Effect of Clostridium perfringens β-Toxin on Platelets
Abstract
1. Introduction
2. Results
2.1. Cytotoxicity of rCPB and Morphological Effects of rCPB on Platelets
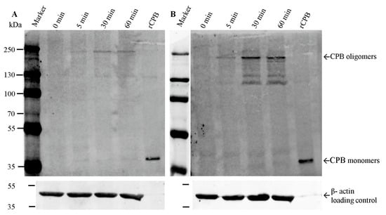
2.2. Platelet Binding and Oligomerization of rCPB
2.3. Lack of Marked Platelet Activation by rCPB
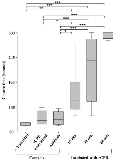
2.4. Effect of rCPB on Platelet Function
3. Discussion
4. Materials and Methods
4.1. Isolation of Platelets
4.2. Incubation of Platelets with Recombinant Clostridium Perfringens β-Toxin
4.3. Flow Cytometry
4.4. Scanning Electron Microscopy
4.5. Detection of Toxin Oligomerization by Western Blot Analyses
4.6. Functional Assay
Acknowledgments
Author Contributions
Conflicts of Interest
References
- Peraro, M.D.; van der Goot, F.G. Pore-forming toxins: Ancient, but never really out of fashion. Nat. Rev. Microbiol. 2016, 14, 77–92. [Google Scholar] [CrossRef] [PubMed]
- Popoff, M.R.; Bouvet, P. Clostridial toxins. Future Microbiol. 2009, 4, 1021–1064. [Google Scholar] [CrossRef] [PubMed]
- Sayeed, S.; Uzal, F.A.; Fisher, D.J.; Saputo, J.; Vidal, J.E.; Chen, Y.; Gupta, P.; Rood, J.I.; McClane, B.A. Beta toxin is essential for the intestinal virulence of Clostridium perfringens type C disease isolate cn3685 in a rabbit ileal loop model. Mol. Microbiol. 2008, 67, 15–30. [Google Scholar] [CrossRef] [PubMed]
- Nagahama, M.; Hayashi, S.; Morimitsu, S.; Sakurai, J. Biological activities and pore formation of clostridium perfringens beta toxin in HL 60 cells. Biol. Chem. 2003, 278, 36934–36941. [Google Scholar] [CrossRef] [PubMed]
- Nagahama, M.; Shibutani, M.; Seike, S.; Yonezaki, M.; Takagishi, T.; Oda, M.; Kobayashi, K.; Sakurai, J. The p38 mapk and jnk pathways protect host cells against Clostridium perfringens beta-toxin. Infect. Immun. 2013, 81, 3703–3708. [Google Scholar] [CrossRef] [PubMed]
- Seike, S.; Takehara, M.; Kobayashi, K.; Nagahama, M. Role of pannexin 1 in Clostridium perfringens beta-toxin-caused cell death. Biochim. Biophys. Acta (BBA) Biomembr. 2016, 1858, 3150–3156. [Google Scholar] [CrossRef] [PubMed]
- Steinthorsdottir, V.; Halldorsson, H.; Andresson, O.S. Clostridium perfringens beta-toxin forms multimeric transmembrane pores in human endothelial cells. Microb. Pathog. 2000, 28, 45–50. [Google Scholar] [CrossRef] [PubMed]
- Autheman, D.; Wyder, M.; Popoff, M.; D’Herde, K.; Christen, S.; Posthaus, H. Clostridium perfringens beta-toxin induces necrostatin-inhibitable, calpain-dependent necrosis in primary porcine endothelial cells. PLoS ONE 2013, 8, e64644. [Google Scholar] [CrossRef] [PubMed]
- Popescu, F.; Wyder, M.; Gurtner, C.; Frey, J.; Cooke, R.A.; Greenhill, A.R.; Posthaus, H. Susceptibility of primary human endothelial cells to C. perfringens beta-toxin suggesting similar pathogenesis in human and porcine necrotizing enteritis. Vet. Microbiol. 2011, 153, 173–177. [Google Scholar] [CrossRef] [PubMed]
- Gurtner, C.; Popescu, F.; Wyder, M.; Sutter, E.; Zeeh, F.; Frey, J.; von Schubert, C.; Posthaus, H. Rapid cytopathic effects of Clostridium perfringens beta-toxin on porcine endothelial cells. Infect. Immun. 2010, 78, 2966–2973. [Google Scholar] [CrossRef] [PubMed]
- Roos, S.; Wyder, M.; Candi, A.; Regenscheit, N.; Nathues, C.; van Immerseel, F.; Posthaus, H. Binding studies on isolated porcine small intestinal mucosa and in vitro toxicity studies reveal lack of effect of C. perfringens beta-toxin on the porcine intestinal epithelium. Toxins 2015, 7, 1235–1252. [Google Scholar] [CrossRef] [PubMed]
- Li, Z.; Delaney, M.K.; O’Brien, K.A.; Du, X. Signaling during platelet adhesion and activation. Arterioscler. Thromb. Vasc. Biol. 2010, 30, 2341–2349. [Google Scholar] [CrossRef] [PubMed]
- Davie, E.W.; Fujikawa, K.; Kisiel, W. The coagulation cascade: Initiation, maintenance, and regulation. Biochemistry 1991, 30, 10363–10370. [Google Scholar] [CrossRef] [PubMed]
- Zhao, Q.; Li, H.; Li, B. Nanoencapsulating living biological cells using electrostatic layer-by-layer self-assembly: Platelets as a model. J. Mater. Res. 2011, 26, 347–351. [Google Scholar] [CrossRef] [PubMed]
- Miclard, J.; Jaggi, M.; Sutter, E.; Wyder, M.; Grabscheid, B.; Posthaus, H. Clostridium perfringens beta-toxin targets endothelial cells in necrotizing enteritis in piglets. Vet. Microbiol. 2009, 137, 320–325. [Google Scholar] [CrossRef] [PubMed]
- Schumacher, V.L.; Martel, A.; Pasmans, F.; Van Immerseel, F.; Posthaus, H. Endothelial binding of beta toxin to small intestinal mucosal endothelial cells in early stages of experimentally induced Clostridium perfringens type C enteritis in pigs. Vet. Pathol. 2013, 50, 626–629. [Google Scholar] [CrossRef] [PubMed]
- Miclard, J.; van Baarlen, J.; Wyder, M.; Grabscheid, B.; Posthaus, H. Clostridium perfringens beta-toxin binding to vascular endothelial cells in a human case of enteritis necroticans. Med. Microbiol. 2009, 58, 826–828. [Google Scholar] [CrossRef] [PubMed]
- Versteeg, H.H.; Heemskerk, J.W.M.; Levi, M.; Reitsma, P.H. New fundamentals in hemostasis. Phys. Rev. 2013, 93, 327–358. [Google Scholar] [CrossRef] [PubMed]
- Watson, S.P. Platelet activation by extracellular matrix proteins in haemostasis and thrombosis. Curr. Pharm. Des. 2009, 15, 1358–1372. [Google Scholar] [CrossRef] [PubMed]
- Chen, J.; Ma, M.; Uzal, F.A.; McClane, B.A. Host cell-induced signaling causes Clostridium perfringens to upregulate production of toxins important for intestinal infections. Gut Microbes 2014, 5, 96–107. [Google Scholar] [CrossRef] [PubMed]
- Vidal, J.E.; Ohtani, K.; Shimizu, T.; McClane, B.A. Contact with enterocyte-like Caco-2 cells induces rapid upregulation of toxin production by Clostridium perfringens type C isolates. Cell. Microbiol. 2009, 11, 1306–1328. [Google Scholar] [CrossRef] [PubMed]
- Lutze, G.; Lutze, G., Jr.; Kutschmann, K.; Wiens, L. Plasma blood coagulation in mammals (domestic and zoo animals). Experience with screening tests and determinations of individual factor activities. Hämostaseologie 2007, 27, 201–210. [Google Scholar] [PubMed]
- Gruba, S.M.; Koseoglu, S.; Meyer, A.F.; Meyer, B.M.; Maurer-Jones, M.A.; Haynes, C.L. Platelet membrane variations and their effects on δ-granule secretion kinetics and aggregation spreading among different species. Biochim. Biophys. Acta (BBA) Biomembr. 2015, 1848, 1609–1618. [Google Scholar] [CrossRef] [PubMed]
- Pelagalli, A.; Belisario, M.A.; Tafuri, S.; Lombardi, P.; d’Angelo, D.; Avallone, L.; Staiano, N. Adhesive properties of platelets from different animal species. J. Comparat. Pathol. 2003, 128, 127–131. [Google Scholar] [CrossRef]
- Softeland, E.; Framstad, T.; Thorsen, T.; Holmsen, H. Porcine platelets in vitro and in vivo studies: Relevance to human thrombosis research. Eur. J. Haematol. 1992, 49, 161–173. [Google Scholar] [CrossRef] [PubMed]
- Stoffel, M.H.; Friess, A.E. Demonstration and cytochemical analysis of anionic sites on ejaculated boar spermatozoa: A scanning electron microscopy study using cationised colloidal gold. Histochem. Cell Biol. 2002, 117, 61–67. [Google Scholar] [CrossRef] [PubMed]
- Stoffel, M.H.; Busato, A.; Friess, A.E. Density and distribution of anionic sites on boar ejaculated and epididymal spermatozoa. Histochem. Cell Biol. 2002, 117, 441–445. [Google Scholar] [CrossRef] [PubMed]
- Kratzer, M.A.A.; Born, G.V.R. Simulation of primary haemostasis in vitro. Pathophysiol. Haemost. Thromb. 1985, 15, 357–362. [Google Scholar] [CrossRef]
- Kratzer, M.A.A.; Bellucci, S.; Caen, J.P. Detection of abnormal platelet functions with an in vitro model of primary haemostasis. Pathophysiol. Haemost. Thromb. 1985, 15, 363–370. [Google Scholar] [CrossRef]
- Kundu, S.K.; Heilmann, E.J.; Sio, R.; Garcia, C.; Ostgaard, R.A. Characterization of an in vitro platelet function analyzer, pfa-100™. Clin. Appl. Thromb./Hemost. 1996, 2, 241–249. [Google Scholar] [CrossRef]











© 2017 by the authors. Licensee MDPI, Basel, Switzerland. This article is an open access article distributed under the terms and conditions of the Creative Commons Attribution (CC BY) license (http://creativecommons.org/licenses/by/4.0/).
Share and Cite
Thiel, A.; Mogel, H.; Bruggisser, J.; Baumann, A.; Wyder, M.; Stoffel, M.H.; Summerfield, A.; Posthaus, H. Effect of Clostridium perfringens β-Toxin on Platelets. Toxins 2017, 9, 336. https://doi.org/10.3390/toxins9100336
Thiel A, Mogel H, Bruggisser J, Baumann A, Wyder M, Stoffel MH, Summerfield A, Posthaus H. Effect of Clostridium perfringens β-Toxin on Platelets. Toxins. 2017; 9(10):336. https://doi.org/10.3390/toxins9100336
Chicago/Turabian StyleThiel, Anne, Helga Mogel, Julia Bruggisser, Arnaud Baumann, Marianne Wyder, Michael H. Stoffel, Artur Summerfield, and Horst Posthaus. 2017. "Effect of Clostridium perfringens β-Toxin on Platelets" Toxins 9, no. 10: 336. https://doi.org/10.3390/toxins9100336
APA StyleThiel, A., Mogel, H., Bruggisser, J., Baumann, A., Wyder, M., Stoffel, M. H., Summerfield, A., & Posthaus, H. (2017). Effect of Clostridium perfringens β-Toxin on Platelets. Toxins, 9(10), 336. https://doi.org/10.3390/toxins9100336

