Electrical Properties of Ultra-Fast 3D-Trench Electrode Silicon Detector
Abstract
1. Introduction
2. Modeling of the Ultra-Fast 3D-Trench Electrode Silicon Detector on p-Type Bulk
3. Electrical Characteristics Results
3.1. 3D Simulation and Electric Potential Distribution of the Ultra-Fast 3D-Trench Electrode Silicon Detector
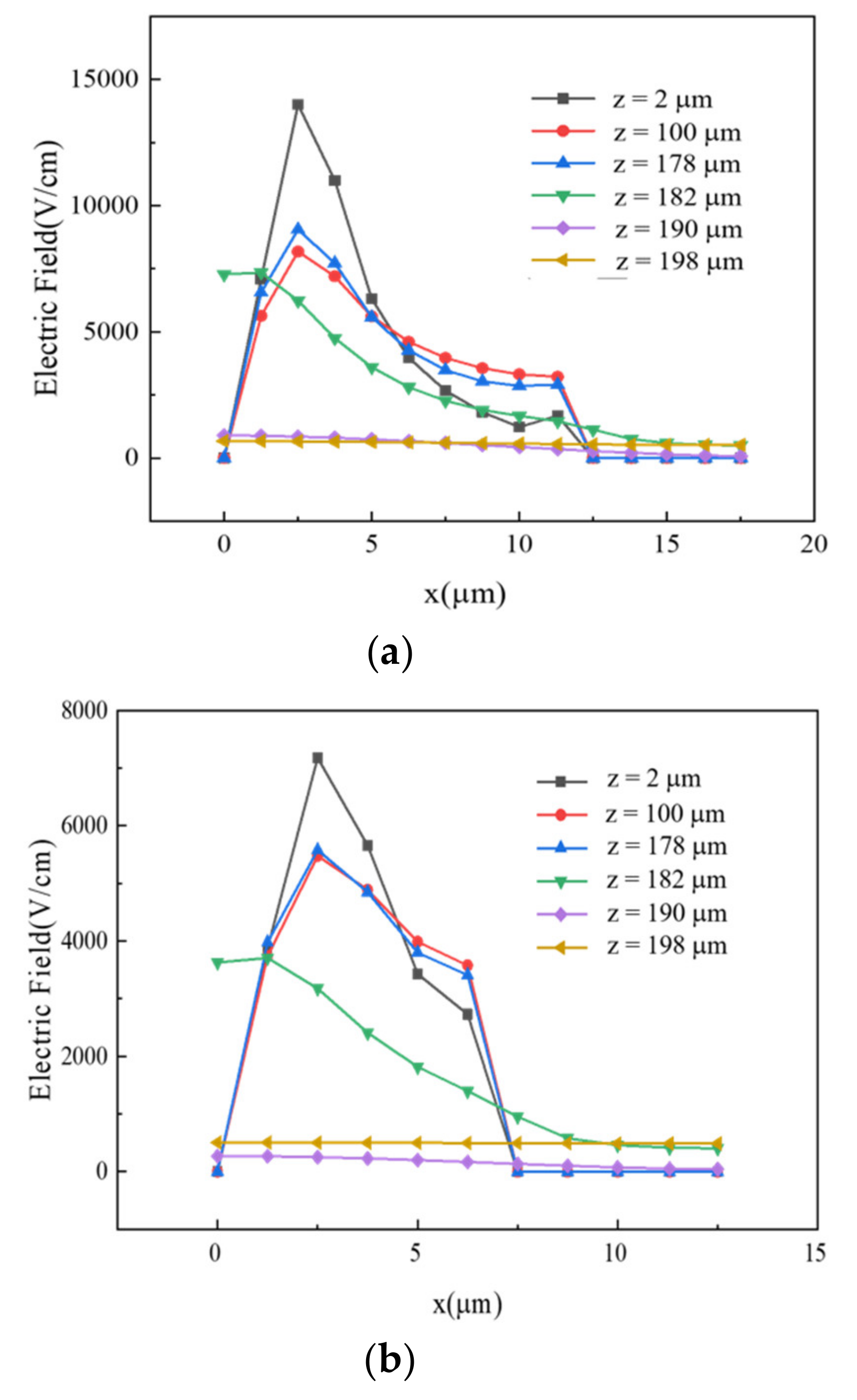
3.2. Electric Field Distribution of the Ultra-Fast 3D-Trench Electrode Silicon Detector
3.3. Full Depletion Voltage and Leakage Current of the Ultra-Fast 3D-Trench Electrode Silicon Detector
3.4. Drift Time Study of the Ultra-Fast 3D-Trench Electrode Silicon Detector
4. Detector Array of the Ultra-Fast 3D-Trench Electrode Detector Cells
5. Conclusions
Author Contributions
Funding
Conflicts of Interest
References
- Kalender, W.A.; Kolditz, D.; Steiding, C.; Ruth, V.; Lück, F.; Rößler, A.C.; Wenkel, E. Technical feasibility proof for high-resolution low-dose photon-counting CT of the breast. Eur. Radiol. 2017, 27, 1081–1086. [Google Scholar] [CrossRef] [PubMed]
- Pourmorteza, A.; Symons, R.; Sandfort, V.; Mallek, M.; Fuld, M.K.; Henderson, G.; Jones, E.C.; Malayeri, A.A.; Folio, L.R.; Bluemke, D.A. Abdominal Imaging with Contrast-enhanced Photon-counting CT: First Human Experience. Radiology 2016, 279, 239–245. [Google Scholar] [CrossRef] [PubMed]
- Lutz, G. Novel semiconductor detectors for X-ray astronomy and spectroscopy. Nucl. Instrum. Meth. A 2003, 501, 288–297. [Google Scholar] [CrossRef]
- Witze, A. NASA test proves pulsars can function as a celestial GPS. Nature 2018, 553, 261–262. [Google Scholar] [CrossRef]
- Gutsche, O. Dark matter and Super Symmetry: Exploring and explaining the universe with simulations at the LHC. In 2016 Winter Simulation Conference (WSC); IEEE: Piscataway, NY, USA, 2016; pp. 4–13. [Google Scholar]
- Stapnes, S. Detector challenges at the LHC. Nature 2007, 448, 290–296. [Google Scholar] [CrossRef]
- Ruzin, A. Review of semiconductor ionizing radiation detectors. Nat. Sci. J. Xiangtan Univ. 2018, 4, 106–114. [Google Scholar]
- Galloway, Z.; Gee, C.; Mazza, S.; Ohldag, H.; Rodriguez, R.; Sadrozinski, H.W.; Schumm, B.A.; Seiden, A.; Wyatt, W.; Zhao, Y. Use of ‘LGAD’ ultra-fast silicon detectors for time-resolved low-keV X-ray science. Nucl. Instrum. Meth. A 2019, 923, 5–7. [Google Scholar] [CrossRef]
- Cui, Z.; Luo, F.; Wang, N.; Cheng, L. Thermal control system of alpha magnetic spectrometer. Sci. China 2013, 56, 2553–2562. [Google Scholar] [CrossRef]
- Aguilar, M.; Alberti, G.; Alpat, B.; Alvino, A.; Ambrosi, G.; Andeen, K.; Anderhub, H.; Arruda, L.; Azzarello, P.; Bachlechner, A.; et al. First result from the alpha magnetic spectrometer on the international space station: Precision measurement of the positron fraction in primary cosmic rays of 0.5–350 GeV. Phys. Rev. Lett. 2013, 110, 102–141. [Google Scholar] [CrossRef]
- Veloce, L.M. Strip detector for the ATLAS detector upgrade for the high—luminosity LHC. In Proceedings of the 2016 IEEE Nuclear Science Symposium, Medical Imaging Conference and Room-Temperature Semiconductor Detector Workshop (NSS/MIC/RTSD), Krakow, Poland, 29 October–6 November 2016. [Google Scholar]
- Alía, R.G.; Brugger, M.; Cerutti, F.; Danzeca, S.; Ferrari, A.; Gilardoni, S.; Kadi, Y.; Kastriotou, M.; Lechner, A.; Martinella, C.; et al. LHC and HL-LHC: Present and future radiation environment in the High-Luminosity collision points and RHA implications. IEEE Trans. Nucl. Sci. 2018, 65, 448–456. [Google Scholar] [CrossRef]
- Allaire, C. A High-Granularity Timing Detector in ATLAS: Performance at the HL-LHC. Nucl. Instrum. Meth. A 2019, 924, 355–359. [Google Scholar] [CrossRef]
- Gädda, A.; Winkler, A.; Ott, J.; Härkönen, J.; Karadzhinova-Ferrer, A.; Koponen, P.; Luukka, P.; Tikkanen, J.; Vähänen, S. Advanced processing of CdTe pixel radiation detectors. J. Instrum. 2017, 12, C12031. [Google Scholar] [CrossRef]
- Härkönen, J.; Tuovinen, E.; Luukka, P.; Gädda, A.; Mäenpää, T.; Tuominen, E.; Arsenovich, T.; Junkes, A.; Wu, X.; Li, Z. Processing of n+/p-/p+ strip detectors with atomic layer deposition (ALD) grown Al2O3 field insulator on magnetic Czochralski silicon (MCz-si) substrates. Nucl. Instrum. Meth. A 2016, 828, 46–51. [Google Scholar] [CrossRef]
- Da Via, C.; Hasi, J.; Kenney, C.; Linhart, V.; Parker, S.; Slavicek, T.; Watts, S.J.; Bem, P.; Horazdovsky, T.; Pospisil, S. Radiation hardness properties of full-3D active edge silicon sensors. Nucl. Instrum. Meth. A 2008, 587, 243–249. [Google Scholar] [CrossRef]
- Li, Z. New BNL 3D-Trench electrode Si detectors for radiation hard detectors for sLHC and for X-ray application. Nucl. Instrum. Meth. A 2011, 658, 90–97. [Google Scholar] [CrossRef]
- Leutenegger, P.; Longoni, A.; Fiorini, C.; Strüder, L.; Kemmer, J.; Lechner, P.; Sciuti, S.; Cesareo, R. Works of art investigation with silicon drift detectors. Nucl. Instrum. Meth. A 2000, 439, 458–470. [Google Scholar] [CrossRef]
- Hansen, K.; Reckleben, C.; Diehl, I.; Welter, E. Electrical and spectroscopic characterization of 7-cell Si-drift detectors. Nucl. Instrum. Meth. A 2008, 585, 76–82. [Google Scholar] [CrossRef]
- Strueder, L.; Hartmann, R.; Kemmer, S.; Krause, N.; Stoetter, D.; Lutz, G.; Solc, P.; Holl, P.; Lechner, P.; Leutenegger, P. Room temperature X- and gamma-ray spectroscopy with silicon drift detectors. In Proceedings of the SPIE—The International Society for Optical Engineering, International Symposium on Optical Science and Technology, San Diego, CA, USA, 30 July–4 August 2000; pp. 29–47. [Google Scholar]
- Alberti, R.O.; Fiorini, C.; Guazzoni, C.H.; Klatka, T.O.; Longoni, A. Elemental mapping by means of 440 an ultra-fast XRF spectrometer based on a novel high-performance monolithic array of Silicon Drift Detectors. Nucl. Instrum. Meth. A 2007, 580, 1004–1007. [Google Scholar] [CrossRef]
- Montalbano, A.; Bassignana, D.; Li, Z.; Liu, S.; Lynn, D.; Pellegrini, G.; Tsybychev, D. A systematic study of BNL’s 3D-Trench Electrode detectors. Nucl. Instrum. Meth. A 2014, 765, 23–28. [Google Scholar] [CrossRef]
- Chen, J.; Ding, H.; Li, Z.; Yan, S. 3D simulations of device performance for 3D-Trench electrode detector. Nucl. Instrum. Meth. A 2015, 796, 34–37. [Google Scholar] [CrossRef]
- Ding, H.; Chen, J.; Li, Z.; Yan, S. Modeling and simulation of charge collection properties for 3D-trench electrode detector. Nucl. Instrum. Meth. A 2015, 796, 29–33. [Google Scholar] [CrossRef]
- Liu, M.; Li, Z.; Feng, M. 3D Simulation and Modeling of Ultra-fast 3D Silicon Detectors. In Proceedings of the MATEC Web of Conference, Malacca, Malaysia, 25–27 February 2017; Volume 108. [Google Scholar] [CrossRef]
- Liu, M.; Li, Z. Development of Ultra-fast 3D Silicon Detectors: 3D Simulation and Modeling of 3D-trench Electrode Detector. Adv. Eng. Res. 2017, 10, 99–105. [Google Scholar]
- Baselga Bacardit, M. Radiation hard semiconductor devices for very high luminosity colliders. In Proceedings of the 24th International Workshop on Vertex Detectors, Santa Fe, NM, USA, 1–5 June 2015. [Google Scholar]
- Allport, P.P.; Casse, G.; Greenall, A. Radiation tolerance of oxygenated n-strip read-out detectors. Nucl. Instrum. Meth. A 2003, 513, 84–88. [Google Scholar] [CrossRef]
- Casse, G.; Allport, P.P.; Garcia, S.M.; Lozano, M.; Turner, P.R. Performances of miniature microstrip detectors made on oxygen enriched p-type substrates after very high proton irradiation. Nucl. Instrum. Meth. A 2004, 535, 362–365. [Google Scholar] [CrossRef]
- Manual, A.U. Device Simulation Software; Silvaco Int.: Santa Clara, CA, USA, 2008. [Google Scholar]
- Carulla, M. First 50 μm thick LGAD fabrication at CNM. In Proceedings of the 28th RD50 Workshop, Torino, Italy, 6–8 June 2016; Available online: https://agenda.infn.it/getFile.py/access?contribId=20&sessionId=8&resId=0&materialId=slide&confId=11109 (accessed on 7 June 2016).
- Sadrozinski, H.W.; Anker, A.; Chen, J.; Fadeyev, V.; Freeman, P.; Galloway, Z.; Gruey, B.; Grabas, H.; John, C.; Liang, Z.; et al. Ultra-fast silicon detectors (UFSD). Nucl. Instrum. Meth. A 2016, 831, 18–23. [Google Scholar] [CrossRef]













© 2020 by the authors. Licensee MDPI, Basel, Switzerland. This article is an open access article distributed under the terms and conditions of the Creative Commons Attribution (CC BY) license (http://creativecommons.org/licenses/by/4.0/).
Share and Cite
Liu, M.; Zhou, T.; Li, Z. Electrical Properties of Ultra-Fast 3D-Trench Electrode Silicon Detector. Micromachines 2020, 11, 674. https://doi.org/10.3390/mi11070674
Liu M, Zhou T, Li Z. Electrical Properties of Ultra-Fast 3D-Trench Electrode Silicon Detector. Micromachines. 2020; 11(7):674. https://doi.org/10.3390/mi11070674
Chicago/Turabian StyleLiu, Manwen, Tao Zhou, and Zheng Li. 2020. "Electrical Properties of Ultra-Fast 3D-Trench Electrode Silicon Detector" Micromachines 11, no. 7: 674. https://doi.org/10.3390/mi11070674
APA StyleLiu, M., Zhou, T., & Li, Z. (2020). Electrical Properties of Ultra-Fast 3D-Trench Electrode Silicon Detector. Micromachines, 11(7), 674. https://doi.org/10.3390/mi11070674

