Wearable Metamaterial Dual-Polarized High Isolation UWB MIMO Vivaldi Antenna for 5G and Satellite Communications
Abstract
1. Introduction
2. Configuration and Design of the Proposed UWB-MIMO Antenna
2.1. MAVA
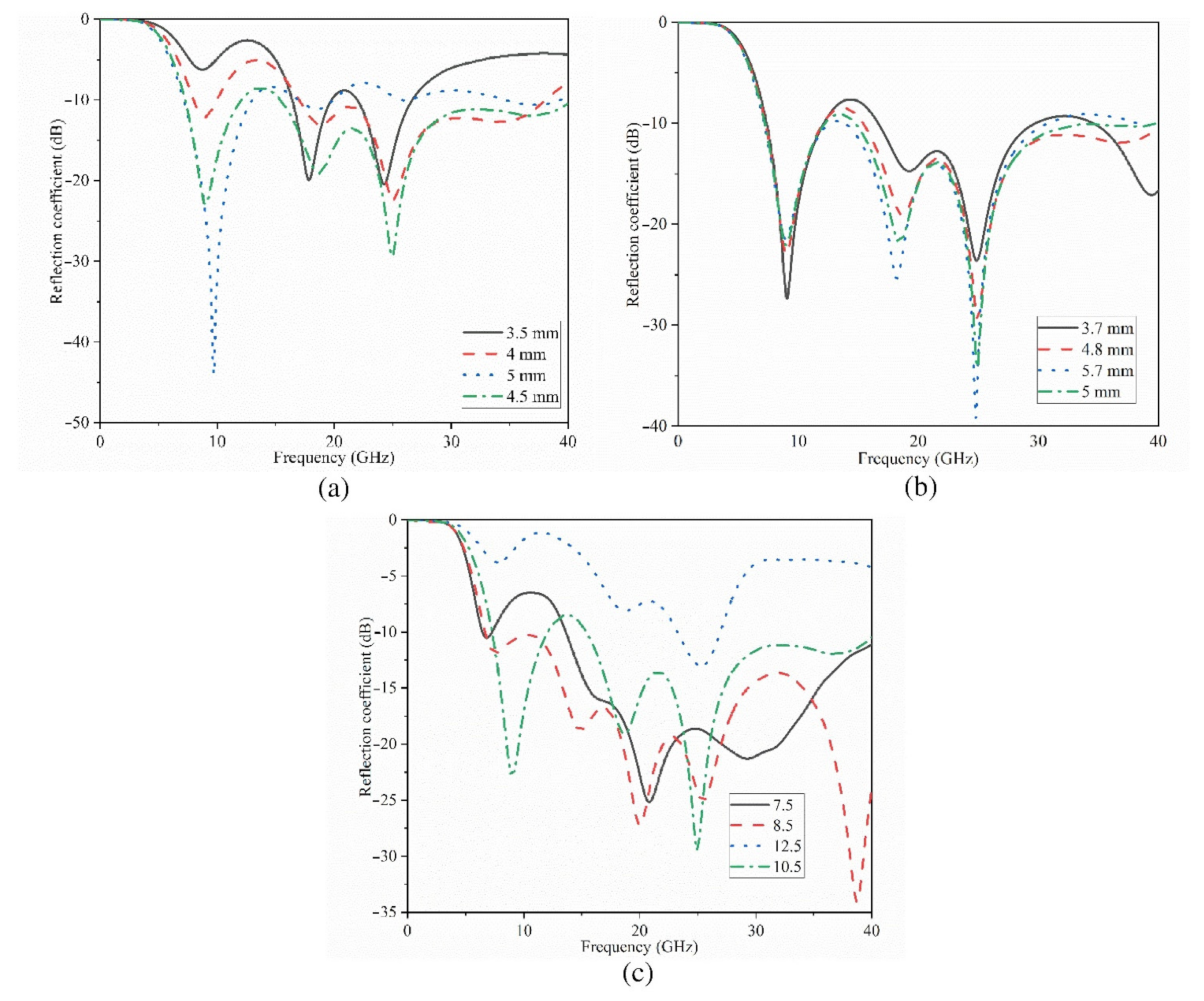
2.2. MTM Elements and Array Integrations
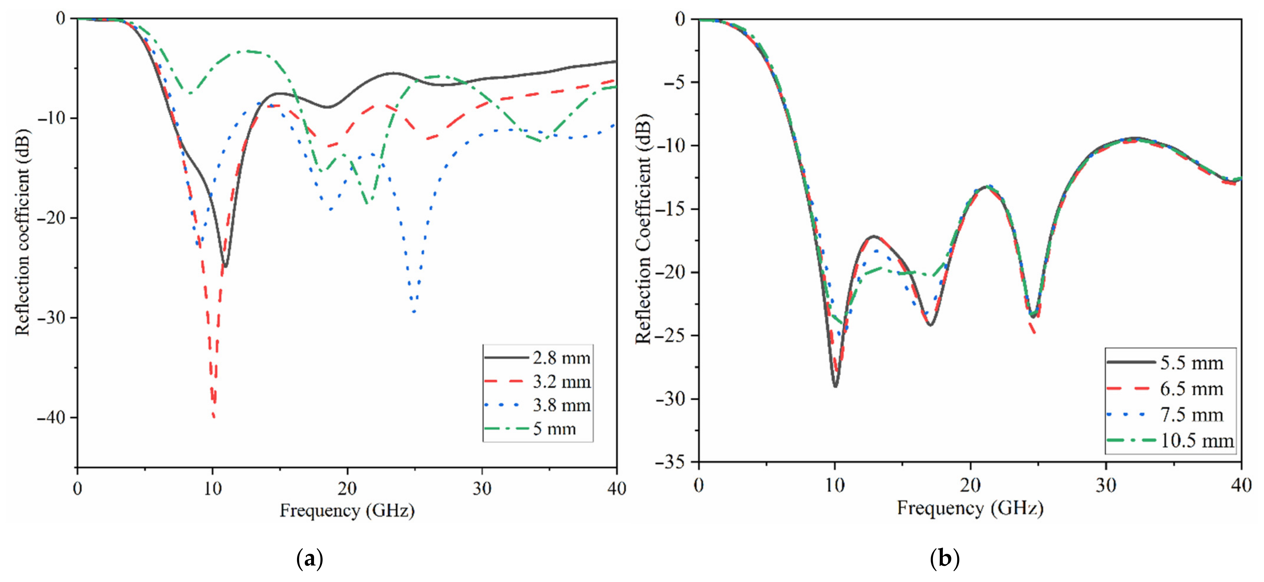
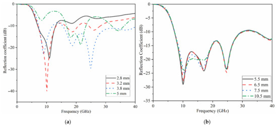
2.3. Modeling and Characterization of the MAVA Combined with MTM Cells
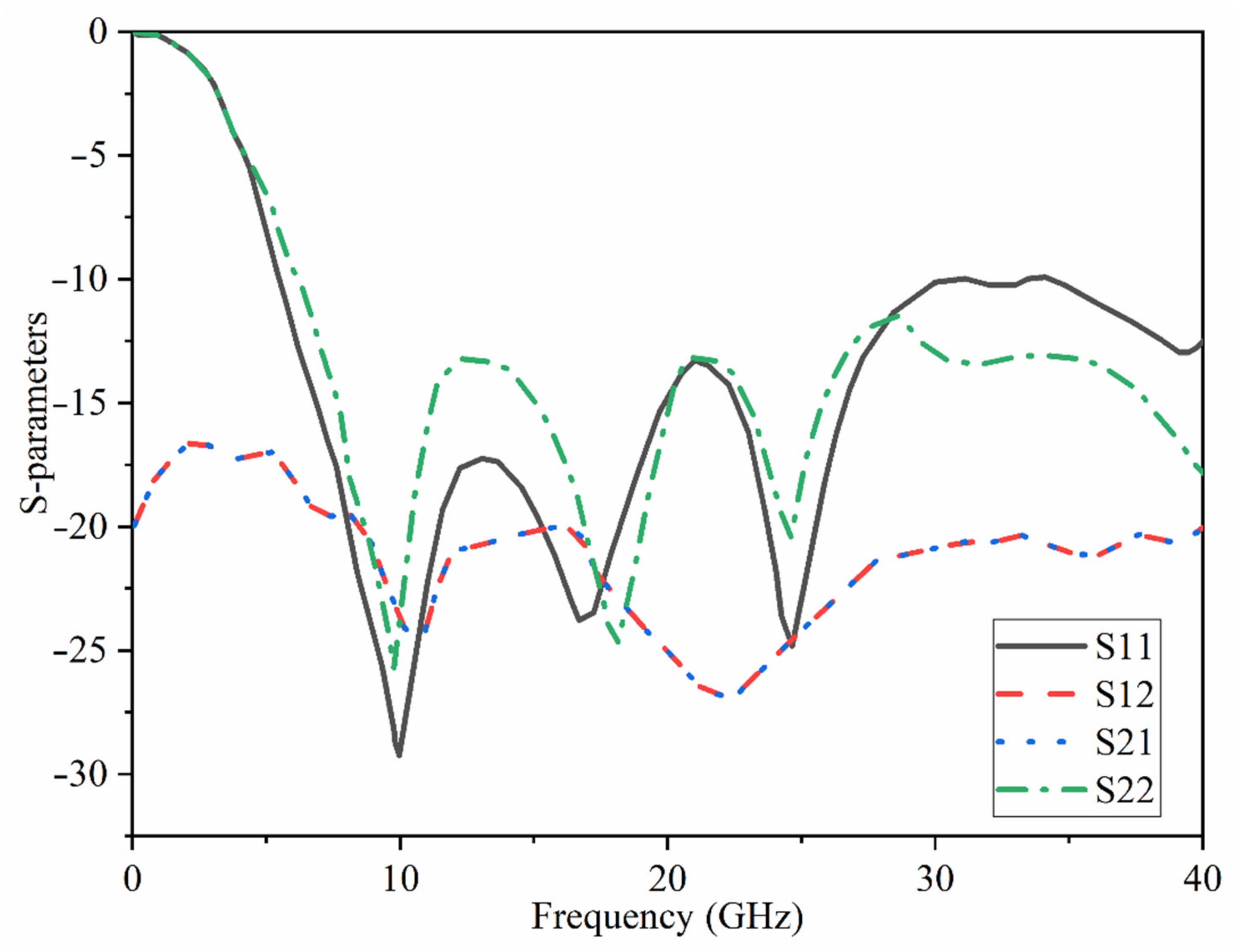
3. The UWB-MIMO MTM-Based MAVA for Diversity Analysis
4. Proposed MIMO Antenna for Body Contacts and Specific Absorption Rate
5. Conclusions
Author Contributions
Funding
Institutional Review Board Statement
Informed Consent Statement
Data Availability Statement
Acknowledgments
Conflicts of Interest
References
- Sun, H.; Zhang, Z.; Hu, R.Q.; Qian, Y. Wearable Communications in 5G: Challenges and Enabling Technologies. IEEE Veh. Technol. Mag. 2018, 13, 100–109. [Google Scholar] [CrossRef]
- Shakib, M.N.; Moghavvemi, M.; Mahadi, W.N.L.B.W. Design of a Tri-Band Off-Body Antenna for WBAN Communication. IEEE Antennas Wirel. Propag. Lett. 2016, 16, 210–213. [Google Scholar] [CrossRef]
- Shoaib, N.; Shoaib, S.; Khattak, R.Y.; Shoaib, I.; Chen, X.; Perwaiz, A. MIMO Antennas for Smart 5G Devices. IEEE Access 2018, 6, 77014–77021. [Google Scholar] [CrossRef]
- Sarkar, D.; Srivastava, K.V. Compact four-element SRR-loaded dual-band MIMO antenna for WLAN/WiMAX/WiFi/4G-LTE and 5G applications. Electron. Lett. 2017, 53, 1623–1624. [Google Scholar] [CrossRef]
- Alhawari, A.R.H.; Almawgani, A.H.M.; Hindi, A.T.; Alghamdi, H.; Saeidi, T. Metamaterial-based wearable flexible elliptical UWB antenna for WBAN and breast imaging applications. AIP Adv. 2021, 11, 015128. [Google Scholar] [CrossRef]
- Saeidi, T.; Ismail, I.; Noghanian, S.; Alhawari, A.R.H.; Abbasi, Q.H.; Imran, M.A.; Zeain, M.Y.; Ali, S.M. High Gain Triple-Band Metamaterial-Based Antipodal Vivaldi MIMO Antenna for 5G Communications. Micromachines 2021, 12, 250. [Google Scholar] [CrossRef]
- Naqvi, S.I.; Hussain, N.; Iqbal, A.; Rahman, M.; Forsat, M.; Mirjavadi, S.S.; Amin, Y. Integrated LTE and Millimeter-Wave 5G MIMO Antenna System for 4G/5G Wireless Terminals. Sensors 2020, 20, 3926. [Google Scholar] [CrossRef]
- Uthansakul, P.; Assanuk, D.; Uthansakul, M. An Optimal Design of Multiple Antenna Positions on Mobile Devices Based on Mutual Coupling Analysis. Int. J. Antennas Propag. 2011, 2011, 791697. [Google Scholar] [CrossRef]
- Mahmood, S.N.; Ishak, A.J.; Saeidi, T.; Soh, A.C.; Jalal, A.; Imran, M.A.; Abbasi, Q. H Full Ground Ultra-Wideband Wearable Textile Antenna for Breast Cancer and Wireless Body Area Network Applications. Micromachines 2021, 12, 322. [Google Scholar] [CrossRef]
- Al-Gburi, A.J.A.; Ibrahim, I.M.; Ahmad, K.S.; Zakaria, Z.; Zeain, M.Y.; Abdulhameed, M.K.; Saeidi, T. A miniaturised UWB FSS with Stop-band Characteristics for EM Shielding Applications. Przegląd Elektrotechniczny 2021, 25, 142–145. [Google Scholar] [CrossRef]
- Azeez, H.I.; Yang, H.-C.; Chen, W.-S. Wearable Triband E-Shaped Dipole Antenna with Low SAR for IoT Applications. Electronics 2019, 8, 665. [Google Scholar] [CrossRef]
- Al-Ghamdi, A.A.; Al-Hartomy, O.A.; Al-Solamy, F.R.; Dishovsky, N.T.; Atanasov, N.T.; Atanasova, G.L. Enhancing antenna performance and SAR reduction by a conductive composite loaded with carbon-silica hybrid filler. AEU Int. J. Electron. Commun. 2017, 72, 184–191. [Google Scholar] [CrossRef]
- Saghati, A.P.; Batra, J.S.; Kameoka, J.; Entesari, K. Miniature and Reconfigurable CPW Folded Slot Antennas Employing Liquid-Metal Capacitive Loading. IEEE Trans. Antennas Propag. 2015, 63, 3798–3807. [Google Scholar] [CrossRef]
- Global Mobile Suppliers Association. The Road to 5G: Drivers, Applications, Requirements and Technical Development. In A GSA Executive Report from Ericsson; Global Mobile Suppliers Association: Shenzhen, China, 2015. [Google Scholar]
- Al-Saif, H.; Usman, M.; Chughtai, M.T.; Nasir, J. Compact Ultra-Wide Band MIMO Antenna System for Lower 5G Bands. Wirel. Commun. Mob. Comput. 2018, 2018, 2396873. [Google Scholar] [CrossRef]
- Desai, A.; Bui, C.D.; Patel, J.; Upadhyaya, T.; Byun, G.; Khang, N.T. Compact Wideband Four Element Optically Transparent MIMO Antenna for mm-wave 5G Applications. IEEE Access 2020, 8, 194206–194217. [Google Scholar] [CrossRef]
- Wani, Z.; Abegaonkar, M.P.; Koul, S.K. A 28-GHz Antenna for 5G MIMO Applications. Prog. Electromagn. Res. Lett. 2018, 78, 73–79. [Google Scholar] [CrossRef]
- Omar, A.; Hussein, M.; Rajmohan, I.J.; Bathich, K. Dual-band MIMO coplanar waveguide-fed-slot antenna for 5G communications. Heliyon 2021, 7, e06779. [Google Scholar] [CrossRef]
- Saeidi, T.; Ismail, I.; Wen, W.P.; Alhawari, A.R.H.; Mohammadi, A. Ultra-Wideband Antennas for Wireless Communication Applications. Int. J. Antennas Propag. 2019, 2019, 7918765. [Google Scholar] [CrossRef]
- Zhu, X.; Yang, X.; Song, Q.; Lui, B. Compact UWB-MIMO antenna with metamaterial FSS decoupling structure. EURASIP J. Wirel. Commun. Netw. 2017, 2017, 115. [Google Scholar] [CrossRef]
- Mahmood, S.N.; Ishak, A.J.; Jalal, A.; Saeidi, T.; Shafie, S.; Soh, A.C.; Imran, M.A.; Abbasi, Q.H. A Bra Monitoring System Using a Miniaturized Wearable Ultra-Wideband MIMO Antenna for Breast Cancer Imaging. Electronics 2021, 10, 2563. [Google Scholar] [CrossRef]
- Chandel, R.; Gautam, A.K.; Rambabu, K. Design and Packaging of an Eye-Shaped Multiple-Input–Multiple-Output Antenna With High Isolation for Wireless UWB Applications. IEEE Trans. Compon. Packag. Manuf. Technol. 2018, 8, 635–642. [Google Scholar] [CrossRef]
- Mazloum, J.; Ghorashi, S.A.; Ojaroudi, M.; Ojaroudi, N. Compact triple-band S-shaped monopole diversity antenna for MIMO applications. Appl. Comput. Electromagn. Soc. J. 2015, 30, 975–980. [Google Scholar]
- Rajagopalan, A.; Gupta, G.; Konanur, A.S.; Hughes, B.; Lazzi, G. Increasing Channel Capacity of an Ultrawideband MIMO System Using Vector Antennas. IEEE Trans. Antennas Propag. 2007, 55, 2880–2887. [Google Scholar] [CrossRef]
- Ojaroudi, N.; Ghadimi, N. Dual-band CPW-fed slot antenna for LTE andWiBro applications. Microw. Opt. Technol. Lett. 2014, 56, 1013–1015. [Google Scholar] [CrossRef]
- Alsultan, R.G.S.; Yetkin, G.Ö. Mutual Coupling Reduction of E-Shaped MIMO Antenna with Matrix of C-Shaped Resonators. Int. J. Antennas Propag. 2018, 2018, 4814176. [Google Scholar] [CrossRef]
- Chen, X.; Zhang, S.; Li, Q. A Review of Mutual Coupling in MIMO Systems. IEEE Access 2018, 6, 24706–24719. [Google Scholar] [CrossRef]
- Khan, M.S.; Iftikhar, A.; Shubair, R.M.; Capobianco, A.-D.; Braaten, B.D.; Anagnostou, D. Eight-Element Compact UWB-MIMO/Diversity Antenna with WLAN Band Rejection for 3G/4G/5G Communications. IEEE Open J. Antennas Propag. 2020, 1, 196–206. [Google Scholar] [CrossRef]
- Khan, M.S.; Shafique, M.F.; Capobianco, A.D.; Autizi, E.; Shoaib, I. Compact UWB-MIMO antenna array with a novel decoupling structure(IBCAST 2013). In Proceedings of the 2013 10th International Bhurban Conference on Applied Sciences & Technology (IBCAST), Islamabad, Pakistan, 15–19 January 2013; pp. 347–350. [Google Scholar]
- Li, B.; Li, S.; Nallanathan, A.; Zhao, C. Deep Sensing for Future Spectrum and Location Awareness 5G Communications. IEEE J. Sel. Areas Commun. 2015, 33, 1331–1344. [Google Scholar] [CrossRef]
- Koohestani, M.; Moreira, A.; Skrivervik, A.K. A Novel Compact CPW-Fed Polarization Diversity Ultrawideband Antenna. IEEE Antennas Wirel. Propag. Lett. 2014, 13, 563–566. [Google Scholar] [CrossRef]
- Li, B.; Zhou, Z.; Zhang, H.; Nallanathan, A. Efficient Beamforming Training for 60-GHz Millimeter-Wave Communications: A Novel Numerical Optimization Framework. IEEE Trans. Veh. Technol. 2013, 63, 703–717. [Google Scholar] [CrossRef]
- Ban, Y.-L.; Li, C.; Sim, C.-Y.-D.; Wu, G.; Wong, K.-L. 4G/5G Multiple Antennas for Future Multi-Mode Smartphone Applications. IEEE Access 2016, 4, 2981–2988. [Google Scholar] [CrossRef]
- Wong, K.-L.; Chang, H.-J. Hybrid dual-antenna for the 3.6-GHz LTE operation in the tablet computer. Microw. Opt. Technol. Lett. 2015, 57, 2592–2598. [Google Scholar] [CrossRef]
- Lin, Y.-F.; Chen, W.-C.; Chen, C.-H.; Liao, C.-T.; Chuang, N.-C.; Chen, H.-M. High-Gain MIMO Dipole Antennas With Mechanical Steerable Main Beam for 5G Small Cell. IEEE Antennas Wirel. Propag. Lett. 2019, 18, 1317–1321. [Google Scholar] [CrossRef]
- Wang, Z.; Du, Y.A. Wideband printed dual-antenna with three neutralization lines for mobile terminals. IEEE Trans. Antennas Propag. 2014, 62, 1495–1500. [Google Scholar] [CrossRef]
- Su, F.S.; Lee, S.W.; Chang, C.T. Printed MIMO-antenna system using neutralization-line technique for wireless USB-dongle applications. IEEE Trans. Antennas Propag. 2012, 60, 456–463. [Google Scholar] [CrossRef]
- Zhao, K.L.; Wu, L.A. Decoupling technique for four-element symmetric arrays with reactively loaded dummy elements. IEEE Trans. Antennas Propag. 2014, 62, 4416–4421. [Google Scholar] [CrossRef]
- Andersen, J.; Rasmussen, H. Decoupling and descattering networks for antennas. IEEE Trans. Antennas Propag. 1976, 24, 841–846. [Google Scholar] [CrossRef]
- Wei, R.; Li, K.; Wang, J.Y.; Xing, L.; Xu, Z.J. Mutual coupling reduction by novel fractal defected ground structure bandgap filter. IEEE Trans. Antennas Propag. 2016, 64, 4328–4335. [Google Scholar] [CrossRef]
- Mavridou, P.; Feresidis, M.; Gardner, A.P. Tunable double-layer EBG structures and application to antenna isolation. IEEE Trans. Antennas Propag. 2016, 64, 70–79. [Google Scholar] [CrossRef]
- Pan, B.C.; Tang, W.X.; Qi, M.Q.; Ma, H.F.; Tao, Z.; Cui, T.J. Reduction of the spatially mutual coupling between dual-polarized patch antennas using coupled metamaterial slabs. Sci. Rep. 2016, 6, 30288. [Google Scholar] [CrossRef] [PubMed]
- Wang, Z.; Zhao, L.; Cai, Y.; Zheng, S.; Yin, Y. A Meta-Surface Antenna Array Decoupling (MAAD) Method for Mutual Coupling Reduction in a MIMO Antenna System. Sci. Rep. 2018, 8, 3152. [Google Scholar] [CrossRef]
- Park, J.-S.; Ko, J.-B.; Kwon, H.-K.; Kang, B.-S.; Park, B.; Kim, D. A Tilted Combined Beam Antenna for 5G Communications Using a 28-GHz Band. IEEE Antennas Wirel. Propag. Lett. 2016, 15, 1685–1688. [Google Scholar] [CrossRef]
- Mak, K.M.; Lai, H.W.; Luk, K.M.; Chan, C.H. Circularly Polarized Patch Antenna for Future 5G Mobile Phones. IEEE Access 2014, 2, 1521–1529. [Google Scholar] [CrossRef]
- Juan, Y.; Che, W.; Yang, W.; Chen, Z.N. Compact Pattern-Reconfigurable Monopole Antenna Using Parasitic Strips. IEEE Antennas Wirel. Propag. Lett. 2016, 16, 557–560. [Google Scholar] [CrossRef]
- Farzami, F.; Khaledian, S.; Smida, B.; Erricolo, D. Pattern-Reconfigurable Printed Dipole Antenna Using Loaded Parasitic Elements. IEEE Antennas Wirel. Propag. Lett. 2016, 16, 1151–1154. [Google Scholar] [CrossRef]
- Bao, Z.; Nie, Z.; Zong, X. A Novel Broadband Dual-Polarization Antenna Utilizing Strong Mutual Coupling. IEEE Trans. Antennas Propag. 2013, 62, 450–454. [Google Scholar] [CrossRef]
- De Oliveira, A.M.; Perotoni, M.; Kofuji, S.; Justo, J. A Palm Tree Antipodal Vivaldi Antenna With Exponential Slot Edge for Improved Radiation Pattern. IEEE Antennas Wirel. Propag. Lett. 2015, 14, 1334–1337. [Google Scholar] [CrossRef]
- Amiri, M.; Tofigh, F.; Ghafoorzadeh-Yazdi, A.; Abolhasan, M. Exponential Antipodal Vivaldi Antenna With Exponential Dielectric Lens. IEEE Antennas Wirel. Propag. Lett. 2017, 16, 1792–1795. [Google Scholar] [CrossRef]
- Gazit, E. Improved design of the Vivaldi antenna. IEE Proc. H Microw. Antennas Propag. 1988, 135, 89–92. [Google Scholar] [CrossRef]
- Wang, Y.-W.; Yu, Z.-W. A Novel Symmetric Double-Slot Structure for Antipodal Vivaldi Antenna to Lower Cross-Polarization Level. IEEE Trans. Antennas Propag. 2017, 65, 5599–5604. [Google Scholar] [CrossRef]
- Moosazadeh, M.; Kharkovsky, S. A Compact High-Gain and Front-to-Back Ratio Elliptically Tapered Antipodal Vivaldi Antenna With Trapezoid-Shaped Dielectric Lens. IEEE Antennas Wirel. Propag. Lett. 2016, 15, 552–555. [Google Scholar] [CrossRef]
- Chen, L.; Lei, Z.; Yang, R.; Fan, J.; Shi, X. A Broadband Artificial Material for Gain Enhancement of Antipodal Tapered Slot Antenna. IEEE Trans. Antennas Propag. 2014, 63, 395–400. [Google Scholar] [CrossRef]
- Zhang, J.; Zhang, X.; Xiao, S. Antipodal Vivaldi Antenna to Detect UHF Signals That Leaked Out of the Joint of a Transformer. Int. J. Antennas Propag. 2017, 2017, 9627649. [Google Scholar] [CrossRef]
- Eichenberger, P.J.; Yetisir, E.; Ghalichechian, N. High-Gain Antipodal Vivaldi Antenna With Pseudoelement and Notched Tapered Slot Operating at (2.5 to 57) GHz. IEEE Trans. Antennas Propag. 2019, 67, 4357–4366. [Google Scholar] [CrossRef]
- Honari, M.M.; Ghaffarian, M.S.; Mirzavand, R. Miniaturized Antipodal Vivaldi Antenna with Improved Bandwidth Using Exponential Strip Arms. Electronics 2021, 10, 83. [Google Scholar] [CrossRef]
- Bailey, M.; Deshpande, M. Integral equation formulation of microstrip antennas. IRE Trans. Antennas Propag. 1982, 30, 651–656. [Google Scholar] [CrossRef]
- Deshpande, M.; Bailey, M. Analysis of stub loaded microstrip patch antennas. In Proceedings of the IEEE Antennas and Propagation Society International Symposium, Montreal, QC, Canada, 13–18 July 1997; Volume 2. [Google Scholar]
- Available online: https://www.radiall.com/products/rf-coaxial-connectors/high-frequency-connectors/sma-2-9-k.html (accessed on 8 December 2021).
- Ghosh, S.; Das, S.; Samantaray, D.; Bhattacharyya, S. Meander-line-based defected ground microstrip antenna slotted with split-ring resonator for terahertz range. Eng. Rep. 2020, 2, e12088. [Google Scholar] [CrossRef]
- Ogherohwo, E.P.; Mado, S.D.; Eggah, M.Y. Design and Analysis of Meander Microstrip Antenna at Wireless Band. Int. J. Comput. Appl. 2015, 111, 1–4. [Google Scholar] [CrossRef]
- Alam, T.; Almutairi, A.F.; Samsuzzaman, M.; Cho, M.; Islam, M.T. Metamaterial array based meander line planar antenna for cube satellite communication. Sci. Rep. 2021, 11, 14087. [Google Scholar] [CrossRef]
- Wang, Y.; Piao, D. Cross-polarization Discrimination of a Colocated Quad-polarized MIMO Antenna in a Room. In Proceedings of the IEEE Asia-Pacific Microwave Conference (APMC 2020)|978-1-7281, Hong Kong, China, 8–11 December 2020. [Google Scholar]
- Kumar, S.; Lee, G.H.; Kim, D.H.; Mohyuddin, W.; Choi, H.C.; Kim, K.W. A compact four-port UWB MIMO antenna with connected ground and wide axial ratio bandwidth. Int. J. Microw. Wirel. Technol. 2019, 12, 75–85. [Google Scholar] [CrossRef]
- Islam, M.M.; Islam, M.T.; Samsuzzaman, M.; Faruque, M.R. Compact metamaterial antenna for UWB applications. Electron. Lett. 2015, 51, 1222–1224. [Google Scholar] [CrossRef]
- Dong, Y.; Toyao, H.; Itoh, T. Design and Characterization of Miniaturized Patch Antennas Loaded With Complementary Split-Ring Resonators. IEEE Trans. Antennas Propag. 2011, 60, 772–785. [Google Scholar] [CrossRef]
- Mousavi Razi, Z.; Rezaei, P. Fabry cavity antenna based on capacitive loaded strips superstrate for X-Band satellite communication. ARS J. 2013, 2, 26–30. [Google Scholar]
- Rothwell, E.J.; Frasch, J.L.; Ellison, S.M.; Chahal, P.; Ouedraogo, R.O. Analysis of the Nicolson-Ross-Weir method for characterizing the electromagnetic properties of engineered materials. Prog. Electromagn. Res. 2016, 157, 31–47. [Google Scholar] [CrossRef]
- Hodge, J.A., II. Analysis of Periodic and Random Capacitively-Loaded Loop (CLL) Metamaterial Structures for Antenna Enhancement Applications. Ph.D. Thesis, The Faculty of the Virginia Polytechnic Institute and State University, Falls Church, VA, USA, 14 May 2014. [Google Scholar]
- Tripathi, S.; Mohan, A.; Yadav, S. A Compact Koch Fractal UWB MIMO Antenna With WLAN Band-Rejection. IEEE Antennas Wirel. Propag. Lett. 2015, 14, 1565–1568. [Google Scholar] [CrossRef]
- Li, Y.; Sim, C.-Y.-D.; Luo, Y.; Yang, G. 12-port 5G massive MIMO antenna array in sub-6GHz mobile handset for LTE bands 42/43/46 applications. IEEE Access 2018, 6, 344–354. [Google Scholar] [CrossRef]
- Chae, S.H.; Oh, S.K.; Park, S.O. Analysis of Mutual Coupling, Correlations, and TARC in WiBro MIMO Array Antenna. IEEE Antennas Wirel. Propag. Lett. 2007, 6, 122–125. [Google Scholar] [CrossRef]
- Abdullah, H.H.; Sultan, K.S. Multiband compact low SAR mobile handheld antenna. Prog. Electromagn. Res. Lett. 2014, 49, 65–71. [Google Scholar] [CrossRef][Green Version]
- Gupta, A.; Kansal, A.; Chawla, P. Design of a wearable MIMO antenna deployed with an inverted U-shaped ground stub for diversity performance enhancement. Int. J. Microw. Wirel. Technol. 2020, 13, 76–86. [Google Scholar] [CrossRef]
- Bailey, W.H.; Harrington, T.; Hirata, A.; Kavet, R.R.; Keshvari, J.; Klauenberg, B.J.; Legros, A.; Maxson, D.P.; Osepchuk, J.M.; Reilly, J.P.; et al. Synopsis of IEEE Std C95.1™-2019 “IEEE Standard for Safety Levels With Respect to Human Exposure to Electric, Magnetic, and Electromagnetic Fields, 0 Hz to 300 GHz”. IEEE Access 2019, 7, 171346–171356. [Google Scholar] [CrossRef]
- Adam, I.; Kamarudin, M.R.; Rambe, A.H.; Haris, N.; Rahim, H.A.; Muhamad, W.Z.A.W.; Ismail, A.M.; Jusoh, M.; Yasin, M.N.M. Investigation on Wearable Antenna under Different Bending Conditions for Wireless Body Area Network (WBAN) Applications. Int. J. Antennas Propag. 2021, 2021, 5563528. [Google Scholar] [CrossRef]
- Keshvari, J.; Keshvari, R.; Lang, S. The effect of increase in dielectric values on specific absorption rate (SAR) in eye and head tissues following 900, 1800 and 2450 MHz radio frequency (RF) exposure. Phys. Med. Biol. 2006, 51, 1463–1477. [Google Scholar] [CrossRef]
- Jayant, S.; Srivastava, G.; Purwar, R. Bending and SAR analysis on UWB wearable MIMO antenna for on-arm WBAN applications. Frequenz 2021, 75, 177–189. [Google Scholar] [CrossRef]
- Chen, L.; Zhou, W.; Hong, J.; Amin, M. A Compact Eight-port CPW-fed UWB MIMO Antenna with Band-notched Characteristic. Appl. Comput. Electromagn. Soc. J. 2020, 35, 8. [Google Scholar] [CrossRef]
- Sampath, R.; Selvan, K.T. Compact hybrid Sierpinski Koch fractal UWB MIMO antenna with pattern diversity. Int. J. RF Microw. Comput. Aided Eng. 2019, e22017. [Google Scholar] [CrossRef]
- Addepalli, T.; Anitha, V. A very compact and closely spaced circular shaped UWB MIMO antenna with improved isolation. AEU Int. J. Electron. Commun. 2019, 114, 153016. [Google Scholar] [CrossRef]
- Gurjar, R.; Upadhyay, D.K.; Kanaujia, B.K.; Kumar, A. A compact modified sierpinski carpet fractal UWB MIMO antenna with square-shaped funnel-like ground stub. AEU Int. J. Electron. Commun. 2020, 117, 153126. [Google Scholar] [CrossRef]
- Dey, A.B.; Pattanayak, S.S.; Mitra, D.; Arif, W. Investigation and design of enhanced decoupled UWB MIMO antenna for wearable applications. Microw. Opt. Technol. Lett. 2020, 63, 845–861. [Google Scholar] [CrossRef]
- Madhav, B.T.P.; Devi, G.J.; Anilkumar, T. A CPW-fed Sigma-shaped MIMO Antenna for Ka Band and 5G Communication Applications. J. Telecommun. Inf. Technol. 2018, 8, 97–106. [Google Scholar] [CrossRef]
- Sghaier, N.; Latrach, L. Design and analysis of wideband MIMO antenna arrays for 5G smartphone application. Int. J. Microw. Wirel. Technol. 2021, 1–13. [Google Scholar] [CrossRef]































| Parameter | Values (mm) | Parameter | Values (mm) |
|---|---|---|---|
| 15.00 | 10.00 | ||
| 8.60 | 5.40 | ||
| 3.80 | 6.00 | ||
| 6.50 | 15.00 | ||
| 1.40 | 5.50 | ||
| 3.60 | 1.70 | ||
| 4.70 | 4.70 | ||
| 8.00 | 2.00 | ||
| 4.65 | 1.25 | ||
| 0.75 | 1.25 | ||
| 5.00 | 0.25 | ||
| 7.50 | 9.00 |
| Parameters | Dimensions (mm) |
|---|---|
| 4.50 | |
| 1.50 | |
| 0.27 | |
| 0.50 | |
| 1.5 | |
| 1.15 | |
| 1.8 | |
| 1.4 |
| Parameters | ||
|---|---|---|
| Operating BW (GHz) | 3.2–9, 9.6–13, 13.2, 14–17.5, 19–26.5, 27.5–30 | 3.1–3.3, 7–10, 12.5–13.5, 13.8–14, 17.5–18.5, 23.5–27.5 |
| Gain (dBi) Port 1 Sim/Meas | Gain (dBi) Port 2 Sim/Meas | Eff (%) Port 1 Sim | Eff (%) Port 2 Sim | |
|---|---|---|---|---|
| 3.8 | 4.70/3.50 | 10.7/10.00 | 93.42 | 97.00 |
| 5.2 | 3.20/2.80 | 4.03/3.00 | 97.58 | 98.19 |
| 8.0 | 4.75/3.50 | 4.83/4.20 | 95.00 | 96.50 |
| 10 | 4.10/3.90 | 4.88/4.50 | 93.42 | 92.00 |
| 15 | 4.90/3.85 | 4.93/4.40 | 88.58 | 94.19 |
| 20 | 7.25/6.90 | 9.5/6.85 | 97.42 | 98.00 |
| 25 | 5.70/5.45 | 7.25/5.95 | 93.58 | 98.19 |
| 29 | 5.40/5.00 | 5.78/5.20 | 91.50 | 98.00 |
| 31 | 5.90/5.25 | 5.95/5.15 | 95.58 | 97.00 |
| 34 | 5.70/4.95 | 5.90/5.01 | 91.50 | 98.00 |
| 38 | 4.70/4.25 | 6.08/5.15 | 95.58 | 97.00 |
| Ports/Frequency (GHz) | 3.8 | 5.2 | 8 | 10 | 15 | 18 | 22 | 28 | 32 | 35 | 38 |
|---|---|---|---|---|---|---|---|---|---|---|---|
| P12 | 9.30 | 9.98 | 9.95 | 9.98 | 9.86 | 9.99 | 9.99 | 9.99 | 9.99 | 9.99 | 9.98 |
| P13 | 9.95 | 9.99 | 9.99 | 9.99 | 10 | 10 | 10 | 10 | 10 | 9.95 | 9.98 |
| P14 | 9.94 | 9.99 | 9.99 | 9.99 | 9.99 | 9.99 | 9.98 | 10 | 9.99 | 9.98 | 10 |
| P15 | 9.99 | 9.99 | 9.99 | 9.99 | 9.99 | 9.99 | 9.99 | 9.99 | 9.98 | 10 | 9.99 |
| P16 | 9.94 | 9.88 | 9.99 | 9.99 | 9.99 | 10 | 10 | 10 | 9.99 | 10 | 9.98 |
| P17 | 9.94 | 9.97 | 9.99 | 10 | 9.98 | 9.99 | 9.99 | 10 | 9.99 | 9.94 | 9.94 |
| P18 | 9.89 | 9.99 | 9.98 | 9.99 | 9.99 | 10 | 10 | 9.98 | 9.99 | 9.97 | 9.97 |
| Tissues/Properties | (S/m) | ρ (Kg/m3) pls Define ρ | |
|---|---|---|---|
| Skin | 38.01 | 1.464 | 1000 |
| Fat | 5.28 | 0.105 | 1000 |
| Muscle | 52.73 | 1.739 | 1000 |
| Bone | 11.38 | 0.394 | 1000 |
| Port 1/fr | 3.8 GHz | 5.2 GHz | 5.4 GHz | 8 GHz | 10 GHz | 15 GHz | 20 GHz | 22 GHz |
|---|---|---|---|---|---|---|---|---|
| SAR 1g | 0.069 | 0.218 | 0.601 | 0.885 | 0.904 | 1.302 | 1.294 | 1.315 |
| SAR 10g | 0.028 | 0.087 | 0.440 | 0.619 | 0.816 | 1.115 | 1.108 | 1.128 |
| Port 1/fr | 25 GHz | 28 GHz | 30 GHz | 32 GHz | 35 GHz | 38 GHz | ||
| SAR 1g | 1.350 | 1.498 | 1.797 | 1.912 | 2.105 | 2.253 | ||
| SAR 10g | 1.133 | 1.180 | 1.562 | 1.802 | 2.001 | 2.126 |
| Reference Number | Dimensions (mm) | Isolation (dB) | Max Gain (dBi) | BW (GHz) | Efficiency (%) | Max ECC |
|---|---|---|---|---|---|---|
| [15] | 13 × 25 | >20 | 4.80 | 2–12 | N/A | 0.009 |
| [31] | 50 × 50 | >17 | 5.80 | 2–12 | 86.00 | 0.45 |
| [24] | 34 × 34 | >25 | 6.00 | 2.2–11 | 75.00 | <0.01 |
| [23] | 38.2 × 26.6 | >16 | N/A | 2.72–12 | N/A | N/A |
| [80] | 54 × 54 | >15 | 2.83 | 2–11 | 85.00 | <0.02 |
| [81] | 40 × 20 | >20 | >3.00 | 2.5–11 | N/A | <0.1 |
| [82] | 16 × 26 | >22 | 6.86 | 2.82–14.45 | 91.70 | <0.08 |
| [83] | 24 × 30 | >16.3 | 4.80 | 3–12.6 | N/A | <0.05 |
| [84] | 50 × 35 | >21 | 7.48 | 1.83–13.82 | 84.00 | <0.059 |
| [85] | 45 × 45 | >15 | 7.50 | 21–30 | 78.00 | <0.03 |
| [86] | 150 × 75 | >12 | 6.20 | 3.3–7.1 | >48 | <0.07 |
| Proposed | 50 × 45 | >22 | 10.70 | 3.70–3.85, 5–40 | 98 | <0.01 |
Publisher’s Note: MDPI stays neutral with regard to jurisdictional claims in published maps and institutional affiliations. |
© 2021 by the authors. Licensee MDPI, Basel, Switzerland. This article is an open access article distributed under the terms and conditions of the Creative Commons Attribution (CC BY) license (https://creativecommons.org/licenses/by/4.0/).
Share and Cite
Alhawari, A.R.H.; Saeidi, T.; Almawgani, A.H.M.; Hindi, A.T.; Alghamdi, H.; Alsuwian, T.; Awwad, S.A.B.; Imran, M.A. Wearable Metamaterial Dual-Polarized High Isolation UWB MIMO Vivaldi Antenna for 5G and Satellite Communications. Micromachines 2021, 12, 1559. https://doi.org/10.3390/mi12121559
Alhawari ARH, Saeidi T, Almawgani AHM, Hindi AT, Alghamdi H, Alsuwian T, Awwad SAB, Imran MA. Wearable Metamaterial Dual-Polarized High Isolation UWB MIMO Vivaldi Antenna for 5G and Satellite Communications. Micromachines. 2021; 12(12):1559. https://doi.org/10.3390/mi12121559
Chicago/Turabian StyleAlhawari, Adam R. H., Tale Saeidi, Abdulkarem Hussein Mohammed Almawgani, Ayman Taher Hindi, Hisham Alghamdi, Turki Alsuwian, Samer A. B. Awwad, and Muhammad Ali Imran. 2021. "Wearable Metamaterial Dual-Polarized High Isolation UWB MIMO Vivaldi Antenna for 5G and Satellite Communications" Micromachines 12, no. 12: 1559. https://doi.org/10.3390/mi12121559
APA StyleAlhawari, A. R. H., Saeidi, T., Almawgani, A. H. M., Hindi, A. T., Alghamdi, H., Alsuwian, T., Awwad, S. A. B., & Imran, M. A. (2021). Wearable Metamaterial Dual-Polarized High Isolation UWB MIMO Vivaldi Antenna for 5G and Satellite Communications. Micromachines, 12(12), 1559. https://doi.org/10.3390/mi12121559

