High Sensitivity of Aged Mice to Deoxynivalenol (Vomitoxin)-Induced Anorexia Corresponds to Elevated Proinflammatory Cytokine and Satiety Hormone Responses
Abstract
:1. Introduction
2. Results
2.1. Study 1
DON-Induced Feed Refusal Is Greater in Aged Mice than in Adult Mice


2.2. Study 2
2.2.1. DON Tissue Concentrations Are Higher in Aged Mice Compared with Adults after Acute Exposure

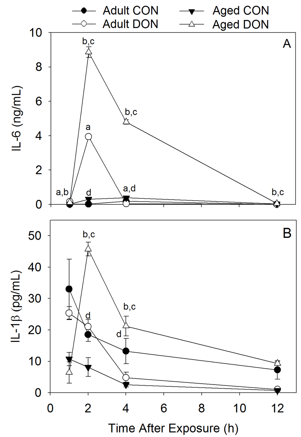
2.2.2. Plasma IL-6 and IL-1β Are Higher in Aged Mice Compared with Adults after Acute DON Exposure

2.2.3. DON Induction of PYY and CCK Is Greater in Aged Animals than in Adults with DON Exposure

2.3. Study 3
2.3.1. Reduction in Food Intake Is Greater in Aged Mice than in Adults with Dietary DON Exposure
| Age Group | Conc. DON Diet | % Control Food Intake 0–24 h | Correlation Coefficients | % Control Food Intake 24–48 h | Correlation Coefficients |
|---|---|---|---|---|---|
| Adult | 1 ppm | 103.8 ± 9.1 | r = −0.848 | 97.8 ± 7.3 | r = −0.275 |
| Adult | 2.5 ppm | 98.3 ± 8.1 | 96.7 ± 5.1 | ||
| p = 0.000002 | p = 0.274 | ||||
| Adult | 10 ppm | 42.4 ± 6.9 | 90.4 ± 7.3 | ||
| Aged | 1 ppm | 101.0 ± 5.9 | r = 0.810 | 92.7 ± 7.3 | r = −0.775 |
| Aged | 2.5 ppm | 90.5 ± 13.5 | 87.2 ± 8.1 | ||
| p = 0.00003 | p = 0.0001 | ||||
| Aged | 10 ppm | 37.8 ± 5.2 | 45.9 ± 10.6 |
2.3.2. Dietary DON Transiently Suppresses Body Weights to a Greater Extent in Aged Mice

2.3.3. Tissue Concentrations of DON Equivalents (DON + DON3GlcA) Are Elevated Dose Dependently with Dietary Exposure in Aged Mice More than Adults
2.3.4. Proinflammatory Plasma Cytokines Are not Detectable after 14 Days of Dietary DON Exposure
3. Discussion
4. Experimental Section
4.1. Animals
4.2. DON
4.3. Experimental Design
4.3.1. Study 1
4.3.2. Study 2
4.3.3. Study 3
4.4. Analytical
4.4.1. DON Analysis
4.4.2. Proinflammatory Cytokine Analyses
4.4.3. Satiety Hormone Analyses
4.5. Statistical Analysis
5. Conclusions
Supplementary Materials
Acknowledgments
Author Contributions
Conflicts of Interest
References
- Pestka, J.J. Deoxynivalenol: Mechanisms of action, human exposure, and toxicological relevance. Arch. Toxicol. 2010, 84, 663–679. [Google Scholar] [CrossRef] [PubMed]
- Pestka, J.J. Deoxynivalenol-induced proinflammatory gene expression: Mechanisms and pathological sequelae. Toxins 2010, 2, 1300–1317. [Google Scholar] [CrossRef] [PubMed]
- EFSA. Statement on the risks for public health related to a possible increase of the maximum level of deoxynivalenol for certain semi-processed cereal products. EFSA J. 2013, 11. [Google Scholar] [CrossRef]
- Rotter, B.A.; Thompson, B.K.; Rotter, R.G. Optimization of the mouse bioassay for deoxynivalenol as an alternative to large animal studies. Bull. Environ. Contam. Toxicol. 1994, 53, 642–647. [Google Scholar] [CrossRef] [PubMed]
- Pestka, J.J.; Amuzie, C.J. Tissue distribution and proinflammatory cytokine gene expression following acute oral exposure to deoxynivalenol: Comparison of weanling and adult mice. Food Chem. Toxicol. 2008, 46, 2826–2831. [Google Scholar] [CrossRef] [PubMed]
- Andretta, I.; Kipper, M.; Lehnen, C.R.; Hauschild, L.; Vale, M.M.; Lovatto, P.A. Meta-analytical study of productive and nutritional interactions of mycotoxins in growing pigs. Animal 2012, 6, 1476–1482. [Google Scholar] [CrossRef] [PubMed]
- Andretta, I.; Kipper, M.; Lehnen, C.R.; Hauschild, L.; Vale, M.M.; Lovatto, P.A. Meta-analytical study of productive and nutritional interactions of mycotoxins in broilers. Poult. Sci. 2011, 90, 1934–1940. [Google Scholar] [CrossRef] [PubMed]
- Cote, L.M.; Beasley, V.R.; Bratich, P.M.; Swanson, S.P.; Shivaprasad, H.L.; Buck, W.B. Sex-related reduced weight gains in growing swine fed diets containing deoxynivalenol. J. Anim. Sci. 1985, 61, 942–950. [Google Scholar] [PubMed]
- Martone, A.M.; Onder, G.; Vetrano, D.L.; Ortolani, E.; Tosato, M.; Marzetti, E.; Landi, F. Anorexia of aging: A modifiable risk factor for frailty. Nutrients 2013, 5, 4126–4133. [Google Scholar] [CrossRef] [PubMed]
- Thomas, D.R. Anorexia aetiology, epidemiology and management in older people. Drug Aging 2009, 26, 557–570. [Google Scholar] [CrossRef] [PubMed]
- Donini, L.M.; Dominguez, L.J.; Barbagallo, M.; Savina, C.; Castellaneta, E.; Cucinotta, D.; Fiorito, A.; Inelmen, E.M.; Sergi, G.; Enzi, G.; et al. Senile anorexia in different geriatric settings in italy. J. Nutr. Health Aging 2011, 15, 775–781. [Google Scholar] [CrossRef] [PubMed]
- Morley, J.E.; Silver, A.J. Anorexia in the elderly. Neurobiol. Aging 1988, 9, 9–16. [Google Scholar] [CrossRef]
- Landi, F.; Laviano, A.; Cruz-Jentoft, A.J. The anorexia of aging: Is it a geriatric syndrome? J. Am. Med. Dir. Assoc. 2010, 11, 153–156. [Google Scholar] [CrossRef] [PubMed]
- Chapman, I.M.; MacIntosh, C.G.; Morley, J.E.; Horowitz, M. The anorexia of ageing. Biogerontology 2002, 3, 67–71. [Google Scholar] [CrossRef] [PubMed]
- Mangoni, A.A.; Jackson, S.H.D. Age-related changes in pharmacokinetics and pharmacodynamics: Basic principles and practical applications. Br. J. Clin. Pharmacol. 2004, 57, 6–14. [Google Scholar] [CrossRef] [PubMed]
- Kivela, S.L.; Pahkala, K.; Laippala, P. Prevalence of depression in an elderly population in finland. Acta Psych.Scand. 1988, 78, 401–413. [Google Scholar] [CrossRef]
- Dantzer, R. Cytokine-induced sickness behavior: Mechanisms and implications. In Role of Neural Plasticity in Chemical Intolerance; Sorg, B.A., Bell, I.R., Eds.; New York Academy of Sciences: New York, NY, USA, 2001; Volume 933, pp. 222–234. [Google Scholar]
- Lebrun, B.; Tardivel, C.; Félix, B.; Abysique, A.; Troadec, J.D.; Gaigé, S.; Dallaporta, M. Dysregulation of energy balance by trichothecene mycotoxins: Mechanisms and prospects. Neurotoxicology 2015, 49, 15–27. [Google Scholar] [CrossRef] [PubMed]
- Girardet, C.; Bonnet, M.S.; Jdir, R.; Sadoud, M.; Thirion, S.; Tardivel, C.; Roux, J.; Lebrun, B.; Mounien, L.; Trouslard, J.; et al. Central inflammation and sickness-like behavior induced by the food contaminant deoxynivalenol: A PGE2-independent mechanism. Toxicol. Sci. 2011, 124, 179–191. [Google Scholar] [CrossRef] [PubMed]
- Azcona-Olivera, J.I.; Ouyang, Y.; Murtha, J.; Chu, F.S.; Pestka, J.J. Induction of cytokine messenger-RNAs in mice after oral-exposure to the trichothecene vomitoxin (deoxynivalenol)—Relationship to toxin distribution and protein-synthesis inhibition. Toxicol. Appl. Pharmacol. 1995, 133, 109–120. [Google Scholar] [CrossRef] [PubMed]
- Clark, E.S.; Flannery, B.M.; Pestka, J.J. Murine anorectic response to deoxynivalenol (vomitoxin) is sex dependent. Toxins 2015, 8, 2845–2859. [Google Scholar] [CrossRef] [PubMed]
- Huang, Y.; Henry, C.J.; Dantzer, R.; Johnson, R.W.; Godbout, J.P. Exaggerated sickness behavior and brain proinflammatory cytokine expression in aged mice in response to intracerebroventricular lipopolysaccharide. Neurobiol. Aging 2008, 29, 1744–1753. [Google Scholar] [CrossRef] [PubMed]
- Saito, H.; Sherwood, E.R.; Varma, T.K.; Evers, B.M. Effects of aging on mortality, hypothermia, and cytokine induction in mice with endotoxemia or sepsis. Mech. Aging Dev. 2003, 124, 1047–1058. [Google Scholar] [CrossRef] [PubMed]
- Wu, W.D.; Zhou, H.R.; He, K.Y.; Pan, X.; Sugita-Konishi, Y.; Watanabe, M.; Zhang, H.B.; Pestka, J.J. Role of cholecystokinin in anorexia induction following oral exposure to the 8-ketotrichothecenes deoxynivalenol, 15-acetyldeoxynivalenol, 3-acetyldeoxynivalenol, fusarenon X, and nivalenol. Toxicol. Sci. 2014, 138, 278–289. [Google Scholar] [CrossRef] [PubMed]
- Flannery, B.M.; Clark, E.S.; Pestka, J.J. Anorexia induction by the trichothecene deoxynivalenol (vomitoxin) is mediated by the release of the gut satiety hormone peptide YY(PYY). Toxicol. Sci. 2012, 130, 289–297. [Google Scholar] [CrossRef] [PubMed]
- Sandstrom, O.; Mahdavi, J.; El-Salhy, M. Effect of ageing on colonic endocrine cell population in mouse. Gerontology 1998, 44, 324–330. [Google Scholar] [CrossRef] [PubMed]
- Sweet, M.A.; Ntambi, J.A.; Gaumnitz, E.A.; Pugh, T.D.; Weindruch, R.; Singaram, C. Neuropeptide Y- and peptide YY-containing colonic cells increase with ageing in male rats. Neuropeptides 1996, 30, 385–390. [Google Scholar] [CrossRef]
- Silver, A.; Flood, J.; Morley, J.E. Effect of aging on the anorectic effect of gut peptides. Fed. Proc. 1987, 46, 1339. [Google Scholar]
- Choi, B.K.; Jeong, S.H.; Cho, J.H.; Shin, H.S.; Son, S.W.; Yeo, Y.K.; Kang, H.G. Effects of oral deoxynivalenol exposure on immune-related parameters in lymphoid organs and serum of mice vaccinated with porcine parvovirus vaccine. Mycotoxin Res. 2013, 29, 185–192. [Google Scholar] [CrossRef] [PubMed]
- Zhang, Y.K.J.; Saupe, K.W.; Klaassen, C.D. Energy restriction does not compensate for the reduced expression of hepatic drug-processing genes in mice with aging. Drug Metab. Dispos. 2010, 38, 1122–1131. [Google Scholar] [CrossRef] [PubMed]
- Wooten, J.M. Pharmacotherapy considerations in elderly adults. South. Med. J. 2012, 105, 437–445. [Google Scholar] [CrossRef] [PubMed]
- Bonnet, M.S.; Roux, J.; Mounien, L.; Dallaporta, M.; Troadec, J.D. Advances in deoxynivalenol toxicity mechanisms: The brain as a target. Toxins 2012, 4, 1120–1138. [Google Scholar] [CrossRef] [PubMed]
- Dragunow, M.; Faull, R. The use of c-fos as a metabolic marker in neuronal pathway tracing. J. Neurosci. Meth. 1989, 29, 261–265. [Google Scholar] [CrossRef]
- Johnson, R.W. Immune and endocrine regulation of food intake in sick animals. Domest. Anim. Endocrinol. 1998, 15, 309–319. [Google Scholar] [CrossRef]
- Wu, W.; Zhang, H. Role of tumor necrosis factor-α and interleukin-1β in anorexia induction following oral exposure to the trichothecene deoxynivalenol (vomitoxin) in the mouse. J. Toxicol. 2014, 39, 875–886. [Google Scholar] [CrossRef]
- Pestka, J.J.; Zhou, H.R. Interleukin-6-deficient mice refractory to IgA dysregulation but not anorexia induction by vomitoxin (deoxynivalenol) ingestion. Food Chem. Toxicol. 2000, 38, 565–575. [Google Scholar] [CrossRef]
- De Martinis, M.; Franceschi, C.; Monti, D.; Ginaldi, L. Inflamm-ageing and lifelong antigenic load as major determinants of ageing rate and longevity. FEBS Lett. 2005, 579, 2035–2039. [Google Scholar] [CrossRef] [PubMed]
- Godbout, J.P.; Johnson, R.W. Age and neuroinflammation: A lifetime of psychoneuroimmune consequences. Immunol. Allergy Clin. N. Am. 2009, 29, 321–337. [Google Scholar] [CrossRef] [PubMed]
- Wu, W.D.; Bates, M.A.; Bursian, S.J.; Link, J.E.; Flannery, B.M.; Sugita-Konishi, Y.; Watanabe, M.; Zhang, H.B.; Pestka, J.J. Comparison of emetic potencies of the 8-ketotrichothecenes deoxynivalenol, 15-acetyldeoxynivalenol, 3-acetyldeoxynivalenol, fusarenon X, and nivalenol. Toxicol. Sci. 2013, 131, 279–291. [Google Scholar] [CrossRef] [PubMed]
- Di Francesco, V.; Zamboni, M.; Dioli, A.; Zoico, E.; Mazzali, G.; Omizzolo, F.; Bissoli, L.; Solerte, S.B.; Benini, L.; Bosello, O. Delayed postprandial gastric emptying and impaired gallbladder contraction together with elevated cholecystokinin and peptide YY serum levels sustain satiety and inhibit hunger in healthy elderly persons. J. Gerontol. A Biol. Sci. Med. Sci. 2005, 60, 1581–1585. [Google Scholar] [CrossRef] [PubMed]
- Moss, C.; Dhillo, W.; Bottin, J.; Ghatei, M.; Frost, G.; Hickson, M. Anorexia of ageing is associated with increased post-prandial secretion of the anorectic gastrointestinal hormone peptide YY. Proc. Nutr. Soc. 2011, 70, E389. [Google Scholar] [CrossRef]
- Moss, C.; Dhillo, W.S.; Frost, G.; Hickson, M. Gastrointestinal hormones: The regulation of appetite and the anorexia of ageing. J. Hum. Nutr. Diet. 2012, 25, 3–15. [Google Scholar] [CrossRef] [PubMed]
- Iverson, F.; Armstrong, C.; Nera, E.; Truelove, J.; Fernie, S.; Scott, P.; Stapley, R.; Hayward, S.; Gunner, S. Chronic feeding study of deoxynivalenol in B6C3F1 male and female mice. Teratog. Carcinog. Mutagen. 1995, 15, 283–306. [Google Scholar] [CrossRef] [PubMed]
- Flannery, B.M.; Wu, W.D.; Pestka, J.J. Characterization of deoxynivalenol-induced anorexia using mouse bioassay. Food Chem. Toxicol. 2011, 49, 1863–1869. [Google Scholar] [CrossRef] [PubMed]
- Walker, M.K.; Boberg, J.R.; Walsh, M.T.; Wolf, V.; Trujillo, A.; Duke, M.S.; Palme, R.; Felton, L.A. A less stressful alternative to oral gavage for pharmacological and toxicological studies in mice. Toxicol. Appl. Pharmacol. 2012, 260, 65–69. [Google Scholar] [CrossRef] [PubMed]
- Maresca, M. From the gut to the brain: Journey and pathophysiological effects of the food-associated trichothecene mycotoxin deoxynivalenol. Toxins 2013, 5, 784–820. [Google Scholar] [CrossRef] [PubMed]
© 2015 by the authors; licensee MDPI, Basel, Switzerland. This article is an open access article distributed under the terms and conditions of the Creative Commons Attribution license (http://creativecommons.org/licenses/by/4.0/).
Share and Cite
Clark, E.S.; Flannery, B.M.; Gardner, E.M.; Pestka, J.J. High Sensitivity of Aged Mice to Deoxynivalenol (Vomitoxin)-Induced Anorexia Corresponds to Elevated Proinflammatory Cytokine and Satiety Hormone Responses. Toxins 2015, 7, 4199-4215. https://doi.org/10.3390/toxins7104199
Clark ES, Flannery BM, Gardner EM, Pestka JJ. High Sensitivity of Aged Mice to Deoxynivalenol (Vomitoxin)-Induced Anorexia Corresponds to Elevated Proinflammatory Cytokine and Satiety Hormone Responses. Toxins. 2015; 7(10):4199-4215. https://doi.org/10.3390/toxins7104199
Chicago/Turabian StyleClark, Erica S., Brenna M. Flannery, Elizabeth M. Gardner, and James J. Pestka. 2015. "High Sensitivity of Aged Mice to Deoxynivalenol (Vomitoxin)-Induced Anorexia Corresponds to Elevated Proinflammatory Cytokine and Satiety Hormone Responses" Toxins 7, no. 10: 4199-4215. https://doi.org/10.3390/toxins7104199
APA StyleClark, E. S., Flannery, B. M., Gardner, E. M., & Pestka, J. J. (2015). High Sensitivity of Aged Mice to Deoxynivalenol (Vomitoxin)-Induced Anorexia Corresponds to Elevated Proinflammatory Cytokine and Satiety Hormone Responses. Toxins, 7(10), 4199-4215. https://doi.org/10.3390/toxins7104199
