Positioning Accuracy in Holographic Optical Traps
Abstract
1. Introduction
2. Materials and Methods
3. Results
3.1. Trap Steering in HOT
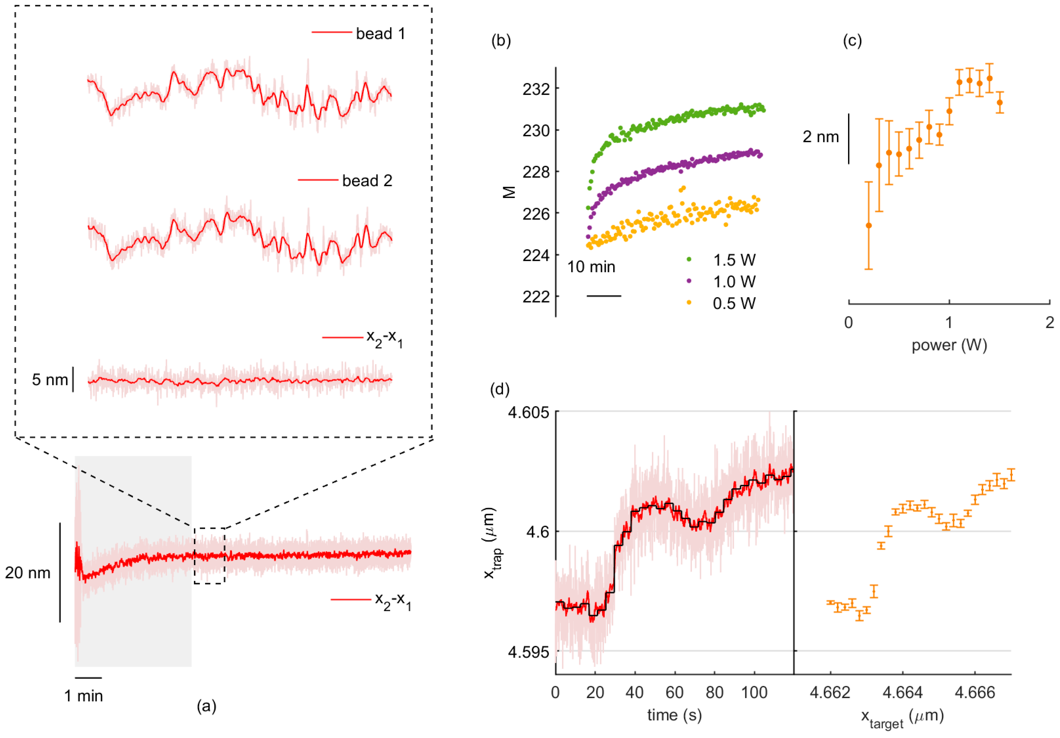
3.2. Laser Power Effects
3.3. Positioning Deviation Due to Non-Ideal LUT
3.4. Positioning Deviation Due to Phase Quantization
4. Discussion and Conclusions
Supplementary Materials
Author Contributions
Funding
Acknowledgments
Conflicts of Interest
References
- Ashkin, A.; Dziedzic, J.M.; Bjorkholm, J.E.; Chu, S. Observation of a single-beam gradient force optical trap for dielectric particles. Opt. Lett. 1986, 11, 288–290. [Google Scholar] [CrossRef]
- Grier, D.G. A revolution in optical manipulation. Nat. Cell Biol. 2003, 424, 810–816. [Google Scholar] [CrossRef]
- Visscher, K.; Gross, S.P.; Block, S.M. Construction of multiple-beam optical traps with nanometer-resolution position sensing. IEEE J. Sel. Top. Quantum Electron. 1996, 2, 1066–1076. [Google Scholar] [CrossRef]
- Bola, R.; Treptow, D.; Marzoa, A.; Montes-Usategui, M.; Martin-Badosa, E.; Sampol, R.B. Acousto-holographic optical tweezers. Opt. Lett. 2020, 45, 2938–2941. [Google Scholar] [CrossRef]
- Sasaki, K.; Koshioka, M.; Misawa, H.; Kitamura, N.; Masuhara, H. Laser-Scanning Micromanipulation and Spatial Patterning of Fine Particles. Jpn. J. Appl. Phys. 1991, 30, L907–L909. [Google Scholar] [CrossRef]
- Hayasaki, Y.; Itoh, M.; Yatagai, T.; Nishida, N. Nonmechanical Optical Manipulation of Microparticle Using Spatial Light Modulator. Opt. Rev. 1999, 6, 24–27. [Google Scholar] [CrossRef]
- Liesener, J.; Reicherter, M.; Haist, T.; Tiziani, H. Multi-functional optical tweezers using computer-generated holograms. Opt. Commun. 2000, 185, 77–82. [Google Scholar] [CrossRef]
- Schmitz, C.H.J.; Spatz, J.P.; Curtis, J.E. High-precision steering of multiple holographic optical traps. Opt. Express 2005, 13, 8678–8685. [Google Scholar] [CrossRef] [PubMed]
- Di Leonardo, R.; Ianni, F.; Ruocco, G. Computer generation of optimal holograms for optical trap arrays. Opt. Express 2007, 15, 1913–1922. [Google Scholar] [CrossRef]
- Català, F.; Marsà, F.; Montes-Usategui, M.; Farré, A.; Martín-Badosa, E. Extending calibration-free force measurements to optically trapped rod-shaped samples. Sci. Rep. 2017, 7, 42960. [Google Scholar] [CrossRef]
- López-Quesada, C.; Andilla, J.; Martín-Badosa, E. Correction of aberration in holographic optical tweezers using a Shack-Hartmann sensor. Appl. Opt. 2009, 48, 1084–1090. [Google Scholar] [CrossRef]
- Jesacher, A.; Bernet, S.; Ritsch-Marte, M.; Fürhapter, S. Size selective trapping with optical "cogwheel" tweezers. Opt. Express 2004, 12, 4129–4135. [Google Scholar] [CrossRef]
- Bezryadina, A.S.; Preece, D.C.; Chen, J.C.; Chen, Z. Optical disassembly of cellular clusters by tunable ‘tug-of-war’ tweezers. Light Sci. Appl. 2016, 5, e16158. [Google Scholar] [CrossRef]
- Horst, A.; Forde, N.R. Calibration of dynamic holographic optical tweezers for force measurements on biomaterials. Opt. Express 2008, 16, 20987–21003. [Google Scholar] [CrossRef] [PubMed]
- Morris, R.; Jones, C.; Nagaraj, M. Liquid Crystal Devices for Beam Steering Applications. Micromachines 2021, 12, 247. [Google Scholar] [CrossRef] [PubMed]
- Engström, D.; Bengtsson, J.; Eriksson, E.; Goksör, M. Improved beam steering accuracy of a single beam with a 1D phase-only spatial light modulator. Opt. Express 2008, 16, 18275–18287. [Google Scholar] [CrossRef]
- Kong, L.; Zhu, Y.; Song, Y.; Yang, J. Beam steering approach for high-precision spatial light modulators. Chin. Opt. Lett. 2010, 8, 1085–1089. [Google Scholar] [CrossRef]
- Wang, C.; Peng, Z.; Liu, Y.; Li, S.; Zhao, Z.; Chen, W.; Wang, Q.; Mu, Q. Two-dimensional symmetrical radial sub-aperture coherence and the local precision defect elimination method for high-precision beam steering. Opt. Express 2019, 27, 18751–18765. [Google Scholar] [CrossRef]
- Engström, D.; Persson, M.; Bengtsson, J.; Goksör, M. Calibration of spatial light modulators suffering from spatially varying phase response. Opt. Express 2013, 21, 16086–16103. [Google Scholar] [CrossRef]
- Zhang, Z.; Yang, H.; Robertson, B.; Redmond, M.; Pivnenko, M.; Collings, N.; Crossland, W.A.; Chu, D. Diffraction based phase compensation method for phase-only liquid crystal on silicon devices in operation. Appl. Opt. 2012, 51, 3837–3846. [Google Scholar] [CrossRef]
- Márquez, A.; Martínez-Guardiola, F.J.; Francés, J.; Neipp, C.; Ramírez, M.G.; Calzado, E.M.; Morales-Vidal, M.; Gallego, S.; Beléndez, A.; Pascual, I. Analytical modeling of blazed gratings on two-dimensional pixelated liquid crystal on silicon devices. Opt. Eng. 2020, 59, 041208. [Google Scholar] [CrossRef]
- Farré, A.; Shayegan, M.; López-Quesada, C.; Blab, G.A.; Montes-Usategui, M.; Forde, N.R.; Martín-Badosa, E. Positional stability of holographic optical traps. Opt. Express 2011, 19, 21370–21384. [Google Scholar] [CrossRef] [PubMed]
- Martín-Badosa, E.; Montes-Usategui, M.; Carnicer, A.; Andilla, J.; Pleguezuelos, E.; Juvells, I. Design strategies for optimizing holographic optical tweezers set-ups. J. Opt. A Pure Appl. Opt. 2007, 9, S267–S277. [Google Scholar] [CrossRef]
- Marsà, F.; Farré, A.; Martín-Badosa, E.; Montes-Usategui, M. Holographic optical tweezers combined with back-focal-plane displacement detection. Opt. Express 2013, 21, 30282–30294. [Google Scholar] [CrossRef]
- Català-Castro, F. Implementation of the Direct Force Measurement Method in Optical Tweezers. Ph.D. Thesis, University of Barcelona, Barcelona, Spain, 2018. [Google Scholar]
- Cao, Z.; Xuan, L.; Hu, L.; Lu, X.; Mu, Q. Temperature effect on the diffraction efficiency of the liquid crystal spatial light modulator. Opt. Commun. 2006, 267, 69–73. [Google Scholar] [CrossRef]
- Albero, J.; García-Martínez, P.; Martínez, J.L.; Moreno, I. Second order diffractive optical elements in a spatial light modulator with large phase dynamic range. Opt. Lasers Eng. 2013, 51, 111–115. [Google Scholar] [CrossRef]
- García-Márquez, J.; López, V.; González-Vega, A.; Noé, E. Flicker minimization in an LCoS spatal light modulator. Opt. Express 2012, 20, 8431–8441. [Google Scholar] [CrossRef]




Publisher’s Note: MDPI stays neutral with regard to jurisdictional claims in published maps and institutional affiliations. |
© 2021 by the authors. Licensee MDPI, Basel, Switzerland. This article is an open access article distributed under the terms and conditions of the Creative Commons Attribution (CC BY) license (https://creativecommons.org/licenses/by/4.0/).
Share and Cite
Català-Castro, F.; Martín-Badosa, E. Positioning Accuracy in Holographic Optical Traps. Micromachines 2021, 12, 559. https://doi.org/10.3390/mi12050559
Català-Castro F, Martín-Badosa E. Positioning Accuracy in Holographic Optical Traps. Micromachines. 2021; 12(5):559. https://doi.org/10.3390/mi12050559
Chicago/Turabian StyleCatalà-Castro, Frederic, and Estela Martín-Badosa. 2021. "Positioning Accuracy in Holographic Optical Traps" Micromachines 12, no. 5: 559. https://doi.org/10.3390/mi12050559
APA StyleCatalà-Castro, F., & Martín-Badosa, E. (2021). Positioning Accuracy in Holographic Optical Traps. Micromachines, 12(5), 559. https://doi.org/10.3390/mi12050559

