InAs/InAsSb Type-II Strained-Layer Superlattice Infrared Photodetectors
Abstract
1. Introduction
1.1. Advances in III-V Infrared Material
1.2. Unipolar Infrared Detector Architecture
1.3. Antimonide Barrier Infrared Detectors
2. The Emergence of InAs/InAsSb T2SLS Infrared Photodetectors
2.1. Historical Background
2.2. Mid-Wavelength InAs/InAsSb T2SLS Barrier Infrared Detectors
3. Basic Properties of the InAs/InAsSb T2SLS
3.1. InAs/InAsSb T2SLS Electronic Properties
3.2. InAs/InAsSb T2SLS Advantages
3.3. InAs/InAsSb T2SLS Challenges
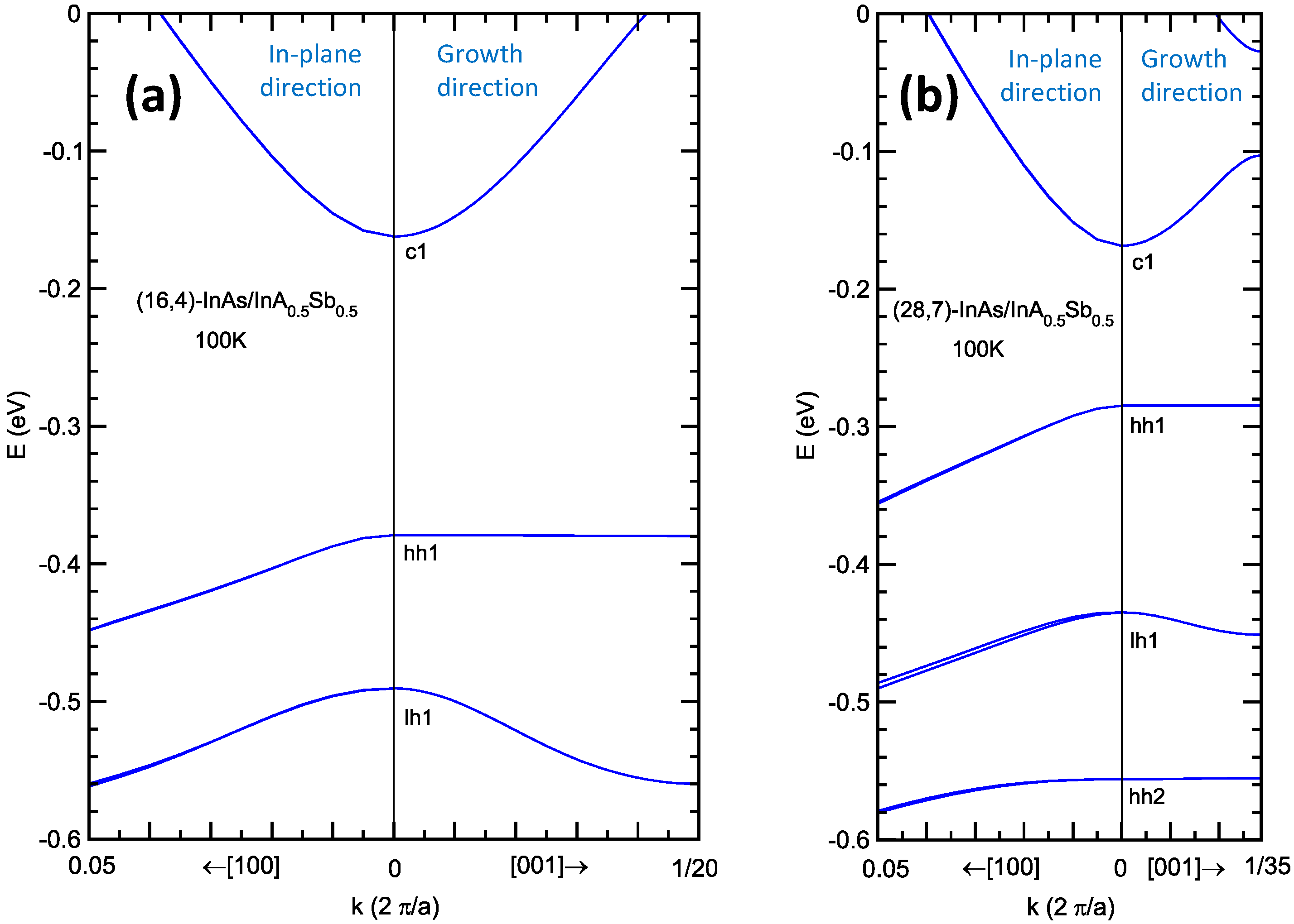
3.4. Concepts for Addressing LWIR InAs/InAsSb T2SLS Challenges
4. Recent Development and Outlook
Funding
Acknowledgments
Conflicts of Interest
References
- Svensson, S.P.; Sarney, W.L.; Hier, H.; Lin, Y.; Wang, D.; Donetsky, D.; Shterengas, L.; Kipshidze, G.; Belenky, G. Band gap of InAs1−xSbx with native lattice constant. Phys. Rev. B 2012, 86, 245205. [Google Scholar] [CrossRef]
- Smith, D.L.; McGill, T.C.; Schulman, J.N. Advantages of the HgTe-CdTe superlattice as an infrared detector material. Appl. Phys. Lett. 1983, 43, 180–182. [Google Scholar] [CrossRef]
- Grein, C.H.; Young, P.M.; Ehrenreich, H. Minority carrier lifetimes in ideal InGaSb/InAs superlattices. Appl. Phys. Lett. 1992, 61, 2905. [Google Scholar] [CrossRef]
- Besikci, C. Extended short wavelength infrared FPA technology: Status and trends. In Proceedings of the Quantum Sensing and Nano Electronics and Photonics XV, San Francisco, CA, USA, 27 January–1 February 2018. [Google Scholar]
- Sidhu, R.; Duan, N.; Campbell, J.C.; Holmes, A.L. A Long-Wavelength Photodiode on InP Using Lattice-Matched GaInAs–GaAsSb Type-II Quantum Wells. IEEE Photon. Technol. Lett. 2005, 17, 2715. [Google Scholar] [CrossRef]
- Chen, B.; Holmes, A.L., Jr. InP-based short-wave infrared and midwave infrared photodiodes using a novel type-II strain-compensated quantum well absorption region. Opt. Lett. 2013, 38, 2750. [Google Scholar] [CrossRef]
- Craig, A.; Jain, M.; Wicks, G.; Golding, T.; Hossin, K.; McEsan, K.; Howle, C.; Percy, B.; Marshall, A. Short-wave infrared barriode detectors using InGaAsSb absorption material lattice matched to GaSb. Appl. Phys. Lett. 2015, 106, 201103. [Google Scholar] [CrossRef]
- Ting, D.Z.; Hill, C.J.; Soibel, A.; Bandara, S.V.; Gunapala, S.D. High Operating Temperature Barrier Infrared Detector with Tailorable Cutoff Wavelength. U.S. Patent Application No. 2010/0072514 A1, 6 January 2015. [Google Scholar]
- Cohen-Elias, D.; Uliel, Y.; Cohen, N.; Shafir, I.; Westreich, O.; Katz, M. Short wavelength infrared pBn GaSb/AlAsSb/InPSb photodetector. Infrared Phys. Technol. 2017, 85, 81. [Google Scholar] [CrossRef]
- Huang, J.; Ma, W.; Wei, Y.; Zhang, Y.; Cui, K.; Cao, Y.; Guo, X.; Shao, J. How to use type II InAs/GaSb superlattice structure to reach detection wavelength of 2–3 μm. IEEE J. Quant. Electron. 2012, 48, 1322. [Google Scholar] [CrossRef]
- Haddadi, A.; Chevallier, R.; Dehzangi, A.; Razeghi, M. Extended short-wavelength infrared nBn photodetectors based on type-II InAs/AlSb/GaSb superlattices with an AlAsSb/GaSb superlattice barrier. Appl. Phys. Lett. 2017, 110, 101104. [Google Scholar] [CrossRef]
- Cohen-Elias, D.; Snapi, N.; Klin, O.; Weiss, E.; Shusterman, S.; Meir, T.; Katz, M. Minority carrier diffusion length for electrons in an extended SWIR InAs/AlSb type-II superlattice photodiode. Appl. Phys. Lett. 2017, 111, 201106. [Google Scholar] [CrossRef]
- Cohen-Elias, D.; Uliel, Y.; Klin, O.; Snapi, N.; Weiss, E.; Shafir, I.; Westreich, O.; Katz, M. Short wavelength infrared InAs/InSb/AlSb type-II superlattice photodetector. Infrared Phys. Technol. 2017, 84, 82. [Google Scholar] [CrossRef]
- Haddadi, A.; Suo, X.V.; Adhikary, S.; Dianat, P.; Chevallier, R.; Hoang, A.M.; Razeghi, M. High-performance short-wavelength infrared photodetectors based on type-II InAs/InAs1-xSbx/AlAs1-xSbx superlattices. Appl. Phys. Lett. 2015, 107, 141104. [Google Scholar] [CrossRef]
- Bürkle, L.; Fuchs, F. InAs/(GaIn)Sb superlattices: A promising material system for infrared detection. In Handbook of Infrared Detection Technologies; Henini, M., Razeghi, M., Eds.; Elsevier Science: Oxford, UK, 2002; pp. 159–189. [Google Scholar]
- Razeghi, M.; Mohseni, F. GaSb/InAs superlattices for infrared FPAs. In Handbook of Infrared Detection Technologies; Henini, M., Razeghi, M., Eds.; Elsevier Science: Oxford, UK, 2002; pp. 191–232. [Google Scholar]
- Ting, D.Z.-Y.; Soibel, A.; Höglund, L.; Nguyen, J.; Hill, C.J.; Khoshakhlagh, A.; Gunapala, S.D. Type-II Superlattice Infrared Detectors. In Semiconductors and Semimetals; Advances in Infrared Photodetectors; Gunapala, S., Rhiger, D., Jagadish, C., Eds.; Elsevier Academic Press: Cambridge, MA, USA, 2011; Volume 82, pp. 1–57. [Google Scholar]
- Ting, D.Z.; Khoshakhlagh, A.; Soibel, A.; Hill, C.J.; Gunapala, S.D. Barrier Infrared Detector. U.S. Patent Application No. 13/197,588, 2011. [Google Scholar]
- Kim, H.S.; Cellek, O.O.; Lin, Z.-Y.; He, Z.-Y.; Zhao, X.-H.; Liu, S.; Li, H.; Zhang, Y.-H. Long-wave infrared nBn photodetectors based on InAs/InAsSb type-II superlattices. Appl. Phys. Lett. 2012, 101, 161114. [Google Scholar] [CrossRef]
- Haddadi, A.; Chen, G.; Chevallier, R.; Hoang, A.M.; Razeghi, M. InAs/InAs1−xSbx type-II superlattices for high performance long wavelength infrared detection. Appl. Phys. Lett. 2014, 105, 121104. [Google Scholar] [CrossRef]
- Steenbergen, E.H.; Connelly, B.C.; Metcalfe, G.D.; Shen, H.; Wraback, M.; Lubyshev, D.; Qiu, Y.; Fastenau, J.M.; Liu, A.W.K.; Elhamri, S.; et al. Significantly improved minority carrier lifetime observed in a long-wavelength infrared III-V type-II superlattice comprised of InAs/InAsSb. Appl. Phys. Lett. 2011, 99, 251110. [Google Scholar] [CrossRef]
- Klipstein, P.C.; Livneh, Y.; Glozman, A.; Grossman, S.; Klin, O.; Snapi, N.; Weiss, E. Modeling InAs/GaSb and InAs/InAsSb Superlattice Infrared Detectors. J. Electron. Mater. 2014, 43, 2984. [Google Scholar] [CrossRef]
- Vurgaftman, I.; Belenky, G.; Lin, Y.; Donetsky, D.; Shterengas, L.; Kipshidze, G.; Sarney, W.L.; Svensson, S.P. Interband absorption strength in long-wave infrared type-II superlattices with small and large superlattice periods compared to bulk materials. Appl. Phys. Lett. 2016, 108, 222101. [Google Scholar] [CrossRef]
- Ting, D.Z.; Soibel, A.; Gunapala, S.D. Hole effective masses and subband splitting in type-II superlattice infrared detectors. Appl. Phys. Lett. 2016, 108, 183504. [Google Scholar] [CrossRef]
- Ting, D.Z.; Soibel, A.; Gunapala, S.D. Type-II superlattice hole effective masses. Infrared Phys. Technol. 2017, 84, 102–106. [Google Scholar] [CrossRef]
- Maimon, S.; Wicks, G.W. nBn detector, an infrared detector with reduced dark current and higher operating temperature. Appl. Phys. Lett. 2006, 89, 151109. [Google Scholar] [CrossRef]
- Klipstein, P. Depletion-Less Photodiode with Suppressed Dark Current and Method for Producing the Same. Int. Patent Publication No: WO 2005/004243 A1, 2005. [Google Scholar]
- Klipstein, P.C. XBn barrier photodetectors for high sensitivity and high operating temperature infrared sensors. In Proceedings of the Infrared Technology and Applications XXXIV, Orlando, FL, USA, 16–20 March 2008. [Google Scholar]
- Ting, D.Z.-Y.; Hill, C.J.; Soibel, A.; Keo, S.A.; Mumolo, J.M.; Nguyen, J.; Gunapala, S.D. A high-performance long wavelength superlattice complementary barrier infrared detector. Appl. Phys. Lett. 2009, 95, 023508. [Google Scholar] [CrossRef]
- Ting, D.Z.-Y.; Soibel, A.; Khoshakhlagh, A.; Nguyen, J.; Höglund, L.; Keo, S.A.; Mumolo, J.M.; Gunapala, S.D. Exclusion, extraction, and junction placement effects in the complementary barrier infrared detector. Appl. Phys. Lett. 2013, 102, 121109. [Google Scholar] [CrossRef]
- Canedy, C.L.; Aifer, E.H.; Vurgaftman, I.; Tischler, J.G.; Meyer, J.R.; Warner, J.H.; Jackson, E.M. Antimonide Type-II “W” Photodiodes with Long-Wave Infrared R0A Comparable to HgCdTe. J. Electron. Mater. 2007, 36, 852–856. [Google Scholar] [CrossRef]
- Nguyen, B.-M.; Hoffman, D.; Delaunay, P.-Y.; Razeghi, M. Dark current suppression in type II InAs/GaSbInAs/GaSb superlattice long wavelength infrared photodiodes with M-structure barrier. Appl. Phys. Lett. 2007, 91, 163511. [Google Scholar] [CrossRef]
- Nguyen, B.M.; Chen, G.; Hoang, A.M.; Abdollahi Pour, S.; Bogdanov, S.; Razeghi, M. Effect of contact doping in superlattice-based minority carrier unipolar detectors. Appl. Phys. Lett. 2011, 99, 033501. [Google Scholar] [CrossRef]
- Wicks, G.W.; Savich, G.R.; Pedrazzani, J.R.; Maimon, S. Infrared detector epitaxial designs for suppression of surface leakage current. In Proceedings of the Quantum Sensing and Nanophotonic Devices VII, San Francisco, CA, USA, 23–28 January 2010. [Google Scholar]
- Savich, G.R.; Pedrazzani, J.R.; Sidor, D.E.; Maimon, S.; Wicks, G.W. Dark current filtering in unipolar barrier infrared detectors. Appl. Phys. Lett. 2011, 99, 121112. [Google Scholar] [CrossRef]
- Rodriguez, J.B.; Plis, E.; Bishop, G.; Sharma, Y.D.; Kim, H.; Dawson, L.R.; Krishna, S. nBn structure based on InAs/GaSb type-II strained layer superlattices. Appl. Phys. Lett. 2007, 91, 043514. [Google Scholar] [CrossRef]
- Smith, D.L.; Mailhiot, C. Proposal for strained type II superlattice infrared detectors. Appl. Phys. Lett. 1987, 34, 663–665. [Google Scholar] [CrossRef]
- Osbourn, G.C. Electro-Optical SLS Devices for Operating at New Wavelength Ranges. U.S. Patent No. 4,607,272, 19 August 1986. [Google Scholar]
- Osbourn, G.C. InAsSb Strained layer superlattices for long wavelength detector applications. J. Vac. Sci. Technol. B 1984, 2, 176. [Google Scholar] [CrossRef]
- Osbourn, G.C.; Dawson, L.R.; Biefeld, R.M.; Zipperlan, T.E.; Fritz, I.J.; Doyle, B.L. III-V strained layer superlattices for long-wavelength detector applications: Recent progress. J. Vac. Sci. Technol. A 1987, 5, 3150–3152. [Google Scholar] [CrossRef]
- Kurtz, S.R.; Dawson, L.R.; Zipperian, T.E.; Lee, S.R. Demonstration of an InAsSb strained layer superlattice photodiode. Appl. Phys. Lett. 1988, 52, 1581. [Google Scholar] [CrossRef]
- Kurtz, S.R.; Dawson, L.R.; Biefeld, R.M.; Fritz, I.J.; Zipperian, T.E. Long wavelength InAsSb strained layer superlattice photovoltaic infrared detector. IEEE Elect. Device Lett. 1989, 10, 150–152. [Google Scholar] [CrossRef]
- Kurtz, S.R.; Biefeld, R.M.; Zipperlan, T.E. MOCVD-grown InAsSb strained-layer superlattice infrared detectors with photoresponses ≥ 10 μm. Semicond. Sci. Technol. 1990, 5, S24–S26. [Google Scholar] [CrossRef]
- Zhang, Y.-H. Continuous wave operation of InAs/InAsxSb12x midinfrared lasers. Appl. Phys. Lett. 1995, 66, 118–120. [Google Scholar] [CrossRef]
- Tang, P.J.P.; Pullin, M.J.; Chung, S.J.; Phillips, C.C.; Stradling, R.A.; Norman, A.G.; Li, Y.B.; Hart, L. 4–11 pm infrared emission and 300 K light emitting diodes from arsenic-rich InAs/InAs1-xSbx strained layer superlattices. Semicond. Sci. Technol. 1995, 10, 1177–1180. [Google Scholar] [CrossRef]
- Ciesla, C.M.; Murdin, B.N.; Pidgeon, C.R.; Stradling, R.A.; Phillips, C.C.; Livingstone, M.; Galbraith, I.; Jaroszynski, D.A.; Langerak, C.J.G.M.; Tang, P.J.P.; et al. Suppression of Auger recombination in arsenic-rich InAs1-xSbx strained layer superlattices. J. Appl. Phys. 1996, 80, 2994. [Google Scholar] [CrossRef]
- Pullin, M.J.; Hardaway, H.R.; Heber, J.D.; Phillips, C.C.; Yuen, W.T.; Stradling, R.A. Room-temperature InAsSb strained-layer superlattice light-emitting diodes at λ = 4.2 µm with AlSb barriers for improved carrier confinement. Appl. Phys. Lett. 1999, 74, 2384–2386. [Google Scholar]
- Chow, D.H.; Miles, R.H.; Söderström, J.R.; McGill, T.C. Growth and characterization of InAs/Ga1-xInxSb strained-layer superlattices. Appl. Phys. Lett. 1990, 56, 1418–1420. [Google Scholar] [CrossRef]
- Lackner, D.; Pitts, O.J.; Steger, M.; Yang, A.; Thewalt, M.L.W.; Watkins, S.P. Strain balanced InAs/InAsSb superlattice structures with optical emission to 10 µm. Appl. Phys. Lett. 2009, 95, 081906. [Google Scholar] [CrossRef]
- Haddadi, A.; Dehzangi, A.; Adhikary, S.; Chevallier, R.; Razeghi, M. Background–limited long wavelength infrared InAs/InAs1− xSbx type-II superlattice-based photodetectors operating at 110 K. APL Mater. 2017, 5, 035502. [Google Scholar] [CrossRef]
- Chevallier, R.; Haddadi, A.; Razeghi, M. Dark current reduction in microjunction-based double electron barrier type-II InAs/InAsSb superlattice long-wavelength infrared photodetectors. Sci. Rep. 2017, 7, 12617. [Google Scholar] [CrossRef] [PubMed]
- Hoang, A.M.; Chen, G.; Chevallier, R.; Haddadi, A.; Razeghi, M. High performance photodiodes based on InAs/InAsSb type-II superlattices for very long wavelength infrared detection Appl. Phys. Lett. 2014, 104, 251105. [Google Scholar]
- Haddadi, A.; Chevallier, R.; Chen, G.; Hoang, A.M.; Razeghi, M. Bias-selectable dual-band mid-/long-wavelength infrared photodetectors based on InAs/InAs1−xSbx type-II superlattices. Appl. Phys. Lett. 2015, 106, 011104. [Google Scholar] [CrossRef]
- Ting, D.Z.; Soibel, A.; Khoshakhlagh, A.; Keo, S.A.; Rafol, S.B.; Höglund, L.; Luong, E.M.; Fisher, A.M.; Hill, C.J.; Gunapala, S.D. Development of InAs/InAsSb Type II Strained-Layer Superlattice Unipolar Barrier Infrared Detectors. J. Electron. Mater. 2019, 48, 6145–6151. [Google Scholar] [CrossRef]
- Ting, D.Z.; Soibel, A.; Khoshakhlagh, A.; Keo, S.A.; Rafol, S.B.; Fisher, A.M.; Hill, C.J.; Luong, E.M.; Pepper, B.J.; Gunapala, S.D. The emergence of InAs/InAsSb type-II strained layer superlattice barrier infrared detectors. In Proceedings of the SPIE 11002, Infrared Technology and Applications XLV, Baltimore, MD, USA, 14–18 April 2019; p. 110020F. [Google Scholar]
- Ting, D.Z.; Soibel, A.; Khoshakhlagh, A.; Rafol, S.B.; Keo, S.; Höglund, L.; Fisher, A.M.; Luong, E.M.; Gunapala, S.D. Mid-wavelength high operating temperature barrier infrared detector and focal plane array. Appl. Phys. Lett. 2018, 113, 021101. [Google Scholar] [CrossRef]
- Ting, D.Z.; Rafol, S.B.; Keo, S.; Nguyen, J.; Khoshakhlagh, A.; Soibel, A.; Hoglund, L.; Fisher, A.M.; Luong, E.M.; Mumolo, J.; et al. InAs/InAsSb Type-II Superlattice Mid-Wavelength Infrared Focal Plane Array with Significantly Higher Operating Temperature Than InSb. IEEE Photon. J. 2018, 10, 6804106. [Google Scholar] [CrossRef]
- Tennant, W.E. “Rule 07” Revisited: Still a Good Heuristic Predictor of p/n HgCdTe Photodiode Performance? J. Electron. Mater. 2010, 39, 1030. [Google Scholar] [CrossRef]
- Klipstein, P.C.; Aronov, D.; Ben Ezra, M.; Barkai, I.; Berkowicz, E.; Brumer, M.; Fraenkel, R.; Glozman, A.; Grossman, S.; Jacobsohn, E.; et al. Recent progress in InSb based quantum detectors in Israel. Infrared Phys. Technol. 2013, 59, 172–181. [Google Scholar] [CrossRef]
- Olson, B.V.; Shaner, E.A.; Kim, J.K.; Klem, J.F.; Hawkins, S.D.; Murray, L.M.; Prineas, J.P.; Flatté, M.E.; Boggess, T.F. Time-resolved optical measurements of minority carrier recombination in a mid-wave infrared InAsSb alloy and InAs/InAsSb superlattice. Appl. Phys. Lett. 2012, 101, 092109. [Google Scholar] [CrossRef]
- Höglund, L.; Ting, D.Z.; Khoshakhlagh, A.; Soibel, A.; Hill, C.J.; Fisher, A.; Keo, S.; Gunapala, S.D. Influence of radiative and non-radiative recombination on the minority carrier lifetime in midwave infrared InAs/InAsSb superlattices. Appl. Phys. Lett. 2013, 103, 221908. [Google Scholar] [CrossRef]
- Donetsky, D.; Svensson, S.P.; Vorobjev, L.E.; Belenky, G. Carrier lifetime measurements in short-period InAs/GaSb strained-layer superlattice structures. Appl. Phys. Lett. 2009, 95, 212104. [Google Scholar] [CrossRef]
- Prins, A.D.; Lewis, M.K.; Bushell, Z.L.; Sweeney, S.J.; Liu, S.; Zhang, Y.-H. Evidence for a defect level above the conduction band edge of InAs/InAsSb type-II superlattices for applications in efficient infrared photodetectors. Appl. Phys. Lett. 2015, 106, 171111. [Google Scholar] [CrossRef]
- Grein, C.H.; Flatté, M.E.; Ehrenreich, H. Comparison of Ideal InAs/InAs1-xSbx and InAs/InxGa1-xSb Superlattice IR Detectors. In Proceedings of the Third International Symposium on Long-Wavelength Infrared Detectors and Arrays: Physics and Applications, Chicago, IL, USA, 8–13 October 1995; Li, S.S., Liu, H.C., Beck, W.A., Tidrow, M.Z., Singh, A., Eds.; Electrochemical Society: Pennington, NJ, USA, 1995; Volume 95–28, pp. 211–218. [Google Scholar]
- Sidor, D.E.; Savich, G.R.; Wicks, G.W. Surface Leakage Mechanisms in III–V Infrared Barrier Detectors. J. Electron. Mater. 2016, 45, 4663–4667. [Google Scholar] [CrossRef]
- Du, X.; Marozas, B.T.; Savich, G.R.; Wicks, G.W. Defect-related surface currents in InAs-based nBn infrared detectors. J. Appl. Phys. 2018, 123, 214504. [Google Scholar] [CrossRef]
- Marozas, B.T.; Hughes, W.D.; Du, X.; Sidor, D.E.; Savich, G.R.; Wicks, G.W. Surface dark current mechanisms in III-V infrared photodetectors. Opt. Mater. Express 2018, 8, 1419–1424. [Google Scholar] [CrossRef]
- Haddadi, A.; Dehzangi, A.; Chevallier, R.; Adhikary, S.; Razeghi, M. Bias-selectable nBn dual-band long-/very long-wavelength infrared photodetectors based on InAs/InAs1-xSbx/AlAs1-xSbx type-II superlattices. Sci. Rep. 2017, 7, 3379. [Google Scholar] [CrossRef] [PubMed]
- Lubyshev, D.; Fastenau, J.M.; Kattner, M.; Frey, P.; Nelson, S.A.; Liu, A.W.K.; Martinez, B.; Furlong, M.J. T2SL Mid- and long- wave infrared photodetector structures grown on (211)A, (211)B, and (311)A GaSb substrates. In Proceedings of the SPIE 11002, Infrared Technology and Applications XLV, Baltimore, MD, USA, 14–18 April 2019; pp. 11002–11023. [Google Scholar]
- Ting, D.Z.; Khoshakhlagh, A.; Soibel, A.; Gunapala, S.D. Long Wavelength InAs/InAsSb Infrared Superlattice Challenges: A Theoretical Investigation. J. Electron. Mater. 2020. [CrossRef]
- Ciani, A.J.; Grein, C.H.; Irick, B.; Miao, M.S.; Kioussis, N. Molecular dynamics growth modeling of InAs1−xSbx-based type-II superlattice. Opt. Eng. 2017, 56, 091609. [Google Scholar] [CrossRef]
- Haugan, H.J.; Brown, G.J.; Peoples, J.A. On the study of antimony incorporation in InAs/InAsSb superlattices for infrared sensing. J. Vac. Sci. Technol. B 2017, 35, 02B107. [Google Scholar] [CrossRef]
- Sarney, W.L.; Svensson, S.P.; Yakes, M.K.; Xu, Y.; Donetsky, D.; Belenky, G. Ultra-short period Ga-free superlattice growth on GaSb. J. Appl. Phys. 2018, 124, 035304. [Google Scholar] [CrossRef]
- Kanedy, K.; Lopez, F.; Wood, M.R.; Gmachl, C.F.; Weimer, M.; Klem, J.F.; Hawkins, S.D.; Shaner, E.A.; Kim, J.K. Visualizing period fluctuations in strained-layer superlattices with scanning tunneling microscopy. Appl. Phys. Lett. 2018, 112, 042105. [Google Scholar] [CrossRef]
- Esaki, L.; Chang, L.L.; Mendez, E.E. Polytype Superlattices and Multi-Heterojunctions. Jpn. J. Appl. Phys. 1981, 20, L529–L532. [Google Scholar] [CrossRef]
- Delaunay, P.Y.; Nguyen, B.M.; Hoffman, D.; Huang, E.K.W.; Razeghi, M. Background Limited Performance of Long Wavelength Infrared Focal Plane Arrays Fabricated From M-Structure InAs–GaSb Superlattices. IEEE J. Quantum Electron. 2009, 45, 157–162. [Google Scholar] [CrossRef]
- Salihoglu, O.; Muti, A.; Kutluer, K.; Tansel, T.; Turan, R.; Ergun, Y.; Aydinli, A. “N” structure for type-II superlattice photodetectors. Appl. Phys. Lett. 2012, 101, 073505. [Google Scholar] [CrossRef]
- Hao, R.; Ren, Y.; Liu, S.; Guo, J.; Wang, G.; Xu, Y.; Niu, Z. Fabrication and characterization of high lattice matched InAs/InAsSb superlattice infrared photodetector. J. Cryst. Growth 2017, 470, 33. [Google Scholar] [CrossRef]
- Craig, A.P.; Al-Saymari, F.; Jain, M.; Bainbridge, A.; Savich, G.R.; Golding, T.; Krier, A.; Wicks, G.W.; Marshall, A.R. Resonant cavity enhanced photodiodes on GaSb for the mid-wave infrared. Appl. Phys. Lett. 2019, 114, 151107. [Google Scholar] [CrossRef]
- Durlin, Q.; Perez, J.P.; Cerutti, L.; Rodriguez, J.B.; Cerba, T.; Baron, T.; Tournie, E.; Christol, P. Midwave infrared barrier detector based on Ga-free InAs/InAsSb type-II superlattice grown by molecular beam epitaxy on Si substrate. Infrared Phys. Technol. 2019, 96, 39–43. [Google Scholar] [CrossRef]
- Ariyawansa, G.; Duran, J.; Reyner, C.; Scheihing, J. InAs/InAsSb Strained-Layer Superlattice Mid-Wavelength Infrared Detector for High-Temperature Operation. Micromachines 2019, 10, 806. [Google Scholar] [CrossRef]
- Deng, G.; Song, X.; Pan, M.; Xiao, T.; Luo, Z.; Chen, N.; Yang, W.; Zhang, Y. Upside-down InAs/InAs1-xSbx type-II superlattice-based nBn mid-infrared photodetectors with an AlGaAsSb quaternary alloy barrier. Opt. Express 2020, 28, 13616–13624. [Google Scholar] [CrossRef]
- Manyk, T.; Michalczewski, K.; Murawski, K.; Martyniuk, P.; Rutkowski, J. InAs/InAsSb Strain-Balanced Superlattices for Longwave Infrared Detectors. Sensors 2019, 19, 1907. [Google Scholar] [CrossRef]
- Michalczewski, K.; Kubiszyn, Ł.; Martyniuk, P.; Wu, C.H.; Jureńczyk, J.; Grodecki, K.; Benyahia, D.; Rogalski, A.; Piotrowski, J. Demonstration of HOT LWIR T2SLs InAs/InAsSb photodetectors grown on GaAs substrate. Infrared Phys. Technol. 2018, 95, 222. [Google Scholar] [CrossRef]
- Michalczewski, K.; Martyniuk, P.; Kubiszyn, L.; Wu, C.H.; Wu, Y.R.; Jurenczyk, J.; Rogalski, A.; Piotrowski, J. Demonstration of the Very Long Wavelength Infrared Type-II Superlattice InAs/InAsSb GaAs Immersed Photodetector Operating at Thermoelectric Cooling. IEEE Electron Device Lett. 2019, 40, 1396–1398. [Google Scholar] [CrossRef]
- Letka, V.; Bainbridge, A.; Craig, A.P.; Al-Saymari, F.; Marshall, A.R.J. Resonant cavity-enhanced photodetector incorporating a type-II superlattice to extend MWIR sensitivity. Opt. Express 2019, 27, 23970–23980. [Google Scholar] [CrossRef] [PubMed]
- Yeche, A.; Boulard, F.; Cervera, C.; Perez, J.P.; Rodriguez, J.B.; Christol, P.; Gravrand, O. Development of Electron Beam Induced Current for diffusion length determination of VLWIR HgCdTe and MWIR T2SL based photodetectors. Infrared Phys. Technol. 2018, 95, 170–176. [Google Scholar] [CrossRef]
- Rhiger, D.R.; Smith, E.P. Carrier Transport in the Valence Band of nBn III-V Superlattice Infrared Detectors. J. Electron. Mater. 2019, 48, 6053–6062. [Google Scholar] [CrossRef]
- Casias, L.K.; Morath, C.P.; Steenbergen, E.H.; Umana-Membreno, G.A.; Webster, P.T.; Logan, J.V.; Kim, J.K.; Balakrishnan, G.; Faraone, L.; Krishna, S. Vertical carrier transport in strain-balanced InAs/InAsSb type-II superlattice material. Appl. Phys. Lett. 2019, 116, 182109. [Google Scholar] [CrossRef]
- Tsai, C.Y.; Zhang, Y.; Ju, Z.; Zhang, Y.H. Study of vertical hole transport in InAs/InAsSb type-II superlattices by steady-state and time-resolved photoluminescence spectroscopy. Appl. Phys. Lett. 2020, 116, 201108. [Google Scholar] [CrossRef]
- Huang, Y.; Ryou, J.-H.; Dupuis, R.D.; D’Costa, V.R.; Steenbergen, E.H.; Fan, J.; Zhang, Y.-H.; Petschke, A.; Mandl, M.; Chuang, S.-L. Epitaxial growth and characterization of InAs/GaSb and InAs/InAsSb type-II superlattices on GaSb substrates by metalorganic chemical vapor deposition for long wavelength infrared photodetectors. J. Cryst. Growth 2011, 314, 92–96. [Google Scholar] [CrossRef]
- Wu, D.H.; Durlin, Q.; Dehzangi, A.; Zhang, Y.; Razeghi, M. High quantum efficiency mid-wavelength infrared type-II InAs/InAs1−xSbx superlattice photodiodes grown by metal-organic chemical vapor deposition. Appl. Phys. Lett. 2019, 114, 011104. [Google Scholar] [CrossRef]
- Ning, Z.-D.; Liu, S.-M.; Luo, S.; Ren, F.; Wang, F.; Yang, T.; Liu, F.-Q.; Wang, Z.G.; Zhao, L.-C. Growth and characterization of InAs/InAsSb superlattices by metal organic chemical vapor deposition for mid-wavelength infrared photodetectors. Mater. Lett. 2016, 164, 213. [Google Scholar] [CrossRef]
- Wu, D.H.; Dehzangi, A.; Zhang, Y.Y.; Razeghi, M. Demonstration of long wavelength infrared type-II InAs/InAs1−xSbx superlattices photodiodes on GaSb substrate grown by metalorganic chemical vapor deposition. Appl. Phys. Lett. 2018, 112, 241103. [Google Scholar] [CrossRef]
- Delli, E.; Letka, V.; Hodgson, P.D.; Repiso, E.; Hayton, J.P.; Craig, A.P.; Lu, Q.; Beanland, R.; Krier, A.; Marshall, A.R.J.; et al. Mid-Infrared InAs/InAsSb Superlattice nBn Photodetector Monolithically Integrated onto Silicon. ACS Photon. 2019, 6, 538. [Google Scholar] [CrossRef]
- Fastenau, J.M.; Lubyshev, D.; Nelson, S.A.; Fetters, M.; Krysiak, H.; Zeng, J.; Kattner, M.; Frey, P.; Liu, A.W.K.; Morgan, A.O.; et al. Direct MBE Growth of Metamorphic nBn Infrared Photodetectors on 150 mm Ge-Si Substrates for Heterogeneous Integrations. J. Vac. Sci. Technol. B 2019, 37, 031216. [Google Scholar] [CrossRef]
- Baril, N.F.; Bandara, S.; Zuo, D.; Brown, A.; Almeida, L.A.; Tidrow, M. Growth of III-V Infrared Detector Device Layers on the AlSb Lattice via Metamorphic Buffer Layers. Paper 11002-19, SPIE DCS 2019. Available online: https://spie.org/SI19/conferencedetails/infrared-technology-applications#session-5 (accessed on 26 October 2020).
- Lubyshev, D.; Fastenau, J.M.; Kattner, M.; Frey, P.; Nelson, S.A.; Flick, R.; Rogers, M.; Liu, A.W.K.; Flint, P.; Faleev, N. Effect of substrate orientation on Sb-based MWIR photodetector characteristics. Infrared Phys. Technol. 2018, 95, 27–32. [Google Scholar] [CrossRef]
- Soibel, A.; Ting, D.Z.; Rafol, S.B.; Fisher, A.M.; Keo, S.A.; Khoshakhlagh, A.; Gunapala, S.D. Mid-wavelength infrared InAsSb/InAs nBn detectors and FPAs with very low dark current density. Appl. Phys. Lett. 2019, 114, 161103. [Google Scholar] [CrossRef]
- Pagano, T.S.; Rider, D.; Rud, M.; Ting, D.; Yee, K. Measurement approach and design of the CubeSat Infrared Atmospheric Sounder (CIRAS). In Proceedings of the SPIE 9978, CubeSats and NanoSats for Remote Sensing, San Diego, CA, USA, 28 August–1 September 2016; p. 997806. [Google Scholar]
- Tidrow, M.Z.; Reago, D.A., Jr. VISTA video and overview (Conference Presentation). In Proceedings of the SPIE 10177, Infrared Technology and Applications XLIII, Anaheim, CA, USA, 9–13 April 2017; p. 101770M. [Google Scholar]
- Tidrow, M.; Bandara, S.; Aitcheson, L.; Zheng, L.; Baril, N.; Williams, A. III-V infrared focal plane array development in US (Conference Presentation). In Proceedings of the SPIE 10624, Infrared Technology and Applications XLIV, Orlando, FL, USA, 15–19 April 2018; p. 106240P. [Google Scholar]
- Flint, P.; Dallas, G.; Bollaert, A. Production manufacturing of 5″ diameter gallium antimonide substrates (Conference Presentation). In Proceedings of the SPIE 10177, Infrared Technology and Applications XLIII, Anaheim, CA, USA, 9–13 April 2017; p. 101770P. [Google Scholar]
- Pinsukanjana, P.R.; Andresen, B.F. Large diameter Epi-ready GaSb substrate manufacturing (Conference Presentation). In Proceedings of the SPIE 10177, Infrared Technology and Applications XLIII, Anaheim, CA, USA, 9–13 April 2017; p. 101770Q. [Google Scholar]
- Liu, A.W.K.; Lubyshev, D.; Qiu, Y.; Fastenau, J.M.; Wu, Y.; Furlong, M.J.; Tybjerg, M.J.; Martinez, R.J.; Mowbray, A.; Smith, B. MBE growth of Sb-based bulk nBn infrared photodetector structures on 6-inch GaSb substrates. In Proceedings of the SPIE 9451, Infrared Technology and Applications XLI, Baltimore, MD, USA, 20–24 April 2015; p. 94510T. [Google Scholar]
- Liu, A.W.K.; Lubyshev, D.; Fastenau, J.M.; Nelson, S.; Kattner, M.; Frey, P. Molecular beam epitaxial growth and characterization of large-format GaSb-based IR photodetector structures. Opt. Mater. Express 2018, 8, 1282. [Google Scholar] [CrossRef]
- Nelson, S.A.; Fastenau, J.M.; Lubyshev, D.; Kattner, M.; Frey, P.; Liu, A.W.K.; Martinez, B.; Furlong, M.J. Large format multi-wafer production of LWIR photodetector structures on 150 mm GaSb substrates by MBE. In Proceedings of the SPIE 11407, Infrared Technology and Applications XLVI, Online Only, CA, USA, 27 April–8 May 2020; p. 114070F. [Google Scholar]
- Pinsukanjana, P.R.; Andresen, B.F. Multi-wafer production MBE capabilities for Sb-based type-II SLS IR detectors (Conference Presentation). In Proceedings of the SPIE 10177, Infrared Technology and Applications XLIII, Anaheim, CA, USA, 9–13 April 2017; p. 101770R. [Google Scholar]








| Superlattice | Period (m + n) [monolayer] | λcutoff [µm] | mn,z** [m0] | mp,z** [m0] |
|---|---|---|---|---|
| (16,7)-InAs/GaSb | 23 | 12.5 | 0.0233 | 1.29 |
| (54,18)-InAs/InAs0.6Sb0.4 | 72 | 12.0 | 0.166 | 222 |
| (32,8)-InAs/InAs0.5Sb0.5 | 40 | 13.0 | 0.0313 | 7.89 |
Publisher’s Note: MDPI stays neutral with regard to jurisdictional claims in published maps and institutional affiliations. |
© 2020 by the authors. Licensee MDPI, Basel, Switzerland. This article is an open access article distributed under the terms and conditions of the Creative Commons Attribution (CC BY) license (http://creativecommons.org/licenses/by/4.0/).
Share and Cite
Ting, D.Z.; Rafol, S.B.; Khoshakhlagh, A.; Soibel, A.; Keo, S.A.; Fisher, A.M.; Pepper, B.J.; Hill, C.J.; Gunapala, S.D. InAs/InAsSb Type-II Strained-Layer Superlattice Infrared Photodetectors. Micromachines 2020, 11, 958. https://doi.org/10.3390/mi11110958
Ting DZ, Rafol SB, Khoshakhlagh A, Soibel A, Keo SA, Fisher AM, Pepper BJ, Hill CJ, Gunapala SD. InAs/InAsSb Type-II Strained-Layer Superlattice Infrared Photodetectors. Micromachines. 2020; 11(11):958. https://doi.org/10.3390/mi11110958
Chicago/Turabian StyleTing, David Z., Sir B. Rafol, Arezou Khoshakhlagh, Alexander Soibel, Sam A. Keo, Anita M. Fisher, Brian J. Pepper, Cory J. Hill, and Sarath D. Gunapala. 2020. "InAs/InAsSb Type-II Strained-Layer Superlattice Infrared Photodetectors" Micromachines 11, no. 11: 958. https://doi.org/10.3390/mi11110958
APA StyleTing, D. Z., Rafol, S. B., Khoshakhlagh, A., Soibel, A., Keo, S. A., Fisher, A. M., Pepper, B. J., Hill, C. J., & Gunapala, S. D. (2020). InAs/InAsSb Type-II Strained-Layer Superlattice Infrared Photodetectors. Micromachines, 11(11), 958. https://doi.org/10.3390/mi11110958
