Next Article in Journal
Probiotic Supplementation in Chronic Kidney Disease: Outcomes on Uremic Toxins, Inflammation, and Vascular Calcification from Experimental and Clinical Models
Previous Article in Journal
The Uremic Toxin p-Cresyl Sulfate Is a New Predictor of Major Adverse Cardiovascular Events in Patients with ST-Elevation Myocardial Infarction
 
 
Font Type:
Arial Georgia Verdana
Font Size:
Aa Aa Aa
Line Spacing:
Column Width:
Background:
Article

Influence of Climatic Region and Feedstuff Type on the Co-Occurrence and Contamination Profiles of 54 Mycotoxins in European Grains and Forages: A Seven-Year Survey

by
Alexandra C. Weaver
1,*,
Daniel M. Weaver
2,
Luiz V. F. M. de Carvalho
3 and
Alexandros Yiannikouris
1
1
Alltech Inc., Nicholasville, KY 40356, USA
2
Independent Researcher, Orrington, ME 04474, USA
3
Alltech do Brazil, Maringá 87030-405, PR, Brazil
*
Author to whom correspondence should be addressed.
Toxins 2026, 18(1), 5; https://doi.org/10.3390/toxins18010005 (registering DOI)
Submission received: 24 November 2025 / Revised: 12 December 2025 / Accepted: 17 December 2025 / Published: 20 December 2025

Abstract

Mycotoxins are global contaminants of feedstuffs and feeds that are linked to animal health and performance challenges and subsequently lead to economic burden. Negative effects of mycotoxin consumption may increase as a result of multiple mycotoxin co-occurrences. To assess mycotoxin challenge in Europe, a seven-year survey (2018 to 2024) of 1867 samples of grains (barley, maize, and wheat) and 818 forages (maize silage and grass silage) was conducted to assess the simultaneous presence of 54 mycotoxins using ultra-pressure liquid chromatography–tandem mass spectrometry. Results were categorized by feedstuff, harvest year, and climatic region to gain insight on mycotoxin occurrence, concentration and co-occurrence. Grains contained a mean 3.6 to 6.7 mycotoxin types per sample, while silages contained 3.1 to 6.0. Barley in the Nordic climate region had some of the highest Fusarium mycotoxin concentrations, while maize silage had consistently higher mycotoxin concentrations across all climate regions. The B trichothecenes and emerging mycotoxins had the highest rates of co-occurrence (52.4% to 74.2% of samples) in grains and maize silage. Co-occurrence data can serve as an initial framework for identifying or reasserting known environmental conditions that favor mycotoxin biosynthesis in distinct fungal taxa and for refining risk assessment of animals simultaneously exposed to multiple mycotoxins. Collectively, this survey shows that mycotoxin contamination and co-occurrence in grains and silages from Europe is expected, with differences occurring by feedstuff type and climatic region.
Key Contribution: Results obtained on concentration, occurrence, and co-occurrence of mycotoxins in grains and forages may contribute to a more comprehensive understanding of mycotoxin occurrence patterns as well as assist producers in understanding risk to animal performance and health.

1. Introduction

Mycotoxins are naturally occurring small-molecule secondary molecules produced by certain mold species, primarily from Alternaria, Aspergillus, Claviceps, Fusarium, and Penicillium genera, among others [1]. The production of mycotoxins can occur globally in numerous crops and under a wide range of environmental and agronomic conditions, from field production through harvest, storage, and feed out. Some of the major factors affecting mycotoxin production include temperature, humidity, water activity, pH, aerobic conditions, fungal strain and microbial competition, substrate type and accessibility, and pest pressure [2]. Generally, mycotoxins may be placed into the categories of regulated, masked, emerging, and storage mycotoxins [3,4,5,6], although these are not mutually exclusive. Regulated mycotoxins are those that are typically well-known and have action or guidance levels globally. Masked mycotoxins are those that have been biologically modified by plant defense mechanisms and sequestered following Phase-II and Phase-III metabolism [5] and are more difficult to detect. Many emerging mycotoxins are produced by Fusarium molds and historically escaped detection by conventional analytical techniques, although advanced methods are allowing for more routine detection and quantification [3,7]. Storage mycotoxins are primarily produced by the Penicillium or Aspergillus taxa and typically develop during feedstuff or feed storage [4]. A few storage mycotoxins have regulatory guidelines in certain countries, but many mycotoxins in this group are not regulated.
Mycotoxins can be produced individually or in combination, where a single mycotoxin may be synthesized by multiple fungal species, a single mold can produce several distinct mycotoxins, and multiple different molds can be present on the same crop material [1]. In the United States, it is reported that maize grain and maize silage may contain 4.8 to 5.2 different mycotoxins per sample, with some of the emerging and masked mycotoxins having higher occurrence rates than the typical regulated mycotoxins [8]. In Europe, grains have been reported to contain up to 17 simultaneous mycotoxins [6]. A survey from Asian countries that assessed the presence of 25 mycotoxins also showed high prevalence of multiple mycotoxin contamination (including emerging mycotoxins) in feedstuffs, with the majority of rice bran samples containing 7 mycotoxins (49.6%) and maize containing 5 mycotoxins (40.8%) [3]. These survey results reflect the conclusion that multiple mycotoxin contamination is a common pattern globally in a variety of feedstuff types.
The consumption of individual mycotoxins by animals has been linked to a range of health and performance challenges. However, multiple mycotoxin mixtures can further increase the response due to heightened negative effects on intestinal health, immunity, and performance [9]. Together, these negative effects pose a substantial economic burden to producers. A previous meta-analysis [10] suggested that mycotoxin consumption in broilers could reduce the European Poultry Efficiency Factor by 22.5%, potentially resulting in an income loss of over EUR 1500 per flock. This estimate considered only reduced performance and increased mortality, excluding additional costs such as veterinary care. Due to the negative effects not only on animal health but also farm productivity and profitability, it is critical to understand the occurrence and co-occurrence of mycotoxins in animal feedstuffs to improve monitoring and mitigation programs. This study aimed to investigate prevalence, concentrations, and co-occurrence of 54 mycotoxins (11 groups) from the regulated, masked, emerging, and storage categories over a seven-year period, while also investigating the influence of feedstuff type and climatic region of Europe on these contamination patterns. This assessment of multiple mycotoxin contamination in several different crops by climatic regions of Europe is unique and could give insight into those regions with greater risk. Furthermore, co-occurrence patterns of mycotoxins were assessed through probabilistic co-occurrence modeling, which is of particular importance due to the combined influence of mycotoxins on animal performance and health. The information from this survey could help tailor local mycotoxin monitoring and mitigation by showing the mycotoxins that may be of primary importance to include in analysis programs and the potential risk for animals. Collectively, this survey may support a growing framework of knowledge looking to assess and predict mycotoxin risk by feedstuff type, growing region, and yearly environmental variability.

2. Results

2.1. Mycotoxin Contamination

There were some samples analyzed that had all mycotoxins below the detection limits, while the highest number was 18 mycotoxins simultaneously detected (Figure 1). Maize-based feedstuffs, including both grain and silage, had the highest mean number of mycotoxins per sample at 6.68 and 6.03, respectively. Wheat and grass silage had the lowest number of mycotoxins at means of 3.58 and 3.07 mycotoxins per sample. Furthermore, grass silage had the lowest maximum number of mycotoxins detected at 12 mycotoxins. The occurrence rate for the number of samples with different mean numbers of mycotoxins showed varying patterns by feedstuff type (Figure 2). A higher portion of wheat, barley, and grass silage samples had two or three mycotoxins, while the peak for maize grain and silage is greater at six to seven mycotoxins per sample.
When assessed by European climatic region, barley from the Nordic region had the highest mean number of different mycotoxins (9.33), which was significantly greater (p < 0.001) than barley from other regions (Figure 3). For maize grain, samples from the Oceanic region had a higher (8.17 versus 6.53, p = 0.017) mean number of mycotoxin than those from the Mediterranean region. A comparable regional difference was observed for wheat, albeit with lower counts, with the Oceanic region averaging 3.90 compared to 2.88 mycotoxins per sample for the Mediterranean samples (p = 0.021). Maize silage showed fewer regional differences, although samples from the Continental region had a higher mean number of mycotoxins than the Oceanic samples (6.54 versus 5.23; p < 0.001). Finally, grass silage samples from the Nordic region had a higher mean of 4.60 mycotoxins per sample than those from the Continental or Oceanic regions (3.25 and 2.88; p < 0.05). There were no maize, wheat, or maize silage samples from the Nordic region, and only one grass silage from the Mediterranean region, so impact of these regions within feedstuff could not be determined.
Among individual mycotoxins (Table 1), both the type of mycotoxin and the type of feedstuff influenced the proportion of samples exceeding the limit of detection (LOD), as well as the measured concentrations above the limit of quantification (LOQ). The most prevalent mycotoxins in barley (Table 2) were enniatin (ENN) A/A1 and ENN B/B1 at 75% of samples containing these mycotoxins above LOD, followed by deoxynivalenol (DON) at 64%. The mean DON level was 224 µg/kg, with a maximum of 27,089 µg/kg. For wheat (Table 2), the highest occurring mycotoxins were also ENN A/A1, ENN B/B1, and DON, ranging from 62 to 65%. The mean DON level was 168 µg/kg, with a maximum of 6758 µg/kg. Maize (Table 3) had a number of highly occurring mycotoxins. The highest occurrence rate was for fusaric acid (FA) at 93%, followed by the fumonisins (FUMs) at 70 to 80% and moniliformin (MON) at 77%. Fumonisin B1 (FB1) had the highest mean of the three FUMs at 1689 µg/kg and a maximum of 25,004 µg/kg. Only 57% of the samples contained DON above LOD. In contrast, DON was the most prevalent mycotoxin in maize silage (Table 4) at an occurrence rate of 97%, a mean of 1493 µg/kg, and a maximum of 72,362 µg/kg. Additionally, 89% of maize silage samples also contained FA. The two most prevalent mycotoxins in grass silage (Table 4) were FA at 59% and penicillic acid (PA) at 51%, which had a mean of 247 µg/kg and a maximum of 3946 µg/kg.

2.2. Mycotoxin Concentrations by Region

Concentrations of selected mycotoxin groups, which were most strongly influenced by climatic region, included B trichothecenes, A trichothecenes, FUMs, and emerging mycotoxins. Complete results for all mycotoxin groups analyzed for each feedstuff are provided in the Supplementary Materials (Tables S1–S5). To summarize, significant (p < 0.05) differences were observed between regions for barley for B trichothecenes, A trichothecenes, zearalenone (ZEA), and emerging mycotoxins. For maize, significant differences were observed for B trichothecenes, A trichothecenes, and FUMs, while for wheat, the differences were for B trichothecenes, FUMs, and emerging mycotoxins. Maise silage had differences by region for aflatoxins (AFs), A trichothecenes, FUMs, and FA, and grass silage only had significant differences by region for emerging mycotoxins and Penicillium mycotoxins.
Detailed results for two of the mycotoxin groups commonly showing regional differences, B trichothecenes, and emerging mycotoxins are shown in Table 5 and Table 6. Significant differences among regions were observed for B trichothecenes (Table 5) for the three analyzed grains, whereas regional differences were not observed for either of the silages. The highest median (1476.99 µg/kg), mean (3783.15 µg/kg), and maximum (28,987.66 µg/kg) concentrations of B trichothecenes were from barley in the Nordic region (p < 0.005). For maize grain, the highest mean (868.07 µg/kg, p < 0.005) was in the Oceanic region, and the highest maximum concentration (3974.41 µg/kg) sample was from the Mediterranean region. The B trichothecene concentrations for wheat were consistently lower than the other grains but did result in variation (p = 0.003) across regions, with the highest average (262.14 µg/kg) and maximum (7281.83 µg/kg) from the Continental region.
Emerging mycotoxin concentrations showed several significant variations (Table 6). Barley samples had differences by region (p < 0.005), with the highest levels of these mycotoxins in the Nordic region with a mean of 1560.89 µg/kg and maximum of 5144.72 µg/kg. Conversely, wheat showed the highest mean (p = 0.007) and maximum values for emerging mycotoxins in the Oceanic region at 67.41 µg/kg and 3114.48 µg/kg, respectively. Grass silage samples showed regional variations for emerging mycotoxins, with greatest mean of 129.11 µg/kg (p < 0.005) from the Mediterranean samples and maximum of 526.16 µg/kg detected in the Continental region.

2.3. Mycotoxin Concentrations by Year

Yearly variations were detected for both mycotoxin group and feedstuffs. Concentrations of selected mycotoxin groups that were largely influenced by year are shown in Figure 4 and Figure 5. Complete results for all mycotoxin groups and feedstuffs for each year are provided in the Supplementary Materials (Table S6). Results for grains showed several year-to-year differences in mean concentrations of mycotoxins. For barley, concentrations of AFs, ochratoxins/citrinin (OTs/CIT), B trichothecenes, A trichothecenes, FUMs, ZEA, emerging mycotoxins, and other Aspergillus mycotoxins showed significant (p < 0.05) variation by year (Figure 4, Supplement Table S6). Similar mycotoxins were also influenced yearly by wheat, with significant (p < 0.05) variation found for AFs, B trichothecenes, A trichothecenes, FUMs, and emerging mycotoxins. For both barley and wheat, mean concentrations of B trichothecenes were highest in 2019 and lowest in 2022. Alternatively, both A trichothecenes and emerging mycotoxins in barley and wheat showed a general upward trend in average levels over time, from 2018 to 2024. Maize grain showed less yearly influence on mycotoxin concentrations, with significant (p < 0.05) variation by year detected only for AFs, FA, and emerging mycotoxins.
Forages also showed an influence of year on mycotoxin concentrations (Figure 5, Supplement Table S6). For maize silage, significant (p < 0.05) differences were observed for AFs, A trichothecenes, FUMs, ZEA, and emerging mycotoxins. Additionally, AFs, B trichothecenes, FA, emerging mycotoxins, and ergot alkaloids all showed a significant (p < 0.05) effect of the year in grass silage. The group containing Penicillium mycotoxins was the only group not influenced by year for any feedstuff type.

2.4. Co-Occurrence of Mycotoxins

The co-occurrence of mycotoxin group pairs was assessed for each feedstuff. Across feedstuffs, there were numerous random associations between mycotoxin group pairs, particularly notable for the two silage matrices. For grains, the significant non-random associations were primarily positive. Barley samples had several co-occurrence interactions observed (14 positive and 5 negative), with the highest probability of co-occurrence above random association (p < 0.05, Table 7) between A trichothecenes and emerging mycotoxins at 0.330. The most frequently detected group pair for barley was B trichothecenes and emerging mycotoxins with a probability of 0.609, although this pair was determined to have random association. Probabilistic assessment for maize grain resulted in 11 positive and 2 negative co-occurrences. The significant (p < 0.05) co-occurrences, at rates above random association, were between B trichothecenes and FA (0.559), FUMs and FA (0.755), and FUMs and emerging mycotoxins (0.709). However, the most highly co-occurring pair was FA and emerging mycotoxins at 0.808, although this was non-significant (random association). For wheat, only positive significant co-occurrences were found, with the highest co-occurrence of 0.529 between B trichothecenes and emerging mycotoxins.
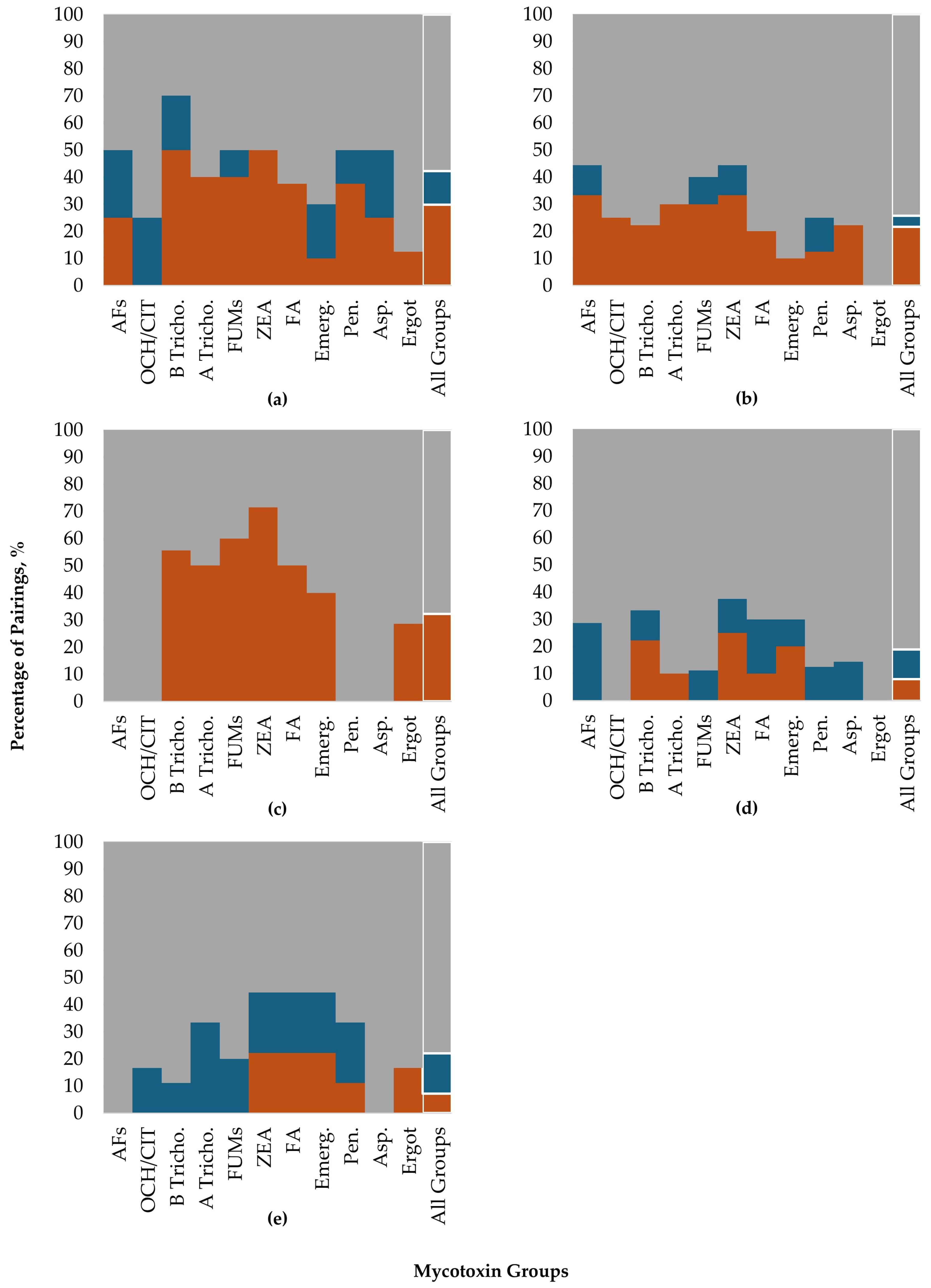
Assessment of pair attributes showed that barley and wheat had the greatest percentage of mycotoxins contributing to positive co-occurrences. For barley (Figure 6a), 40–50% of ZEA, A trichothecenes, and FA contributed to positive co-occurrences with the remaining being random. The B trichothecenes showed predominantly positive interactions (50%) but also demonstrated negative (20%) and random (30%) associations. For wheat (Figure 6c), regardless of the mycotoxin category, the mycotoxin pairings contributed solely to positive (20% to 70%) or random co-occurrences. A high percentage of positive pairings contained ZEA (71%), as well as FA (50%) and emerging mycotoxin (40%). Maize (Figure 6b) only had 22% of the positive pairs containing B trichothecenes, while most groups are contributing to the random mycotoxin co-occurrence.
Maize silage had a lower number of significant associations (Table 8), with more negative (five pairs) than positive (four pairs) associations and a greater number of random or non-significant pairs (Table 8, Figure 6d). The B trichothecenes and FA at 0.863 (p < 0.05) had the highest rate of occurrence greater than the null. Other high but non-significant random co-occurrences were for B trichothecenes and emerging mycotoxins (0.742) and FA and emerging mycotoxins (0.681). Maize silage had a low number of both positive and negative mycotoxin interactions and more random associations. Although highly co-occurring, only 22.2% of B trichothecene and 10% of FA interactions contributed toward positive co-occurrences out of all interactions. Across all groups, most pairings (81.2%) followed random chance co-occurrence.
Grass silage showed a similar trend for a greater number of negatively associated co-occurrences (six pairs) than positive (three pairs) and a majority of random co-occurrences (Table 8). Across all groups, grass silage had the highest percentage of negatively associated pairings at 14.8% (Figure 6e). The B trichothecenes and emerging mycotoxins occurred less than expected (0.288). Although at lower probability rates, notable positive mycotoxin pairs were FA and emerging mycotoxins (0.316) and FA and Penicillium mycotoxins (0.321).

3. Discussion

Mycotoxin contamination of feeding materials for animals is common worldwide and may alter the quality of the commodity as well as the health, performance, and profitability of the animals consuming this material. Studies have shown that mycotoxin contamination can also contribute to raising the carbon footprint of production [10,11] through altered feed efficiencies and increased mortality rates. Furthermore, when considering the co-contamination of multiple mycotoxins, this could raise the risk to animal health and performance. While mycotoxin contamination of feedstuffs is the norm, as shown in both the current survey and previously published surveys [8,12,13], the presence and concentrations of mycotoxins are also thought to be associated in part with climate change and altered agricultural practices [14].
Mycotoxin content can vary by matrix type and is influenced by the European climatic region in which the crop was grown and stored. Across feedstuffs, maize grain contained the greatest mean number of mycotoxins, with 6.68 different mycotoxins per sample, followed by maize silage at 6.03. Maize is considered to be one of the most susceptible crops to pathogenic fungi [14]. Interestingly, while maize products had the highest average number of mycotoxins across all samples and typically contained the highest detected maximums, this survey showed the prevalence of important regional variations. For example, barley in the Nordic region had the highest mean number of mycotoxins overall at 9.33, even though the mean number for barley across all regions combined was only 4.53 mycotoxins. Furthermore, barley was one of the feedstuffs, with the greatest number of mycotoxin groups (four groups) that significantly differed by region and had some of the highest average concentrations of mycotoxins within these groups. Within the Nordic region, all samples in this survey were from Finland. Barley is one of the most important crops produced in Finland, representing about one-quarter of the cultivated area [15]. As such, the high prevalence and concentrations of mycotoxins in this feedstuff from this region could have significant health and economic effects.
Significant yearly variations in mycotoxin content were observed across each feedstuff type. The small grains, barley and wheat, both showed yearly differences across a number of mycotoxin groups. In general, barley showed the highest mycotoxin concentrations in 2020 and 2023, while wheat results showed elevated concentrations of several mycotoxin groups in 2020 and 2024. Interestingly, both barley and wheat showed no difference in FA levels across years, with low concentrations and occurrence rates less than 10%. Maize, on the other hand, only had yearly differences for FA and emerging mycotoxins, with concentrations being highest in 2021 and 2022, respectively. Maize also contained a high occurrence rate of FA, with greater than 92% of the samples containing this mycotoxin, while occurrence rates of the various emerging mycotoxins were low. Maize silage samples were also impacted by year, with 2018 and 2023 generally having the highest concentrations, although yearly differences were not observed for B trichothecenes and FA, despite these being the two most prevalent mycotoxins. As such, it may be concluded that these two mycotoxin groups may be of constant presence in maize silage. More similar to the small grains, grass silage samples showed several yearly differences, with 2020 having several higher mycotoxin concentrations.
When looking across years, feedstuffs, and mycotoxins, it may be summarized that 2020 and 2023 were among the years that showed the highest mycotoxin concentrations, particularly for the small grains and grass silage. Europe is reported to be the fastest warming continent [16]. The Copernicus Climate Change Service report [16] for Europe states that 2024 was the warmest year on record since 1900, followed by 2020 and 2023. Furthermore, in 2024, 34% of the land area experienced above-average precipitation, while in 2023, about 7% of the land area experienced above-average precipitation. Although the results from this mycotoxin survey have not been correlated with any statistical model, it may be suggested that feedstuffs such as barley, wheat, and grass silage could have increased mycotoxin occurrence during years of elevated temperature stress. In contrast, mycotoxin contamination of maize and maize silage may be promoted by different weather patterns, notably the slightly lower (although still above-average) temperatures observed in years other than 2020, 2023, and 2024 [16]. In addition to temperature and precipitation amount, it should also be remembered that the timing of these weather events during plant and grain development is also critical [17]. Although the year 2025 is not complete at the time of this survey, reports indicate that 2025 had the fourth warmest summer (June to August) for the European continent, with pronounced variation in precipitation among regions [18]. As such, it may be expected that mycotoxin risk will continue to increase. Although the conclusions from this survey regarding mycotoxin variation by climatic region and year are largely speculative due to a lack of detailed and local weather (temperature, precipitation) data, these results do provide a starting point for concepts to investigate. Further research is needed to link location data, mycotoxin results, and weather patterns to have a more accurate understanding of climate influence and mycotoxin predictions.
Identifying patterns of co-occurrence for groups of mycotoxins may spur further research and insights. Co-occurrence is investigated under a null (random) model that tests if there are combinations of pairs that show significant positive or negative associations [19]. These associations, or patterns of species occurrence, can provide insight into the pair’s relationships within the environment, as they relate to habitat, competition, symbiotic relationships, etc. Positive associations represent the co-occurrence of pairs that appear greater than random chance, suggesting that a pair of mycotoxin groups co-occurred together more than expected in that environment. This positive co-occurrence may be due to a similarity in mold species producing those mycotoxins, a mold producing more than one mycotoxin, or similar environmental stimuli promoting the production of varying mycotoxin groups, among other factors. On the other hand, negative associations are those where species occur less often than expected by random chance, often due to species competition, avoidance, or sequential matrix-associated evolution [19]. In relation to mycotoxins, this may occur among molds that require differing environmental conditions to grow or produce mycotoxins [20]. Further investigation of species attributes can provide information on the contribution of the individual group to the positive, negative, or random associations, and indicate whether the co-occurrences are evenly distributed among groups rather than clustered within a few groups [21]. With this data, results may give insights into the types of mycotoxins expected to be found on each commodity, as well as the likelihood of mycotoxins coming from Fusarium, Penicillium, Aspergillus, or Claviceps species.
The results obtained in this research showed that there were more significant deviations from random expectations for grains than for silages, with grains having mostly positive deviations (40 positives versus 7 negatives). Across all grains and maize silage, the highest probabilities of co-occurrence (both positive and non-significant) were between mycotoxin groups produced primarily by Fusarium molds. Notably, FA and emerging mycotoxins were highly co-occurring with B trichothecenes. Fusarium represents a large group of mold species, which produce numerous mycotoxins including B and A trichothecenes, FUMs, ZEA, FA, beauvericin, ENN, and MON [14]. Furthermore, some mycotoxins such as FA or MON are reported to be produced by more than 12 and 30 Fusarium species, respectively [22,23]. In this survey, there were high positive co-occurrence rates between B trichothecenes and FA in maize and maize silage, with 55.9% and 86.3%, respectively, indicating that these two mycotoxin groups are not only common in maize-based commodities but also may be promoted by similar environmental conditions. Maize and maize silage also contained high co-occurrence of B trichothecenes and emerging mycotoxins (52.4% and 74.2%) and FA and emerging mycotoxins (80.8% and 68.1%), although these were associated with the models’ random expectations. Interestingly, although B trichothecenes are a highly co-occurring group, they only contributed to 22% of all positive pairs, showing that they are highly occurring but at rates expected by the models. Across previously published surveys, mycotoxin members of the B trichothecenes are found to be highly occurring [6,24].
It is interesting to note that AFs had low occurrence rates across matrix types, at rates of less than 2.7% of samples having AFs above LOD, with the exception of maize that had the occurrence of AFs up to 13%. At the same time, co-occurrences of AFs with other mycotoxins were also low, with an observed maximum (random association) between AFs and FA in maize at 12.7%. Furthermore, analysis of AFs by year was marked by only certain years, with elevated concentrations across feedstuffs. The lower occurrence rates of AFs may reflect a more sporadic production pattern, with episodic spikes driven by periods of elevated temperatures and water activity (aw)—conditions that have recently become more common in parts of Europe [2,16]. Due to the low detection frequency of AFs, establishing robust co-occurrence patterns has been more challenging. Nevertheless, these toxins remain highly relevant as they constitute the only mycotoxin category with enforced regulatory limits. In this survey, levels of AFs were detected above permissible thresholds in some cases, in particular for maize and maize silage (maximum values of 451 µg/kg and 152 µg/kg).
Emerging mycotoxins play an important role in observed mycotoxin co-occurrences. In barley, the highest co-occurrence was for B trichothecenes and emerging mycotoxins at 60.9% (positive), showing that these mycotoxins often occur together and at rates above random chance. Previous surveys have also found high rates of emerging mycotoxins in barley [25]. Interestingly, although emerging mycotoxins had a high co-occurrence with B trichothecenes, this mycotoxin group contributed only 10% to all positive co-occurrences, indicating that in the majority of interactions, these mycotoxins were at expected rates. Wheat was similar to barley regarding co-occurrences, with the highest co-occurrences between B trichothecenes and emerging mycotoxins at 52.9% (positive). Wheat was similar to barley regarding co-occurrences, with the highest co-occurrences between B trichothecenes and emerging mycotoxins at 52.9% (positive).
The key emerging mycotoxins detected in barley and wheat, as well as maize silage, were ENN A/A1 and ENN B/B1 at 54 to 75% occurrence rates. In contrast, maize grain had a higher occurrence of MON than ENN. There are numerous mycotoxins that fall into this ‘emerging’ category, including, for example, several produced by Alternaria species such as tenuazonic acid, alternariol monomethyl ether, and altertoxin [26]. Although the current survey only included one Alternaria toxin (alternariol), it covered many of the key emerging mycotoxins (such as ENN A/A1, ENN B/B1, and MON). These emerging mycotoxins can be produced by multiple mold species, but it is reported that ENN is most favorably produced at aw and temperature combinations of aw 0.994/25 °C, while MON production occurs more readily at lower moisture levels of aw 0.960/25 °C [27]. The production of DON by F. graminearum is also similar at aw 0.960/25 °C, supporting the high co-occurrence of these mycotoxins. Due to these high rates of co-occurrence, the potential for feedstuffs to be contaminated with multiple mycotoxins may be considered the norm. For the animal industry, mycotoxin co-contamination is of importance as the consumption of multiple mycotoxins increases the total risk to cause greater negative effects on health or performance through additive or potential synergistic relationships [9,28,29,30]. Pertaining specifically to the interactions of DON with ENN, MON, or FA, there are a limited number of references, with those that are available cover only a few animal species and lack investigation with naturally contaminated feed materials. Generally, trials investigating DON with ENN or MON report neutral (non-related) or additive-type interactions [31,32]. In contrast, the presence of DON with FA is considered to vary widely between neutral, additive, and synergistic [33,34]. Given their high co-occurrence, further research on the combined toxicity of these mycotoxins under natural contamination scenarios and across different animal species is warranted. Such work could help explain discrepancies observed among naturally contaminated matrices containing unaccounted mycotoxins (e.g., FA) and controlled, single-toxin dietary challenge studies.
In contrast to the cereal grain-based commodities, grass silage had a pattern of few positive and more negative associations, which may indicate that grass has a pattern of mold growth differing from that of other commodities, in part due to the grass substrate composition, growing conditions, harvest timing, and storage management. Generally, grass silage had lower co-occurrence rates of mycotoxins than the other feedstuff types, shown, for example, with the co-occurrence rate for B trichothecenes and emerging mycotoxins at only 28.8% and having a negative relationship. This negative association indicates that these two groups are occurring less than model expectations or less than observed by random chance in nature. In fact, many of the Fusarium mycotoxins occurred less in grass silage than expected. These results may be supported by previous research showing that grass silage contained fewer fungal metabolites (mean 20; range 12 to 27) out of 106 analyzed, whereas maize silage contained a mean of 26 (range 19 to 64) fungal metabolites [35].
There are several unknown factors related to the growth and production of grass silage samples assessed in this survey. As such, some level of caution may be warranted when considering the variability and traceability of mycotoxin risk in grass silage (and similarly maize silage) in this longitudinal survey. For example, it is unknown whether the cut number or harvest timing was consistent across grass silage samples. It is also unknown as to which species of grass were used for each silage sample. Grass species used to make this forage source can vary widely across Europe, which may influence the associated susceptibility to different types of molds, although this has not been statistically confirmed [36]. Moreover, the duration and conditions of storage before analysis, which can markedly influence both the total mycotoxin load and the pattern of co-occurrence present at the time of consumption, were not captured.
Previous research has demonstrated that the timing of cutting and storage conditions may have the greatest influence on mycotoxin (such as DON, ZEA, and T2) content in grass silage [36]. For example, DON content of grass harvested in the Czech Republic was shown to be lower in June than from late July to October, although it should be noted that overall each cutting had relatively low concentrations of DON with a maximum mean of 51.9 µg/kg [36]. As such, harvest times could have played a role in the deviation from the expected occurrence of B trichothecenes in the current survey, but it also may be concluded that these mycotoxins may in fact be occurring less and at lower concentrations in this commodity than others [35]. Perhaps of more importance is the effect of ensilaging, which was shown by [36] to increase DON content by about 408% (up to 167.7 µg/kg). Alternatively, in the current survey, the highest co-occurrence rate of 32.1% was found for FA and the Penicillium mycotoxins group (positive), which was much greater than for other matrix types. This high rate of Penicilliums in grass silages is supported by previous work [4,35]. Penicillium molds typically favor growth and production of mycotoxins on crops post-harvest, being able to grow under a wide range of environmental conditions that include lower aw (0.79–0.83), pH (3.0–6.0), and oxygen (1%) levels [37]. However, these molds can also grow and produce mycotoxins on crops pre-harvest when wet conditions occur in the field [38]. The majority of grass silage samples originated in the Oceanic and northern Continental regions, where grass silage is typically collected over several cuttings from May to August [39,40]. Due to this wide range of harvest time and processing, this commodity could be exposed to a variety of environmental conditions. Furthermore, grass silage must undergo proper fermentation for best storage quality. Silage that has lower dry matter and slower fermentation has been correlated with increased mycotoxin risk [41]. Due to the difference in production and the influence of both field and storage, this feedstuff may have a different mycotoxin profile from the cereal-based commodities.

4. Conclusions

This survey of European grains and forages provides insight into mycotoxin concentrations, occurrence, and co-occurrence between 2018 and 2024. Although it represents only a snapshot of a mycotoxin surveillance program, this survey can be used to understand potential future risk of mycotoxin contamination in animal feedstuffs and ingredient commodities. Furthermore, this survey provides novel insight into mycotoxin profiles according to the European climatic region and mycotoxin co-occurrence patterns for a wide range of mycotoxins including those in the emerging mycotoxin and storage mycotoxin categories.
It has now been established that it is the norm rather than an exception for grains and forages to contain multiple mycotoxins. Maize contained the greatest diversity of mycotoxin, averaging 6.68 distinct toxins per sample, while grass silage contained the lowest average at 3.07. Climatic region played an important role in the observed number of mycotoxins and mycotoxin concentrations. Surprisingly, barley from the Nordic region was one of the more contaminated feedstuffs, with an average of 9.33 mycotoxins per sample and the highest mean and maximum concentrations for several mycotoxin groups including B trichothecenes and emerging mycotoxins. Harvest year also played a role in observed mycotoxin content. In general, small grains and grass silage appeared to have greater mycotoxin risk in 2020, 2023, and 2024, which were years marked by higher average temperatures across Europe, along with elevated rainfall in some regions. Both barley and wheat had high co-occurrence of B trichothecenes and emerging mycotoxins. However, grass silage had the highest co-occurrence of Penicillium mycotoxins with FA. In contrast, maize and maize silage appeared to have different contamination patterns. Maize had the highest co-occurrence between FUMs and FA or emerging mycotoxins and appeared to have higher concentrations in 2021 and 2022. Maize silage had the highest co-occurrence of B trichothecenes and FA, with generally increased risk in 2018 and 2023. As such, it may be concluded that mycotoxin occurrence and content vary by feedstuff type, region, and year, which may be expected due to varied environmental conditions. Future research is needed to better model and predict the relationship between climate and mycotoxins.
The presence of multiple mycotoxins in different feedstuffs of European origin appears to be the norm and could increase the risk of mycotoxins to animal performance and health. Furthermore, the combination of several feedstuffs containing multiple mycotoxins can further increase risk and result in final mycotoxin intake well above the guidelines suggested by government or regulatory groups. The knowledge gained from this survey may help to support and advance mycotoxin monitoring and mitigation programs. For example, local mycotoxin testing may be tailored based upon those mycotoxins that more frequently occur in that climatic region or feedstuff, including not only the regulated but also masked, emerging, or storage mycotoxins. Maize-based commodities should be generally considered to have the greatest mycotoxin contamination, with the exception of barley from the Nordic climatic region. Furthermore, results demonstrated high mycotoxin co-occurrence, indicating a need for not only an increase in the number of mycotoxins routinely analyzed by individuals and regulatory groups, but also an awareness for a potential increase in negative effects on animals. The high co-occurrence rates of B trichothecenes with FA and emerging mycotoxins should be noted and may suggest a need for continued research aimed at understanding the effects of these mycotoxin groups together on animal performance and health under natural and common contamination levels. Overall, the detection, quantification, and assessment of multiple mycotoxins in feedstuffs should be considered a routine component of a mycotoxin monitoring program, with consideration of management strategies that reduce mycotoxin risk to and within the animal.

5. Materials and Methods

5.1. Sample Collection and Analysis

Samples were submitted from feed and animal production facilities as part of the annual Alltech European Harvest Analysis Survey, which focuses on new crop samples for each year. Samples of barley, maize, wheat, maize silage, and grass silage were collected from 23 countries across European climatic regions (Figure 7). Countries were divided into four climatic regions, Continental, Mediterranean, Nordic, or Oceanic, based on a classification similar to [42]. Samples were collected from new crops and represented 7 harvest years, from 2018 to 2024. Most samples were collected between July and December of each year. A total of 2635 samples were included in this survey (Table 9), comprising 710 barley, 387 maize, 743 wheat, 328 maize silage, and 467 grass silage samples.
Each sample was analyzed for 54 different mycotoxins, representing 11 groups (Table 1), by the Alltech 37+® Analytical Services Laboratory located in Dunboyne, Ireland (International Organization for Standardization (ISO) and the International Electrotechnical Commission (IEC)17025:2005 No. 79481 and ISO/IEC 17025:2017 official accreditation No. 79481, Perry Johnson Laboratory Accreditation, Inc., Troy, MI, USA). Methods for proper sampling procedures are based on those described by the USDA Grain Inspection Handbook [43] and Undersander et al. [44]. Procedures outline the collection of samples to obtain a homogenous representation of the lot. It was recommended that each sample be packaged to preserve the integrity of the contents such as double bagging, vacuum sealing, and refrigeration at <4 °C. The Alltech 37+® laboratory requests samples of 200–400 g and recommends that samples be submitted to the laboratory immediately after collection and sent via overnight shipping.
Mycotoxin quantification was completed using ultra-pressure liquid chromatography with tandem mass spectrometry (UPLC-MS/MS, Waters Acquity UPLC-TQD and XEVO TQ-S systems, Waters Corp., Milford, MA, USA), with an electrospray ionization interface working in positive and negative mode following the methods of Jackson et al. [45]. Laboratory processing is previously described by Weaver et al. [8]. Briefly, silage samples were freeze-dried to reduce moisture content, while grain sample moisture was determined by thermos gravimetry (Moisture Analyzer MB45, Ohaus Corp., Parsippany, NJ, USA) and processed as is. Each grain and silage sample was finely ground and placed in reaction tubes spiked with 20 µL of a 1:1:1 internal standard mixture ([13C15]-DON at 4.5 µg/g; [13C18]-ZEA at 4.5 µg/g; [13C17]-AFB1 at 273 ng/g and 20 µL of [13C34]-FUM at 2.3 µg/g mixture). Samples were extracted in an acetonitrile/water/formic acid mixture (84.0:15.9:0.1, v/v/v) for no more than 18 h at room temperature (RT), with shaking (250 rpm, New Brunswick Scientific, Enfield, CT, USA). All samples were centrifuged at 12,000 rpm for 10 min (Beckman Coulter Inc., Fullerton, CA, USA). Supernatant (400 µL for grains; 800 µL for silages) was collected, added to an autosampler vial, and dried under an N2 stream before being reconstituted in 400 µL of loading buffer (LB) consisting of water/acetonitrile/formic acid (95.0:4.9:0.1, v/v/v) containing 10 mmol L−1 ammonium acetate. Blank samples and a certified reference material were used alongside, and a system suitability check was performed before and after every 10 samples. The recovered levels of certified mycotoxins were accurate within ±25%.

5.2. Statistical Analysis

The average number (count) of mycotoxins detected in a sample was assessed among feedstuff and climatic region using ANOVA and gauged significance at p<0.05. These analyses were performed with R version 2024.12.1 [46] using built-in functions. The average number of toxins in a sample among climatic regions were statistically different (p < 0.05) for all feedstuffs. Therefore, further exploration of these differences was conducted using Tukey’s Honestly Significant Difference (HSD) post hoc pairwise comparisons. Tukey’s HSD adjusted the alpha critical value used to determine statistical significance, which reduced the probability of making a Type 1 error. These pair-wise tests allowed for examination of the differences among the average number of mycotoxins between each climatic region for each feedstuff. Mycotoxin concentration was assessed separately among climatic region and year for each feedstuff using analysis of variance (ANOVA). Statistically significant differences were identified when p-values were less than an alpha value of 0.05.
The probability of co-occurrence was calculated based on a grain or silage sample containing one mycotoxin group simultaneously with a second mycotoxin group. Assessment of mycotoxin co-occurrence was conducted using the “cooccur” package in R version 1.3 [21] and has been described previously by Weaver et al. [8]. To summarize, pairwise co-occurrences of mycotoxin groups were examined following the methods of Veech [47] and Griffith et al. [21]. Co-occurrence of mycotoxin group pairs was evaluated as the number of instances that samples contained two mycotoxin groups, relative to the expected number of times that these pairs would occur together under the null hypothesis of random chance. The construction of matrices for each analysis was completed using 0’s and 1’s. Samples having a positive, above LOQ concentration were assigned a “1”, and analyses that did not detect a mycotoxin (below LOQ), reported as a zero, were assigned a “0”. The probability of co-occurrence was calculated following that of Griffith et al. [21] to assess if a feedstuff would contain an individual mycotoxin given that it contained a second individual mycotoxin as,
P j = N x j × N N x N y j N N y
where Nx is the number of samples where mycotoxin x occurs, Ny is the number of samples where mycotoxin y occurs, and N is the total number of samples that were analyzed, where both x and y mycotoxins could occur and j = 1 to Nx samples. The number of ways of selecting j samples that have mycotoxin x, given that there are Nx samples N x j , was analyzed. The expression N N x N y j represents the number of possibilities of selecting Nyj samples that have mycotoxin y without mycotoxin x given. The number of combinations that Ny samples could be obtained out of all N samples   N N y was calculated. A co-occurrence matrix and an observed-expected plot were created to visually evaluate the probabilities of observed frequencies of co-occurrence. These were reported as positive (orange), negative (blue), or random (gray) in relation to the expected co-occurrences. Finally, to assess the contribution of each mycotoxin group toward the positive and negative pair associations, the R functions “pair.attributes” and “pair.profile” were used as described by Griffith et al. [21].

Supplementary Materials

The following supporting information can be downloaded at https://www.mdpi.com/article/10.3390/toxins18010005/s1. Table S1: Concentration of mycotoxin by group in barley from different European climatic regions assessed over seven harvest years. Table S2: Concentration of mycotoxin by group in maize from different European climatic regions assessed over seven harvest years. Table S3: Concentration of mycotoxin by group in wheat from different European climatic regions assessed over seven harvest years. Table S4: Concentration of mycotoxin by group in maize silage from different European climatic regions assessed over seven harvest years. Table S5: Concentration of mycotoxin by group in grass silage from different European climatic regions assessed over seven harvest years. Table S6: Mean concentration (µg/kg) of mycotoxin groups across seven years (2018 to 2024) in five European feedstuffs.

Author Contributions

Conceptualization, A.C.W.; methodology, A.C.W.; validation, A.C.W. and D.M.W.; formal analysis, A.C.W., D.M.W. and Alltech 37+ Analytical Laboratory; data curation, A.C.W.; writing—original draft preparation, A.C.W.; writing—review and editing, D.M.W., L.V.F.M.d.C. and A.Y.; visualization, A.C.W.; supervision, A.Y. All authors have read and agreed to the published version of the manuscript.

Funding

This research was financially supported by Alltech, Inc., Nicholasville, KY, USA.

Institutional Review Board Statement

Not applicable.

Informed Consent Statement

Not applicable.

Data Availability Statement

The original contributions presented in this study are included in the article/Supplementary Material. Further inquiries can be directed to the corresponding author.

Acknowledgments

The authors thank the members of the Alltech 37+® Analytical Services Laboratory for the analysis of the samples for mycotoxins. We also thank the dedicated Alltech employees and associated individuals for the collection of the grain and silage samples used in this survey.

Conflicts of Interest

A.C.W. and A.Y. are employees of Alltech (United States). L.V.d.C. is an employee of Alltech (Brazil). All authors report no conflicts of interest. The funders, individuals collecting samples, and individuals performing mycotoxin analysis had no role in the design of the study, the interpretation of data, the writing of the manuscript, or in the decision to publish the results.

References

  1. Juraschek, L.M.; Kappenberg, A.; Amelung, W. Mycotoxins in soil and environment. Sci. Total Environ. 2022, 814, 152425. [Google Scholar] [CrossRef] [PubMed]
  2. Daou, R.; Joubrane, K.; Maroun, R.G.; Khabbaz, L.R.; Ismail, A.; El Khoury, A. Mycotoxins: Factors influencing production and control strategies. AIMS Agric. Food 2021, 6, 416–447. [Google Scholar] [CrossRef]
  3. Siri-anusornsak, W.; Kolawole, O.; Mahakarnchanakul, W.; Greer, B.; Petchkongkaew, A.; Meneely, J.; Elliott, C.; Vangnai, K. The Occurrence and Co-Occurrence of Regulated, Emerging, and Masked Mycotoxins in Rice Bran and Maize from Southeast Asia. Toxins 2022, 14, 567. [Google Scholar] [CrossRef]
  4. O’Brien, M.; Nielsen, K.F.; O’Kiely, P.; Forristal, P.D.; Fuller, H.T.; Frisvad, J.C. Mycotoxins and other secondary metabolites produced in vitro by Penicillium paneum Frisvad and Penicillium roqueforti Thom isolated from baled grass silage in Ireland. J. Agric. Food Chem. 2006, 54, 9268–9276. [Google Scholar] [CrossRef] [PubMed]
  5. Berthiller, F.; Crews, C.; Dall’Asta, C.; De Saeger, S.; Haesaert, G.; Karlovsky, P.; Oswald, I.P.; Seefelder, W.; Speijers, G.; Stroka, J. Masked mycotoxins: A review. Mol. Nutr. Food Res. 2013, 57, 165–186. [Google Scholar] [CrossRef] [PubMed]
  6. Koletsi, P.; Schrama, J.W.; Graat, E.A.M.; Wiegertjes, G.F.; Lyons, P.; Pietsch, C. The occurrence of mycotoxins in raw materials and fish feeds in Europe and the potential effects of deoxynivalenol (DON) on the health and growth of farmed fish species—A review. Toxins 2021, 13, 403. [Google Scholar] [CrossRef]
  7. Weaver, A.C.; Adams, N.; Yiannikouris, A. Invited Review: Use of technology to assess and monitor multimycotoxin and emerging mycotoxin challenges in feedstuffs. Appl. Anim. Sci. 2020, 36, 19–25. [Google Scholar] [CrossRef]
  8. Weaver, A.C.; Weaver, D.M.; Adams, N.; Yiannikouris, A. Co-occurrence of 35 mycotoxins: A seven-year survey of corn grain and corn silage in the United States. Toxins 2021, 13, 516. [Google Scholar] [CrossRef]
  9. Jia, R.; Liu, W.; Zhao, L.; Cao, L.; Shen, Z. Low doses of individual and combined deoxynivalenol and zearalenone in naturally moldy diets impair intestinal functions via inducing inflammation and disrupting epithelial barrier in the intestine of piglets. Toxicol. Lett. 2020, 333, 159–169. [Google Scholar] [CrossRef]
  10. Weaver, A.C.; Weaver, D.M.; Yiannikouris, A.; Adams, N. Meta-analysis of the effects of mycotoxins and yeast cell wall extract supplementation on the performance, livability, and environmental sustainability of broiler production. Poult. Sci. 2022, 101, 102043. [Google Scholar] [CrossRef]
  11. Kolawole, O.; Valliere, C.; Krska, R.; David, M.; Lorran, G.; Schatzmayr, D.; Schatzmayr, G.; Eskola, M.; Petchkongkaew, A.; Elliott, C. Potential economic and environmental impacts of mycotoxins in poultry: A meta-analysis and life cycle assessment approach. Environ. Impact Assess. Rev. 2025, 115, 107989. [Google Scholar] [CrossRef]
  12. Vandicke, J.; De Visschere, K.; Ameye, M.; Croubels, S.; De Saeger, S.; Audenaert, K.; Haesaert, G. Multi-Mycotoxin Contamination of Maize Silages in Flanders, Belgium: Monitoring Mycotoxin Levels from Seed to Feed. Toxins 2021, 13, 202. [Google Scholar] [CrossRef] [PubMed]
  13. González-Jartín, J.M.; Ferreiroa, V.; Rodríguez-Cañás, I.; Alfonso, A.; Sainz, M.J.; Aguín, O.; Vieytes, M.R.; Gomes, A.; Ramos, I.; Botana, L.M. Occurrence of mycotoxins and mycotoxigenic fungi in silage from the north of Portugal at feed-out. Int. J. Food Microbiol. 2022, 365, 109556. [Google Scholar] [CrossRef]
  14. Bryła, M.; Pierzgalski, A.; Zapaśnik, A.; Uwineza, P.A.; Ksieniewicz-Woźniak, E.; Modrzewska, M.; Waśkiewicz, A. Recent Research on Fusarium Mycotoxins in Maize—A Review. Foods 2022, 11, 3465. [Google Scholar] [CrossRef]
  15. Palosuo, T.; Rötter, R.P.; Salo, T.; Peltonen-Sainio, P.; Tao, F.; Lehtonen, H. Effects of climate and historical adaptation measures on barley yield trends in Finland. Clim. Res. 2015, 65, 221–236. [Google Scholar] [CrossRef]
  16. Copernicus Climate Change Service (C3S) and World Meteorological Organization (WMO). European State of the Climate 2024. Available online: https://climate.copernicus.eu/esotc/2024 (accessed on 20 October 2025).
  17. Marzec-Schmidt, K.; Börjesson, T.; Suproniene, S.; Jędryczka, M.; Janavičienė, S.; Góral, T.; Karlsson, I.; Kochiieru, Y.; Ochodzki, P.; Mankevičienė, A.; et al. Modelling the effects of weather conditions on cereal grain contamination with deoxynivalenol in the Baltic Sea region. Toxins 2021, 13, 737. [Google Scholar] [CrossRef]
  18. Copernicus Climate Change Service (C3S). European Summer 2025—Hot in the West and South, Dry in the Southeast. Available online: https://climate.copernicus.eu/european-summer-2025-hot-west-and-south-dry-southeast (accessed on 20 October 2025).
  19. Pitta, E.; Giokas, S.; Sfenthourakis, S. Significant pairwise co-occurrence patterns are not the rule in the majority of biotic communities. Diversity 2012, 4, 179–193. [Google Scholar] [CrossRef]
  20. Palumbo, R.; Gonçalves, A.; Gkrillas, A.; Logrieco, A.; Dorne, J.-L.; Dall’Asta, C.; Venâncio, A.; Battilani, P. Mycotoxins in maize: Mitigation actions, with a chain management approach. Phytopathol. Mediterr. 2020, 59, 5–28. [Google Scholar] [CrossRef]
  21. Griffith, D.M.; Veech, J.A.; Marsh, C.J. Cooccur: Probabilistic species co-occurrence analysis in R. J. Stat. Softw. 2016, 69, 1–17. [Google Scholar] [CrossRef]
  22. Bacon, C.W.; Porter, J.K.; Norred, W.P.; Leslie, J.F. Production of Fusaric Acid by Fusarium Species. Appl. Environ. Microbiol. 1996, 62, 4039–4043. [Google Scholar] [CrossRef]
  23. Frisvad, J.C. A critical review of producers of small lactone mycotoxins: Patulin, penicillic acid and moniliformin. World Mycotoxin J. 2018, 11, 73–100. [Google Scholar] [CrossRef]
  24. Wang, J.; Sufar, E.K.; Bernhoft, A.; Seal, C.; Rempelos, L.; Hasanaliyeva, G.; Zhao, B.; Iversen, P.O.; Baranski, M.; Volakakis, N.; et al. Mycotoxin contamination in organic and conventional cereal grain and products: A systematic literature review and meta-analysis. Compr. Rev. Food Sci. Food Saf. 2024, 23, e13363. [Google Scholar] [CrossRef]
  25. Jestoi, M.; Rokka, M.; Yli-Mattila, T.; Parikka, P.; Rizzo, A.; Peltonen, K. Presence and concentrations of the Fusarium-related mycotoxins beauvericin, enniatins and moniliformin in Finnish grain samples. Food Addit. Contam. 2004, 21, 794–802. [Google Scholar] [CrossRef] [PubMed]
  26. Fraeyman, S.; Croubels, S.; Devreese, M.; Antonissen, G. Emerging Fusarium and Alternaria mycotoxins: Occurrence, toxicity and toxicokinetics. Toxins 2017, 9, 228. [Google Scholar] [CrossRef]
  27. Kokkonen, M.; Ojala, L.; Parikka, P.; Jestoi, M. Mycotoxin production of selected Fusarium species at different culture conditions. Int. J. Food Microbiol. 2010, 143, 17–25. [Google Scholar] [CrossRef]
  28. Alassane-Kpembi, I.; Schatzmayr, G.; Taranu, I.; Marin, D.; Puel, O.; Oswald, I.P. Mycotoxins co-contamination: Methodological aspects and biological relevance of combined toxicity studies. Crit. Rev. Food Sci. Nutr. 2017, 57, 3489–3507. [Google Scholar] [CrossRef] [PubMed]
  29. Grenier, B.; Oswald, I. Mycotoxin co-contamination of food and feed: Meta-analysis of publications describing toxicological interactions. World Mycotoxin J. 2011, 4, 285–313. [Google Scholar] [CrossRef]
  30. Bacon, C.W.; Porter, J.K.; Norred, W.R. Toxic interaction of fumonisin B1 and fusaric acid measured by injection into fertile chicken egg. Mycopathologia 1995, 129, 29–35. [Google Scholar] [CrossRef]
  31. Fremy, J.M.; Alassane-Kpembi, I.; Oswald, I.P.; Cottrill, B.; Van Egmond, H.P. A review on combined effects of moniliformin and co-occurring Fusarium toxins in farm animals. World Mycotoxin J. 2019, 12, 281–291. [Google Scholar] [CrossRef]
  32. Khoshal, A.K.; Novak, B.; Martin, P.G.P.; Jenkins, T.; Neves, M.; Schatzmayr, G.; Oswald, I.P.; Pinton, P. Co-occurrence of DON and emerging mycotoxins in worldwide finished pig feed and their combined toxicity in intestinal cells. Toxins 2019, 11, 727. [Google Scholar] [CrossRef]
  33. May, H.D.; Wu, Q.; Blake, C.K. Effects of the Fusarium spp. mycotoxins fusaric acid and deoxynivalenol on the growth of Ruminococcus albus and Methanobrevibacter ruminantium. Can. J. Microbiol. 2000, 46, 692–699. [Google Scholar] [CrossRef]
  34. Koletsi, P.; Wiegertjes, G.F.; Graat, E.A.M.; de Kool, M.; Lyons, P.; Schrama, J.W. Individual and combined effects of deoxynivalenol (DON) with other Fusarium mycotoxins on rainbow trout (Oncorhynchus mykiss) growth performance and health. Mycotoxin Res. 2023, 39, 405–420. [Google Scholar] [CrossRef] [PubMed]
  35. Penagos-Tabares, F.; Khiaosa-ard, R.; Schmidt, M.; Pacifico, C.; Faas, J.; Jenkins, T.; Nagl, V.; Sulyok, M.; Labuda, R.; Zebeli, Q. Fungal species and mycotoxins in mouldy spots of grass and maize silages in Austria. Mycotoxin Res. 2022, 38, 117–136. [Google Scholar] [CrossRef]
  36. Skládanka, J.; Adam, V.; Doležal, P.; Nedělník, J.; Kizek, R.; Linduskova, H.; Mejia, J.E.A.; Nawrath, A. How do grass species, season and ensiling influence mycotoxin content in forage? Int. J. Environ. Res. Public Health 2013, 10, 6084–6095. [Google Scholar] [CrossRef]
  37. Ogunade, I.M.; Martinez-Tuppia, C.; Queiroz, O.C.M.; Jiang, Y.; Drouin, P.; Wu, F.; Vyas, D.; Adesogan, A.T. Silage review: Mycotoxins in silage: Occurrence, effects, prevention, and mitigation. J. Dairy Sci. 2018, 101, 4034–4059. [Google Scholar] [CrossRef]
  38. Mansfield, M.A.; Jones, A.D.; Kuldau, G.A. Contamination of fresh and ensiled maize by multiple Penicillium mycotoxins. Phytopathology 2008, 98, 330–336. [Google Scholar] [CrossRef]
  39. Ferris, C.P.; Laidlaw, A.S.; Wylie, A.R.G. A short survey of key silage-making practices on Northern Ireland dairy farms, and farmer perceptions of factors influencing silage quality. Ir. J. Agric. Food Res. 2022, 61, 347–352. [Google Scholar] [CrossRef]
  40. Flaten, O.; Bakken, A.K.; Randby, T.T. The profitability of harvesting grass silages at early maturity stages: An analysis of dairy farming systems in Norway. Agric. Syst. 2015, 136, 85–95. [Google Scholar] [CrossRef]
  41. Webster, J.M. Factors Influencing Mycotoxin Production in Grass Silage, and Their Effects on Rumen Metabolism and the Microbiome in Dairy Cows. Ph.D. Thesis, Harper Adams University, Newport, UK, 2024. [Google Scholar]
  42. Borowski, P.F. Nexus between water, energy, food and climate change as challenges facing the modern global, European and Polish economy. AIMS Geosci. 2020, 6, 397–421. [Google Scholar] [CrossRef]
  43. USDA Grain Inspection Service, Packing Livestock Farm Administration, Federal Grain Inspection Service. USDA-GIPSA Grain Inspection Handbook, Book 1 Sampling; USDA Grain Inspection Service, Packing Livestock Farm Administration, Federal Grain Inspection Service: Washington, DC, USA, 2013.
  44. Undersander, D.; Shaver, R.; Linn, J.; Hoffman, P.; Peterson, P. Sampling Hay, Silage and Total Mixed Rations for Analysis; University of Wisconsin Extension: Madison, WI, USA, 2005. [Google Scholar]
  45. Jackson, L.C.; Kudupoje, M.B.; Yiannikouris, A. Simultaneous multiple mycotoxin quantification in feed samples using three isotopically labeled internal standards applied for isotopic dilution and data normalization through ultra-performance liquid chromatography/electrospray ionization tandem mass spectrometry. Rapid Commun. Mass Spectrom. 2012, 26, 2697–2713. [Google Scholar] [CrossRef]
  46. RStudio Team 2020 RStudio. Integrated Development for, R. RStudio; Version 2024.12.1; PBC: Boston, MA, USA; Available online: https://www.rstudio.com/ (accessed on 1 March 2025).
  47. Veech, J.A. A probabilistic model for analyzing species co-occurrence. Glob. Ecol. Biogeogr. 2013, 22, 252–260. [Google Scholar] [CrossRef]
Figure 1. Box-and-whisker plot of the number of mycotoxins in different feedstuffs detected by ultra-pressure liquid chromatography–tandem mass spectrometry assessed over seven harvest years in Europe. Asterisks indicate the mean with data label included; horizontal lines within the boxes represent quartile 1 (lower line), median (middle line), and quartile 3 (upper line), and vertical lines represent the minimum and maximum number of mycotoxins detected in the samples.
Figure 1. Box-and-whisker plot of the number of mycotoxins in different feedstuffs detected by ultra-pressure liquid chromatography–tandem mass spectrometry assessed over seven harvest years in Europe. Asterisks indicate the mean with data label included; horizontal lines within the boxes represent quartile 1 (lower line), median (middle line), and quartile 3 (upper line), and vertical lines represent the minimum and maximum number of mycotoxins detected in the samples.
Toxins 18 00005 g001
Figure 2. Percentage of samples (%) containing different numbers of mycotoxins out of a total of 54 detected by ultra-pressure liquid chromatography–tandem mass spectrometry assessed over seven harvest years in Europe. Feedstuffs include barley (yellow), maize (orange), wheat (gray), maize silage (blue), and grass silage (green).
Figure 2. Percentage of samples (%) containing different numbers of mycotoxins out of a total of 54 detected by ultra-pressure liquid chromatography–tandem mass spectrometry assessed over seven harvest years in Europe. Feedstuffs include barley (yellow), maize (orange), wheat (gray), maize silage (blue), and grass silage (green).
Toxins 18 00005 g002
Figure 3. Influence of climatic region on the mean number of mycotoxins detected in different feedstuffs by ultra-pressure liquid chromatography–tandem mass spectrometry assessed over seven harvest years. Data bars represent mean and 95% confidence interval. Means not sharing a common letter for region within a feedstuff type differ significantly (p < 0.05). A lack of bars indicates no samples were available for that region.
Figure 3. Influence of climatic region on the mean number of mycotoxins detected in different feedstuffs by ultra-pressure liquid chromatography–tandem mass spectrometry assessed over seven harvest years. Data bars represent mean and 95% confidence interval. Means not sharing a common letter for region within a feedstuff type differ significantly (p < 0.05). A lack of bars indicates no samples were available for that region.
Toxins 18 00005 g003
Figure 4. Yearly variation in mean mycotoxin concentrations (µg/kg) detected in barley, maize, and wheat grains from Europe, collected over seven harvest years, from July to December each year between 2018 and 2024. Data represents mean concentration (µg/kg), with error bars for the 95% confidence interval. Lower confidence intervals that generated negative values are shown as zero. p-values are reported for overall yearly variation by mycotoxin group within each grain type.
Figure 4. Yearly variation in mean mycotoxin concentrations (µg/kg) detected in barley, maize, and wheat grains from Europe, collected over seven harvest years, from July to December each year between 2018 and 2024. Data represents mean concentration (µg/kg), with error bars for the 95% confidence interval. Lower confidence intervals that generated negative values are shown as zero. p-values are reported for overall yearly variation by mycotoxin group within each grain type.
Toxins 18 00005 g004
Figure 5. Yearly variation in mean mycotoxin concentrations (µg/kg) detected in maize silage and grass silage samples from Europe, collected over seven harvest years, from July to December each year between 2018 and 2024. Data represents mean concentration (µg/kg) with error bars for the 95% confidence interval. Lower confidence intervals that generated negative values are shown as zero. p-values are reported for overall yearly variation by mycotoxin group within each forage type.
Figure 5. Yearly variation in mean mycotoxin concentrations (µg/kg) detected in maize silage and grass silage samples from Europe, collected over seven harvest years, from July to December each year between 2018 and 2024. Data represents mean concentration (µg/kg) with error bars for the 95% confidence interval. Lower confidence intervals that generated negative values are shown as zero. p-values are reported for overall yearly variation by mycotoxin group within each forage type.
Toxins 18 00005 g005
Figure 6. Pair attributes showing the contribution (%) of each mycotoxin group individually or all groups together toward the positive (orange), negative (blue), or random (gray) associations assessed by probabilistic co-occurrence modeling. Results are shown for barley (a), maize (b), wheat (c), maize silage (d), and grass silage (e). Mycotoxin groups include total aflatoxins (AFs), ochratoxin and citrinin (OCH/CIT), type B trichothecenes (B Tricho.), type A trichothecenes (A Tricho.), total fumonisins (FUMs), zearalenone (ZEA), fusaric acid (FA), emerging mycotoxins (Emerg.), other Penicillium mycotoxins (Pen.), other Aspergillus mycotoxins (Asp.), and ergot alkaloids (Ergot).
Figure 6. Pair attributes showing the contribution (%) of each mycotoxin group individually or all groups together toward the positive (orange), negative (blue), or random (gray) associations assessed by probabilistic co-occurrence modeling. Results are shown for barley (a), maize (b), wheat (c), maize silage (d), and grass silage (e). Mycotoxin groups include total aflatoxins (AFs), ochratoxin and citrinin (OCH/CIT), type B trichothecenes (B Tricho.), type A trichothecenes (A Tricho.), total fumonisins (FUMs), zearalenone (ZEA), fusaric acid (FA), emerging mycotoxins (Emerg.), other Penicillium mycotoxins (Pen.), other Aspergillus mycotoxins (Asp.), and ergot alkaloids (Ergot).
Toxins 18 00005 g006
Figure 7. Regional locations of samples and climatic classification of European countries for Continental (blue), Mediterranean (orange), Nordic (yellow), and Oceanic (green). Countries without color did not have sample representation.
Figure 7. Regional locations of samples and climatic classification of European countries for Continental (blue), Mediterranean (orange), Nordic (yellow), and Oceanic (green). Countries without color did not have sample representation.
Toxins 18 00005 g007
Table 1. Analyzed mycotoxins assessed in this survey by ultra-pressure liquid chromatography–tandem mass spectrometry (Alltech 37+® Analytical Services Laboratory, Dunboyne, Ireland).
Table 1. Analyzed mycotoxins assessed in this survey by ultra-pressure liquid chromatography–tandem mass spectrometry (Alltech 37+® Analytical Services Laboratory, Dunboyne, Ireland).
GroupMycotoxinAbbreviationLimit of Detection, µg/kgLimit of Quantification, µg/kg
1AflatoxinsAflatoxin B1AFB10.1300.429
2 Aflatoxin B2AFB20.5391.780
3 Aflatoxin G1AFG10.1450.480
4 Aflatoxin G2AFG20.1480.490
5OchratoxinOchratoxin AOTA2.0766.850
6 Ochratoxin BOTB2.2187.320
7 CitrininCIT0.3081.015
8B TrichothecenesDeoxynivalenolDON4.34814.350
9 3-acetyl-deoxynivalenolAcDON32.2887.550
10 15-acetyl-deoxynivalenolAcDON151.7945.920
11 Deoxynivalenol-3-glucosideDON3G10.97336.210
12 NivalenolNIV49.918164.730
13 Fusarenon XFUSX2.5148.295
14A TrichothecenesT-2 toxinT20.7522.481
15 HT-2 toxinHT23.83812.665
16 DiacetoxyscirpenolDAS1.5205.017
17 NeosolaniolNEO1.8246.020
18FumonisinsFumonisin B1FB120.63268.086
19 Fumonisin B2FB21.8226.012
20 Fumonisin B3FB34.99816.493
21ZearalenoneZearalenoneZEA2.5708.482
22Fusaric AcidFusaric acidFA2.3767.840
23EmergingBeauvericinBEA0.4701.550
24 MoniliforminMON1.5865.233
25/26 Enniatin A/A1ENN A/A10.0300.090
27/28 Enniatin B/B1ENN B/B10.0700.220
29 Phomopsin APHOM A0.0400.130
30 AlternariolAOL1.3934.598
31PenicilliumsPatulinPAT16.83755.562
32 Mycophenolic acidMPA1.0213.370
33 Roquefortine CROQC1.7765.860
34 Penicillic acidPA7.42724.510
35 CitreoviridinCITR2.5728.487
36 WortmanninWORT0.7712.545
37AspergillusGliotoxinGLIO5.66418.692
38 SterigmatocystinSTMC0.1850.612
39 Cyclopiazonic AcidCPA0.9893.265
40 VerruculogenVERR0.3351.104
41/42Ergot AlkaloidsErgometrin(in)eERGMET0.5791.911
43/44 Ergotamin(in)eERGAM0.5071.673
45/46 Ergocristin(in)eERGCR2.9459.717
47/48 Ergosin(in)eERGSI1.1663.849
49/50 Ergocornin(in)eERGCO0.8382.764
51/52 Ergocryptin(in)eERGCYP0.8112.677
53 LysergolLYS0.4611.522
54 MethylergonovineMERGV0.0490.161
Table 2. Prevalence and concentrations of 54 mycotoxins in European barley and wheat assessed over seven harvest years quantified by ultra-pressure liquid chromatography–tandem mass spectrometry.
Table 2. Prevalence and concentrations of 54 mycotoxins in European barley and wheat assessed over seven harvest years quantified by ultra-pressure liquid chromatography–tandem mass spectrometry.
BarleyWheat
Mycotoxin Concentration, µg/kg 3 Mycotoxin Concentration, µg/kg 3
Mycotoxin 1% > LOD 2MedianMeanQ3 2Max% > LOD 2MedianMeanQ3 2Max
AFB11.270.000.020.002.170.270.000.010.002.98
AFB20.000.000.000.000.000.000.000.000.000.00
AFG10.000.000.000.000.000.130.000.000.000.60
AFG20.000.000.000.000.000.270.000.000.001.08
OTA0.420.000.110.0060.700.540.000.150.0050.83
OTB0.000.000.000.000.000.130.000.010.007.62
CIT0.420.000.880.00584.340.670.000.420.00227.39
T227.460.006.233.94267.419.020.000.680.0076.61
HT233.240.0016.5416.78370.6213.860.002.800.0086.12
DAS0.280.000.010.006.780.000.000.000.000.00
NEO2.820.000.470.0052.720.540.000.120.0041.24
DON64.3732.36224.3477.8427,088.9062.4525.48168.42102.196758.43
AcDon313.660.008.580.001109.188.480.001.080.0059.91
AcDon157.180.008.220.001011.435.920.001.310.0089.57
DON3G11.550.0021.790.001463.318.880.006.160.00394.51
NIV0.000.000.000.000.000.130.000.400.00295.70
FUSX21.690.0040.330.001000.6816.420.0010.590.001545.91
FB12.680.002.550.00237.433.900.003.360.00214.78
FB219.580.004.470.00103.4424.900.005.060.00139.91
FB31.830.000.460.0039.542.690.000.690.0061.25
ZEA5.490.006.160.00924.655.380.002.060.00307.83
FA5.630.002.610.00547.744.440.000.940.00165.59
BEA11.970.000.840.00240.981.880.000.030.002.82
MON31.830.0015.969.10627.8914.270.002.320.00163.80
ENN A/A175.079.7544.8541.16843.0365.012.948.697.37955.47
ENN B/B175.0738.79243.54186.784349.1862.183.9435.1118.072246.33
PHOM A0.140.000.060.0039.410.000.000.000.000.00
AOL0.000.001.930.00235.940.000.001.840.00180.35
PAT0.420.000.360.00110.800.540.001.760.00517.41
MPA5.350.002.910.00350.951.350.000.790.00206.47
ROQC0.140.000.120.0081.970.000.000.000.000.00
PA0.560.000.190.0040.170.000.000.000.000.00
CITR1.690.001.410.00290.630.670.000.350.00153.02
WORT0.000.000.000.000.000.270.000.070.0038.99
GLIO0.000.000.000.000.000.000.000.000.000.00
STMC0.280.000.030.009.620.130.000.000.001.95
CPA6.340.000.850.0058.311.750.000.180.0057.74
VERR0.280.000.020.0014.480.000.000.000.000.00
ERGMET1.410.003.720.00899.441.080.000.340.0082.04
ERGAM6.620.008.490.002303.684.980.003.700.001303.70
ERGCR2.540.004.670.001772.952.150.001.610.00364.94
ERGSI4.080.002.170.00529.272.960.001.050.00220.62
ERGCO3.240.004.710.002237.552.150.000.650.00194.23
ERGCYP3.660.006.160.001963.193.360.000.700.00135.31
LYS0.000.000.000.000.000.000.000.000.000.00
MERGV0.560.000.000.001.230.000.000.000.000.00
1 Abbreviations for each mycotoxin are provided. For a detailed list of all abbreviations, see Table 1. 2 % > LOD: Percentage of samples with this mycotoxin greater than the limit of detection; Q3: third quartile; Max: maximum. 3 Median, mean, and quartile values were calculated using concentrations measured above the limit of quantification (LOQ).
Table 3. Prevalence and concentrations of 54 mycotoxins in European maize assessed over seven harvest years quantified by ultra-pressure liquid chromatography–tandem mass spectrometry.
Table 3. Prevalence and concentrations of 54 mycotoxins in European maize assessed over seven harvest years quantified by ultra-pressure liquid chromatography–tandem mass spectrometry.
Maize
Mycotoxin Concentration, µg/kg 3
Mycotoxin 1% > LOD 2MedianMeanQ3 2Max
AFB112.660.004.480.00451.33
AFB21.810.000.090.0014.77
AFG13.100.000.140.0015.67
AFG21.290.000.030.002.37
OTA1.030.000.270.0045.33
OTB0.000.000.000.000.00
CIT1.290.000.890.00167.80
T28.790.003.140.00272.31
HT24.910.003.200.00414.51
DAS1.550.000.080.009.12
NEO2.580.000.340.0024.43
DON57.3625.58157.8395.403517.18
AcDon38.530.001.840.00136.97
AcDon1525.580.0016.966.36614.42
DON3G5.430.007.010.001138.91
NIV1.030.003.100.00409.02
FUSX1.810.004.340.001249.24
FB176.23532.281688.921638.2725,004.39
FB279.8436.33108.9392.483791.81
FB370.2831.19100.5792.542139.50
ZEA11.110.0011.160.001198.24
FA92.7682.95193.62187.042050.33
BEA23.000.006.010.00413.46
MON76.7470.12307.38271.648825.47
ENN A/A131.780.001.764.0213.69
ENN B/B140.570.002.892.56156.13
PHOM A0.260.000.010.005.67
AOL0.000.000.460.0055.14
PAT0.000.000.000.000.00
MPA5.170.003.140.00484.25
ROQC0.000.000.000.000.00
PA1.810.001.050.0089.20
CITR0.000.000.000.000.00
WORT0.000.000.000.000.00
GLIO0.000.000.000.000.00
STMC0.000.000.000.000.00
CPA10.080.005.740.00795.51
VERR0.000.000.000.000.00
ERGMET0.000.000.000.000.00
ERGAM0.780.000.020.002.39
ERGCR0.000.000.000.000.00
ERGSI0.000.000.000.000.00
ERGCO0.000.000.000.000.00
ERGCYP0.000.000.000.000.00
LYS0.000.000.000.000.00
MERGV0.000.000.000.000.00
1 Abbreviations for each mycotoxin are provided. For a detailed list of all abbreviations, see Table 1. 2 % > LOD: Percentage of samples with this mycotoxin greater than the limit of detection; Q3: third quartile; Max: maximum. 3 Median, mean, and quartile values were calculated using concentrations measured above the limit of quantification (LOQ).
Table 4. Prevalence and concentrations of 54 mycotoxins in European maize silage and grass silage assessed over seven harvest years quantified by ultra-pressure liquid chromatography–tandem mass spectrometry.
Table 4. Prevalence and concentrations of 54 mycotoxins in European maize silage and grass silage assessed over seven harvest years quantified by ultra-pressure liquid chromatography–tandem mass spectrometry.
Maize SilageGrass Silage
Mycotoxin Concentration, µg/kg 3 Mycotoxin Concentration, µg/kg 3
Mycotoxin 1% > LOD 2MedianMeanQ3 2Max% > LOD 2MedianMeanQ3 2Max
AFB12.740.000.590.00152.371.500.000.370.0078.33
AFB20.910.001.130.00161.940.640.000.210.0067.77
AFG10.000.000.000.000.000.000.000.000.000.00
AFG20.000.000.000.000.001.070.002.080.00293.30
OTA0.000.000.000.000.000.000.000.000.000.00
OTB0.000.000.000.000.000.000.000.000.000.00
CIT0.610.001.730.00383.630.210.000.360.00169.42
T23.350.000.360.0034.781.070.000.110.0029.87
HT231.100.0056.3428.904230.302.360.001.420.00207.90
DAS0.300.000.010.002.450.860.000.070.0010.31
NEO1.520.008.230.001222.340.210.000.140.0063.46
DON96.65569.421492.601487.5672,361.9048.610.0039.5258.21648.72
AcDon320.730.005.650.00269.220.210.000.080.0036.33
AcDon1518.900.0069.300.005389.401.710.004.630.00941.10
DON3G1.220.006.390.001160.070.210.000.080.0036.18
NIV1.220.007.220.001069.790.640.001.360.00236.60
FUSX3.660.0020.440.001380.829.210.0073.670.002973.27
FB139.330.00215.75167.146879.264.070.004.160.00306.57
FB242.990.0040.4139.19888.9711.130.004.010.00233.84
FB331.710.0016.8617.70354.363.850.000.920.0077.52
ZEA18.290.0065.510.001911.702.780.004.180.00491.51
FA89.02422.15673.89849.7635,870.6759.1014.3839.8442.57546.14
BEA14.330.002.820.00495.440.640.000.070.0023.36
MON39.940.0016.8115.30308.848.140.000.940.0034.84
ENN A/A154.882.8710.2413.27143.9837.040.008.788.75516.03
ENN B/B155.794.3128.7919.321130.3837.900.008.076.03218.59
PHOM A0.300.000.000.000.820.210.000.000.000.86
AOL0.000.000.030.0010.660.000.001.610.00153.56
PAT0.300.001.060.00346.871.280.003.550.00648.79
MPA3.350.005.530.00993.142.780.0011.430.003293.50
ROQC0.610.000.260.0075.753.640.0021.550.004655.03
PA19.510.0020.220.00794.5950.7525.44246.69313.183945.90
CITR0.000.000.000.000.000.000.000.000.000.00
WORT0.000.000.000.000.000.000.000.000.000.00
GLIO0.610.002.630.00805.300.000.000.000.000.00
STMC0.000.000.000.000.000.210.000.000.000.95
CPA3.350.001.330.00145.131.930.000.260.0046.60
VERR0.000.000.000.000.000.000.000.000.000.00
ERGMET0.000.000.000.000.000.860.000.090.0021.33
ERGAM0.300.000.010.002.673.000.007.570.00889.86
ERGCR0.610.000.800.00247.241.500.002.110.00616.20
ERGSI0.610.000.070.0014.092.140.001.550.00184.09
ERGCO0.300.000.080.0024.690.000.000.000.000.00
ERGCYP0.300.000.350.00115.321.710.001.030.00235.78
LYS0.000.000.000.000.000.000.000.000.000.00
MERGV0.000.000.000.000.000.000.000.000.000.00
1 Abbreviations for each mycotoxin are provided. For a detailed list of all abbreviations, see Table 1. 2 % > LOD: Percentage of samples with this mycotoxin greater than the limit of detection; Q3: third quartile; Max: maximum. 3 Median, mean, and quartile values were calculated using concentrations measured above the limit of quantification (LOQ).
Table 5. Concentration (µg/kg) of type B trichothecenes by European climatic region in barley, maize, wheat, maize silage, and grass silage quantified by ultra-pressure liquid chromatography–tandem mass spectrometry assessed over seven harvest years.
Table 5. Concentration (µg/kg) of type B trichothecenes by European climatic region in barley, maize, wheat, maize silage, and grass silage quantified by ultra-pressure liquid chromatography–tandem mass spectrometry assessed over seven harvest years.
Mycotoxin Concentration, µg/kg 1
Climatic RegionMeanSD 2Q1 2MedianQ3 2Maximump Value 3
Barley
Continental341.411179.630.0045.69162.8514,074.48<0.005
Mediterranean303.40983.020.0070.13201.196459.48
Nordic3783.156997.05480.841476.993428.3028,987.66
Oceanic119.94195.300.0049.64154.161853.14
Maize
Continental89.08187.810.0017.0471.201023.93<0.005
Mediterranean166.34471.740.0029.0498.063974.41
Nordic
Oceanic868.07777.73264.66798.561181.072832.32
Wheat
Continental262.14733.940.0033.50149.497281.83<0.005
Mediterranean228.61504.720.0024.52170.412506.77
Nordic
Oceanic110.66259.480.0029.6692.282382.64
Maize Silage
Continental2169.627351.81329.82799.181808.2479,024.120.089
Mediterranean397.82704.50106.99204.28446.434903.30
Nordic
Oceanic1281.091672.37331.00643.821705.3411,374.18
Grass Silage
Continental108.88320.580.007.4671.482620.840.857
Mediterranean0.00 0.000.000.000.00
Nordic84.2369.6034.6860.29129.06217.97
Oceanic127.70300.490.0035.0191.402973.27
1 B trichothecenes are represented by the sum of deoxynivalenol, 3-acetyl-deoxynivalenol, 15-acetyl-deoxynivalenol, deoxynivalenol-3-glucoside, nivalenol, and fusarenon X. Median, mean, and quartile values were calculated using concentrations measured above the limit of quantification (LOQ). 2 SD: Standard deviation; Q1: first quartile; Q3: third quartile. 3 p-value for the mean for climatic region effect within each feedstuff.
Table 6. Concentration (µg/kg) of emerging mycotoxins by European climatic region in barley, maize, wheat, maize silage, and grass silage quantified by ultra-pressure liquid chromatography–tandem mass spectrometry assessed over seven harvest years.
Table 6. Concentration (µg/kg) of emerging mycotoxins by European climatic region in barley, maize, wheat, maize silage, and grass silage quantified by ultra-pressure liquid chromatography–tandem mass spectrometry assessed over seven harvest years.
Mycotoxin Concentration, µg/kg 1
Climatic RegionMeanSD 2Q1 2MedianQ3 2Maximump Value 3
Barley
Continental163.95458.511.0217.8890.323247.41<0.005
Mediterranean59.91173.603.2212.4329.491036.00
Nordic1560.891439.75692.511279.781754.405144.72
Oceanic374.81679.7625.57107.16410.814611.46
Maize
Continental283.91697.5015.0064.08174.184750.760.316
Mediterranean346.99835.3720.2797.77314.908844.40
Nordic
Oceanic100.95154.615.3735.60134.34507.68
Wheat
Continental27.6670.111.227.0819.85876.73<0.005
Mediterranean14.9444.120.003.2414.01340.54
Nordic
Oceanic67.41231.295.2714.9545.183114.48
Maize Silage
Continental53.3878.644.6925.4871.18538.860.078
Mediterranean39.6687.570.003.1129.04495.44
Nordic
Oceanic77.15149.641.0430.2980.511197.93
Grass Silage
Continental33.3162.290.0010.5938.12526.16<0.005
Mediterranean129.11 129.11129.11129.11129.11
Nordic28.6940.049.2716.8530.84164.85
Oceanic10.5527.960.000.009.86214.45
1 Emerging mycotoxins are represented by the sum of alternariol, beauvericin, enniatin A/A1, enniatin B/B1, moniliformin, and phomopsin A. Median, mean, and quartile values were calculated using concentrations measured above the limit of quantification (LOQ). 2 SD: Standard deviation; Q1: first quartile; Q3: third quartile. 3 p-value for the mean for climatic region effect within each feedstuff.
Table 7. Probability of co-occurrence between pairs of mycotoxin groups for barley, maize, and wheat grains. Pairs with significant (p < 0.05) positive (orange) or negative (blue) co-occurrences based on model expectations are shown, along with those pairs having random (gray) co-occurrences. Pairs that showed no co-occurrence are blank (white).
Table 7. Probability of co-occurrence between pairs of mycotoxin groups for barley, maize, and wheat grains. Pairs with significant (p < 0.05) positive (orange) or negative (blue) co-occurrences based on model expectations are shown, along with those pairs having random (gray) co-occurrences. Pairs that showed no co-occurrence are blank (white).
Group 1
Group 1OCH/CITType BType AFUMsZEAFAEmerg.Pen.Asp.Ergot
Barley
AFs 0.0090.0050.003 0.011
OCH/CIT 0.0060.0030.002 0.007
B Tricho. 0.2790.1510.0410.0400.6090.0540.0480.062
A Tricho. 0.0820.0220.0220.3300.0290.0260.033
FUMs 0.0120.0120.1790.0160.0140.018
ZEA 0.0030.0490.0040.0040.005
FA 0.0480.0040.0040.005
Emerg. 0.0630.0570.073
Pen. 0.0050.006
Asp. 0.057
Maize
AFs0.0040.0820.0170.1110.0160.1270.1190.0100.014
OCH/CIT 0.0170.0030.0230.0030.0260.025 0.003
B Tricho. 0.0730.4900.0680.5590.5240.0420.0610.005
A Tricho. 0.0990.0140.1130.1060.0080.012
FUMs 0.0930.7550.7090.0570.0820.006
ZEA 0.1050.0990.0080.011
FA 0.8080.0650.0930.007
Emerg. 0.0610.0880.007
Pen. 0.007
Asp.
Wheat
AFs
OCH/CIT
B Tricho. 0.1140.1850.0410.0290.529 0.043
A Tricho. 0.0490.0110.0080.140 0.011
FUMs 0.0180.0130.229 0.019
ZEA 0.0030.051 0.004
FA 0.036 0.003
Emerg. 0.053
Pen.
Asp.
1 AFs: Total aflatoxins; OCH/CIT: ochratoxins/citrinin; B Tricho.: type B trichothecenes; A Tricho.: type A trichothecenes; FUMs: total fumonisins; ZEA: zearalenone; FA: fusaric acid; Emerg.: emerging mycotoxins; Pen.: Penicillium mycotoxins; Asp.: Aspergillus mycotoxins; Ergot: ergot alkaloids.
Table 8. Probability of co-occurrence between pairs of mycotoxin groups for maize silage and grass silage. Pairs with significant (p < 0.05) positive (orange) or negative (blue) co-occurrences based on model expectations are shown, along with those pairs having random (gray) co-occurrences. Pairs that showed no co-occurrence are blank (white).
Table 8. Probability of co-occurrence between pairs of mycotoxin groups for maize silage and grass silage. Pairs with significant (p < 0.05) positive (orange) or negative (blue) co-occurrences based on model expectations are shown, along with those pairs having random (gray) co-occurrences. Pairs that showed no co-occurrence are blank (white).
Group 1
Group 1OCH/CITType BType AFUMsZEAFAEmerg.Pen.Asp.Ergot
Maize Silage
AFs 0.0330.0110.0160.0060.0300.0260.008
OCH/CIT 0.006 0.0050.005
B Tricho. 0.3220.4550.1770.8630.7420.2220.0410.012
A Tricho. 0.1560.0610.2960.2540.0760.0140.004
FUMs 0.0860.4180.3590.1070.0200.006
ZEA 0.1630.1400.0420.008
FA 0.6810.2040.0380.011
Emerg. 0.1750.0330.009
Pen. 0.010
Asp. 0.057
Grass Silage
AFs 0.012 0.003 0.0130.0110.012
OCH/CIT
B Tricho. 0.0220.0760.0150.3180.2880.2920.0120.030
A Tricho. 0.006 0.0240.0220.022 0.002
FUMs 0.0040.0840.0760.0770.0030.008
ZEA 0.0160.0150.015
FA 0.3160.3210.0130.033
Emerg. 0.2910.0110.030
Pen. 0.0120.030
Asp.
1 AFs: Total aflatoxins; OCH/CIT: ochratoxins/citrinin; B Tricho.: type B trichothecenes; A Tricho.: type A trichothecenes; FUMs: total fumonisins; ZEA: zearalenone; FA: fusaric acid; Emerg.: emerging mycotoxins; Pen.: Penicillium mycotoxins; Asp.: Aspergillus mycotoxins; Ergot: ergot alkaloids.
Table 9. Number of samples utilized in this survey by feedstuff type, European climatic region, and harvest year.
Table 9. Number of samples utilized in this survey by feedstuff type, European climatic region, and harvest year.
RegionBarleyMaizeWheatMaize SilageGrass Silage
Total sample number710387743328467
Region
Continental25485321171166
Mediterranean4527969531
Nordic1800015
Oceanic39323353104285
Harvest year
20183815461210
2019301745817
20207149794922
20211791021777970
2020113849450103
202314382178101132
20241363812429113
Disclaimer/Publisher’s Note: The statements, opinions and data contained in all publications are solely those of the individual author(s) and contributor(s) and not of MDPI and/or the editor(s). MDPI and/or the editor(s) disclaim responsibility for any injury to people or property resulting from any ideas, methods, instructions or products referred to in the content.

Share and Cite

MDPI and ACS Style

Weaver, A.C.; Weaver, D.M.; de Carvalho, L.V.F.M.; Yiannikouris, A. Influence of Climatic Region and Feedstuff Type on the Co-Occurrence and Contamination Profiles of 54 Mycotoxins in European Grains and Forages: A Seven-Year Survey. Toxins 2026, 18, 5. https://doi.org/10.3390/toxins18010005

AMA Style

Weaver AC, Weaver DM, de Carvalho LVFM, Yiannikouris A. Influence of Climatic Region and Feedstuff Type on the Co-Occurrence and Contamination Profiles of 54 Mycotoxins in European Grains and Forages: A Seven-Year Survey. Toxins. 2026; 18(1):5. https://doi.org/10.3390/toxins18010005

Chicago/Turabian Style

Weaver, Alexandra C., Daniel M. Weaver, Luiz V. F. M. de Carvalho, and Alexandros Yiannikouris. 2026. "Influence of Climatic Region and Feedstuff Type on the Co-Occurrence and Contamination Profiles of 54 Mycotoxins in European Grains and Forages: A Seven-Year Survey" Toxins 18, no. 1: 5. https://doi.org/10.3390/toxins18010005

APA Style

Weaver, A. C., Weaver, D. M., de Carvalho, L. V. F. M., & Yiannikouris, A. (2026). Influence of Climatic Region and Feedstuff Type on the Co-Occurrence and Contamination Profiles of 54 Mycotoxins in European Grains and Forages: A Seven-Year Survey. Toxins, 18(1), 5. https://doi.org/10.3390/toxins18010005

Note that from the first issue of 2016, this journal uses article numbers instead of page numbers. See further details here.

Article Metrics

Article metric data becomes available approximately 24 hours after publication online.
Back to TopTop