A Comparison of Methods to Measure the Coupling Coefficient of Electromagnetic Vibration Energy Harvesters
Abstract
:1. Introduction
2. Electromagnetic Coupling
2.1. Theory
2.2. Four Methods of Measuring the Electromagnetic Coupling Coefficient
3. Experimental and Simulative Validation
3.1. Energy Harvester Implementation
3.2. Finite Element Simulation
3.3. Measurement Details
3.4. Propagation of Uncertainty
4. Results and Discussion
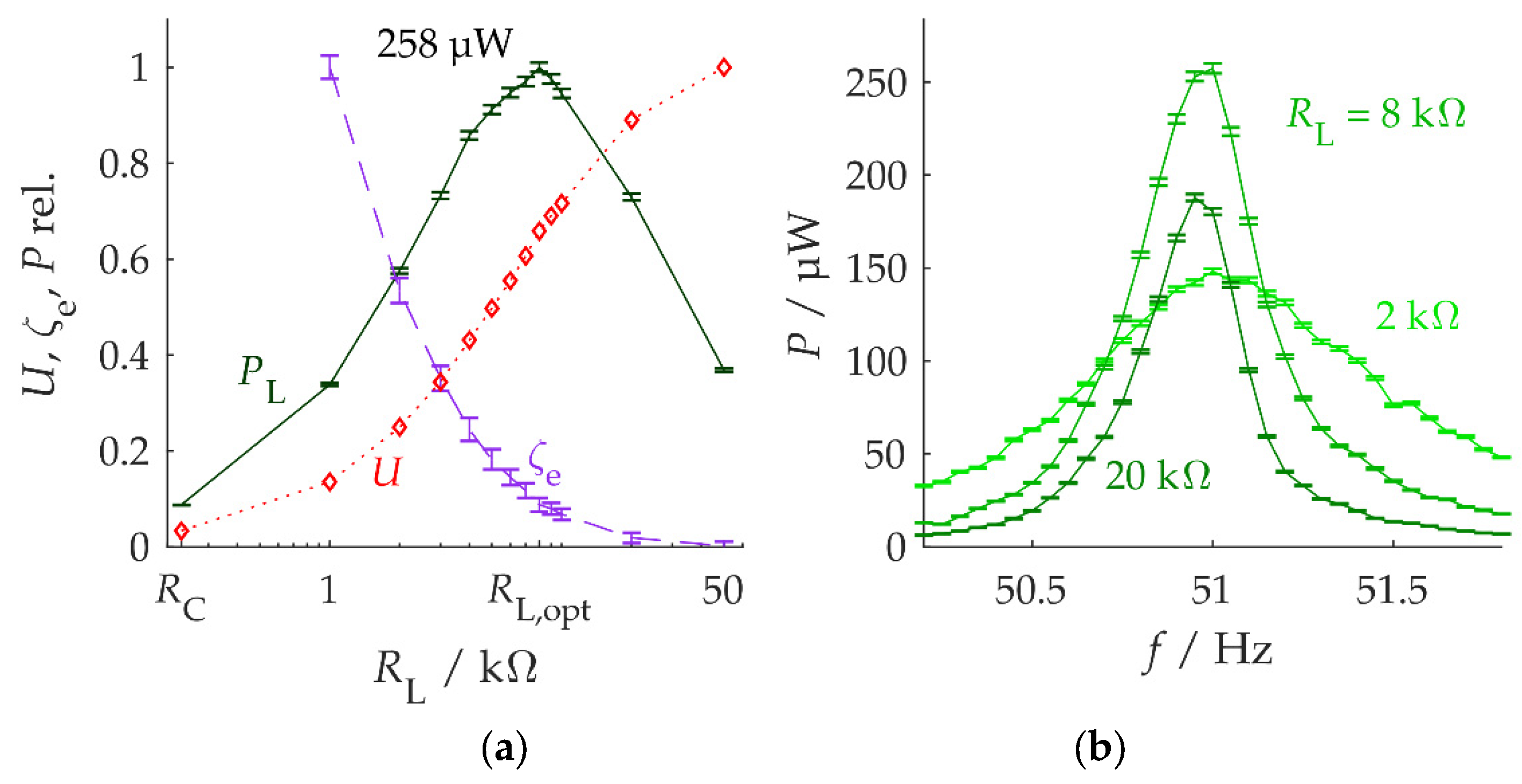
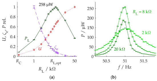
4.1. Damping Influence and Optimum Load
4.2. Measuring
4.3. Comparison and Discussion
5. Summary
Supplementary Materials
Author Contributions
Funding
Conflicts of Interest
Appendix A

References
- Basagni, S.; Naderi, M.Y.; Petrioli, C.; Spenza, D. Wireless sensor networks with energy harvesting. In Mobile Ad Hoc Networking, 2nd ed.; IEEE Press: Piscataway, NJ, USA, 2013. [Google Scholar]
- Cook-Chenault, K.A.; Thambi, N.; Sastry, A.M. Powering MEMS portable devices—a review of non-regenerative and regenerative power supply systems with special emphasis on piezoelectric energy harvesting systems. Smart Mater. Struct. 2008, 17, 043001. [Google Scholar] [CrossRef]
- Matiko, J.W.; Grabham, N.J.; Beeby, S.P.; Tudor, M.J. Review of the application of energy harvesting in buildings. Meas. Sci. Technol. 2014, 25, 012002. [Google Scholar] [CrossRef]
- Beeby, S.P.; Tudor, M.J.; White, N.M. Energy harvesting vibration sources for microsystems applications. Meas. Sci. Technol. 2006, 17, R175–R195. [Google Scholar] [CrossRef]
- Zhu, D.B.; Tudor, M.J.; Beeby, S.P. Strategies for increasing the operating frequency range of vibration energy harvesters: A review. Meas. Sci. Technol. 2010, 21, 022001. [Google Scholar] [CrossRef]
- Tang, L.H.; Yang, Y.W.; Soh, C.K. Toward Broadband Vibration-based Energy Harvesting. J. Intell. Mater. Struct. 2010, 21, 1867–1897. [Google Scholar] [CrossRef]
- Mösch, M.; Fischerauer, G. A Theory for Energy-Optimized Operation of Self-Adaptive Vibration Energy Harvesting Systems with Passive Frequency Adjustment. Micromachines 2019, 10, 44. [Google Scholar] [CrossRef] [PubMed]
- Friswell, M.I.; Ali, S.F.; Bilgen, O.; Adhikari, S.; Lees, A.W.; Litak, G. Non-linear piezoelectric vibration energy harvesting from a vertical cantilever beam with tip mass. J. Intell. Mater. Syst. Struct. 2012, 23, 1505–1521. [Google Scholar] [CrossRef]
- Hoffmann, D.; Folkmer, B.; Manoli, Y. Experimental Analysis of a Coupled Energy Harvesting System with Monostable and Bistable Configuration. In Proceedings of the 14th International Conference on Micro- and Nano-Technology for Power Generation and Energy Conversion Applications (PowerMEMS), Hyogo, Japan, 18–21 November 2014. [Google Scholar]
- Roundy, S.; Wright, P.K. A piezoelectric vibration based generator for wireless electronics. Smart Mater. Struct. 2004, 13, 1131–1142. [Google Scholar] [CrossRef]
- Caliò, R.; Rongala, U.B.; Camboni, D.; Milazzo, M.; Stefanini, C.; de Petris, G.; Oddo, C.M. Piezoelectric Energy Harvesting Solutions. Sensors 2014, 14, 4755–4790. [Google Scholar] [CrossRef] [PubMed]
- Stephen, N.G. On energy harvesting from ambient vibration. J. Sound Vibr. 2006, 293, 409–425. [Google Scholar] [CrossRef]
- O’Donnell, T.; Saha, C.; Beeby, S.; Tudor, J. Scaling effects for electromagnetic vibrational power generators. Microsyst. Technol. 2007, 13, 1637–1645. [Google Scholar] [CrossRef]
- Glynne-Jones, P.; Tudor, M.J.; Beeby, S.P.; White, N.M. An electromagnetic, vibration-powered generator for intelligent sensor systems. Sens. Actuator A Phys. 2004, 110, 344–349. [Google Scholar] [CrossRef]
- Cheng, S.; Wang, N.; Arnold, D.P. Modeling of magnetic vibrational energy harvesters using equivalent circuit representations. J. Micromech. Microeng. 2007, 17, 2328. [Google Scholar] [CrossRef]
- Spreemann, D.; Hoffmann, D.; Folkmer, B.; Manoli, Y. Numerical optimization approach for resonant electromagnetic vibration transducer designed for random vibration. J. Micromech. Microeng. 2008, 18, 104001. [Google Scholar] [CrossRef]
- Mann, B.P.; Owens, B.A. Investigations of a nonlinear energy harvester with a bistable potential well. J. Sound Vibr. 2010, 329, 1215–1226. [Google Scholar] [CrossRef]
- Cepnik, C.; Radler, O.; Rosenbaum, S.; Ströhla, T.; Wallrabe, U. Effective optimization of electromagnetic energy harvesters through direct computation of the electromagnetic coupling. Sens. Actuator A Phys. 2011, 167, 416–421. [Google Scholar] [CrossRef]
- Szarka, G.D.; Burrow, S.G.; Proynov, P.P.; Stark, B.H. Maximum Power Transfer Tracking for Ultralow-Power Electromagnetic Energy Harvesters. IEEE Trans. Power Electron. 2014, 29, 201–212. [Google Scholar] [CrossRef]
- Rao, S.S. Mechanical Vibrations, 5th ed.; Prentice Hall: Upper Saddle River, NJ, USA, 2011. [Google Scholar]
- Maurath, D.; Becker, P.F.; Spreemann, D.; Manoli, Y. Efficient Energy Harvesting with Electromagnetic Energy Transducers Using Active Low-Voltage Rectification and Maximum Power Point Tracking. IEEE J. Solid-State Circuits 2012, 47, 1369–1380. [Google Scholar] [CrossRef]
- Leicht, J.; Amayreh, M.; Moranz, C.; Maurath, D.; Hehn, T.; Manoli, Y. Electromagnetic Vibration Energy Harvester Interface IC with Conduction-Angle-Controlled Maximum-Power-Point Tracking and Harvesting Efficiencies of up to 90%. In Proceedings of the 62nd IEEE International Solid-State Circuits Conference (ISSCC), San Francisco, CA, USA, 22–26 February 2015; pp. 368–369. [Google Scholar]
- Kirkup, L.; Frenkel, R.B. An Introduction to Uncertainty in Measurement Using the GUM (Guide to the Expression of Uncertainty in Measurement); Cambridge University Press: Cambridge, UK, 2006. [Google Scholar]
- Cepnik, C.; Wallrabe, U. On the comparison, scaling and benchmarking of electromagnetic vibration energy harvesters. In Proceedings of the PowerMEMS 2011, Seoul, Korea, 15–18 November 2011. [Google Scholar]
- Leicht, J.; Hehn, T.; Maurath, D.; Moranz, C.; Manoli, Y. Physical insight into electromagnetic kinetic energy transducers and appropriate energy conditioning for enhanced micro energy harvesting. In Proceedings of the 13th International Conference on Micro and Nano Technology for Power Generation and Energy Conversion Applications (PowerMEMS), London, UK, 3–6 December 2013. [Google Scholar]







| Setup No. | Description | ℓ/mm | fr/Hz | N | Dw/µm | RC/Ω | â/m/s2 |
|---|---|---|---|---|---|---|---|
| 1L | Coil 1, long | 27 | 51.2 | 1300 | 50 | 226 | 0.75 |
| 1M | Coil 1, medium | 22 | 65.3 | 1300 | 50 | 226 | 1 |
| 1S | Coil 1, short | 18 | 81.2 | 1300 | 50 | 226 | 1 |
| 2 | Coil 2 | 27 | 51.2 | 2115 | 40 | 880 | 0.75 |
| 3 | Coil 3 | 27 | 51.2 | 3620 | 30 | 1707 | 0.75 |
| Setup No. | RC/kΩ | RL,opt/kΩ | RL,opt,c/kΩ | Pmax/µW |
|---|---|---|---|---|
| 1L | 0.23 | 8 | 7.1 | 257 |
| 1M | 0.23 | 6 | 5.9 | 179 |
| 1S | 0.23 | 5 | 5.2 | 94 |
| 2 | 0.88 | 18 | 19.6 | 223 |
| 3 | 1.7 | 60 | 60.6 | 253 |
| Setup No. | Coupling Coefficient in Wb/m | ||||
|---|---|---|---|---|---|
| Ksim | Koc | Ksc | KR | Ki | |
| 1L | 7.1 | 7.1 | 7.3 | 7.6 | 7.2 |
| 1M | 7.1 | 6.8 | 7.1 | 7.2 | 7.4 |
| 1S | 7.1 | 6.9 | 6.6 | 7.0 | 7.4 |
| 2 | 11.5 | 11.0 | 11.3 | 11.0 | 12.0 |
| 3 | 19.7 | 19.8 | 20.2 | 19.6 | 20.2 |
© 2019 by the authors. Licensee MDPI, Basel, Switzerland. This article is an open access article distributed under the terms and conditions of the Creative Commons Attribution (CC BY) license (http://creativecommons.org/licenses/by/4.0/).
Share and Cite
Mösch, M.; Fischerauer, G. A Comparison of Methods to Measure the Coupling Coefficient of Electromagnetic Vibration Energy Harvesters. Micromachines 2019, 10, 826. https://doi.org/10.3390/mi10120826
Mösch M, Fischerauer G. A Comparison of Methods to Measure the Coupling Coefficient of Electromagnetic Vibration Energy Harvesters. Micromachines. 2019; 10(12):826. https://doi.org/10.3390/mi10120826
Chicago/Turabian StyleMösch, Mario, and Gerhard Fischerauer. 2019. "A Comparison of Methods to Measure the Coupling Coefficient of Electromagnetic Vibration Energy Harvesters" Micromachines 10, no. 12: 826. https://doi.org/10.3390/mi10120826
APA StyleMösch, M., & Fischerauer, G. (2019). A Comparison of Methods to Measure the Coupling Coefficient of Electromagnetic Vibration Energy Harvesters. Micromachines, 10(12), 826. https://doi.org/10.3390/mi10120826

