Modeling and Compensation of Dynamic Hysteresis with Force-Voltage Coupling for Piezoelectric Actuators
Abstract
:1. Introduction
2. Experimental Setup and Hysteresis Characteristics
2.1. Experimental Setup
2.2. Hysteresis Characteristics
2.2.1. Frequency Influence
2.2.2. Force Influence
3. Hysteresis Model
3.1. Dynamic Delay Prandtl–Ishlinskii (DDPI) Model
3.2. Force Voltage Coupling Prandtl–Ishlinskii (FVPI) Model
3.2.1. Modified Model
3.2.2. Experiment Results
4. Feedforward Control
4.1. Feedforward Control Based on Inverse Model
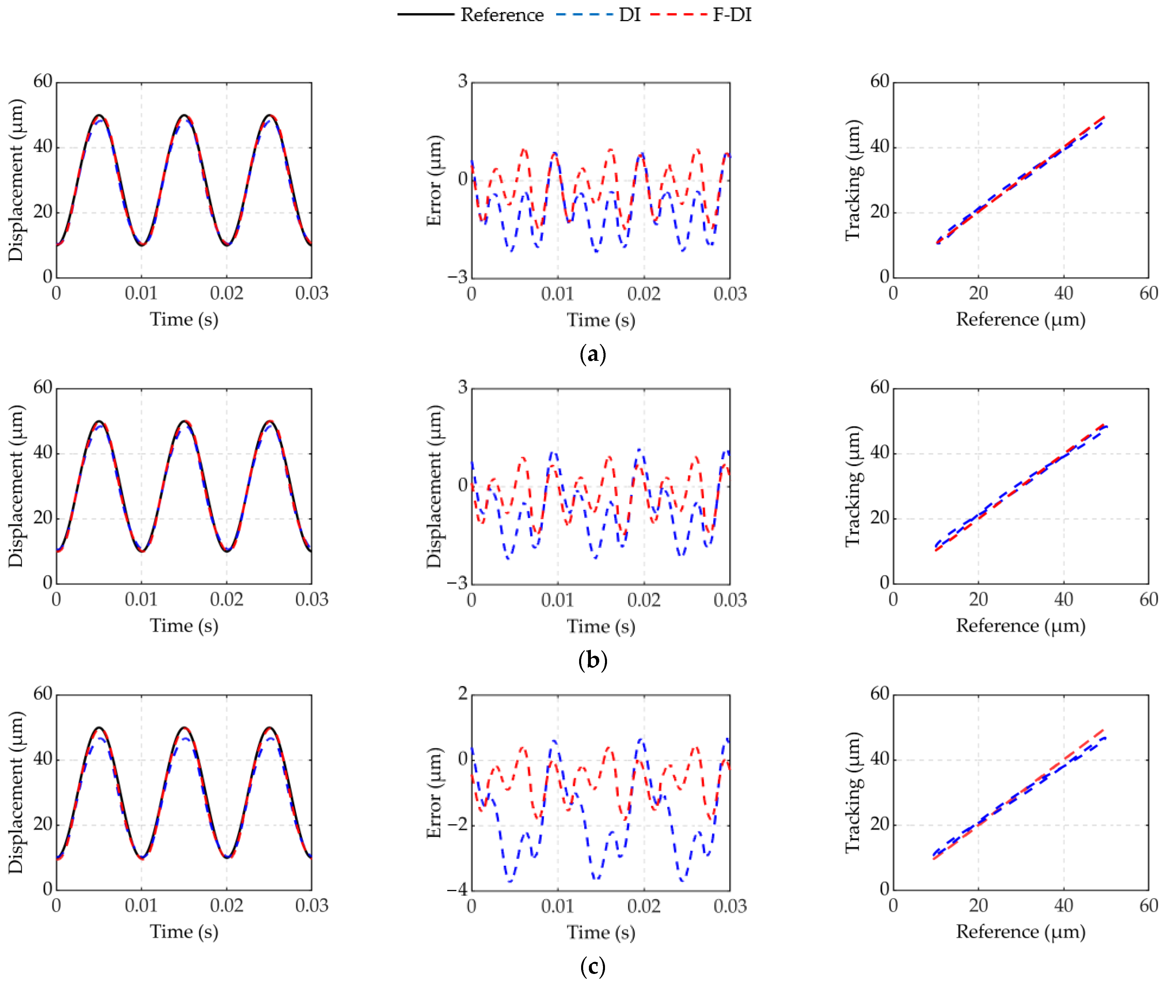
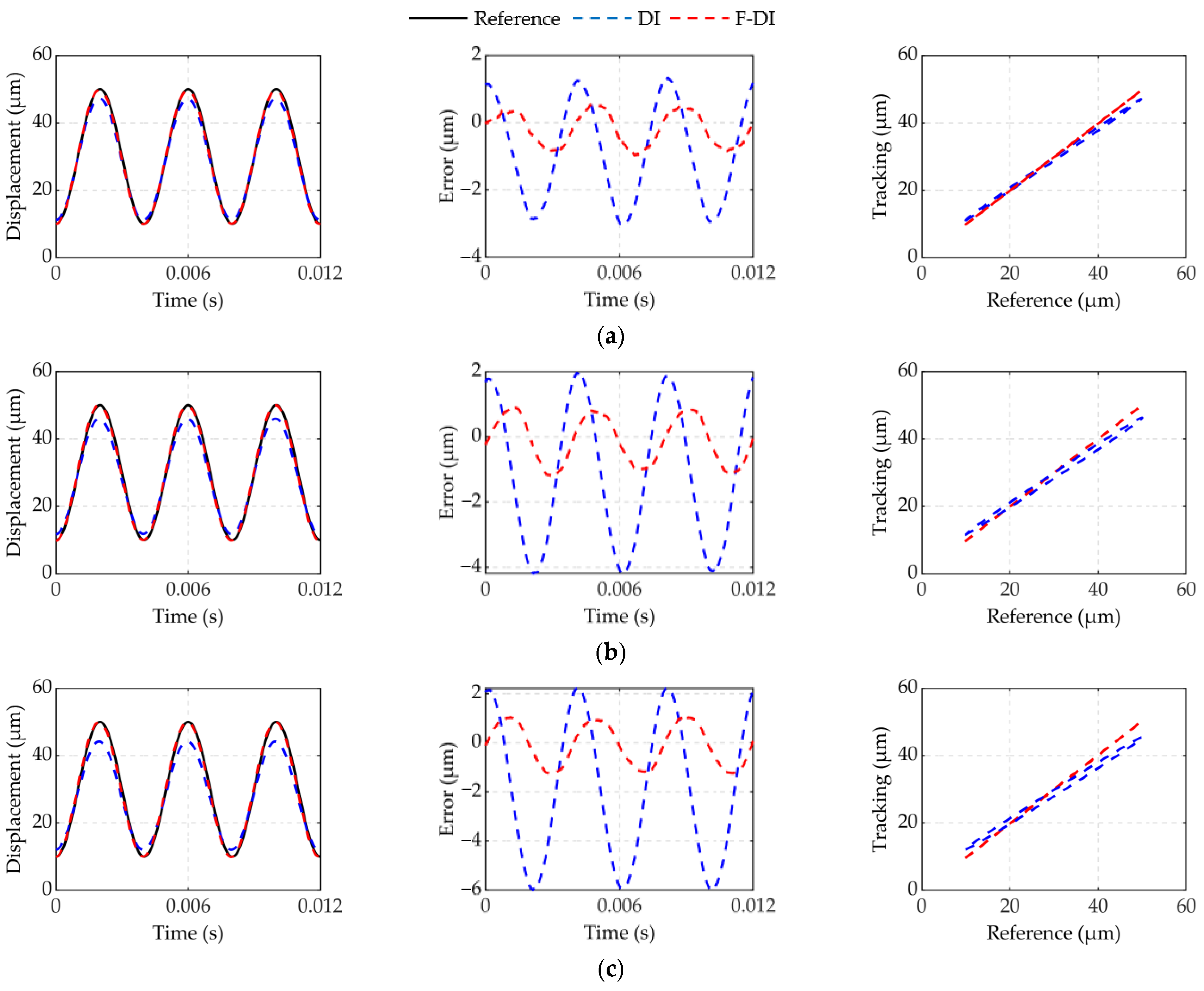
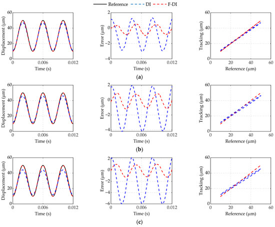
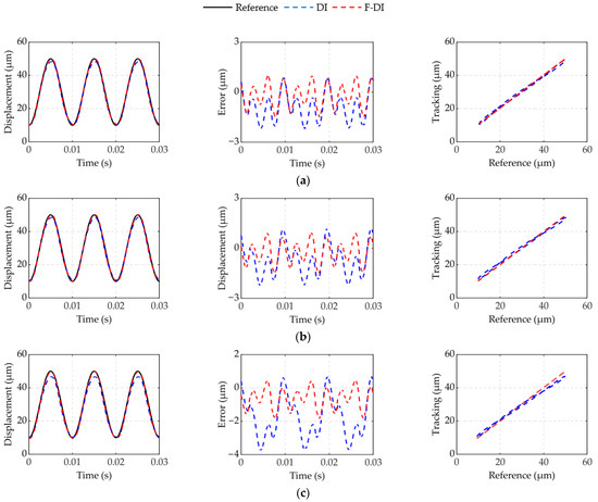
4.2. Results
5. Discussion
6. Conclusions
Author Contributions
Funding
Conflicts of Interest
References
- Chen, Y.; Qiu, J.; Wu, J.; Kojima, F.; Kobayashi, F.; Nakamoto, H. Adaptive control with hysteresis compensation for piezoelectric actuators. Int. J. Appl. Electromagn. Mech. 2016, 52, 843–850. [Google Scholar] [CrossRef]
- Liang, S.; Boudaoud, M.; Morin, P.; Cailliez, J.; Cagneau, B.; Rong, W.; Régnier, S. Model predictive control with obstacle avoidance for inertia actuated AFM probes inside a scanning electron microscope. IEEE Robot. Autom. Lett. 2020, 6, 382–388. [Google Scholar] [CrossRef]
- Habibullah, H. 30 Years of atomic force microscopy: Creep, hysteresis, cross-coupling, and vibration problems of piezoelectric tube scanners. Measurement 2020, 159, 107776. [Google Scholar] [CrossRef]
- Chen, Y.-L.; Wang, S.; Shimizu, Y.; Ito, S.; Gao, W.; Ju, B.-F. An in-process measurement method for repair of defective microstructures by using a fast tool servo with a force sensor. Precis. Eng. 2015, 39, 134–142. [Google Scholar] [CrossRef] [Green Version]
- Gao, W.; Chen, Y.-L.; Lee, K.-W.; Noh, Y.-J.; Shimizu, Y.; Ito, S. Precision tool setting for fabrication of a microstructure array. CIRP Ann. 2013, 62, 523–526. [Google Scholar] [CrossRef]
- Chen, J.; Peng, G.; Hu, H.; Ning, J. Dynamic Hysteresis Model and Control Methodology for Force Output Using Piezoelectric Actuator Driving. IEEE Access 2020, 8, 205136–205147. [Google Scholar] [CrossRef]
- Khalate, A.A.; Bombois, X.; Babuska, R.; Wijshoff, H.; Waarsing, R. Optimization-based feedforward control for a Drop-on-Demand inkjet printhead. In Proceedings of the 2010 American Control Conference, Baltimore, MD, USA, 30 June–2 July 2010; pp. 2182–2187. [Google Scholar]
- Wei, H.; Shirinzadeh, B.; Li, W.; Clark, L.; Pinskier, J.; Wang, Y. Development of Piezo-Driven Compliant Bridge Mechanisms: General Analytical Equations and Optimization of Displacement Amplification. Micromachines 2017, 8, 238. [Google Scholar] [CrossRef] [PubMed]
- Gao, X.; Yang, J.; Wu, J.; Xin, X.; Li, Z.; Yuan, X.; Shen, X.; Dong, S. Piezoelectric Actuators and Motors: Materials, Designs, and Applications. Adv. Mater. Technol. 2019, 5, 1900716. [Google Scholar] [CrossRef]
- Tzen, J.-J.; Jeng, S.-L.; Chieng, W.-H. Modeling of piezoelectric actuator for compensation and controller design. Precis. Eng. 2003, 27, 70–86. [Google Scholar] [CrossRef]
- Yu, Z.; Wu, Y.; Fang, Z.; Sun, H. Modeling and compensation of hysteresis in piezoelectric actuators. Heliyon 2020, 6, e03999. [Google Scholar] [CrossRef] [PubMed]
- Gan, J.; Zhang, X. An enhanced Bouc-Wen model for characterizing rate-dependent hysteresis of piezoelectric actuators. Rev. Sci. Instrum. 2018, 89, 115002. [Google Scholar] [CrossRef]
- Zhang, Z.; Dong, Y. Asymmetrically Dynamic Coupling Hysteresis in Piezoelectric Actuators: Modeling Identification and Experimental Assessments. Int. J. Appl. Mech. 2019, 11, 1950051. [Google Scholar] [CrossRef]
- Jiles, D.; Atherton, D. Ferromagnetic hysteresis. IEEE Trans. Magn. 1983, 19, 2183–2185. [Google Scholar] [CrossRef]
- Stroehla, T.; Radler, O.; Volkert, R.; Zöppig, V. Hysteresis compensation of electromagnets. Facta Univ. Ser. Mech. Eng. 2006, 4, 35–44. [Google Scholar]
- Yang, Y.; Yang, B.; Niu, M. Parameter identification of Jiles–Atherton model for magnetostrictive actuator using hybrid niching coral reefs optimization algorithm. Sens. Actuators A Phys. 2017, 261, 184–195. [Google Scholar] [CrossRef]
- Son, N.N.; Van Kien, C.; Anh, H.P.H. Parameters identification of Bouc–Wen hysteresis model for piezoelectric actuators using hybrid adaptive differential evolution and Jaya algorithm. Eng. Appl. Artif. Intell. 2020, 87, 103317. [Google Scholar] [CrossRef]
- Wang, D.H.; Zhu, W.; Yang, Q. Linearization of Stack Piezoelectric Ceramic Actuators Based on Bouc-Wen Model. J. Intell. Mater. Syst. Struct. 2010, 22, 401–413. [Google Scholar] [CrossRef]
- Xue, X.; Wu, X.; Chen, L.; Sun, Q. Bouc-Wen modeling to hysteresis nonlinear in Macro Fiber Composite (MFC) actuator. Int. J. Appl. Electromagn. Mech. 2014, 45, 965–971. [Google Scholar] [CrossRef]
- Shieh, H.J.; Huang, P.K. Trajectory tracking of piezoelectric positioning stages using a dynamic sliding-mode control. IEEE Trans Ultrason. IEEE Trans. Ultrason. Ferroelectr. Freq. Control. 2006, 53, 1872–1882. [Google Scholar] [CrossRef]
- Zhao, X.; Tan, Y. Neural network based identification of Preisach-type hysteresis in piezoelectric actuator using hysteretic operator. Sens. Actuators A Phys. 2006, 126, 306–311. [Google Scholar] [CrossRef]
- Viswamurthy, S.R.; Ganguli, R. Modeling and compensation of piezoceramic actuator hysteresis for helicopter vibration control. Sens. Actuators A Phys. 2007, 135, 801–810. [Google Scholar] [CrossRef]
- Wang, W.; Wang, R.; Chen, Z.; Sang, Z.; Lu, K.; Han, F.; Wang, J.; Ju, B. A new hysteresis modeling and optimization for piezoelectric actuators based on asymmetric Prandtl-Ishlinskii model. Sens. Actuators A Phys. 2020, 316, 112431. [Google Scholar] [CrossRef]
- Wang, W.; Wang, J.; Chen, Z.; Wang, R.; Lu, K.; Sang, Z.; Ju, B. Research on Asymmetric Hysteresis Modeling and Compensation of Piezoelectric Actuators with PMPI Model. Micromachines 2020, 11, 357. [Google Scholar] [CrossRef] [PubMed] [Green Version]
- Shen, J.-C.; Jywe, W.-Y.; Chiang, H.-K.; Shu, Y.-L. Precision tracking control of a piezoelectric-actuated system. Precis. Eng. 2008, 32, 71–78. [Google Scholar] [CrossRef]
- Ben Mrad, R.; Hu, H. A model for voltage-to-displacement dynamics in piezoceramic actuators subject to dynamic-voltage excitations. IEEE/ASME Trans. Mechatron. 2002, 7, 479–489. [Google Scholar] [CrossRef]
- Al Janaideh, M.; Krejčí, P. Inverse rate-dependent Prandtl–Ishlinskii model for feedforward compensation of hysteresis in a piezomicropositioning actuator. IEEE/ASME Trans. Mechatron. 2012, 18, 1498–1507. [Google Scholar] [CrossRef]
- Wang, W.; Han, F.; Chen, Z.; Wang, R.; Wang, C.; Lu, K.; Wang, J.; Ju, B. Modeling and Compensation for Asymmetrical and Dynamic Hysteresis of Piezoelectric Actuators Using a Dynamic Delay Prandtl-Ishlinskii Model. Micromachines 2021, 12, 92. [Google Scholar] [CrossRef] [PubMed]
- Cheng, L.; Liu, W.; Hou, Z.-G.; Yu, J.; Tan, M. Neural-network-based nonlinear model predictive control for piezoelectric actuators. IEEE Trans. Ind. Electron. 2015, 62, 7717–7727. [Google Scholar] [CrossRef]
- Huo, X.; Ma, L.; Zhao, X.; Niu, B.; Zong, G. Observer-based adaptive fuzzy tracking control of MIMO switched nonlinear systems preceded by unknown backlash-like hysteresis. Inf. Sci. 2019, 490, 369–386. [Google Scholar] [CrossRef]
- Dong, Y.; Hu, H.; Wang, H. Identification and experimental assessment of two-input Preisach model for coupling hysteresis in piezoelectric stack actuators. Sens. Actuators A Phys. 2014, 220, 92–100. [Google Scholar] [CrossRef]
- Feng, Y.; Li, Z.; Rakheja, S.; Jiang, H. A Modified Prandtl-Ishlinskii Hysteresis Modeling Method with Load-dependent Delay for Characterizing Magnetostrictive Actuated Systems. Mech. Sci. 2018, 9, 177–188. [Google Scholar] [CrossRef]
- Zhou, X.; Zhang, L.; Yang, Z.; Sun, L. Modeling and Inverse Compensation of Cross-Coupling Hysteresis in Piezoceramics under Multi-Input. Micromachines 2021, 12, 86. [Google Scholar] [CrossRef] [PubMed]
- Xiong, R.; Liu, X.; Lai, Z. Modeling of Hysteresis in Piezoelectric Actuator Based on Segment Similarity. Micromachines 2015, 6, 1805–1824. [Google Scholar] [CrossRef] [Green Version]
- Sun, Z.; Song, B.; Xi, N.; Yang, R.; Hao, L.; Yang, Y.; Chen, L. Asymmetric Hysteresis Modeling and Compensation Approach for Nanomanipulation System Motion Control Considering Working-Range Effect. IEEE Trans. Ind. Electron. 2017, 64, 5513–5523. [Google Scholar] [CrossRef]
- Liu, Y.; Shan, J.; Gabbert, U. Feedback/feedforward control of hysteresis-compensated piezoelectric actuators for high-speed scanning applications. Smart Mater. Struct. 2015, 24, 015012. [Google Scholar] [CrossRef]

















| Parameters | Spring 1 | Spring 2 | Spring 3 | Spring 4 |
|---|---|---|---|---|
| Outer diameter (mm) | 40 | 40 | 40 | 40 |
| Inner diameter (mm) | 20 | 20 | 20 | 20 |
| Length (mm) | 40 | 40 | 40 | 40 |
| Ultimate compression rate (%) | 50 | 32 | 24 | 20 |
| Ultimate pressure (N) | 1254 | 3136 | 3364 | 4163 |
| Stiffness (N/µm) | 0.063 | 0.245 | 0.350 | 0.520 |
| Frequency | Spring 1 | Spring 2 | Spring 3 | Spring 4 |
|---|---|---|---|---|
| 1 Hz | 6.49 µm | 6.33 µm | 6.10 µm | 5.85 µm |
| 25 Hz | 6.92 µm | 6.74 µm | 6.55 µm | 6.23 µm |
| 250 Hz | 26.94 µm | 25.83 µm | 23.17 µm | 21.59 µm |
| c | ri | ωi | ωFi | p0 | p1 | τ1 | τ2 | φ1 | φ2 |
|---|---|---|---|---|---|---|---|---|---|
| 0 | 0 | 12.44 | 2.80 × 10−3 | 1.65 | 6.97 × 10−3 | 169 | 45 | 161 | 44 |
| 1 | 6 | 1.69 | 0.19 | ||||||
| 2 | 12 | 0.23 | 0.03 | ||||||
| 3 | 18 | 0.85 | 5.02 × 10−14 | ||||||
| 4 | 24 | 0.53 | 5.44 × 10−15 | ||||||
| 5 | 30 | 1.63 | 2.22 × 10−15 | ||||||
| 6 | 36 | 0.67 | 1.03 × 10−14 | ||||||
| 7 | 42 | 0.51 | 1.50 × 10−14 | ||||||
| 8 | 48 | 0.57 | 1.88 × 10−15 | ||||||
| 9 | 56 | 0.68 | 3.66 × 10−15 | ||||||
| 10 | 60 | 1.75 | 0.56 |
| Variable | DI | F-DI | ||
|---|---|---|---|---|
| Frequency | 100 Hz | 250 Hz | 100 Hz | 250 Hz |
| Spring 2 | 2.19 µm | 3.02 µm | 1.50 µm | 0.96 µm |
| Spring 3 | 2.23 µm | 4.19 µm | 1.52 µm | 1.18 µm |
| Spring 4 | 3.72 µm | 6.00 µm | 1.85 µm | 1.25 µm |
Publisher’s Note: MDPI stays neutral with regard to jurisdictional claims in published maps and institutional affiliations. |
© 2021 by the authors. Licensee MDPI, Basel, Switzerland. This article is an open access article distributed under the terms and conditions of the Creative Commons Attribution (CC BY) license (https://creativecommons.org/licenses/by/4.0/).
Share and Cite
Wang, W.; Wang, J.; Wang, R.; Chen, Z.; Han, F.; Lu, K.; Wang, C.; Xu, Z.; Ju, B. Modeling and Compensation of Dynamic Hysteresis with Force-Voltage Coupling for Piezoelectric Actuators. Micromachines 2021, 12, 1366. https://doi.org/10.3390/mi12111366
Wang W, Wang J, Wang R, Chen Z, Han F, Lu K, Wang C, Xu Z, Ju B. Modeling and Compensation of Dynamic Hysteresis with Force-Voltage Coupling for Piezoelectric Actuators. Micromachines. 2021; 12(11):1366. https://doi.org/10.3390/mi12111366
Chicago/Turabian StyleWang, Wen, Jiahui Wang, Ruijin Wang, Zhanfeng Chen, Fuming Han, Keqing Lu, Chuanyong Wang, Zhenlong Xu, and Bingfeng Ju. 2021. "Modeling and Compensation of Dynamic Hysteresis with Force-Voltage Coupling for Piezoelectric Actuators" Micromachines 12, no. 11: 1366. https://doi.org/10.3390/mi12111366
APA StyleWang, W., Wang, J., Wang, R., Chen, Z., Han, F., Lu, K., Wang, C., Xu, Z., & Ju, B. (2021). Modeling and Compensation of Dynamic Hysteresis with Force-Voltage Coupling for Piezoelectric Actuators. Micromachines, 12(11), 1366. https://doi.org/10.3390/mi12111366

