A Spiral Distributed Monitoring Method for Steel Rebar Corrosion
Abstract
1. Introduction
2. Materials and Methods
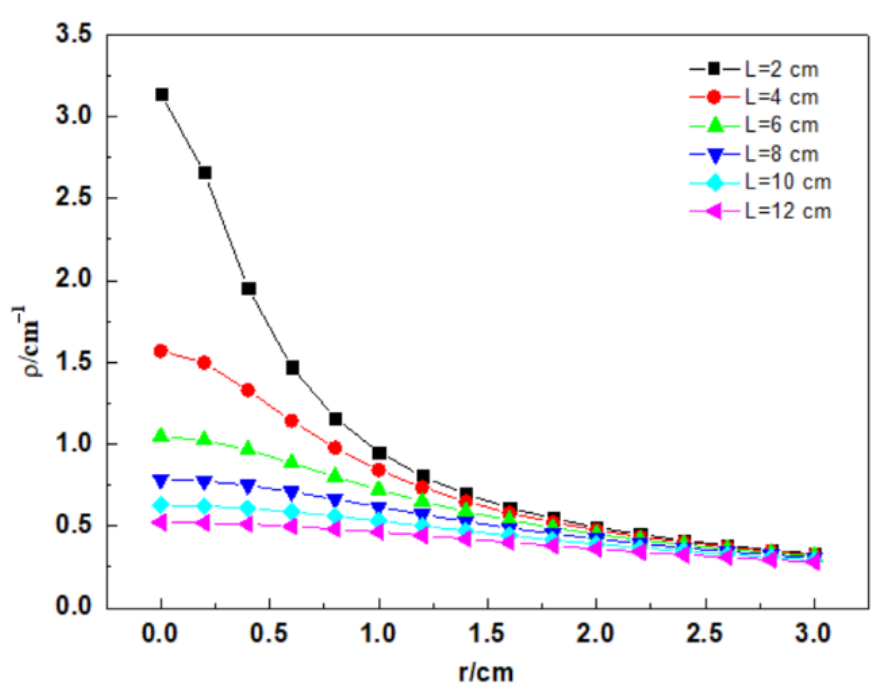
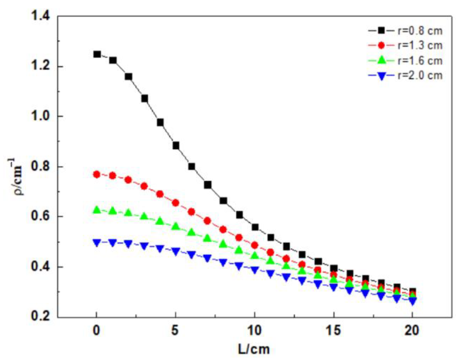
2.1. Effect of Winding Radius on the Bending Curvature of Optical Fiber
2.2. Effect of Spiral Angle on a Spiral Distributed Sensor
- (1)
- The curvature of the winding fiber decreased with the increase in the helix angle and the diameter of the steel bar. At the same time, we concluded that the lower the helix angle and the spiral pitch were, the greater the curvature of the winding fiber was.
- (2)
- (When the winding diameter was 16 mm, the optical signals of the distributed sensing fiber with a 60° helix angle were obviously better than those with helix angles of 30°, 45°, and 55°; then, the light loss of the distributed sensor with a 60° helix angle was less than that of the distributed sensor with the helix angles of 30°, 45°, and 55°. The bending curvature of the fiber should preferably be less than 0.625 cm−1. Then, the corresponding bending radius of a spiral distributed sensor is approximately 1.6 cm. The corresponding macro-bending loss is in a lower range [26], which has basically no effect on a spiral distributed sensor.
- (3)
- The mortar layers of the steel bar were casted. Their thicknesses were 5, 8, and 10 mm, respectively. Then, the corresponding winding radii of the same helix angle distributed fiber (30°) were 26, 32, and 36 mm, respectively. Moreover, the bending curvature of the optical fiber can be calculated, as shown in Table 1. The bending curvature of less than 0.667 cm−1 is desirable.
3. Experiment
4. Results and Discussion
- (1)
- Stage I: In this duration, the steel bar was slowly and gradually corroded. The volume of the corrosion products accumulated, leading to a subsequent increased expansion force, which correspondingly contributed to the increased fiber strain. The helix fiber strain increased almost linearly with the corrosion rate.
- (2)
- Stage II: The fiber strain increased rapidly, which was attributed to concrete cracking. In addition, the strain of the distributed fiber sensor located in the steel bar (the inner fiber) was greater than those of the distributed fiber sensor located in the mortar layer (the outer fiber). The sharp increase in fiber strain is obviously shown in Figure 8, Figure 9 and Figure 10. In this duration, AB epoxy glue on the bottom surface of the mortar specimen came off, so the AB glue was reused to protect the bare 2 cm steel bars, as shown in Figure 8.
- (3)
- Stage III: The fiber strain remained unchanged or was less than the peak strain, owing to the rust loss.
5. Conclusions
- (1)
- The bending curvature of the spiral distributed fiber sensor is related to the winding radius and winding pitch of the sensing fiber. The desired curvature of the winding fiber (0.667 cm−1) is a critical parameter for the distributed sensor.
- (2)
- Fiber strain variations can precisely reflect the corrosion of reinforcement concrete. Therefore, using spiral distributed fiber sensors to monitor corrosion of steel bars and concrete cracking is a feasible technique.
- (3)
- The cracking times and corresponding corrosion rates are closely related to the thickness of the protective layer. Accordingly, the proposed method with the distributed sensor wound on the protective mortar layer is verified to be practical.
Author Contributions
Funding
Institutional Review Board Statement
Informed Consent Statement
Data Availability Statement
Conflicts of Interest
References
- Fahim, A.; Ghods, P.; Isgor, O.B.; Thomas, M.D.A. A critical examination of corrosion rate measurement techniques applied to reinforcing steel in concrete. Mater. Corros. 2018, 69, 1784–1799. [Google Scholar] [CrossRef]
- Hong, N. Corrosion and protection technology of steel bars in concrete (6)—corrosion inhibitor and cathodic protection of steel bars. Ind. Constr. 2000, 1, 57–60. [Google Scholar] [CrossRef]
- Shen, J.; Wu, S. Study on the performance and corrosion model of corroded steel bars in concrete under atmospheric environment. China Concr. Cem. Prod. 2004, 3, 46–50. [Google Scholar] [CrossRef]
- Zang, J.; Fang, C. Research progress on service life prediction of reinforced concrete structures under chloride attack. J. Mater. Sci. Eng. 2019, 37, 848–854+859. [Google Scholar]
- Wang, X.; Jin, W.; Yan, Y. Path probability model of corrosion-crack assessment for existing reinforced concerte structures. J. Zhejiang Univ. (Eng. Sci.) 2010, 44, 1191–1196. [Google Scholar]
- Liu, Y.; Weyers, R.E. Modeling the time-to-corrosion cracking in chloride contaminated reinforced concrete structures. Mater. J. 1998, 95, 675–680. [Google Scholar]
- Zhao, Y.; Jin, W. Corrosion ratio of reinforcement bar in reinforced concrete construction at the moment of cracking due to corrosion expansion. J. Hydraul. Eng. 2004, 11, 97–101. [Google Scholar]
- Jin, W.; Zhao, Y.; Yan, F. The mechanism of corroded expansion force of reinforced concrete members. J. Hydraul. Eng. 2001, 7, 57–62. [Google Scholar]
- Lu, C.; Jin, W.; Liu, R. Reinforcement corrosion-induced cover cracking and its time prediction for reinforced concrete structures. Corros. Sci. 2011, 53, 1337–1347. [Google Scholar] [CrossRef]
- Chernin, L.; Val, D.V.; Volokh, K.Y. Analytical modelling of concrete cover cracking caused by corrosion of reinforcement. Mater. Struct. 2010, 43, 543–556. [Google Scholar] [CrossRef]
- Ahmad, S. An experimental study on correlation between concrete resistivity and reinforcement corrosion rate. Anti-Corros. Methods Mater. 2014, 61, 158–165. [Google Scholar] [CrossRef]
- Femenias, Y.S.; Angst, U.; Elsener, B. Monitoring pH in corrosion engineering by means of thermally produced iridium oxide electrodes. Mater. Corros. 2018, 69, 76–88. [Google Scholar] [CrossRef]
- Loto, R.T.; Busari, A. Influence of white aluminum dross on the corrosion resistance of reinforcement carbon steel in simulated concrete pore solution. J. Bio- Tribo-Corros. 2019, 5, 19. [Google Scholar] [CrossRef]
- Zhang, M.; Geng, O. Research status and development trend of steel corrosion monitoring technology in concrete. Concrete 2007, 2, 26–28. [Google Scholar]
- Abbas, Y.; Pargar, F.; Olthuis, W.; Berg, A.V.D. Activated carbon as a pseudo-reference electrode for potentiometric sensing inside concrete. Procedia Eng. 2014, 87, 1437–1440. [Google Scholar] [CrossRef][Green Version]
- Muralidharan, S.; Saraswathy, V.; Berchmans, L.J.; Thangavel, K.; Ann, K.Y. Nickel ferrite (NiFe2O4): A possible candidate material as reference electrode for corrosion monitoring of steel in concrete environments. Sens. Actuators B Chem. 2010, 145, 225–231. [Google Scholar] [CrossRef]
- Chen, X.; Fang, L. Performance analysis and experimental verification for FBG sensors applied for smart structure. Key Eng. Mater. 2007, 336–338, 1357–1360. [Google Scholar] [CrossRef]
- Lv, H.; Zhao, X.; Zhan, Y.; Gong, P. Damage evaluation of concrete based on Brillouin corrosion expansion sensor. Constr. Build. Mater. 2017, 143, 387–394. [Google Scholar] [CrossRef]
- Liang, R.; Tao, J.; Jia, Z.; Li, D.; Yuan, C.; Li, H. Pipeline corrosion and leakage monitoring based on the distributed optical fiber sensing technology. Measurement 2018, 122, 57–65. [Google Scholar] [CrossRef]
- Suresh, R.; Tjin, S.W.; Ngo, N.Q. Application of a new fiber Bragg grating based shear force sensor for monitoring civil structural components. Smart Mater. Struct. 2005, 14, 982–988. [Google Scholar] [CrossRef]
- Tan, C.H.; Shee, Y.G.; Yap, B.K.; Adikan, F.R.M. Fiber Bragg grating based sensing system: Early corrosion detection for structural health monitoring. Sens. Actuators A Phys. 2016, 246, 123–128. [Google Scholar] [CrossRef]
- Tang, F.; Chen, Y.; Li, Z.; Tang, Y.; Chen, G. Application of Fe-C coated LPFG sensor for early stage corrosion monitoring of steel bar in RC structures. Constr. Build. Mater. 2018, 175, 14–25. [Google Scholar] [CrossRef]
- Chu, T.; Lu, C.; Zhang, Z.; Lu, J. The durability of natural aggressive environmental conditions on the tensile performance of FRP bars. In Proceedings of the 5th Advanced Materials, Mechanics and Structural Engineering Conference, Seoul, Korea, 7 October 2018. [Google Scholar]
- Wang, X.; Wang, W. The influence and research of the metal-coated FBG on temperature sensitivity. Adv. Mater. Res. 2009, 146–147, 1894–1897. [Google Scholar] [CrossRef]
- Wang, Y.; Chen, J.; Rao, Y. Long period fiber grating sensors measuring bend-curvature and determining bend-direction simultaneously. J. Optoelectron. Laser 2005, 16, 1139–1143. [Google Scholar] [CrossRef]
- You, S.; Hao, S.; Yin, Z.; Li, X. Analysis and Test of Bend Loss in Single-mode Fiber. Acta Photonica Sin. 2003, 32, 409–412. [Google Scholar] [CrossRef]














| Diameter (mm) | Helix Angle (°) | Winding Pitch (cm) | Bending Curvature (cm−1) |
|---|---|---|---|
| 16 | 60 | 8.7 | 0.625 |
| 16 | 55 | 7.1 | 0.719 |
| 16 | 45 | 5.0 | 0.885 |
| 16 | 30 | 2.9 | 1.087 |
| 26 | 30 | 4.7 | 0.667 |
| 32 | 30 | 5.8 | 0.541 |
| 36 | 30 | 6.5 | 0.463 |
| Specimen | Corrosion Rate (%) | Cracking Time (h) |
|---|---|---|
| 5# | 0.16 | 6 |
| 8# | 0.20 | 10 |
| 10# | 0.35 | 16 |
Publisher’s Note: MDPI stays neutral with regard to jurisdictional claims in published maps and institutional affiliations. |
© 2021 by the authors. Licensee MDPI, Basel, Switzerland. This article is an open access article distributed under the terms and conditions of the Creative Commons Attribution (CC BY) license (https://creativecommons.org/licenses/by/4.0/).
Share and Cite
Li, J.; Zhao, Y.; Wang, J. A Spiral Distributed Monitoring Method for Steel Rebar Corrosion. Micromachines 2021, 12, 1451. https://doi.org/10.3390/mi12121451
Li J, Zhao Y, Wang J. A Spiral Distributed Monitoring Method for Steel Rebar Corrosion. Micromachines. 2021; 12(12):1451. https://doi.org/10.3390/mi12121451
Chicago/Turabian StyleLi, Jianzhi, Yiyao Zhao, and Junjie Wang. 2021. "A Spiral Distributed Monitoring Method for Steel Rebar Corrosion" Micromachines 12, no. 12: 1451. https://doi.org/10.3390/mi12121451
APA StyleLi, J., Zhao, Y., & Wang, J. (2021). A Spiral Distributed Monitoring Method for Steel Rebar Corrosion. Micromachines, 12(12), 1451. https://doi.org/10.3390/mi12121451

