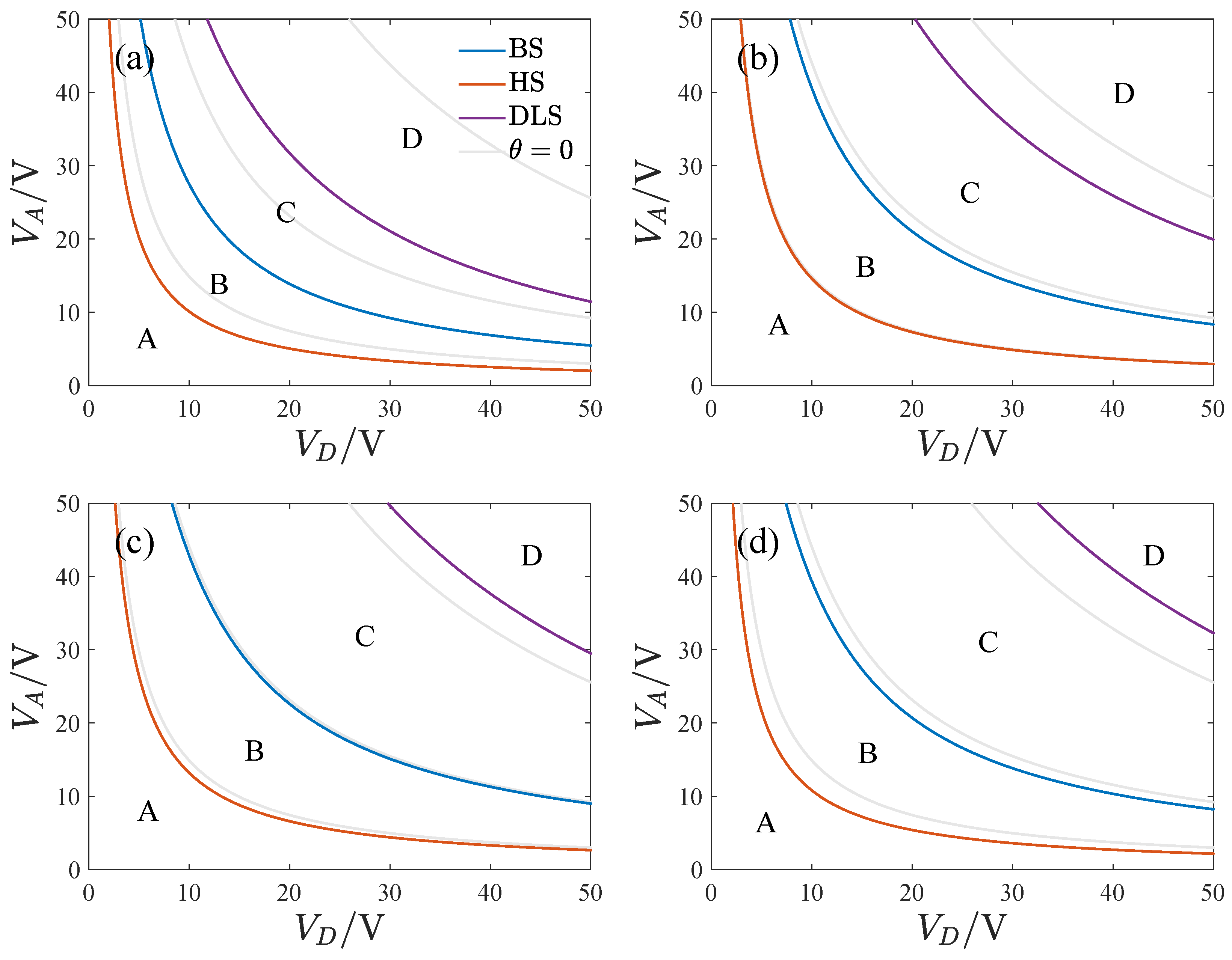
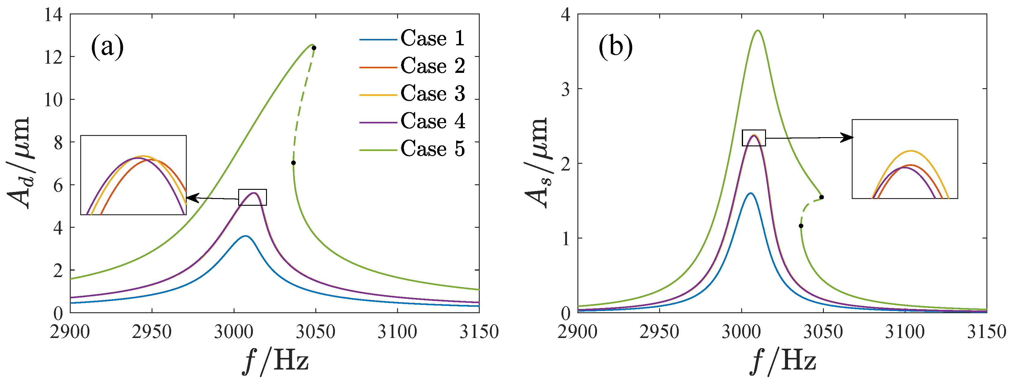
4.1. The Singularity Analysis in the Driving Direction
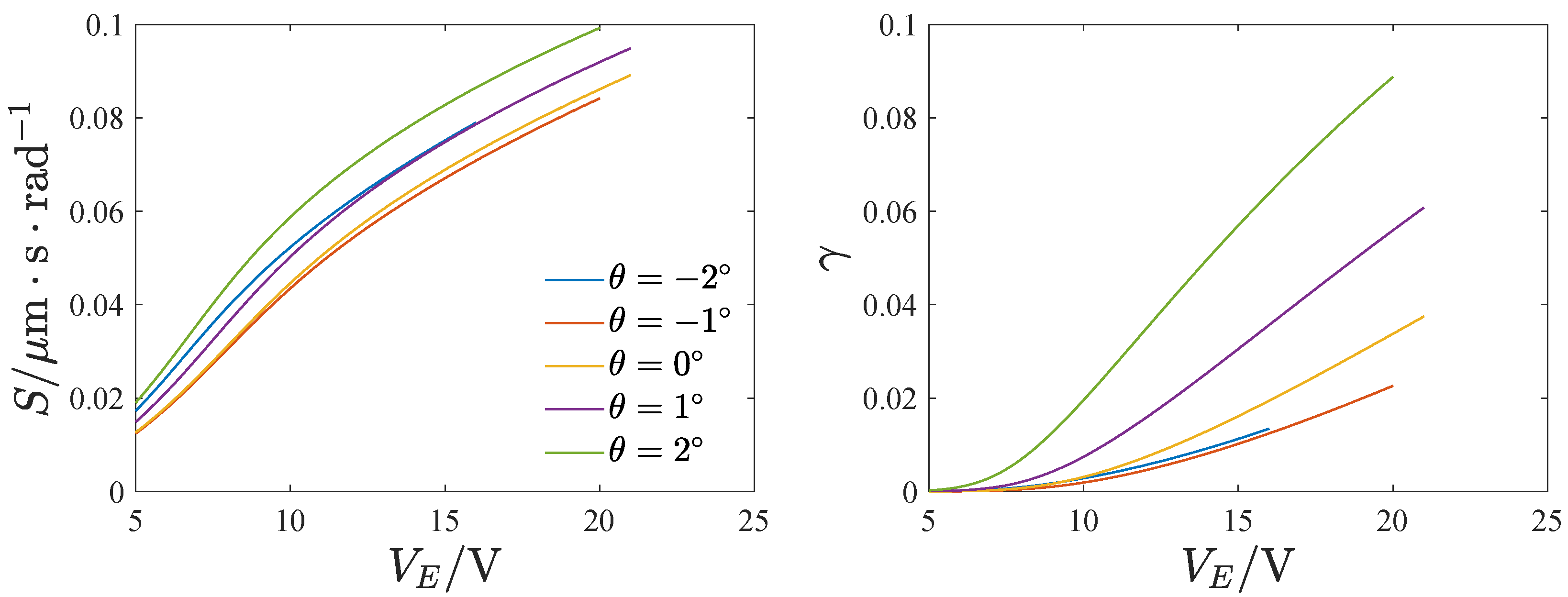
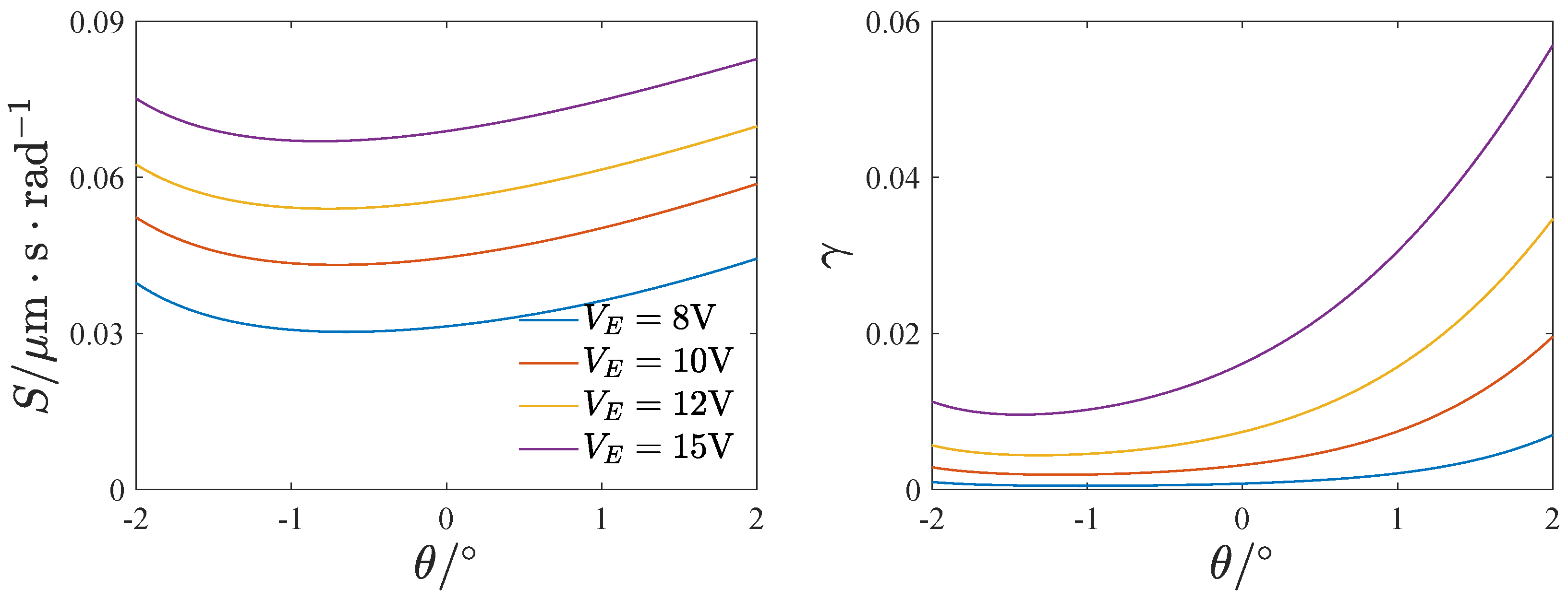
4.2. The Influence of Parameters on the Response of the System
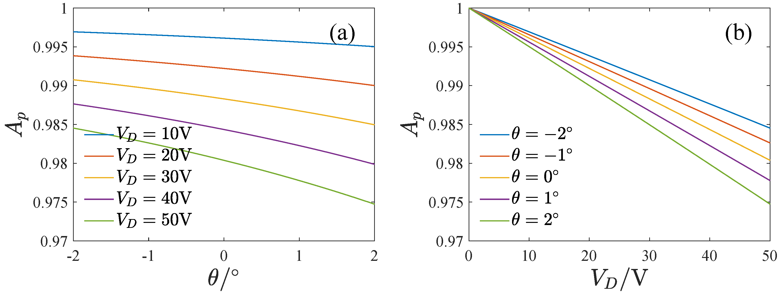
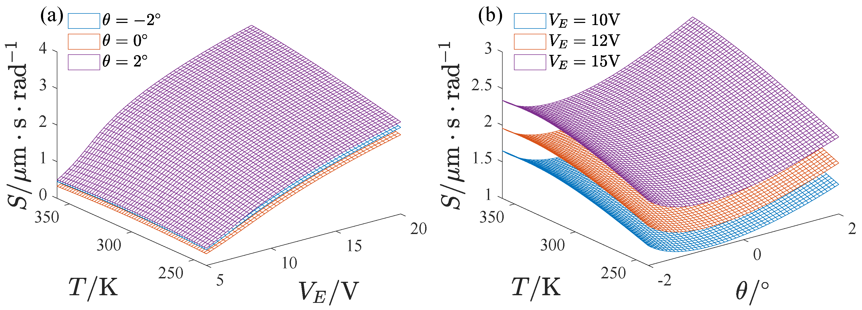
4.3. The Effect of the Environmental Temperature on the Mechanical Sensitivity
5. Conclusions
Author Contributions
Funding
Data Availability Statement
Conflicts of Interest
References
- Guo, Z.; Chen, F.; Li, B.; Cao, L.; Lu, C.; Song, K. Research development of silicon MEMS gyroscopes: A review. Microsyst. Technol. 2015, 21, 2053–2066. [Google Scholar]
- Braghin, F.; Resta, F.; Leo, E.; Spinola, G. Nonlinear dynamics of vibrating MEMS. Sens. Actuators A Phys. 2007, 134, 98–108. [Google Scholar] [CrossRef]
- Tsai, N.; Sue, C. Stability and resonance of micro-machined gyroscope under nonlinearity effect. Nonlinear Dyn. 2009, 56, 369–379. [Google Scholar] [CrossRef]
- Martynenko, Y.G.; Merkuryev, I.V.; Podalkov, V.V. Nonlinear dynamics of MEMS tuning fork gyroscope. Sci. China Technol. Sci. 2011, 54, 1078–1083. [Google Scholar] [CrossRef]
- Lajimi SA, M.; Heppler, G.R.; Abdel-Rahman, E.M. A parametric study of the nonlinear dynamics and sensitivity of a beam-rigid body microgyroscope. Commun. Nonlinear Sci. Numer. Simul. 2017, 50, 180–192. [Google Scholar] [CrossRef]
- Shang, H.; Zhang, T.; Wen, Y. Nonlinear vibration behaviors of a micro-gyroscope system actuated by a parametric excitation. J. Vib. Shock 2017, 36, 102–107. [Google Scholar]
- Hao, S.; Zhu, Y.; Song, Y.; Zhang, Q.; Feng, J.; Zhang, K. Critical Parameters and Influence on Dynamic Behaviours of Nonlinear Electrostatic Force in a Micromechanical Vibrating Gyroscope. Shock Vib. 2020, 2020, 8880124. [Google Scholar] [CrossRef]
- Liang, F.; Liang, D.; Qian, Y. Nonlinear Performance of MEMS Vibratory Ring Gyroscope. Acta Mech. Solida Sin. 2021, 34, 65–78. [Google Scholar] [CrossRef]
- Zhang, H.; Li, X.; Zhang, L. Bifurcation analysis of a micro-machined gyroscope with nonlinear stiffness and electrostatic forces. Micromachines 2021, 12, 107. [Google Scholar] [CrossRef] [PubMed]
- Tay, F.E.; Jun, X.; Liang, Y.C.; Logeeswaran, V.J.; Yufeng, Y. The effect of non-parallel plates in a differential capacitive microaccelerometer. J. Micromech. Microeng. 1999, 9, 283–293. [Google Scholar] [CrossRef]
- Dong, L.; Che, L.; Sun, L.; Wang, Y. effect of non-parallel combs on reliable operation conditions of capacitive inertial sensor for step and shock signals. Sens. Actuators A Phys. 2005, 121, 395–404. [Google Scholar] [CrossRef]
- Guo, Z.; Feng, Z.; Cao, L.; Fang, S. Theoretical and experimental study of capacitance considering fabrication process and edge effect for MEMS comb actuator. Microsyst. Technol. 2011, 17, 71–76. [Google Scholar]
- Zhong, Z.; Zhang, W.; Meng, G.; Wu, J. Inclination effect on the frequency tuning of comb-driven resonators. J. Microelectromechanical Syst. 2013, 22, 865–875. [Google Scholar] [CrossRef]
- Yan, H.; Bao, J.; Yu, Q.; Dong, L. Inclination effect on Voltage-controlled Tuning of MEMS Disk Resonator Array Composite Fabricated by Deep Reactive Ion Etching Process. Sens. Mater. 2018, 30, 2747. [Google Scholar] [CrossRef]
- Zhang, K.; Hao, S.; Song, H.; Zhang, Q.; Feng, J. Effect of comb inclination angle on dynamic performance of multi-DOF micro-gyroscope. J. Vib. Shock 2022, 41, 221–227. [Google Scholar]
- Chen, H. Fully-Symmetrical and Doubly-Decoupled Micromachined Gyroscope; Harbin Institute of Technology: Shenzhen, China, 2008. [Google Scholar]
- Li, K. Principles of Microelectromechanical Systems; John Wiley and Sons: Hoboken, NJ, USA, 2011. [Google Scholar]
- Nayfeh, A.; Mook, D.T. Nonlinear Oscillations; John Wiley and Sons: New York, NY, USA, 1995. [Google Scholar]
- Han, J.; Jin, G.; Zhang, Q.; Wang, W.; Li, B.; Qi, H.; Feng, J. Dynamic evolution of a primary resonance MEMS resonator under prebuckling pattern. Nonlinear Dyn. 2018, 93, 2357–2378. [Google Scholar] [CrossRef]
- Hou, L.; Su, X.C.; Chen, Y.S. Bifurcation modes of periodic solution in a duffing system under constant force as well as harmonic excitation. Int. J. Bifurc. Chaos 2019, 29, 1950173. [Google Scholar] [CrossRef]
- Chen, Y.; Qin, Z. Singular analysis of two-dimensional bifurcation system. Sci. China Technol. Sci. 2010, 53, 608–611. [Google Scholar] [CrossRef]
- Cao, H. Sensing mode coupling analysis for dual-mass MEMS gyroscope and bandwidth expansion within wide-temperature range. Mech. Syst. Signal Process. 2018, 98, 448–464. [Google Scholar] [CrossRef]
























| Parameters | Values |
|---|---|
| The proof mass | 0.697 mg |
| The mass of the outer frame | 0.131 mg |
| The length of internal elastic beam | |
| The length of external elastic beam | |
| The width of the elastic beams | |
| The dielectric constant | 8.85 pF |
| The structural thickness of the gyroscope h | 80 |
| The separation of the combs | 30 |
| The finger spacing d | 4 |
| The width of the fingers w | 12 |
| The length of the fingers | 80 |
| The overlap length of the fingers L | 50 |
| The number of fingers on a single side N | 200 |
| The quality factor Q | 116.95 |
| The DC voltage | 30V |
| The amplitude of the AC voltage | 10 V |
| The angular velocity being measured | 50 rad/s |
| The environmental temperature T | 300 K |
| The inclination angle | 0 |
| Case | /V | /V | Case | /V | /V | ||
|---|---|---|---|---|---|---|---|
| 1 | 5 | 30 | 0 | 6 | 5 | 50 | 2 |
| 2 | 10 | 15 | 0 | 7 | 10 | 25 | 2 |
| 3 | 0 | 8 | 2 | ||||
| 4 | 15 | 10 | 0 | 9 | 25 | 10 | 2 |
| 5 | 30 | 5 | 0 | 10 | 50 | 5 | 2 |
Publisher’s Note: MDPI stays neutral with regard to jurisdictional claims in published maps and institutional affiliations. |
© 2022 by the authors. Licensee MDPI, Basel, Switzerland. This article is an open access article distributed under the terms and conditions of the Creative Commons Attribution (CC BY) license (https://creativecommons.org/licenses/by/4.0/).
Share and Cite
Zhang, L.; Zhang, H.; Li, X.; Ji, Y. Inclination Effect on the Periodic Response of a Symmetrical MEMS Gyroscope. Micromachines 2022, 13, 1569. https://doi.org/10.3390/mi13101569
Zhang L, Zhang H, Li X, Ji Y. Inclination Effect on the Periodic Response of a Symmetrical MEMS Gyroscope. Micromachines. 2022; 13(10):1569. https://doi.org/10.3390/mi13101569
Chicago/Turabian StyleZhang, Lijuan, Huabiao Zhang, Xinye Li, and Yunxiao Ji. 2022. "Inclination Effect on the Periodic Response of a Symmetrical MEMS Gyroscope" Micromachines 13, no. 10: 1569. https://doi.org/10.3390/mi13101569
APA StyleZhang, L., Zhang, H., Li, X., & Ji, Y. (2022). Inclination Effect on the Periodic Response of a Symmetrical MEMS Gyroscope. Micromachines, 13(10), 1569. https://doi.org/10.3390/mi13101569

