Near-Infrared Organic Phototransistors with Polymeric Channel/Dielectric/Sensing Triple Layers
Abstract
1. Introduction
2. Materials and Methods
2.1. Materials and Solutions
2.2. Thin Film and Device Fabrication
2.3. Measurement
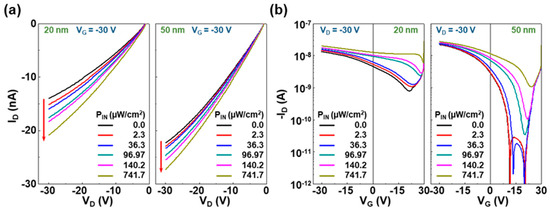
3. Results and Discussion
4. Conclusions
Author Contributions
Funding
Conflicts of Interest
References
- Hu, Y.; Dong, G.; Liu, C.; Wang, L.; Qiu, Y. Dependency of Organic Phototransistor Properties on the Dielectric Layers. Appl. Phys. Lett. 2006, 89, 072108. [Google Scholar] [CrossRef]
- Milvich, J.; Zaki, T.; Aghamohammadi, M.; Rödel, R.; Kraft, U.; Klauk, H.; Burghartz, J.N. Flexible Low-Voltage Organic Phototransistors Based on Air-Stable Dinaphtho[2,3-B:2′,3′-F]Thieno[3,2-B]Thiophene (DNTT). Org. Electron. 2015, 20, 63–68. [Google Scholar] [CrossRef]
- Huang, J.; Du, J.; Cevher, Z.; Ren, Y.; Wu, X.; Chu, Y. Printable and Flexible Phototransistors Based on Blend of Organic Semiconductor and Biopolymer. Adv. Funct. Mater. 2017, 27, 1604163. [Google Scholar] [CrossRef]
- Liu, M.; Wang, H.; Tang, Q.; Zhao, X.; Tong, Y.; Liu, Y. Ultrathin Air-Stable N-Type Organic Phototransistor Array for Conformal Optoelectronics. Sci. Rep. 2018, 8, 16612–16617. [Google Scholar] [CrossRef] [PubMed]
- Zhong, J.; Wu, X.; Lan, S.; Fang, Y.; Chen, H.; Guo, T. High Performance Flexible Organic Phototransistors with Ultrashort Channel Length. ACS Photonics 2018, 5, 3712–3722. [Google Scholar] [CrossRef]
- Lee, C.; Han, H.; Song, M.; Seo, J.; Kim, H.; Kim, Y. Organic Phototransistors with Chemically Doped Conjugated Polymer Interlayers for Visible and Near Infrared Light Detection. IEEE J. Sel. Top. Quantum Electron. 2018, 24, 1–7. [Google Scholar] [CrossRef]
- Han, H.; Nam, S.; Seo, J.; Jeong, J.; Kim, H.; Bradley, D.D.C.; Kim, Y. Organic Phototransistors with all-Polymer Bulk Heterojunction Layers of P-Type and N-Type Sulfur-Containing Conjugated Polymers. IEEE J. Sel. Top. Quantum Electron. 2016, 22, 147–153. [Google Scholar]
- Zhao, Q.; Wang, H.; Jiang, L.; Zhen, Y.; Dong, H.; Hu, W. Solution-Processed Flexible Organic Ferroelectric Phototransistor. ACS Appl. Mater. Interfaces 2017, 9, 43880–43885. [Google Scholar] [CrossRef] [PubMed]
- Yoo, D.; Kang, K.; Kim, Y.; Ahn, H.; Lee, W.; Pak, J.; Chung, S.; Lee, T. Solution-Processed Transparent Superhydrophobic Protection Layers for Enhancing the Device Reliability of Flexible Organic Optoelectronics. Adv. Mater. Technol. 2020, 5, 2000449. [Google Scholar] [CrossRef]
- Forrest, S.R. The Path to Ubiquitous and Low-Cost Organic Electronic Appliances on Plastic. Nature 2004, 428, 911–918. [Google Scholar] [CrossRef] [PubMed]
- Lucas, B.; Trigaud, T.; Videlot-Ackermann, C. Organic Transistors and Phototransistors Based on Small Molecules. Polym. Int. 2012, 61, 374–389. [Google Scholar] [CrossRef]
- Tung, V.C.; Chen, L.; Allen, M.J.; Wassei, J.K.; Nelson, K.; Kaner, R.B.; Yang, Y. Low-Temperature Solution Processing of Graphene−Carbon Nanotube Hybrid Materials for High-Performance Transparent Conductors. Nano Lett. 2009, 9, 1949–1955. [Google Scholar] [CrossRef] [PubMed]
- Baeg, K.; Binda, M.; Natali, D.; Caironi, M.; Noh, Y. Organic Light Detectors: Photodiodes and Phototransistors. Adv. Mater. 2013, 25, 4267–4295. [Google Scholar] [CrossRef] [PubMed]
- Kelley, T.W.; Baude, P.F.; Gerlach, C.; Ender, D.E.; Muyres, D.; Haase, M.A.; Vogel, D.E.; Theiss, S.D. Recent Progress in Organic Electronics: Materials, Devices, and Processes. Chem. Mater. 2004, 16, 4413–4422. [Google Scholar] [CrossRef]
- Yu, H.; Bao, Z.; Oh, J.H. High-Performance Phototransistors Based on Single-Crystalline N-Channel Organic Nanowires and Photogenerated Charge-Carrier Behaviors. Adv. Funct. Mater. 2013, 23, 629–639. [Google Scholar] [CrossRef]
- Pal, T.; Arif, M.; Khondaker, S.I. High Performance Organic Phototransistor Based on Regioregular Poly(3-hexylthiophene). Nanotechnology 2010, 21, 325201. [Google Scholar] [CrossRef]
- Nam, S.; Seo, J.; Han, H.; Kim, H.; Bradley, D.D.C.; Kim, Y. Efficient Deep Red Light-Sensing All-Polymer Phototransistors with P-Type/N-Type Conjugated Polymer Bulk Heterojunction Layers. ACS Appl. Mater. Interfaces 2017, 9, 14983–14989. [Google Scholar] [CrossRef]
- Carr, J.A.; Franke, D.; Caram, J.R.; Perkinson, C.F.; Saif, M.; Askoxylakis, V.; Datta, M.; Fukumura, D.; Jain, R.K.; Bawendi, M.G.; et al. Shortwave Infrared Fluorescence Imaging with the Clinically Approved Near-Infrared Dye Indocyanine Green. Proc. Natl. Acad. Sci. USA 2018, 115, 4465. [Google Scholar] [CrossRef]
- Hong, G.; Antaris, A.L.; Dai, H. Near-Infrared Fluorophores for Biomedical Imaging. Nat. Biomed. Eng. 2017, 1, 0010. [Google Scholar] [CrossRef]
- Hemmer, E.; Acosta-Mora, P.; Méndez-Ramos, J.; Fischer, S. Optical Nanoprobes for Biomedical Applications: Shining a Light on Upconverting and Near-Infrared Emitting Nanoparticles for Imaging, Thermal Sensing, and Photodynamic Therapy. J. Mater. Chem. B 2017, 5, 4365–4392. [Google Scholar] [CrossRef]
- Huang, Z.; McWilliams, A.; Lui, H.; McLean, D.I.; Lam, S.; Zeng, H. Near-Infrared Raman Spectroscopy for Optical Diagnosis of Lung Cancer. Int. J. Cancer 2003, 107, 1047–1052. [Google Scholar] [CrossRef]
- Reutebuch, S.E.; Andersen, H.; McGaughey, R.J. Light Detection and Ranging (LIDAR): An Emerging Tool for Multiple Resource Inventory. J. For. 2005, 103, 286–292. [Google Scholar]
- Song, E.; Jiang, X.; Zhou, Y.; Lin, Z.; Ye, S.; Xia, Z.; Zhang, Q. Heavy Mn2+ Doped MgAl2O4 Phosphor for High-Efficient Near-Infrared Light-Emitting Diode and the Night-Vision Application. Adv. Opt. Mater. 2019, 7, 1901105. [Google Scholar] [CrossRef]
- Okamoto, D.; Fujikata, J.; Nishi, K.; Ohashi, K. Numerical Study of Near-Infrared Photodetectors with Surface-Plasmon Antenna for Optical Communication. Jpn. J. Appl. Phys. 2008, 47, 2921–2923. [Google Scholar] [CrossRef]
- Dou, L.; Liu, Y.; Hong, Z.; Li, G.; Yang, Y. Low-Bandgap Near-IR Conjugated Polymers/Molecules for Organic Electronics. Chem. Rev. 2015, 115, 12633–12665. [Google Scholar] [CrossRef] [PubMed]
- Wu, Z.; Zhai, Y.; Kim, H.; Azoulay, J.D.; Ng, T.N. Emerging Design and Characterization Guidelines for Polymer-Based Infrared Photodetectors. Acc. Chem. Res. 2018, 51, 3144–3153. [Google Scholar] [CrossRef]
- Zhao, H.; Wang, D.; Zhang, T.; Chaker, M.; Ma, D. Two-Step Synthesis of High-Quality Water-Soluble Near-Infrared Emitting Quantum Dots via Amphiphilic Polymers. Chem. Commun. 2010, 46, 5301–5303. [Google Scholar] [CrossRef]
- Harrison, M.T.; Kershaw, S.V.; Burt, M.G.; Eychmüller, A.; Weller, H.; Rogach, A.L. Wet Chemical Synthesis and Spectroscopic Study of CdHgTe Nanocrystals with Strong Near-Infrared Luminescence. Mater. Sci. Eng. B 2000, 69–70, 355–360. [Google Scholar] [CrossRef]
- Guo, X.; Guo, H.; Fu, L.; Carlos, L.D.; Ferreira, R.A.S.; Sun, L.; Deng, R.; Zhang, H. Novel Near-Infrared Luminescent Hybrid Materials Covalently Linking with Lanthanide [Nd(III), Er(III), Yb(III), and Sm(III)] Complexes Via a Primary Β-Diketone Ligand: Synthesis and Photophysical Studies. J. Phys. Chem. C 2009, 113, 12538–12545. [Google Scholar] [CrossRef]
- Walker, W.; Veldman, B.; Chiechi, R.; Patil, S.; Bendikov, M.; Wudl, F. Visible and Near-Infrared Absorbing, Low Band Gap Conjugated Oligomers Based on Cyclopentadieneones. Macromolecules 2008, 41, 7278–7280. [Google Scholar] [CrossRef]
- Qiao, W.; Zheng, J.; Wang, Y.; Zheng, Y.; Song, N.; Wan, X.; Wang, Z.Y. Efficient Synthesis and Properties of Novel Near-Infrared Electrochromic Anthraquinone Imides. Org. Lett. 2008, 10, 641–644. [Google Scholar] [CrossRef] [PubMed]
- Yao, Y.; Liang, Y.; Shrotriya, V.; Xiao, S.; Yu, L.; Yang, Y. Plastic Near-Infrared Photodetectors Utilizing Low Band Gap Polymer. Adv. Mater. 2007, 19, 3979–3983. [Google Scholar] [CrossRef]
- Hendriks, K.H.; Li, W.; Wienk, M.M.; Janssen, R.A.J. Small-Bandgap Semiconducting Polymers with High Near-Infrared Photoresponse. J. Am. Chem. Soc. 2014, 136, 12130–12136. [Google Scholar] [CrossRef] [PubMed]
- Yu, C.; Chen, C.; Chan, S.; Hwang, G.; Ting, C. Thiophene/Phenylene/Thiophene-Based Low-Bandgap Conjugated Polymers for Efficient Near-Infrared Photovoltaic Applications. Chem. Mater. 2009, 21, 3262–3269. [Google Scholar] [CrossRef]
- Hong, G.; Zou, Y.; Antaris, A.L.; Diao, S.; Wu, D.; Cheng, K.; Zhang, X.; Chen, C.; Liu, B.; He, Y.; et al. Ultrafast Fluorescence Imaging in Vivo with Conjugated Polymer Fluorophores in the Second Near-Infrared Window. Nat. Commun. 2014, 5, 4206. [Google Scholar] [CrossRef]
- Qin, C.; Fu, Y.; Chui, C.; Kan, C.; Xie, Z.; Wang, L.; Wong, W. Tuning the Donor–Acceptor Strength of Low-Bandgap Platinum-Acetylide Polymers for Near-Infrared Photovoltaic Applications. Macromol. Rapid Commun. 2011, 32, 1472–1477. [Google Scholar] [CrossRef]
- Qian, G.; Qi, J.; Wang, Z.Y. Synthesis and Study of Low-Bandgap Polymers Containing the Diazapentalene and Diketopyrrolopyrrole Chromophores for Potential use in Solar Cells and Near-Infrared Photodetectors. J. Mater. Chem. 2012, 22, 12867–12873. [Google Scholar] [CrossRef]
- Feng, R.; Sato, N.; Nomura, M.; Saeki, A.; Nakanotani, H.; Adachi, C.; Yasuda, T.; Furuta, H.; Shimizu, S. Near-Infrared Absorbing Pyrrolopyrrole Aza-BODIPY-Based Donor–acceptor Polymers with Reasonable Photoresponse. J. Mater. Chem. C 2020, 8, 8770–8776. [Google Scholar] [CrossRef]
- Han, H.; Nam, S.; Seo, J.; Lee, C.; Kim, H.; Bradley, D.D.; Ha, C.S.; Kim, Y. Broadband All-Polymer Phototransistors with Nanostructured Bulk Heterojunction Laters of NIR-Sensing n-Type and Visible Light-Sensing P-Type Polymers. Sci. Rep. 2015, 5, 16457. [Google Scholar] [CrossRef]
- Han, H.; Lee, C.; Kim, H.; Kim, Y. Flexible Near-infrared Plastic Phototransistors with Conjugated Polymer Gate-Sensing Layers. Adv. Funct. Mater. 2018, 28, 1800704. [Google Scholar] [CrossRef]
- Park, J.; Kim, H.; Kim, T.; Lee, C.; Song, D.-I.; Kim, Y. Effect of Top Channel Thickness in Near Infrared Organic Phototransistors with Conjugated Polymer Gate-Sensing Layers. Electronics 2019, 8, 1493. [Google Scholar] [CrossRef]
- Liang, Y.; Lv, W.; Luo, X.; He, L.; Xu, K.; Zhao, F.; Huang, F.; Lu, F.; Peng, Y. A Comprehensive Investigation of Organic Active Layer Structures Toward High Performance Near-Infrared Phototransistors. Synth. Met. 2018, 240, 44–51. [Google Scholar] [CrossRef]
- Kim, H.; Wu, Z.; Eedugurala, N.; Azoulay, J.D.; Ng, T.N. Solution-Processed Phototransistors Combining Organic Absorber and Charge Transporting Oxide for Visible to Infrared Light Detection. ACS Appl. Mater. Interfaces 2019, 11, 36880–36885. [Google Scholar] [CrossRef] [PubMed]
- Xie, C.; You, P.; Liu, Z.; Li, L.; Yan, F. Ultrasensitive Broadband Phototransistors Based on Perovskite/Organic-Semiconductor Vertical Heterojunctions. Light Sci. Appl. 2017, 6, e17023. [Google Scholar] [CrossRef]
- Gao, Y.; Yi, Y.; Wang, X.; Meng, H.; Lei, D.; Yu, X.; Chu, P.K.; Li, J. A Novel Hybrid-Layered Organic Phototransistor Enables Efficient Intermolecular Charge Transfer and Carrier Transport for Ultrasensitive Photodetection. Adv. Mater. 2019, 31, 1900763. [Google Scholar] [CrossRef]
- Seo, J.; Song, M.; Han, H.; Kim, H.; Lee, J.; Park, S.; Kang, I.; Kim, Y. Ultrasensitive Tactile Sensors Based on Planar Liquid Crystal-Gated-Organic Field-Effect Transistors with Polymeric Dipole Control Layers. RSC Adv. 2015, 5, 56904–56907. [Google Scholar] [CrossRef]
- Seo, J.; Song, M.; Lee, C.; Nam, S.; Kim, H.; Park, S.; Kang, I.; Lee, J.; Kim, Y. Physical Force-Sensitive Touch Responses in Liquid Crystal-Gated-Organic Field-Effect Transistors with Polymer Dipole Control Layers. Org. Electron. 2016, 28, 184–188. [Google Scholar] [CrossRef]
- Song, M.; Seo, J.; Kim, H.; Kim, Y. Ultrasensitive Multi-Functional Flexible Sensors Based on Organic Field-Effect Transistors with Polymer-Dispersed Liquid Crystal Sensing Layers. Sci. Rep. 2017, 7, 2630. [Google Scholar] [CrossRef]
- White, S.H.; Thompson, T.E. Capacitance, Area, and Thickness Variations in Thin Lipid Films. Biochim. Biophys. Acta. Biomembr. 1973, 323, 7–22. [Google Scholar] [CrossRef]








| t (nm) | ID,max (nA) | VTH (V) | RON/OFF | μh (10−4 cm2/V∙s) |
|---|---|---|---|---|
| 20 | 17.7 | 36.7 | 23.8 | 0.7 |
| 50 | 28.5 | 17.5 | 2930 | 3.2 |
Publisher’s Note: MDPI stays neutral with regard to jurisdictional claims in published maps and institutional affiliations. |
© 2020 by the authors. Licensee MDPI, Basel, Switzerland. This article is an open access article distributed under the terms and conditions of the Creative Commons Attribution (CC BY) license (http://creativecommons.org/licenses/by/4.0/).
Share and Cite
Kim, T.; Lee, C.; Kim, Y. Near-Infrared Organic Phototransistors with Polymeric Channel/Dielectric/Sensing Triple Layers. Micromachines 2020, 11, 1061. https://doi.org/10.3390/mi11121061
Kim T, Lee C, Kim Y. Near-Infrared Organic Phototransistors with Polymeric Channel/Dielectric/Sensing Triple Layers. Micromachines. 2020; 11(12):1061. https://doi.org/10.3390/mi11121061
Chicago/Turabian StyleKim, Taehoon, Chulyeon Lee, and Youngkyoo Kim. 2020. "Near-Infrared Organic Phototransistors with Polymeric Channel/Dielectric/Sensing Triple Layers" Micromachines 11, no. 12: 1061. https://doi.org/10.3390/mi11121061
APA StyleKim, T., Lee, C., & Kim, Y. (2020). Near-Infrared Organic Phototransistors with Polymeric Channel/Dielectric/Sensing Triple Layers. Micromachines, 11(12), 1061. https://doi.org/10.3390/mi11121061
