A Novel Ultra-Broadband Polarization Filter Based on a Microstructured Optical Fiber with a Gold-Coated Air Hole
Abstract
1. Introduction
2. Structure of MOF Filter
3. Numerical Results and Analysis
3.1. Dispersion Relation
3.2. Contrast and Discussion
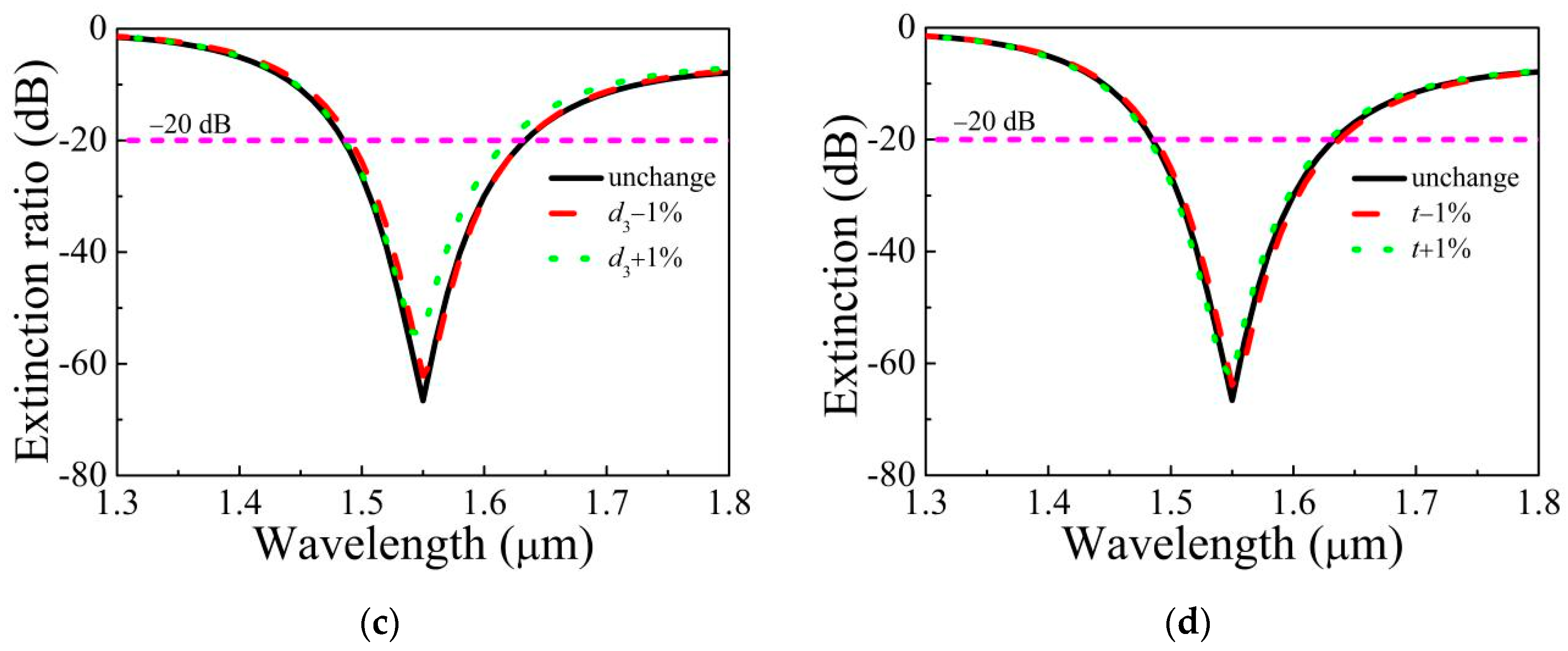
3.3. Analysis of the Tolerance
4. Conclusions
Author Contributions
Funding
Acknowledgments
Conflicts of Interest
References
- Hameed, M.F.O.; Obayya, S.S.A. Coupling characteristics of dual liquid crystal core soft glass photonic crystal fiber. IEEE J. Quantum Elect. 2011, 47, 1283–1290. [Google Scholar] [CrossRef]
- Ren, G.; Shum, P.; Yu, X.; Hu, J.; Wang, G.; Gong, Y. Polarization dependent guiding in liquid crystal filled photonic crystal fibers. Opt. Commun. 2008, 281, 1598–1606. [Google Scholar] [CrossRef]
- Yang, C.; Zhang, H.; Miao, Y.; Hu, L.; Xing, Z.; Wang, Z.; Liu, B. Load-Insensitive temperature sensor based on azobenzene-chloroform-solution-filled microstructured optical fiber. Opt. Lett. 2013, 38, 5426–5429. [Google Scholar] [CrossRef] [PubMed]
- Horng, H.E.; Yang, S.Y.; Lee, S.L. Magnetochromatics of the magnetic fluid film under a dynamic magnetic field. Appl. Phys. Lett. 2001, 79, 350–352. [Google Scholar] [CrossRef]
- Zu, P.; Chan, C.; Koh, G.; Lew, W.; Jin, Y.; Liew, H.; Wong, W.; Dong, X. Enhancement of the sensitivity of magneto-optical fiber sensor by magnifying the birefringence of magnetic fluid film with Loyt-Sagnac interferometer. Sens. Actuat. B Chem. 2014, 191, 19–23. [Google Scholar] [CrossRef]
- Tyagi, H.K.; Schmidt, M.A.; Sempere, L.P.; Russell, P.S.J. Optical properties of photonic crystal fiber with integral micron-sized Ge wire. Opt. Express 2008, 16, 17227–17236. [Google Scholar] [CrossRef]
- Abramov, A.A.; Eggleton, B.J.; Rogers, J.A.; Espindola, R.P.; Hale, A.; Windeler, A.S.; Strasser, T.A. Electrically tunable efficient broad-band fiber filter. IEEE Photonic Tech. Lett. 1999, 11, 445–447. [Google Scholar] [CrossRef]
- Kerbage, C.; Steinvurzel, P.; Reyes, P.; Westbrook, P.S.; Windeler, R.S.; Hale, A.; Eggleton, B.J. Highly tunable birefringent microstructured optical fiber. Opt. Lett. 2002, 27, 842–844. [Google Scholar] [CrossRef]
- Tyagi, H.K.; Lee, H.W.; Uebel, P.; Schmidt, M.A.; Joly, N.; Scharrer, M.; Russell, P.S.J. Plasmon resonances on gold nanowires directly drawn in a step-index fiber. Opt. Lett. 2010, 35, 2573–2575. [Google Scholar] [CrossRef]
- Lee, H.W.; Schmidt, M.A.; Russell, R.F.; Joly, N.Y.; Tyagi, H.K.; Uebel, P.; Russell, P.S.J. Pressure-assisted melt-filling and optical characterization of Au nano-wires in microstructured fibers. Opt. Express 2011, 19, 12180–12189. [Google Scholar] [CrossRef]
- Schmidt, M.A.; Russell, P.S.J. Long-range spiralling surface plasmon modes on metallic nanowires. Opt. Express 2008, 16, 13617–13623. [Google Scholar] [CrossRef] [PubMed]
- Wu, C.; Li, J.; Feng, X.; Guan, B.; Tam, H.Y. Side-hole photonic crystal fiber with ultrahigh polarimetric pressure sensitivity. J. Lightwave Technol. 2011, 29, 943–948. [Google Scholar] [CrossRef]
- Chen, M.; Sun, B.; Zhang, Y.; Fu, X. Design of broadband polarization splitter based on partial coupling in square-lattice photonic crystal fiber. Appl. Opt. 2010, 49, 3042–3048. [Google Scholar] [CrossRef] [PubMed]
- Kuhlmey, B.T.; Pathmanandavel, K.; McPhedran, R.C. Multipole analysis of photonic crystal fibers with coated inclusions. Opt. Express 2006, 14, 10851–10864. [Google Scholar] [CrossRef] [PubMed]
- Lee, H.W.; Schmidt, M.A.; Tyagi, H.K.; Sempere, P.; Russell1, P.S.J. Polarization-dependent coupling to plasmon modes on submicron gold wire in photonic crystal fiber. Appl. Phys. Lett. 2008, 93, 111102. [Google Scholar] [CrossRef]
- Nagasaki, A.; Saitoh, K.; Koshiba, M. Polarization characteristics of photonic crystal fibers selectively filled with metal wires into cladding air holes. Opt. Express 2011, 19, 3799–3808. [Google Scholar] [CrossRef]
- Xue, J.; Li, S.; Xiao, Y.; Qin, W.; Xin, X.; Zhu, X. Polarization filter characters of the gold-coated and the liquid filled photonic crystal fiber based on surface plasmon resonance. Opt. Express 2013, 21, 13733–13740. [Google Scholar] [CrossRef]
- An, G.; Li, S.; Zhang, W.; Fan, Z.; Bao, Y. A polarization filter of gold-filled photonic crystal fiber with regular triangular and rectangular lattices. Opt. Commun. 2014, 331, 316–319. [Google Scholar] [CrossRef]
- Chen, H.; Li, S.; Ma, M.; Fan, Z.; Wu, Y. Ultrabroad bandwidth polarization filter based on D-shaped photonic crystal fibers with gold film. Plasmonics 2015, 10, 1239–1242. [Google Scholar] [CrossRef]
- Dou, C.; Jing, X.; Li, S.; Liu, Q.; Bian, J. A photonic crystal fiber polarized filter at 1.55 μm based on surface plasmon resonance. Plasmonics 2016, 11, 1163–1168. [Google Scholar] [CrossRef]
- Chen, H.; Li, S.; Ma, M.; Li, J.; Fan, Z.; Shi, M. Surface plasmon induced polarization filter based on au wires and liquid crystal infiltrated photonic crystal fibers. Plasmonics 2016, 11, 459–464. [Google Scholar] [CrossRef]
- Shi, M.; Li, S.; Chen, H.; Wang, G.; Zhao, Y. Surface plasmon resonance effect induced tunable polarization filter based on gold film selectively coated photonic crystal fiber. Opt. Commun. 2017, 396, 257–260. [Google Scholar] [CrossRef]
- Feng, X.; Du, H.; Li, S.; Zhang, Y.; Liu, Q.; Gao, X. A broadband core shift polarization filter based on photonic crystal fiber with a big gold-coated air hole. Opt. Quant. Electron. 2017, 49, 235. [Google Scholar] [CrossRef]
- Dou, C.; Jing, X.; Li, S.; Wu, J.; Wang, Q. Low-loss polarization filter at 1.55 µm based on photonic crystal fiber. Optik 2018, 162, 214–219. [Google Scholar] [CrossRef]
- Feng, X.; Li, S.; Du, H.; Zhang, Y.; Liu, Q. A simple gold-coated microstructure fiber polarization filter in two communication windows. Opt. Fiber Technol. 2018, 41, 74–77. [Google Scholar] [CrossRef]
- Guo, Y.; Li, J.; Li, S.; Zhang, S.; Liu, Y. Broadband single-polarization filter of D-shaped photonic crystal fiber with a micro-opening based on surface plasmon resonance. Appl. Opt. 2018, 57, 8016–8022. [Google Scholar] [CrossRef]
- Qu, Y.; Yuan, J.; Zhou, X.; Li, F.; Mei, C.; Yan, B.; Wu, Q.; Wang, K.; Sang, X.; Long, K.; et al. A V-shape photonic crystal fiber polarization filter based on surface plasmon resonance effect. Opt. Commun. 2019, 452, 1–6. [Google Scholar] [CrossRef]
- Wang, Y.; Li, S.; Chen, H.; Li, J.; Shi, M.; Zhang, S.; Zhang, Z. Rectangular lattice photonic crystal fiber with simultaneous polarization filtering at communication wavelengths of 1310 nm and 1550 nm. Photonics Nanostruc. 2019, 33, 36–41. [Google Scholar] [CrossRef]
- Liu, C.; Wang, L.; Wang, F.; Xu, C.; Liu, Q.; Liu, W.; Yang, L.; Li, X.; Sun, T.; Chu, P.K. Tunable single-polarization bimetal-coated and liquid-filled photonic crystal fiber filter based on surface plasmon resonance. Appl. Opt. 2019, 58, 6308–6314. [Google Scholar] [CrossRef]
- Wang, C.; Zhang, Y.; Wu, Z.; Zhang, G.; Zhang, Y.; Jiang, L. A broadband single polarization photonic crystal fiber filter around 1.55 μm based on gold-coated and pentagonal structure. Plasmonics 2020, 4. [Google Scholar] [CrossRef]
- Ghosh, G.; Endo, M.; Iwasaki, T. Temperature-dependent sellmeier coefficients and chromatic dispersions for some optical fiber glasses. J. Lightwave Technol. 1994, 12, 1338–1342. [Google Scholar] [CrossRef]
- Islam, M.S.; Sultana, J.; Rifat, A.A.; Ahmed, R.; Dinovitser, A.; Ng, B.W.H.; Ebendorff-Heidepriem, H.; Abbott, D. Dual-polarized highly sensitive plasmonic sensor in the visible to near-IR spectrum. Opt. Express 2018, 26, 30347–30361. [Google Scholar] [CrossRef] [PubMed]
- Sun, B.; Chen, M.Y.; Zhou, J.; Zhang, Y.K. Surface plasmon induced polarization splitting based on dual-core photonic crystal fiber with metal wire. Plasmonics 2013, 8, 1253–1258. [Google Scholar] [CrossRef]
- Liu, Q.; Li, S.; Li, J.; Dou, C.; Wang, X.; Wang, G.; Shi, M. Tunable fiber polarization filter by filling different index liquids and gold wire into photonic crystal fiber. J. Lightwave Technol. 2016, 34, 2484–2490. [Google Scholar] [CrossRef]
- Zhang, Z.; Shi, Y.; Bian, B.; Lu, J. Dependence of leaky mode coupling on loss in photonic crystal fiber with hybrid cladding. Opt. Express 2008, 16, 1915–1922. [Google Scholar] [CrossRef]
- Li, X.; Liu, P.; Xu, Z.; Zhang, Z. Design of a pentagonal photonic crystal fiber with high birefringence and large flattened negative dispersion. Appl. Opt. 2015, 54, 7350–7357. [Google Scholar] [CrossRef]
- Zhang, X.; Wang, R.; Cox, F.M.; Kuhlmey, B.T.; Large, M.C.J. Selective coating of holes in microstructured optical fiber and its application to in-fiber absorptive polarizers. Opt. Express 2007, 15, 16270–16278. [Google Scholar] [CrossRef]
- Liu, B.; Jiang, Y.; Zhu, X.; Tang, X.; Shi, Y. Hollow fiber surface plasmon resonance sensor for the detection of liquid with high refractive index. Opt. Express 2013, 21, 32349–32357. [Google Scholar] [CrossRef]










| Ref. | Resonance Wavelength (μm) | α(y) (dB/cm) | α(x) (dB/cm) | Loss Ratio | Length (mm) | Bandwidth (nm) | Fiber Structure |
|---|---|---|---|---|---|---|---|
| [20] | 1.55 | 630.2 | 36.90 | 17.08 | 4 | 520 | Rhombic |
| [22] | 1.55 | 433.65 | 2.64 | 164.26 | 4 | 150 | Rectangular |
| [24] | 1.55 | 1005.50 | 1.50 | 670.33 | 4 | 870 | Square |
| [25] | 1.31 | 832.35 | N/A | N/A | 0.3 | 150 | Square |
| 1.55 | 742.44 | N/A | N/A | 0.3 | 350 | ||
| [27] | 1.55 | 689.04 | 8.58 | 80.31 | 4 | 138 | V-shape |
| our filter | 1.55 | 665.97 | 0.17 | 3917.47 | 4 | >900 | Pentagonal |
| Parameter Change | Resonance Wavelength (μm) | α(y) (dB/cm) | α(x) (dB/cm) | Loss Ratio | Min ER (dB) | Bandwidth (ER < −20 dB) (nm) |
|---|---|---|---|---|---|---|
| Unchanged | 1.550 | 665.97 | 0.17 | 3917.47 | −66.58 | 140 |
| d1 − 1% | 1.546 | 668.73 | 0.16 | 4179.56 | −66.86 | 130 |
| d1 + 1% | 1.554 | 660.77 | 0.18 | 3670.94 | −66.06 | 140 |
| d2 − 1% | 1.562 | 646.86 | 0.20 | 3234.30 | −64.67 | 140 |
| d2 + 1% | 1.537 | 681.56 | 0.14 | 4868.29 | −68.14 | 130 |
| d3 − 1% | 1.553 | 650.93 | 0.18 | 3616.28 | −65.08 | 130 |
| d3 + 1% | 1.546 | 672.80 | 0.16 | 4205.00 | −58.42 | 120 |
| t − 1% | 1.553 | 668.14 | 0.17 | 3930.23 | −66.80 | 140 |
| t + 1% | 1.547 | 659.17 | 0.17 | 3877.47 | −65.90 | 130 |
© 2020 by the authors. Licensee MDPI, Basel, Switzerland. This article is an open access article distributed under the terms and conditions of the Creative Commons Attribution (CC BY) license (http://creativecommons.org/licenses/by/4.0/).
Share and Cite
Wang, C.; Zhang, Y.; Wu, Z.; Wang, Q.; Zhang, G.; Zhang, Y.; Jiang, L. A Novel Ultra-Broadband Polarization Filter Based on a Microstructured Optical Fiber with a Gold-Coated Air Hole. Micromachines 2020, 11, 816. https://doi.org/10.3390/mi11090816
Wang C, Zhang Y, Wu Z, Wang Q, Zhang G, Zhang Y, Jiang L. A Novel Ultra-Broadband Polarization Filter Based on a Microstructured Optical Fiber with a Gold-Coated Air Hole. Micromachines. 2020; 11(9):816. https://doi.org/10.3390/mi11090816
Chicago/Turabian StyleWang, Chao, Yajing Zhang, Zheng Wu, Qian Wang, Guoxu Zhang, Yiyang Zhang, and Linghong Jiang. 2020. "A Novel Ultra-Broadband Polarization Filter Based on a Microstructured Optical Fiber with a Gold-Coated Air Hole" Micromachines 11, no. 9: 816. https://doi.org/10.3390/mi11090816
APA StyleWang, C., Zhang, Y., Wu, Z., Wang, Q., Zhang, G., Zhang, Y., & Jiang, L. (2020). A Novel Ultra-Broadband Polarization Filter Based on a Microstructured Optical Fiber with a Gold-Coated Air Hole. Micromachines, 11(9), 816. https://doi.org/10.3390/mi11090816

