Spatial and Temporal Patterns in the Seasonal Distribution of Toxic Cyanobacteria in Western Lake Erie from 2002–2014
Abstract
:1. Introduction


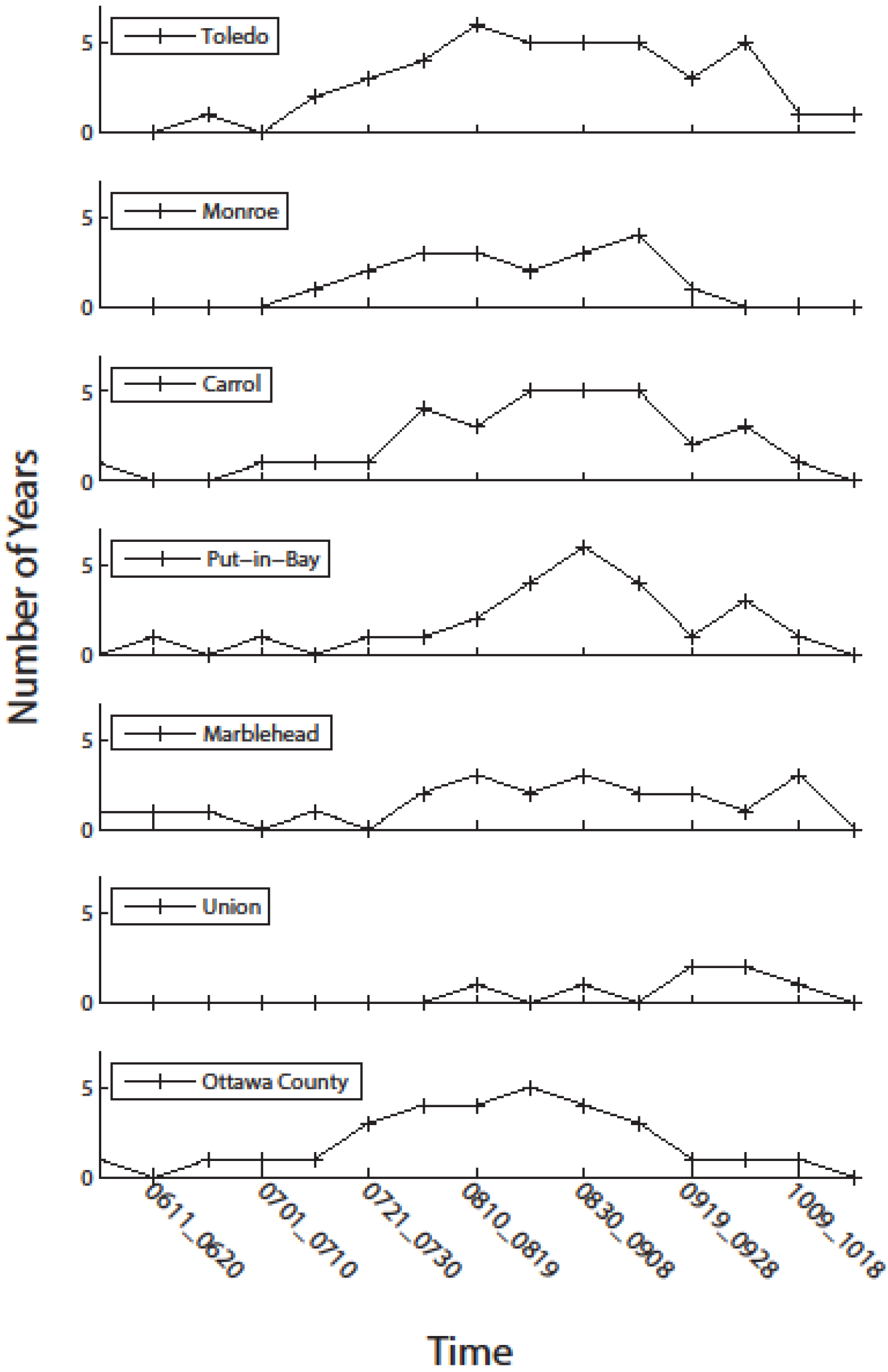
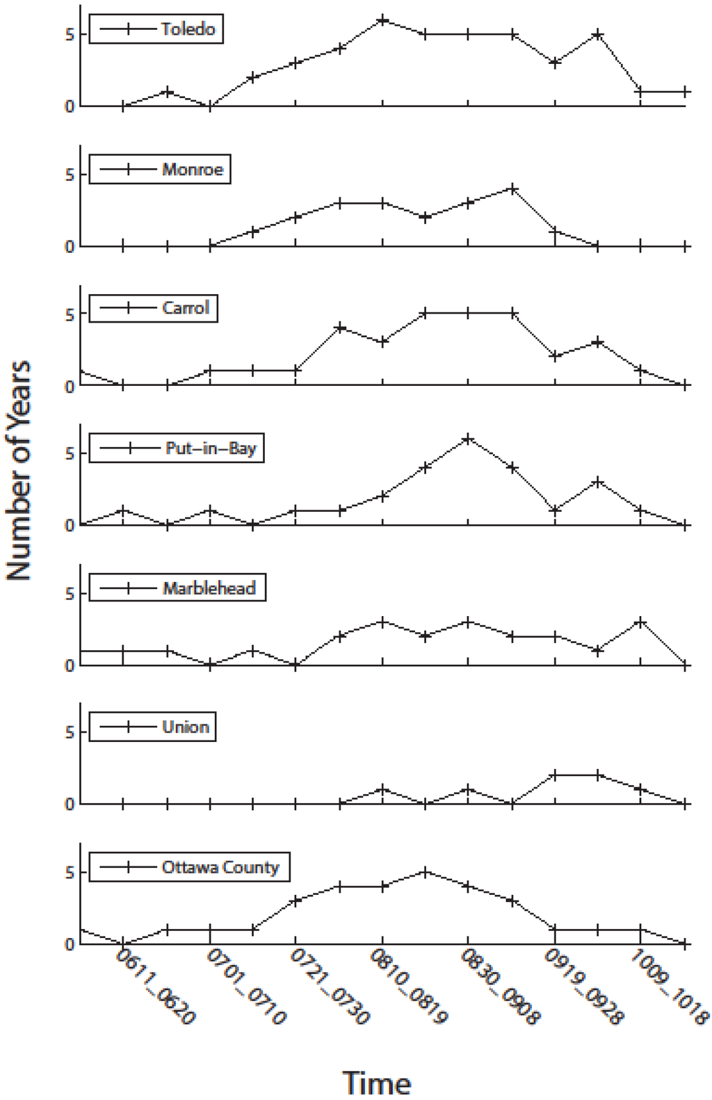
2. Results
2.1. Frequency Maps






2.2. Ontario Shoreline
2.3. Drinking Water Supplies

3. Discussion
4. Methods
| Composite number | Start date | End date |
|---|---|---|
| 1 | 01 June | 10 June |
| 2 | 11 June | 20 June |
| 3 | 21 June | 30 June |
| 4 | 1 July | 10 July |
| 5 | 11 July | 20 July |
| 6 | 21 July | 30 July |
| 7 | 31 July | 9 August |
| 8 | 10 August | 19 August |
| 9 | 20 August | 29 August |
| 10 | 30 August | 8 September |
| 11 | 9 September | 18 September |
| 12 | 19 September | 28 September |
| 13 | 29 September | 8 October |
| 14 | 9 October | 19 October |
| 15 | 19 October | 31 October |
5. Conclusions
Supplementary Materials
Acknowledgments
Author Contributions
Conflicts of Interest
References
- Stumpf, R.P.; Wynne, T.T.; Baker, D.B.; Fahnenstiel, G.L. Interannual variability of cyanobacterial blooms in Lake Erie. PLoS One 2012, 7, e42444. [Google Scholar] [CrossRef] [PubMed]
- National Oceanic and Atmospheric Administration. Available online: http://www2.nccos.noaa.gov/coast/lakeerie/bulletin/ (accessed on 16 March 2015).
- Backer, L.C. Cyanobacterial harmful algal blooms (CyanoHABs): developing a public health response. Lake Reserv. Manag. 2002, 18, 20–31. [Google Scholar] [CrossRef]
- Davenport, T.; Drake, W. Grand Lake St. Marys, Ohio—The Case for Source Water Protection: Nutrients And Algae Blooms, EPA Commentary. Available online: http://water.epa.gov/polwaste/upload/lakeline_article.pdf (accessed on 4 March 2015).
- Henry, T. Carrol Township’s scare with toxin a “wake-up call”. Toledo Blade 2013. [Google Scholar]
- Chorus, I.; Bartram, J. Toxic Cyanobacteria in Water: A Guide to Their Public Health Consequences, Monitoring and Management; World Health Organization: London, UK, 1999. [Google Scholar]
- Fitzsimmons, E.G. Tap Water Ban for Toledo Residents. New York Times. 3 August 2014. Available online: http://www.nytimes.com/2014/08/04/us/toledo-faces-second-day-of-water-ban.html?_r=0 (accessed on 15 March 2015).
- Wynne, T.T.; Stumpf, R.P.; Tomlinson, M.C.; Fahnensteil, G.L.; Schwab, D.J.; Dyble, J.; Joshi, S. Evolution of a cyanobacterial bloom forecast system in western Lake Erie: Development and initial evaluation. J. Great Lakes Res. 2013, 39, 90–99. [Google Scholar] [CrossRef]
- National Oceanic and Atmospheric Administration. NOAA, partners predict mild harmful algal blooms for western Lake Erie this year. Available online: http://www.noaanews.noaa.gov/stories2012/20120705_habs.html (accessed on 4 March 2015).
- National Oceanic and Atmospheric Administration. NOAA, partners predict significant harmful algal bloom in western Lake Erie this summer. Available online: http://www.noaanews.noaa.gov/stories2013/20130702_lakeeriehabs.html (accessed on 4 March 2015).
- National Oceanic and Atmospheric Administration. NOAA, partners predict significant harmful algal bloom in western Lake Erie this summer. Available online: http://www.noaanews.noaa.gov/stories2014/20140710_erie_hab.html (accessed on 4 March 2015).
- Millie, D.F.; Fahnenstiel, G.L.; Dyble Bressie, J.; Pigg, R.J.; Rediske, R.R.; Klarer, D.M.; Tester, P.A.; Litaker, R.W. Influence of environmental conditions on late-summer cyanobacterial abundance in Saginaw Bay, Lake Huron. Aquat. Ecosyst. Health Manag. 2008, 11, 196–205. [Google Scholar] [CrossRef]
- Ohio Environmental Protection Agency. Ohio Lake Erie Phosphorus Task Force Final Report. Available online: http://epa.ohio.gov/portals/35/lakeerie/ptaskforce/Task_Force_Final_Report_April_2010.pdf (accessed on 15 April 2015).
- Michalak, A.M.; Anderson, E.J.; Beletsky, D.; Boland, S.; Bosch, N.S.; Bridgeman, T.B.; Chaffin, J.D.; Cho, K.; Confesor, R.; Daloglu, I.; et al. Record setting algal bloom in Lake Erie caused by agricultural and meterological trends consistent with expected future conditions. Proc. Natl. Acad. Sci. USA 2013, 110, 6448–6452. [Google Scholar] [CrossRef] [PubMed]
- Dierkes, C. Fact-Checking the Forecast; Twineline: Columbus, OH, USA, 2012; Volume 34, p. 12. [Google Scholar]
- Ibelings, B.W.; Vonk, M.; Los, H.F.J.; van der Molen, D.T.; Mooij, W.M. Fuzzy modeling of cyanobacterial surface waterblooms: Validation with NOAA-AVHRR satellite images. Ecol. Appl. 2003, 13, 1456–1472. [Google Scholar] [CrossRef]
- Wynne, T.T.; Stumpf, R.P.; Tomlinson, M.C.; Warner, R.A.; Tester, P.A.; Dyble, J.; Fahnenstiel, G.L. Relating spectral shape to cyanobacterial blooms in the Laurentian Great Lakes. Int. J. Remote Sens. 2008, 29, 3665–3672. [Google Scholar] [CrossRef]
- Wynne, T.T.; Stumpf, R.P.; Tomlinson, M.C.; Dyble, J. Characterizing a cyanobacterial bloom in western Lake Erie using satellite imagery and metrological data. Limnol. Oceanogr. 2010, 55, 2025–2036. [Google Scholar] [CrossRef]
- Wynne, T.T.; Stumpf, R.P.; Tomlinson, M.C.; Schwab, D.J.; Watabayashi, G.Y.; Christensen, J.D. Estimating cyanobacterial bloom transport by coupling remotely sensed imagery and a hydrodynamic model. Ecol. Appl. 2011, 21, 2709–2721. [Google Scholar] [CrossRef] [PubMed]
- Wynne, T.T.; Stumpf, R.P.; Briggs, T.O. Comparing MODIS and MERIS spectral shapes for cyanobacterial bloom detection. Int. J. Remote Sens. 2013, 34, 6668–6678. [Google Scholar] [CrossRef]
- Franz, B.A.; Werdell, P.J.; Meister, G.; Kwiatkowska, E.J.; Bailey, S.W.; Ahmad, Z.; McClain, C.R. MODIS land bands for ocean color remote sensing applications. In Proceedings of the Ocean Optics XVIII, Montreal, QC, Canada, 9–13 October 2006.
- Wang, M.; Tang, J.; Shi, W. MODIS-derived ocean color products along the China east coastal region. Geophys. Res. Lett. 2007, 34, L06611. [Google Scholar]
- Wang, M.; Shi, W. The NIR-SWIR combined atmospheric correction approach for MODIS ocean color data processing. Opt. Express 2007, 15, 15722. [Google Scholar] [CrossRef] [PubMed]
- Budd, J.W.; Beeton, A.M.; Stumpf, R.P.; Culver, D.A.; Kerfoot, W.C. Satellite observations of Microcystis blooms in Western Lake Erie. Verh. Int. Ver. Theor. Angew. Limnol. 2002, 27, 3787–3793. [Google Scholar]
- Kahru, M. Using satellites to monitor large-scale environmental change: A case study of cyanobacteria blooms in the Baltic Sea. In Monitoring Algal Blooms: New Techniques for Detecting Large-scale Environmental Change; Kahru, M., Brown, C.W., Eds.; Springer-Verlag: Berlin, Germany, 1997; pp. 43–61. [Google Scholar]
- Hu, C. A novel ocean color index to detect floating algae in the global oceans. Remote Sens. Environ. 2009, 113, 2118–2129. [Google Scholar] [CrossRef]
- Hunter, P.D.; Tyler, A.N.; Willby, N.J.; Gilvear, D.J. The spatial dynamics of vertical migration by Microcystis aeruginosa in a eutrophic shallow lake: A case study using high spatial resolution time-series airborne remote sensing. Limnol. Oceanogr. 2008, 53, 2391–2406. [Google Scholar] [CrossRef]
- Aparicio Medrano, E.; Uitenbogard, R.E.; Dionisio Pires, L.M.; van de Wiel, B.J.H.; Clercx, H.J.H. Coupling hydrodynamics and buoyancy regulation in Microcystis aeruginosa for its vertical distribution in lakes. Ecol. Model. 2013, 248, 41–56. [Google Scholar] [CrossRef]
- Pope, R.M.; Fry, E.S. Absorption spectrum (380–700 nm) of pure water. II. Integrating cavity measurements. Appl. Opt. 1997, 36, 8710–8723. [Google Scholar] [CrossRef] [PubMed]
- Fahnenstiel, G.L.; Millie, D.F.; Dyble, J.; Litaker, R.W.; Tester, P.A.; McCormick, J.; Rediske, R.; Klarer, D. Factors affecting microcystin concentration and cell quota in Saginaw Bay, Lake Huron. Aquat. Ecosyst. Health Manag. 2008, 11, 190–195. [Google Scholar] [CrossRef]
- Bridgeman, T.B.; Chaffin, J.D.; Filburn, J.E. A novel method for tracking western Lake Erie Microcystis blooms, 2002–2011. J. Great Lakes Res. 2013, 39, 83–89. [Google Scholar] [CrossRef]
© 2015 by the authors; licensee MDPI, Basel, Switzerland. This article is an open access article distributed under the terms and conditions of the Creative Commons Attribution license (http://creativecommons.org/licenses/by/4.0/).
Share and Cite
Wynne, T.T.; Stumpf, R.P. Spatial and Temporal Patterns in the Seasonal Distribution of Toxic Cyanobacteria in Western Lake Erie from 2002–2014. Toxins 2015, 7, 1649-1663. https://doi.org/10.3390/toxins7051649
Wynne TT, Stumpf RP. Spatial and Temporal Patterns in the Seasonal Distribution of Toxic Cyanobacteria in Western Lake Erie from 2002–2014. Toxins. 2015; 7(5):1649-1663. https://doi.org/10.3390/toxins7051649
Chicago/Turabian StyleWynne, Timothy T., and Richard P. Stumpf. 2015. "Spatial and Temporal Patterns in the Seasonal Distribution of Toxic Cyanobacteria in Western Lake Erie from 2002–2014" Toxins 7, no. 5: 1649-1663. https://doi.org/10.3390/toxins7051649
APA StyleWynne, T. T., & Stumpf, R. P. (2015). Spatial and Temporal Patterns in the Seasonal Distribution of Toxic Cyanobacteria in Western Lake Erie from 2002–2014. Toxins, 7(5), 1649-1663. https://doi.org/10.3390/toxins7051649

