Damage Effect of ALD-Al2O3 Based Metal-Oxide-Semiconductor Structures under Gamma-Ray Irradiation
Abstract
1. Introduction
2. Sample Preparation and Characterization
3. Experiment and Results
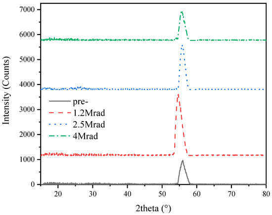
3.1. Crystallization Structure of Al2O3 Film before and after Irradiation
3.2. Chemical Structure and Band Alignment of Al2O3/Si Structure before and after Irradiation
3.2.1. Chemical Structure of the Al2O3/Si Structure before and after Irradiation
3.2.2. Band Alignment of Al2O3/Si Structure under Radiation
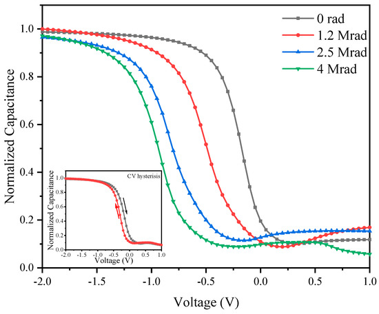
3.3. Radiation Induced Charge Trapping and Transportation in Al2O3 Based MOS Structures
4. Discussion
5. Conclusions
- (1)
- The radiation induced oxide and interface trapped charges are positive in the order of 1011 cm−2–1012 cm−2 in 14.1 nm Al2O3 and 1011 cm−2 in 4.5 nm Al2O3, which increase with the radiation total dose.
- (2)
- The radiation induced defects are oxygen vacancies in Al2O3 bulk and O dangling bonds and Al-Si metallic bonds on Al2O3/Si interface, which increase with the increase of total dose. The effective trapping efficiencies in Al2O3 film are in the range of 7% to 20% under each total dose of gamma-ray irradiation.
- (3)
- The physical structure of Al2O3 shows no obvious change after radiation, and the leakage current through Al2O3 film also changes little after radiation which is in accordance with the physical characteristic.
Funding
Data Availability Statement
Conflicts of Interest
References
- Lok, R.; Kaya, S.; Yilmaz, E. Thermal phase separation of ZrSiO4 thin films and frequency-dependent electrical characteristics of the Al/ZrSiO4/p-Si/Al MOS capacitors. Semicond. Sci. Technol. 2018, 33, 055007. [Google Scholar] [CrossRef]
- Cao, S.; Ke, X.; Ming, S. Study of γ-ray radiation influence on SiO2/HfO2/Al2O3/HfO2/Al2O3 memory capacitor by C-V and DLTS. J. Mater. Sci. Mater. Electron. 2019, 30, 11079–11085. [Google Scholar] [CrossRef]
- Zhu, W.; Ma, T.; Tamagawa, T.; Gibson, M.; Furukawa, T. Effect of Al inclusion in HfO2 on the physical and electrical properties of the dielectrics. IEEE Electron Device Lett. 2002, 23, 649–651. [Google Scholar] [CrossRef]
- Yu, H.Y.; Wu, N.; Li, M.F.; Zhu, C.; Cho, B.J.; Kwong, D.L.; Tung, C.H.; Pan, J.S.; Chai, J.W.; Wang, W.D.; et al. Thermal stability of (HfO2)(x)(Al2O3)(1-x) on Si. Appl. Phys. Lett. 2002, 81, 3618–3620. [Google Scholar] [CrossRef]
- Rafí, J.M.; Zabala, M.; Beldarrain, O.; Campabadal, F. Deposition Temperature and Thermal Annealing Effects on the Electrical Characteristics of Atomic Layer Deposited Al2O3 Films on Silicon. J. Electrochem. Soc. 2011, 158, G108–G114. [Google Scholar] [CrossRef]
- Liu, S.; Yang, S.; Tang, Z.; Jiang, Q.; Liu, C.; Wang, M.; Shen, B.; Chen, K.J. Interface/border trap characterization of Al2O3/AlN/GaN metal-oxide-semiconductor structures with an AlN interfacial layer. Appl. Phys. Lett. 2015, 106, 051605. [Google Scholar] [CrossRef]
- Hori, Y.; Yatabe, Z.; Hashizume, T. Characterization of interface states in Al2O3/AlGaN/GaN structures for improved performance of high-electron-mobility transistors. J. Appl. Phys. 2013, 114, 244503. [Google Scholar] [CrossRef]
- Ma, X.H.; Zhu, J.J.; Liao, X.Y.; Yue, T.; Chen, W.W.; Hao, Y. Quantitative characterization of interface traps in Al2O3/AlGaN/GaN metal-oxide-semiconductor high-electron-mobility transistors by dynamic capacitance dispersion technique. Appl. Phys. Lett. 2013, 103, 033510. [Google Scholar] [CrossRef]
- Petzold, S.; Sharath, S.U.; Lemke, J.; Hildebrandt, E.; Trautmann, C.; Alff, L. Heavy Ion Radiation Effects on Hafnium Oxide-Based Resistive Random Access Memory. IEEE Trans. Nucl. Sci. 2019, 66, 1715–1718. [Google Scholar] [CrossRef]
- Ogawa, K.; Nishitani, T.; Isobe, M.; Sato, M.; Yokota, M.; Hayashi, H.; Kobuchi, T.; Nishimura, T. Effects of gamma-ray irradiation on electronic and non-electronic equipment of Large Helical Device. Plasma Sci. Technol. 2017, 19, 25601. [Google Scholar] [CrossRef][Green Version]
- Chen, Z.; Dong, P.; Xie, M.; Li, Y.; Yu, X.; Ma, Y. Study of gamma-ray radiation effects on the passivation properties of atomic layer deposited Al2O3 on silicon using deep-level transient spectroscopy. J. Mater. Sci. Mater. Electron. 2018, 30, 1148–1152. [Google Scholar] [CrossRef]
- Spassov, D.; Paskaleva, A.; Davidović, V.; Djorić-Veljković, S.; Stanković, S.; Stojadinović, N.; Ivanov, T.; Stanchev, T. Impact of gamma Radiation on Charge Trapping Properties of Nanolaminated HfO2/Al2O3 ALD Stacks. In Proceedings of the 2019 IEEE 31st International Conference on Microelectronics, Nis, Serbia, 16–18 September 2019; pp. 59–62. [Google Scholar]
- Zhang, J.; Chen, X.; Wang, L.; Zheng, Z.S.; Zhu, H.P.; Li, B.; Gao, J.T.; Li, D.L.; Luo, J.J.; Han, Z.S.; et al. Studies of radiation effects in Al2O3-based metal-oxide-semiconductor structures induced by Si heavy ions. J. Appl. Phys. 2019, 125, 115701. [Google Scholar] [CrossRef]
- Chang, S.J.; Cho, K.J.; Jung, H.W.; Kim, J.J.; Jang, Y.J.; Bae, S.B.; Kim, D.S.; Bae, Y.; Yoon, H.S.; Ahn, H.K.; et al. Improvement of Proton Radiation Hardness Using ALD-Deposited Al2O3 Gate Insulator in GaN-Based MIS-HEMTs. ECS J. Solid State Sci. Technol. 2019, 8, Q245–Q248. [Google Scholar] [CrossRef]
- Felix, J.; Fleetwood, D.; Schrimpf, R.; Hong, J.; Lucovsky, G.; Schwank, J.; Shaneyfelt, M. Total-dose radiation response of hafnium-silicate capacitors. IEEE Trans. Nucl. Sci. 2002, 49, 3191–3196. [Google Scholar] [CrossRef]
- Felix, J.A.; Schwank, J.R.; Fleetwood, D.M.; Shaneyfelt, M.R.; Gusev, E.P. Effects of radiation and charge trapping on the reliability of high-kappa gate dielectrics. Microelectron. Reliab. 2004, 44, 563–575. [Google Scholar] [CrossRef]
- Benedetto, J.M.; Boesch, H.E. The Relationship between 60Co and 10-keV X-Ray Damage in MOS Devices. IEEE Trans. Nucl. Sci. 1986, 33, 1317–1323. [Google Scholar] [CrossRef]
- Sambuco Salomone, L.; Faigon, A.; Redin, E.G. Numerical Modeling of MOS dosimeters under switched bias irradiations. IEEE Trans. Nucl. Sci. 2015, 62, 1665–1673. [Google Scholar] [CrossRef]
- Dozier, C.M.; Fleetwood, D.M.; Brown, D.B.; Winokur, P.S. An evaluation of low-energy X-ray and cobalt-60 irradiations of MOS transistors. IEEE Trans. Nucl. Sci. 1987, 34, 1535–1539. [Google Scholar] [CrossRef]
- Yu, H.Y.; Li, M.F.; Cho, B.J.; Yeo, C.C.; Joo, M.S.; Kwong, D.-L.; Pan, J.S.; Ang, C.H.; Zheng, J.Z.; Ramanathan, S. Energy gap and band alignment for (HfO2)x(Al2O3)1−x on (100) Si. Appl. Phys. Lett. 2002, 81, 376–378. [Google Scholar] [CrossRef]
- Ding, M.; Cheng, Y.; Liu, X.; Li, X. Total dose response of hafnium oxide based metal-oxide- semiconductor structure under gamma-ray irradiation. IEEE Trans. Dielectr. Electr. Insul. 2014, 21, 1792–1800. [Google Scholar] [CrossRef]
- Hakala, M.H.; Foster, A.S.; Gavartin, J.L.; Havu, P.; Puska, M.J.; Nieminen, R.M. Interfacial oxide growth at silicon/high-k oxide interfaces: First principles modeling of the Si-HfO2 interface. J. Appl. Phys. 2006, 100, 043708. [Google Scholar] [CrossRef]
- Fleetwood, D. Effects of hydrogen transport and reactions on microelectronics radiation response and reliability. Microelectron. Reliab. 2002, 42, 523–541. [Google Scholar] [CrossRef]
- Ding, M. The radiation response of hafnium oxide based metal-oxide-semiconductor capacitors under 60Co gamma ray. IEEE Trans. Dielectr. Electr. Insul. 2019, 26, 10–16. [Google Scholar] [CrossRef]







| Total Dose | 14.1 nm Al2O3 (Surface) | 14.1 nm Al2O3 (Interface) | 4.5 nm Al2O3 |
|---|---|---|---|
| Pre- | 0.718 | 0.66 | 0.656 |
| 1.2Mrad | 0.725 | 0.61 | 0.657 |
| 2.5Mrad | 0.739 | 0.61 | 0.661 |
| 4Mrad | 0.754 | 0.56 | 0.661 |
Publisher’s Note: MDPI stays neutral with regard to jurisdictional claims in published maps and institutional affiliations. |
© 2021 by the author. Licensee MDPI, Basel, Switzerland. This article is an open access article distributed under the terms and conditions of the Creative Commons Attribution (CC BY) license (https://creativecommons.org/licenses/by/4.0/).
Share and Cite
Ding, M. Damage Effect of ALD-Al2O3 Based Metal-Oxide-Semiconductor Structures under Gamma-Ray Irradiation. Micromachines 2021, 12, 661. https://doi.org/10.3390/mi12060661
Ding M. Damage Effect of ALD-Al2O3 Based Metal-Oxide-Semiconductor Structures under Gamma-Ray Irradiation. Micromachines. 2021; 12(6):661. https://doi.org/10.3390/mi12060661
Chicago/Turabian StyleDing, Man. 2021. "Damage Effect of ALD-Al2O3 Based Metal-Oxide-Semiconductor Structures under Gamma-Ray Irradiation" Micromachines 12, no. 6: 661. https://doi.org/10.3390/mi12060661
APA StyleDing, M. (2021). Damage Effect of ALD-Al2O3 Based Metal-Oxide-Semiconductor Structures under Gamma-Ray Irradiation. Micromachines, 12(6), 661. https://doi.org/10.3390/mi12060661
