Development of a Novel Three Degrees-of-Freedom Rotary Vibration-Assisted Micropolishing System Based on Piezoelectric Actuation
Abstract
:1. Introduction
2. Design of Proposed 3-DOF Rotary Vibration-Assisted Micropolishing System (3D RVMS)
2.1. Motivation for Vibration-Assisted Mechanism
2.2. Principle of the Proposed 3D RVMS
3. Compliance and Amplification Ratio Analysis Based on the Matrix Method of the VPD
3.1. Output Compliance Modeling
3.2. Input Compliance Modeling
3.3. Amplification Ratio Determination
4. Performance Validation and Discussion of the VPD
4.1. Testing the Experiment Setup of the VPD
4.2. Dynamic Characteristics Evaluation
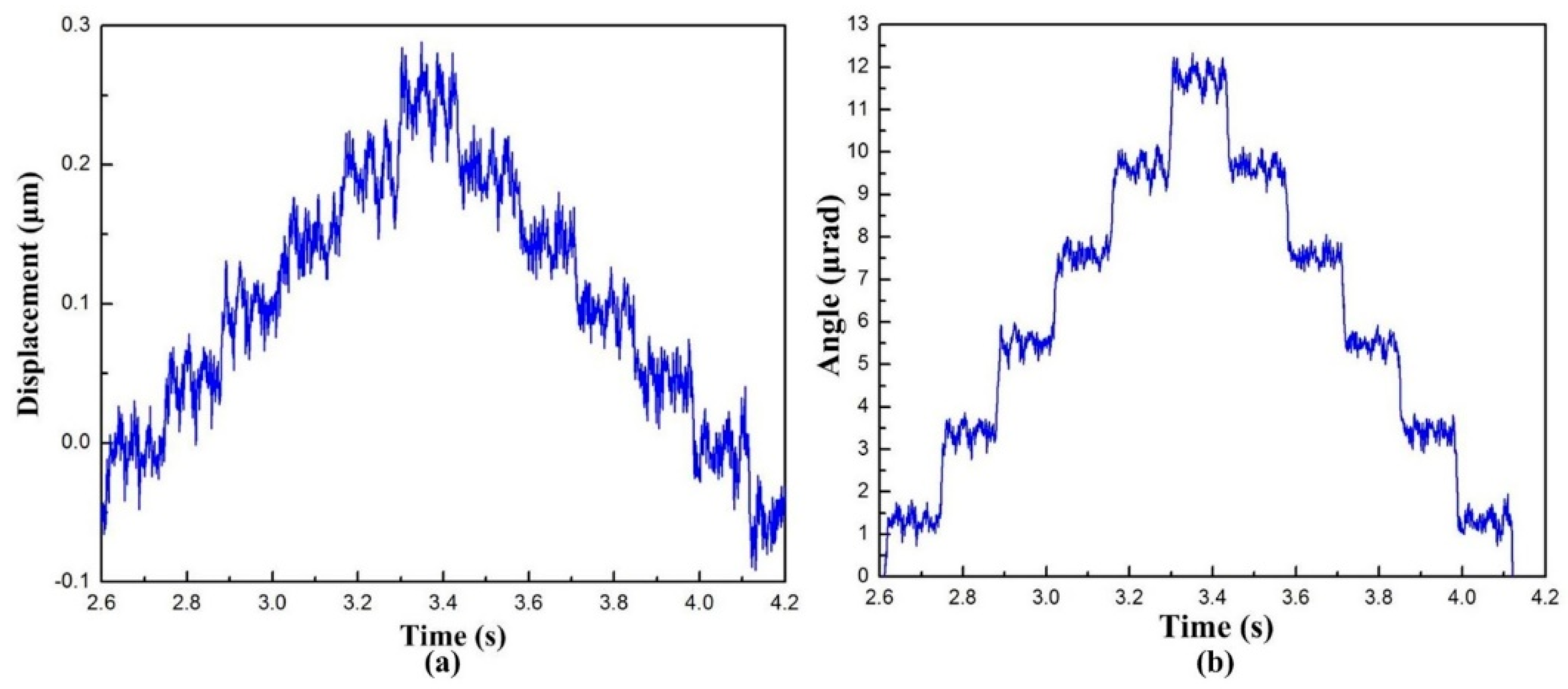
4.3. Motion Stroke Analysis and Resolution Tests
4.4. Static Performance Analysis
5. Performance Validation and Discussion of 3D RVMS
5.1. Processing Experiment Set Up of 3D RVMS
5.2. Experimental Results and Discussion
6. Conclusions
- (1)
- The amplification ratio and the input/output compliances of the VPD were analytically modeled based on the matrix method. The theoretical results had good agreement with the analytical and FEA results.
- (2)
- Through experimental tests, the maximum rotational angle of the VPD could reach 1.07 mrad with an output resolution of 0.8 µrad, while the maximum stroke at point B was 41 µm with a resolution of 70 nm. The VPD was also capable of achieving high first natural frequencies, which were examined to be 817.6 Hz at point B.
- (3)
- Compared with a nonvibration CNC polishing system, Sa was clearly improved by the proposed 3D RVMS. According to the contrast polishing experiments of the VPD’s rotational angle, Sa is vulnerable to a large rotational angle. The results of the processing experiments validated the authenticity and flexibility of the proposed vibration-assisted micropolishing principle.
Author Contributions
Funding
Conflicts of Interest
References
- Zhang, Y.; Zhang, J.; Han, J.; He, X.; Yao, W. Large-Scale Fabrication of Lightweight Si/SiC Ceramic Composite Optical Mirror. Mater. Lett. 2004, 58, 1204–1208. [Google Scholar] [CrossRef]
- Zhang, Z.; Yang, X.; Zheng, L.; Xue, D. High-Performance Grinding of a 2-m Scale Silicon Carbide Mirror Blank for the Space-Based Telescope. Int. J. Adv. Manuf. Technol. 2017, 89, 463–473. [Google Scholar] [CrossRef]
- Agarwal, S.; Rao, P.V. Grinding Characteristics, Material Removal and Damage Formation Mechanisms in High Removal Rate Grinding of Silicon Carbide. Int. J. Mach. Tools Manuf. 2010, 50, 1077–1087. [Google Scholar] [CrossRef]
- Gu, Y.; Zhu, W.; Lin, J.; Lu, M.; Kang, M. Subsurface Damage in Polishing Process of Silicon Carbide Ceramic. Materials. 2018, 11, 506. [Google Scholar] [CrossRef] [PubMed]
- Jones, R.A. Computer-Controlled Optical Surfacing with Orbital Tool Motion. Opt. Eng. 1986, 25, 256–785. [Google Scholar] [CrossRef]
- Yang, H.; Lee, Y.; Song, J.; Lee, I. Null Hartmann Test for the Fabrication of Large Aspheric Surfaces. Opt. Express 2005, 13, 1839–1847. [Google Scholar] [CrossRef]
- Hu, H.; Dai, Y.; Peng, X. Restraint of Tool Path Ripple Based on Surface Error Distribution and Process Parameters in Deterministic Finishing. Opt. Express. 2010, 18, 22973–22981. [Google Scholar] [CrossRef]
- Suzuki, H.; Hamada, S.; Okino, T.; Kondo, M.; Yamagata, Y. Ultraprecision Finishing of Micro-Aspheric Surface by Ultrasonic Two-Axis Vibration Assisted Polishing. CIRP Ann. 2010, 59, 347–350. [Google Scholar] [CrossRef]
- Suzuki, H.; Moriwaki, T.; Okino, T.; Ando, Y. Development of Ultrasonic Vibration Assisted Polishing Machine for Micro Aspheric Die and Mold. CIRP Ann. 2006, 55, 385–388. [Google Scholar] [CrossRef]
- Liang, Z.; Wu, Y.; Wang, X.; Zhao, W. A New Two-Dimensional Ultrasonic Assisted Grinding (2D-UAG) Method and its Fundamental Performance in Monocrystal Silicon Machining. Int. J. Mach. Tools Manuf. 2010, 50, 728–736. [Google Scholar] [CrossRef]
- Zhao, Q.; Sun, Z.; Guo, B. Material Removal Mechanism in Ultrasonic Vibration Assisted Polishing of Micro Cylindrical Surface on SiC. Int. J. Mach. Tools Manuf. 2016, 103, 28–39. [Google Scholar] [CrossRef]
- Guo, J.; Au, K.; Sun, C. Novel Rotating-Vibrating Magnetic Abrasive Polishing Method for Double-Layered Internal Surface Finishing. J. Mater. Process Technol. 2019, 264, 422–437. [Google Scholar] [CrossRef]
- Chen, W.; Zheng, L.; Huo, D.; Chen, Y. Surface Texture Formation by Non-Resonant Vibration Assisted Micro Milling. J. Micromech. Microeng. 2018, 28, 025006. [Google Scholar] [CrossRef]
- Gu, Y.; Chen, X.; Lin, J.; Lu, M.; Lu, F. Vibration-Assisted Roll-Type Polishing System Based on Compliant Micro-Motion Stage. Micromachines. 2018, 9, 499. [Google Scholar] [CrossRef] [PubMed]
- Zhu, Z.; Zhou, X.; Liu, Z.; Wang, R.; Zhu, L. Development of a Piezoelectrically Actuated Two-Degree-of-Freedom Fast Tool Servo with Decoupled Motions for Micro-/Nanomachining. Precis. Eng. 2014, 38, 809–820. [Google Scholar] [CrossRef]
- Chern, G.; Chang, Y. Using Two-Dimensional Vibration Cutting for Micro-Milling. Int. J. Mach. Tools Manuf. 2006, 46, 659–666. [Google Scholar] [CrossRef]
- Zhu, W.; Zhu, Z.; He, Y.; Ehmann, K.; Ju, B.; Li, S. Development of a Novel 2-D Vibration-Assisted Compliant Cutting System for Surface Texturing. IEEE/ASME Trans. Mechatron. 2017, 22, 1796–1806. [Google Scholar] [CrossRef]
- Chen, W.; Huo, D.; Shi, Y.; Hale, J. State-of-the-Art Review on Vibration-Assisted Milling: Principle, System Design, and Application. Int. J. Adv. Manuf. Technol. 2018, 97, 2033–2049. [Google Scholar] [CrossRef]
- Han, J.; Lin, J.; Li, Z.; Lu, M.; Zhang, J. Design and Computational Optimization of Elliptical Vibration-Assisted Cutting System with a Novel Flexure Structure. IEEE Trans. Ind. Electron. 2019, 66, 1151–1161. [Google Scholar] [CrossRef]
- Li, Y.; Huang, J.; Tang, H. A Compliant Parallel XY Micromotion Stage with Complete Kinematic Decoupling. IEEE Trans. Autom. Sci. Eng. 2012, 9, 538–553. [Google Scholar] [CrossRef]
- Tang, H.; Li, Y. Design, Analysis, and Test of a Novel 2-DOF Nanopositioning System Driven by Dual Mode. IEEE Trans. Rob. 2013, 29, 650–662. [Google Scholar] [CrossRef]
- Kim, J.H.; Kim, S.H.; Kwak, Y.K. Development and Optimization of 3-D Bridge-Type Hinge Mechanisms. Sens. Actuators, A 2004, 116, 530–538. [Google Scholar] [CrossRef]
- Wu, Y.; Zhou, Z. Design Calculations for Flexure Hinges. Rev. Sci. Instrum. 2002, 73, 3101–3106. [Google Scholar] [CrossRef]
- Yong, Y.K.; Lu, T.F. Kinetostatic Modeling of 3-RRR Compliant Micro-Motion Stages with Flexure Hinges. Mech. Mach. Theory. 2009, 44, 1156–1175. [Google Scholar] [CrossRef]
- Tian, Y.; Shirinzadeh, B.; Zhang, D. Design and Dynamics of a 3-DOF Flexure-Based Parallel Mechanism for Micro/Nano Manipulation. Microelectron. Eng. 2010, 87, 230–241. [Google Scholar] [CrossRef]
- Hwang, D.; Byun, J.; Jeong, J.; Lee, M.G. Robust Design and Performance Verification of an In-Plane XYθ Micropositioning Stage. IEEE. Trans. Nanotechnol. 2011, 10, 1412–1423. [Google Scholar] [CrossRef]
- Kim, H.; Gweon, D.G. Development of a Compact and Long Range XYθz Nano-Positioning Stage. Rev. Sci. Instrum. 2012, 83, 085102. [Google Scholar] [CrossRef]
- Li, Y.; Xu, Q. A Novel Piezoactuated XY Stage with Parallel, Decoupled, and Stacked Flexure Structure for Micro-/Nanopositioning. IEEE. Trans. Ind. Electron. 2011, 58, 3601–3615. [Google Scholar] [CrossRef]
- Li, Y.; Xu, Q. A Totally Decoupled Piezo-Driven XYZ Flexure Parallel Micropositioning Stage for Micro/Nanomanipulation. IEEE. Trans. Autom. Sci. Eng. 2011, 8, 265–279. [Google Scholar] [CrossRef]
- Li, Y.; Xu, Q. Design and Analysis of a Totally Decoupled Flexure-Based XY Parallel Micromanipulator. IEEE Trans. Rob. 2009, 25, 645–657. [Google Scholar]
- Lin, J.; Han, J.; Lu, M.; Zhou, J.; Gu, Y. Design and Performance Testing of a Novel Three-Dimensional Elliptical Vibration Turning Device. Micromachines. 2017, 8, 305. [Google Scholar] [CrossRef] [PubMed]
- Lin, J.; Han, J.; Lu, M.; Yu, B.; Gu, Y. Design, Analysis and Testing of a New Piezoelectric Tool Actuator for Elliptical Vibration Turning. Smart Mater. Struct. 2017, 26, 085008. [Google Scholar] [CrossRef]
- Xiao, S.; Li, Y. Optimal Design, Fabrication, and Control of an XY Micropositioning Stage Driven by Electromagnetic Actuators. IEEE Trans. Ind. Electron. 2013, 60, 4613–4626. [Google Scholar] [CrossRef]





















| r (mm) | b (mm) | t (mm) | w (mm) | lAB (mm) | l1 (mm) |
| 0.82 | 12 | 0.4 | 0.6 | 88 | 81 |
| l2 (mm) | l3 (mm) | E (GPa) | σ (MPa) | μ | ρ (kg/m3) |
| 25 | 21 | 71.7 | 503 | 0.33 | 2810 |
| Performance | Input Stiffness (N/μm) | Output Compliance (Nm/mrad) | Amplification Ratio |
|---|---|---|---|
| Matrix model | 14.49 | 1.72 | 1.82 |
| FEA | 11.36 | 2.39 | 1.58 |
| Deviation (%) | 21.6 | 28.0 | 13.2 |
| Workpiece | SiC Ceramic |
|---|---|
| Number | 4 |
| Rotational speed | 1200 r/min |
| Translational speed | 3 mm/s |
| Polishing tool | Polyurethane |
| Radius curvature | 8 mm |
| Abrasive | Diamond slurry |
| Grain size | 3.0 μm |
| Polishing time | 1 h |
| Workpiece Number | Piezo-Electric (PZT) Actuators Frequency (Hz) | Output Displacement (μm) | Rotational Angle (mrad) |
|---|---|---|---|
| 1 | × | × | × |
| 2 | 80 | 23 | 0.39 |
| 3 | 50 | 11 | 0.17 |
| 4 | 50 | 23 | 0.39 |
© 2019 by the authors. Licensee MDPI, Basel, Switzerland. This article is an open access article distributed under the terms and conditions of the Creative Commons Attribution (CC BY) license (http://creativecommons.org/licenses/by/4.0/).
Share and Cite
Gu, Y.; Chen, X.; Lu, F.; Lin, J.; Yi, A.; Feng, J.; Sun, Y. Development of a Novel Three Degrees-of-Freedom Rotary Vibration-Assisted Micropolishing System Based on Piezoelectric Actuation. Micromachines 2019, 10, 502. https://doi.org/10.3390/mi10080502
Gu Y, Chen X, Lu F, Lin J, Yi A, Feng J, Sun Y. Development of a Novel Three Degrees-of-Freedom Rotary Vibration-Assisted Micropolishing System Based on Piezoelectric Actuation. Micromachines. 2019; 10(8):502. https://doi.org/10.3390/mi10080502
Chicago/Turabian StyleGu, Yan, Xiuyuan Chen, Faxiang Lu, Jieqiong Lin, Allen Yi, Jie Feng, and Yang Sun. 2019. "Development of a Novel Three Degrees-of-Freedom Rotary Vibration-Assisted Micropolishing System Based on Piezoelectric Actuation" Micromachines 10, no. 8: 502. https://doi.org/10.3390/mi10080502
APA StyleGu, Y., Chen, X., Lu, F., Lin, J., Yi, A., Feng, J., & Sun, Y. (2019). Development of a Novel Three Degrees-of-Freedom Rotary Vibration-Assisted Micropolishing System Based on Piezoelectric Actuation. Micromachines, 10(8), 502. https://doi.org/10.3390/mi10080502

