An Efficient Computation Offloading Strategy with Mobile Edge Computing for IoT
Abstract
1. Introduction
- We consider the heterogenous properties of MEC and the resource limitation of UEs and MEC servers. We jointly optimize the execution delay and energy consumption of applications generated by UEs.
- We consider fine-grained task computation offloading of fine-grained tasks, which have dependencies, model the user-generated mobile application as a directed acyclic graph, and make the parallel processing of tasks possible.
- In order to reduce the overhead of applications generated by UEs and improve the utilization rate of system resources, we proposed a multi-population coevolutionary elite genetic algorithm (MCE-GA) to solve resource allocation and task scheduling problem. By simulation experiments, we verify the effectiveness of the MCE-GA algorithm.
2. System and Computation Model
2.1. System Model
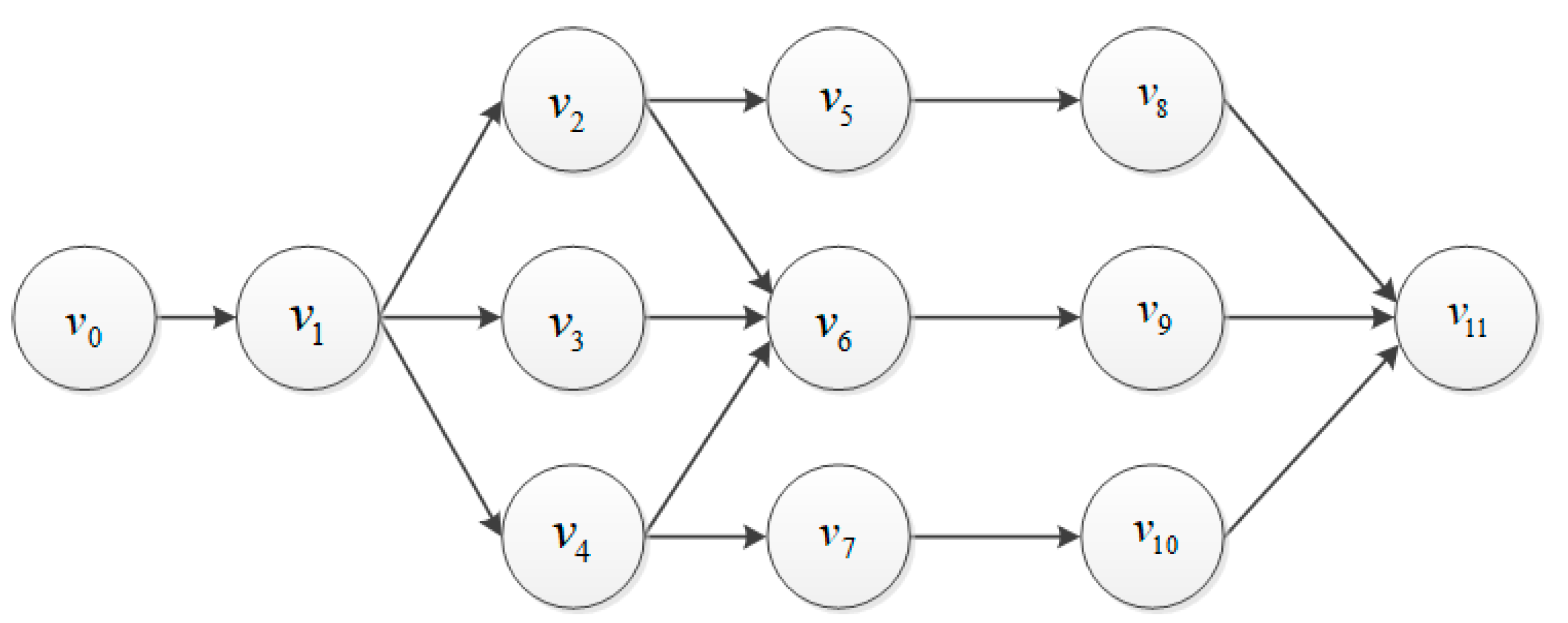
2.2. Application Model
2.3. Communication Model
2.4. Computation Model
- (1)
- Local Computation Model
- (2)
- MEC Server Computation Model
2.5. Problem Formulation
3. Proposed Algorithm
3.1. The Flow of MCE-GA
- (1)
- Chromosome and Fitness Function
- (2)
- Initialization and Selection
- (3)
- Crossover and Mutation Operation
- (4)
- Migration
- (5)
- Elite Population Selection
3.2. Offloading Strategy Based on MCE-GA
| Algorithm 1: MCE-GA |
| Inputs: Population size list , evolutionary stagnation threshold , the iterations , interval steps of migration , mutation probability list , crossover probability list |
| Outputs: Optimal offloading policy , the total overhead |
| 1: Randomly initialize the populations and Elite population |
| 2: Initialize the inputs |
| 3: For i = do |
| 4: = ; |
| 5: Evaluate the fitness value of each individual in the ; |
| 6: Update Elite population ; |
| 7: While stopping criterion is not met do |
| 8: For i = do |
| 9: offspring = Select (); |
| 10: pop = Cross and Mutate (offspring); |
| 11: = + pop; |
| 12: evaluate the fitness value of each individual in ; |
| 13: Select individuals to get a new generation of population; |
| 14: End For |
| 15: IF evolutionary algebra % do |
| 16: Carry out population migration; |
| 17: Update Elite population ; |
| 18: Return optimal offloading policy and the total overhead. |
| 19: End |
4. Simulation and Result
4.1. Simulation Setting
4.2. Convergence Analysis
4.3. Performance Analysis
5. Conclusions
Author Contributions
Funding
Acknowledgments
Conflicts of Interest
References
- Ullah, R.; Rehman, M.A.U.; Naeem, M.A.; Kim, B.-S.; Mastorakis, S. ICN with edge for 5G: Exploiting in-network caching in ICN-based edge computing for 5G networks. Futur. Gener. Comput. Syst. 2020, 111, 159–174. [Google Scholar] [CrossRef]
- Ericsson. Cellular Networks for Massive IoT—Enabling Low Power Wide Area Applications; Ericsson: Stockholm, Sweden, 2016; pp. 1–13. [Google Scholar]
- Barbarossa, S.; Ceci, E.; Merluzzi, M.; Calvanese-Strinati, E. Enabling effective Mobile Edge Computing using millimeterwave links. In Proceedings of the 2017 IEEE International Conference on Communications Workshops (ICC Workshops), Paris, France, 21–25 May 2017; pp. 367–372. [Google Scholar]
- Belli, D.; Chessa, S.; Foschini, L.; Girolami, M. A Social-Based Approach to Mobile Edge Computing. In Proceedings of the 2018 IEEE Symposium on Computers and Communications (ISCC), Natal, Brazil, 25–28 June 2018; pp. 00292–00297. [Google Scholar] [CrossRef]
- Roman, R.; Lopez, J.; Mambo, M. Mobile edge computing, Fog et al.: A survey and analysis of security threats and challenges. Futur. Gener. Comput. Syst. 2018, 78, 680–698. [Google Scholar] [CrossRef]
- Wu, Q.; Chen, X.; Zhou, Z.; Chen, L. Mobile Social Data Learning for User-Centric Location Prediction with Application in Mobile Edge Service Migration. IEEE IoT J. 2019, 6, 7737–7747. [Google Scholar] [CrossRef]
- Yangchen, C.; Guosheng, Z.; Xiaoyun, Q.; Jie, Z. Research on cloud vr based on 5g edge computing. Inf. Commun. 2019, 33, 1–3. [Google Scholar]
- Li, Y.; Frangoudis, P.A.; Hadjadj-Aoul, Y.; Bertin, P. A mobile edge computing-based architecture for im-proved adaptive HTTP video delivery. In Proceedings of the 2016 IEEE Conference on Standards for Communications and Networking (CSCN), Berlin, Germany, 31 October–2 November 2016; pp. 1–6. [Google Scholar]
- Li, L.; Li, Y.; Hou, R. A Novel Mobile Edge Computing-Based Architecture for Future Cellular Vehicular Networks. In Proceedings of the 2017 IEEE Wireless Communications and Networking Conference (WCNC), San Francisco, CA, USA, 19–22 March 2017; pp. 1–6. [Google Scholar]
- Datta, S.K.; Bonnet, C.; Haerri, J. Fog Computing architecture to enable consumer centric Internet of Things services. In Proceedings of the 2015 International Symposium on Consumer Electronics (ISCE), Madrid, Spain, 24–26 June 2015; pp. 1–2. [Google Scholar]
- Qiu, X.; Liu, L.; Chen, W.; Hong, Z.; Zheng, Z. Online Deep Reinforcement Learning for Computation Offloading in Blockchain-Empowered Mobile Edge Computing. IEEE Trans. Veh. Technol. 2019, 68, 8050–8062. [Google Scholar] [CrossRef]
- Luong, N.C.; Xiong, Z.; Wang, P.; Niyato, D. Optimal Auction for Edge Computing Resource Management in Mobile Blockchain Networks: A Deep Learning Approach. In Proceedings of the 2018 IEEE International Conference on Communications (ICC), Kansas City, MO, USA, 20–24 May 2018; pp. 1–6. [Google Scholar]
- Kang, J.; Yu, R.; Huang, X.; Wu, M.; Maharjan, S.; Xie, S.; Zhang, Y. Blockchain for Secure and Efficient Data Sharing in Vehicular Edge Computing and Networks. IEEE IoT J. 2018, 6, 4660–4670. [Google Scholar] [CrossRef]
- Ullah, R.; Rehman, M.A.U.; Kim, B.-S. Design and Implementation of an Open Source Framework and Prototype For Named Data Networking-Based Edge Cloud Computing System. IEEE Access 2019, 7, 57741–57759. [Google Scholar] [CrossRef]
- Sonkoly, B.; Haja, D.; Németh, B.; Szalay, M.; Czentye, J.; Szabó, R.; Ullah, R.; Kim, B.-S.; Toka, L. Scalable edge cloud platforms for IoT services. J. Netw. Comput. Appl. 2020, 170, 102785. [Google Scholar] [CrossRef]
- Yang, L.; Zhang, H.; Li, M.; Guo, J.; Ji, H. Mobile Edge Computing Empowered Energy Efficient Task Offloading in 5G. IEEE Trans. Veh. Technol. 2018, 67, 6398–6409. [Google Scholar] [CrossRef]
- Zhang, J.; Hu, X.; Ning, Z.; Ngai, E.C.-H.; Zhou, L.; Wei, J.; Cheng, J.; Hu, B. Energy-Latency Tradeoff for Energy-Aware Offloading in Mobile Edge Computing Networks. IEEE IoT J. 2017, 5, 2633–2645. [Google Scholar] [CrossRef]
- Tong, Z.; Deng, X.; Ye, F.; Basodi, S.; Xiao, X.; Pan, Y. Adaptive computation offloading and resource allocation strategy in a mobile edge computing environment. Inf. Sci. 2020, 537, 116–131. [Google Scholar] [CrossRef]
- Zhang, H.; Guo, J.; Yang, L.; Li, X.; Ji, H. Computation offloading considering fronthaul and backhaul in small-cell networks integrated with MEC. In Proceedings of the 2017 IEEE Conference on Computer Communications Workshops (INFOCOM WKSHPS), Atlanta, GA, USA, 1–4 May 2017; pp. 115–120. [Google Scholar]
- Xu, J.; Li, X.; Ding, R.; Liu, X. Energy efficient multi-resource computation offloading strategy in mobile edge com-puting. CIMS 2019, 25, 954–961. [Google Scholar]
- Xing, Z.; Jianhua, P.; Wei, Y. A Privacy-aware Computation Offloading Method Based on Lyapunov Optimization. J. Electron. Inf. Technol. 2020, 42, 704–711. [Google Scholar]
- Liu, L.; Liu, X.; Zeng, S.; Wang, T.; Pang, R. Research on virtual machines migration strategy based on mobile user mobility in mobile edge computing. J. Chongqing Univ. Posts Telecommun. 2019, 31, 158–165. [Google Scholar]
- Ding, Y.; Liu, C.; Zhou, X.; Liu, Z.; Tang, Z. A Code-Oriented Partitioning Computation Offloading Strategy for Multiple Users and Multiple Mobile Edge Computing Servers. IEEE Trans. Ind. Inform. 2019, 16, 4800–4810. [Google Scholar] [CrossRef]
- Qiuping, L.; Junhui, Z.; Yi, G. Computation offloading and resource management scheme in mobile edge computing. Telecommun. Sci. 2019, 35, 36. [Google Scholar]
- Sklar, B. Rayleigh fading channels in mobile digital communication systems. I. Characterization. IEEE Commun. Mag. 1997, 35, 136–146. [Google Scholar] [CrossRef]
- Zhang, W.; Wen, Y.; Guan, K.; Kilper, D.; Luo, H.; Wu, D.O. Energy-optimal mobile cloud computing under sto-chastic wireless channel. IEEE Trans. Wirel. Commun. 2013, 12, 4569–4581. [Google Scholar] [CrossRef]
- Wallenius, J.; Dyer, J.S.; Fishburn, P.C.; Steuer, R.E.; Zionts, S.; Deb, K. Multiple criteria decision making, multiat-tribute utility theory: Recent accomplishments and what lies ahead. Manag. Sci. 2008, 54, 1336–1349. [Google Scholar] [CrossRef]
- Lazar, E.; Petreus, D.; Etz, R.; Patarau, T. Minimization of operational cost for an Islanded Microgrid using a real coded Genetic Algorithm and a Mixed Integer linear Programming method. In Proceedings of the 2017 International Conference on Optimization of Electrical and Electronic Equipment (OPTIM) & 2017 Intl Aegean Conference on Electrical Machines and Power Electronics (ACEMP), Fundata, Romania, 25–27 May 2017; pp. 693–698. [Google Scholar]
- Guo, F.; Zhang, H.; Ji, H.; Li, X.; Leung, V.C.M. An Efficient Computation Offloading Management Scheme in the Densely Deployed Small Cell Networks with Mobile Edge Computing. IEEE/ACM Trans. Netw. 2018, 26, 2651–2664. [Google Scholar] [CrossRef]
- Rudolph, G. Convergence analysis of canonical genetic algorithms. IEEE Trans. Neural Netw. 1994, 5, 96–101. [Google Scholar] [CrossRef] [PubMed]
- Bhandari, D.; Murthy, C.A.; Pal, S.K. Genetic algorithm with elitist model and its convergence. Int. J. Pattern Recognit. Artif. Intell. 1996, 10, 731–747. [Google Scholar] [CrossRef]










| Symbol | Description |
|---|---|
| User equipment | |
| MEC servers | |
| Computing capacity of | |
| Computing capacity of | |
| Application generated by | |
| Task of Application | |
| Workload of | |
| Data size of | |
| The ratio of the output/input data size | |
| Maximum delay a task can tolerate | |
| Transmission bandwidth | |
| Background noise | |
| The transmission power of | |
| The distance between and | |
| The distance of MEC servers | |
| The channel gain | |
| The coefficient factor of chip architecture | |
| The channel fading coefficient |
| Simulation Parameters | Value |
|---|---|
| Channel bandwidth | 180 kHz |
| Path loss exponent | 3 |
| Background noise | |
| Number of tasks | 61,223 |
| Data size of tasks | 300~1000 kb |
| Transmission power of UE | 3 W |
| Computation capacity of MEC server | 5 GHz |
| Computation capacity of UE | 0.5–1 GHz |
| Channel fading coefficient | |
| Tradeoff parameter β | 0.5 |
| Processing density of UE | 500~800 cycle/bit |
| Distance between UE and MEC server | 80~100 m |
| Distance of MEC servers | 50~100 m |
| Coefficient factor of device’s chip architecture | |
| Number of MECs | 3–7 |
| Ratio of the output data size to the input data size | 0.001~0.005 |
| Interval steps of population migration | 5 |
| Size of the populations | 10,152,025 |
Publisher’s Note: MDPI stays neutral with regard to jurisdictional claims in published maps and institutional affiliations. |
© 2021 by the authors. Licensee MDPI, Basel, Switzerland. This article is an open access article distributed under the terms and conditions of the Creative Commons Attribution (CC BY) license (http://creativecommons.org/licenses/by/4.0/).
Share and Cite
Fang, J.; Shi, J.; Lu, S.; Zhang, M.; Ye, Z. An Efficient Computation Offloading Strategy with Mobile Edge Computing for IoT. Micromachines 2021, 12, 204. https://doi.org/10.3390/mi12020204
Fang J, Shi J, Lu S, Zhang M, Ye Z. An Efficient Computation Offloading Strategy with Mobile Edge Computing for IoT. Micromachines. 2021; 12(2):204. https://doi.org/10.3390/mi12020204
Chicago/Turabian StyleFang, Juan, Jiamei Shi, Shuaibing Lu, Mengyuan Zhang, and Zhiyuan Ye. 2021. "An Efficient Computation Offloading Strategy with Mobile Edge Computing for IoT" Micromachines 12, no. 2: 204. https://doi.org/10.3390/mi12020204
APA StyleFang, J., Shi, J., Lu, S., Zhang, M., & Ye, Z. (2021). An Efficient Computation Offloading Strategy with Mobile Edge Computing for IoT. Micromachines, 12(2), 204. https://doi.org/10.3390/mi12020204

