The Efficacy of a Novel Water-Soluble Anti-Mycotoxin Solution in Improving Broiler Chicken Performance Under Mycotoxin Challenge
Abstract
1. Introduction
2. Results
2.1. Diet Composition
2.2. The Temperature and Relative Humidity of the Experimental House
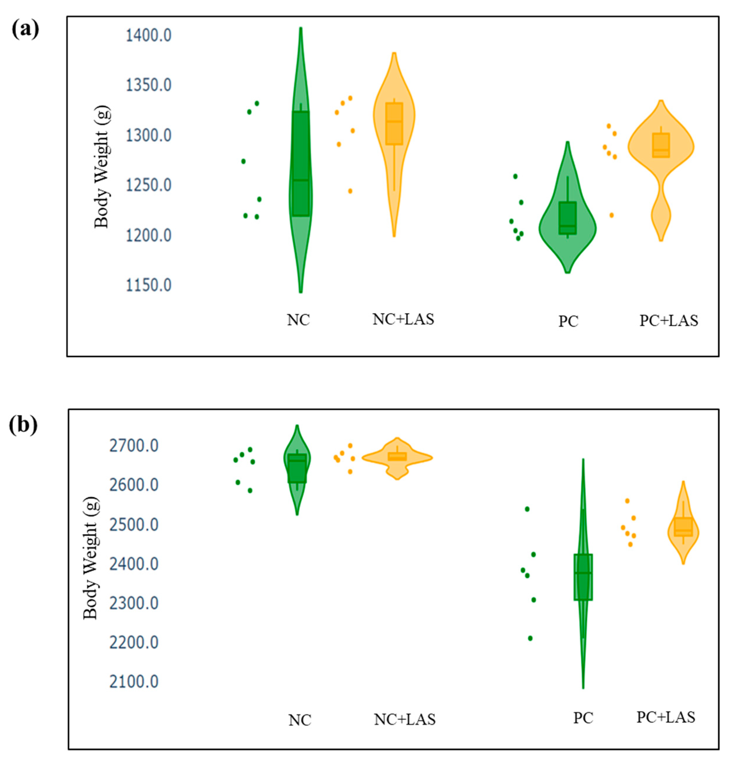
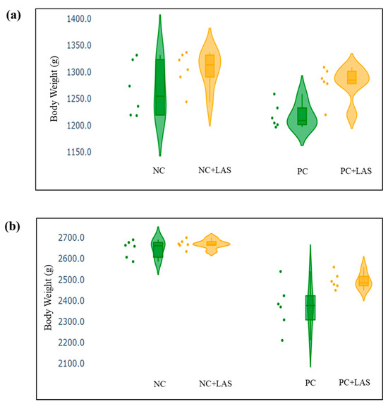
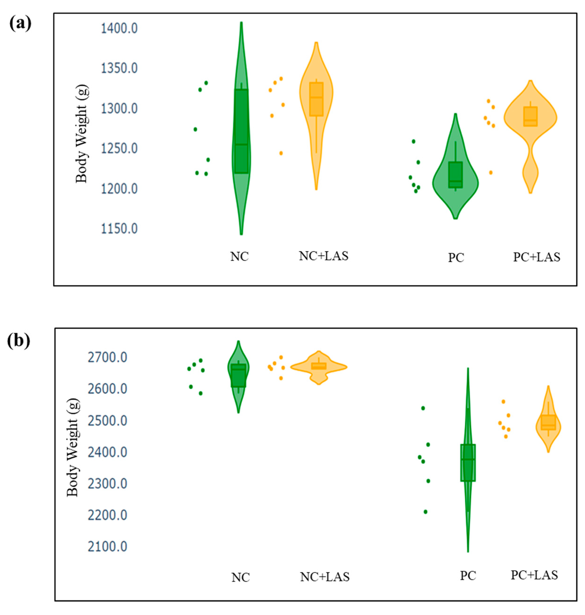
2.3. Growth Performance
Carcass Traits
2.4. Hepatic and Antioxidant Biomarkers in Serum
2.5. Expression of Nrf-2 and EPHX1 Genes in Hepatic Tissues
3. Discussion
4. Conclusions
5. Materials and Methods
5.1. The Outline of the Experiment and a Description of Dietary Treatments
5.2. Chemical Analysis of Diet
5.3. Mycotoxin Analysis of Raw Materials and Diets
5.4. Collection and Analysis of Blood
5.5. Expression Analysis of Hepatic Function Biomarker Genes
5.6. Measurement of Gross Carcass Traits
5.7. Statistical Analysis
Author Contributions
Funding
Institutional Review Board Statement
Informed Consent Statement
Data Availability Statement
Conflicts of Interest
Abbreviations
| LAS | Liquid anti-mycotoxin solution |
| AFs | Aflatoxins |
| FBs | Fumonisins |
| OTA | Ochratoxin A |
| NC | Negative control |
| PC | Positive control |
| BW | Body weight |
| ADFI | Average daily feed intake |
| FCR | Feed conversion ratio |
| GPE | Grape pomace extract |
| OPE | Olive pomace extract |
| GSE | Grape seed extract |
| EPI | European Productivity Index |
| ADG | Average daily BW gain |
| ADFI | Average daily feed intake |
| FCR | Feed conversion ratio |
References
- Hussein, H.S.; Brasel, J.M. Toxicity, Metabolism, and Impact of Mycotoxins on Humans and Animals. Toxicology 2001, 167, 101–134. [Google Scholar] [CrossRef]
- Milicevic, D.R.; Skrinjar, M.; Baltic, T. Real and Perceived Risks for Mycotoxin Contamination in Foods and Feeds: Challenges for Food Safety Control. Toxins 2010, 2, 572–592. [Google Scholar] [CrossRef] [PubMed]
- Jarvis, B.B. Chemistry and toxicology of molds isolated from water-damaged buildings. Adv. Exp. Med. Biol. 2002, 504, 43–52. [Google Scholar] [CrossRef]
- Leeson, S. Poultry Metabolic Disorders and Mycotoxins, 1st ed.; University Books: Guelph, Canada, 1995. [Google Scholar]
- Surai, P.F.; Dvorska, J.E. Effects of mycotoxins on antioxidant status and immunity. In The Mycotoxins Blue Book; Diaz, D., Ed.; Nottingham University Press: Nottingham, UK, 2005; pp. 93–137. [Google Scholar]
- Patil, R.D.; Sharma, R.; Asrani, R.K. Mycotoxicosis and its control in poultry: A review. J. Poult. Sci. Technol. 2014, 2, 1–10. [Google Scholar]
- Diaz, D.E.; Hagler, W.M.; Hopkins, B.A.; Whitlow, L.W. Aflatoxin Binders I: In vitro Binding Assay for Aflatoxin B1 by Several Potential Sequestering Agents. Mycopathologia 2003, 156, 223–226. [Google Scholar] [CrossRef] [PubMed]
- Alpsoy, L.; Yalvac, M.E. Key Roles of Vitamins A, C, and E in Aflatoxin B1-Induced Oxidative Stress. Vitam. Horm. 2010, 86, 287–305. [Google Scholar] [CrossRef]
- Dalvi, R. An overview of aflatoxicosis of poultry: Its characteristics, prevention and reduction. Vet. Res. Commun. 1986, 10, 429–443. [Google Scholar] [CrossRef]
- Kermanshahi, H.; Hazegh, A.; Afzali, N. Effect of Sodium Bentonite in Broiler Chickens Fed Diets Contaminated with Aflatoxin B1. J. Anim. Vet. Adv. 2009, 8, 1631–1636. [Google Scholar]
- Magnoli, A.; Monge, M.; Miazzo, R.; Cavaglieri, L.; Magnoli, C.; Merkis, C.; Cristofolini, A.; Dalcero, A.; Chiacchiera, S. Effect of Low Levels of Aflatoxin B1 on Performance, Biochemical Parameters, and Aflatoxin B1 in Broiler Liver Tissues in the Presence of Monensin and Sodium Bentonite. Poult. Sci. 2011, 90, 48–58. [Google Scholar] [CrossRef]
- Surai, P.F. Natural Antioxidants in Avian Nutrition and Reproduction; Nottingham University Press: Nottingham, UK, 2002; Volume 1. [Google Scholar]
- Shen, H.M.; Shi, C.Y.; Lee, H.P.; Ong, C.N. Aflatoxin B1-induced lipid peroxidation in rat liver. Toxicol. Appl. Pharmacol. 1994, 127, 145–150. [Google Scholar] [CrossRef]
- Munkvold, G.P.; Arias, S.; Taschl, I.; Gruber-Dorninger, C. Mycotoxins in Corn: Occurrence, Impacts, and Management. In Corn; Elsevier: Amsterdam, The Netherlands, 2019; pp. 235–287. [Google Scholar]
- Okasha, H.; Song, B.; Song, Z. Hidden Hazards Revealed: Mycotoxins and Their Masked Forms in Poultry. Toxins 2024, 16, 137. [Google Scholar] [CrossRef] [PubMed]
- Tahir, M.A.; Abbas, A.; Muneeb, M.; Bilal, R.M.; Hussain, K.; Abdel-Moneim, A.-M.E.; Farag, M.R.; Dhama, K.; Elnesr, S.S.; Alagawany, M. Ochratoxicosis in Poultry: Occurrence, Environmental Factors, Pathological Alterations and Amelioration Strategies. World’s Poult. Sci. J. 2022, 78, 727–749. [Google Scholar] [CrossRef]
- Tao, Y.; Xie, S.; Xu, F.; Liu, A.; Wang, Y.; Chen, D.; Pan, Y.; Huang, L.; Peng, D.; Wang, X.; et al. Ochratoxin A: Toxicity, Oxidative Stress and Metabolism. Food Chem. Toxicol. Int. J. Publ. Br. Ind. Biol. Res. Assoc. 2018, 112, 320–331. [Google Scholar] [CrossRef] [PubMed]
- Wang, W.; Zhai, S.; Xia, Y.; Wang, H.; Ruan, D.; Zhou, T.; Zhu, Y.; Zhang, H.; Zhang, M.; Ye, H.; et al. Ochratoxin A induces liver inflammation: Involvement of intestinal microbiota. Microbiome 2019, 7, 151. [Google Scholar] [CrossRef] [PubMed]
- Kabak, B.; Dobson, A.D.; Var, I. Strategies to prevent mycotoxin contamination of food and animal feed: A review. Crit. Rev. Food Sci. Nutr. 2006, 46, 593–619. [Google Scholar] [CrossRef]
- Quesada-Vázquez, S.; Codina Moreno, R.; Della Badia, A.; Castro, O.; Riahi, I. Promising Phytogenic Feed Additives Used as Anti-Mycotoxin Solutions in Animal Nutrition. Toxins 2024, 16, 434. [Google Scholar] [CrossRef]
- Rajput, S.A.; Sun, L.; Zhang, N.; Khalil, M.M.; Gao, X.; Ling, Z.; Zhu, L.; Khan, F.A.; Zhang, J.; Qi, D. Ameliorative Effects of Grape Seed Proanthocyanidin Extract on Growth Performance, Immune Function, Antioxidant Capacity, Biochemical Constituents, Liver Histopathology and Aflatoxin Residues in Broilers Exposed to Aflatoxin B1. Toxins 2017, 9, 371. [Google Scholar] [CrossRef]
- Ala’a, S.; Jasim, W.K.; Kadhim, L.I. Effects of Dietary Grape Seed Extract on Physiological Parameters, Antioxidant Activity and Immunological Status of Broiler Chicks Exposed to Aflatoxin. Indian J. Forensic Med. Toxicol. 2019, 13, 343. [Google Scholar]
- Hassan, R.A.; Eid, Y.Z.; Abu El-Hassan, E.A.; Farouk, Z.M.; Gorgy, M.A.; El-Gbaly, M.; Basuney, H.A. Ameliorative Impacts of Grape Seed Extract on Growth Performance, Immune Response, Antioxidant Capacity and Biochemical Constituents in Broilers Exposed to Fumonisin B1. Egypt. J. Nutr. Feed. 2023, 26, 179–192. [Google Scholar] [CrossRef]
- Aditya, S.; Ohh, S.J.; Ahammed, M.; Lohakare, J. Supplementation of grape pomace (Vitis vinifera) in broiler diets and its effect on growth performance, apparent total tract digestibility of nutrients, blood profile, and meat quality. Anim. Nutr. 2018, 4, 210–221. [Google Scholar] [CrossRef]
- Turcu, R.P.; Olteanu, M.; Criste, R.D.; Panaite, T.D.; Ropota˘, M.; Vlaicu, P.A.; Drăgotoiu, D. Grapeseed Meal Used as Natural Antioxidant in High Fatty Acid Diets for Hubbard broilers. Braz. J. Poult. Sci. 2019, 21, 1–11. [Google Scholar] [CrossRef]
- Erinle, T.J.; Oladokun, S.; MacIsaac, J.; Rathgeber, B.; Adewole, D. Dietary Grape Pomace–Effects on Growth Performance, Intestinal Health, Blood Parameters, and Breast Muscle Myopathies of Broiler Chickens. Poult. Sci. 2022, 101, 101519. [Google Scholar] [CrossRef]
- Madkour, M.; Abdel-Fattah, S.A.; Ali, S.I.; Ali, N.G.; Shourrap, M.; Hosny, M.; Elolimy, A.A. Impact of in ovo feeding of grape pomace extract on the growth performance, antioxidant status, and immune response of hatched broilers. Poult. Sci. 2024, 103, 103914. [Google Scholar] [CrossRef]
- Radić, K.; Vinković Vrček, I.; Pavičić, I.; Čepo, D.V. Cellular Antioxidant Activity of Olive Pomace Extracts: Impact of Gastrointestinal Digestion and Cyclodextrin Encapsulation. Molecules 2020, 25, 5027. [Google Scholar] [CrossRef]
- Herrero-Encinas, J.; Blanch, M.; Pastor, J.J.; Mereu, A.; Ipharraguerre, I.R.; Menoyo, D. Effects of a bioactive olive pomace extract from Olea europaea on growth performance, gut function, and intestinal microbiota in broiler chickens. Poult. Sci. 2020, 99, 2–10. [Google Scholar] [CrossRef]
- Martínez, G.; Diéguez, S.N.; Decundo, J.M.; Pérez Gaudio, D.S.; Romanelli, A.; Amanto, F.A.; Soraci, A.L. Effect of olive pomace extract on the gut health in weaned piglets. Proc. Natl. Acad. Sci. India Sect. B Biol. Sci. 2024, 94, 359–367. [Google Scholar] [CrossRef]
- EC. Directive 2002/32/EC of the European Parliament and of the Council. of 7 May 2002 on Undesirable Substances in Animal Feed; Number: 02002L0032-EN-019.006-1; Official Journal of the European Union: Brussels, Belgum, 2002. [Google Scholar]
- EC. Commission Recommendation of 17 August 2006 on the Presence of Deoxynivalenol, Zearalenone, Ochratoxin A, T-2 and HT-2 and Fumonisins in Products Intended for Animal Feeding; Official Journal of the European Union: Brussels, Belgum, 2006. [Google Scholar]
- Assaf, J.C. Aflatoxins-Occurrence, Detection and Novel Detoxification Strategies; Intech Open: Winchester, UK, 2002. [Google Scholar] [CrossRef]
- Murugesan, G.R.; Ledoux, D.R.; Naehrer, K.; Berthiller, F.; Applegate, T.J.; Grenier, B.; Phillips, T.D.; Schatzmayr, G. Prevalence and Effects of Mycotoxins on Poultry Health and Performance, and Recent Development in Mycotoxin Counteracting Strategies. Poult. Sci. 2015, 94, 1298–1315. [Google Scholar] [CrossRef]
- Awad, W.A.; Ghareeb, K.; Böhm, J. Mycotoxins in Poultry Nutrition: Effects on Growth Performance, Immune Response, and Gut Health. World’s Poult. Sci. J. 2020, 76, 533–546. [Google Scholar]
- Khan, M.Z.; Khan, F.A.; Khan, M.A. Impact of Dietary Mycotoxins on Poultry: A Review. J. Anim. Physiol. Anim. Nutr. 2021, 105, 1–11. [Google Scholar]
- Jafari, S.; Hossaini, A.; Forouzanfar, M. Effects of Aflatoxin B1 on Growth Performance, Nutrient Utilization, and Carcass Characteristics of Broilers. Poult. Sci. J. 2019, 7, 167–174. [Google Scholar]
- Chenlu Yang, H.W.; Han, Y.; Tian, X.; Sajid, M.; Mehmood, S.; Li, H. Phenolic Composition of Grape Pomace and Its Metabolism. Crit. Rev. Food Sci. Nutr. 2022, 64, 4865–4881. [Google Scholar] [CrossRef]
- Sinrod, A.J.G.; Shah, I.M.; Surek, E.; Barile, D. Uncovering the Promising Role of Grape Pomace as a Modulator of the Gut Microbiome: An In-Depth Review. Heliyon 2023, 9, e20499. [Google Scholar] [CrossRef] [PubMed]
- Giorni, P.; Bulla, G.; Leni, G.; Soldano, M.; Tacchini, M.; Guerrini, A.; Sacchetti, G.; Bertuzzi, T. Enhancement of Agri-Food By-Products: Green Extractions of Bioactive Molecules with Fungicidal Action Against Mycotoxigenic Fungi and Their Mycotoxins. Front. Nutr. 2023, 10, 1196812. [Google Scholar] [CrossRef] [PubMed]
- Baker, R.; Candresse, T.; Dormannsné Simon, E.; Gilioli, G.; Grégoire, J.-C.; John Jeger, M.; Evtimova Karadjova, O.; Lövei, G.; Makowski, D.; Manceau, C.; et al. Guidance on a Harmonised Framework for Pest Risk Assessment and the Identification and Evaluation of Pest Risk Management Options by EFSA. EFSA J. 2010, 8, 1495. [Google Scholar] [CrossRef]
- Khalil, M.; Shams, G.; Fadil, H.A.; Edrees, N.; Abonorag, M.; El-Sabbagh, N.; Ahmed, E.A. Ameliorative Effect of GSPE Against AFB1 Induced Immunotoxicity and Hepatotoxicity in Japanese Quail. Adv. Anim. Vet. Sci. 2022, 10, 712–954. [Google Scholar] [CrossRef]
- Marin, D.E.; Bulgaru, C.V.; Laurentiu, M.; Pistol, G.C.; Gras, M.A.; Taranu, I. Effect of the Grape Seed Meal Administration on Inflammation and Oxidative Stress in the Spleen of Piglets Fed Aflatoxin B1. Arch. Zootech. 2019, 22, 22–31. [Google Scholar]
- Marin, D.E.; Bulgaru, C.V.; Anghel, C.A.; Pistol, G.C.; Dore, M.I.; Palade, M.L.; Taranu, I. Grape Seed Waste Counteracts Aflatoxin B1 Toxicity in Piglet Mesenteric Lymph Nodes. Toxins 2020, 12, 800. [Google Scholar] [CrossRef]
- Madureira, J.; Margaça, F.M.A.; Santos-Buelga, C.; Ferreira, I.C.F.R.; Verde, S.C.; Barros, L. Applications of Bioactive Compounds Extracted from Olive Industry Wastes: A Review. Compr. Rev. Food Sci. Food Saf. 2021, 21, 453–476. [Google Scholar] [CrossRef]
- Madureira, J.; Gonçalves, I.; Cardoso, J.; Dias, M.I.; Santos, P.M.P.; Margaça, F.M.A.; Santos-Buelga, C.; Barros, L.; Cabo Verde, S. Effects of Electron Beam Radiation on the Phenolic Composition and Bioactive Properties of Olive Pomace Extracts. Antioxidants 2024, 13, 558. [Google Scholar] [CrossRef]
- Abdel-Razek, A.; Badr, A.; Shehata, M. Characterization of Olive Oil By-Products: Antioxidant Activity, Its Ability to Reduce Aflatoxigenic Fungi Hazard and Its Aflatoxins. Annu. Res. Rev. Biol. 2017, 14, 1–14. [Google Scholar] [CrossRef]
- Pereira, C.S.; Cunha, S.C.; Fernandes, J.O. Prevalent Mycotoxins in Animal Feed: Occurrence and Analytical Methods. Toxins 2019, 11, 290. [Google Scholar] [CrossRef]
- Crupi, R.; Palma, E.; Siracusa, R.; Fusco, R.; Gugliandolo, E.; Cordaro, M.; Impellizzeri, D.; Caro, C.; Calzetta, L.; Cuzzocrea, S. Protective Effect of Hydroxytyrosol Against Oxidative Stress Induced by the Ochratoxin in Kidney Cells: In Vitro and in Vivo Study. Front. Vet. Sci. 2020, 7, 136. [Google Scholar] [CrossRef]
- Bavaro, S.L.; D’Antuono, I.; Cozzi, G.; Haidukowski, M.; Cardinali, A.; Logrieco, A.F. Inhibition of Aflatoxin B1 Production by Verbascoside and Other Olive Polyphenols. World Mycotoxin J. 2016, 9, 545–554. [Google Scholar] [CrossRef]
- Deng, Y.; Qiu, M.; Wang, Y.; Wang, R.; Lu, P.; Sun, L.; Li, X.; Gooneratne, R. Protective Effect of Antioxidant-Enriched Diets on T-2-Toxin-Induced Damage in Tilapia (Oreochromis niloticus). Aquaculture 2019, 506, 341–349. [Google Scholar] [CrossRef]
- El-Nezami, H.; Polychronaki, N.; Salminen, S. The effects of mycotoxins on poultry: A review. Toxicol. Lett. 2019, 300, 1–7. [Google Scholar]
- Kumar, R.; Sharma, R.K.; Thakur, M. Role of Antioxidant Enzymes in Poultry Health. Vet. Res. Commun. 2020, 44, 123–134. [Google Scholar]
- Baird, L.; Yamamoto, M. The Molecular Mechanisms Regulating the KEAP1-NRF2 pathway. Free Radic. Biol. Med. 2020, 88, 108–117. [Google Scholar] [CrossRef]
- Smith, M.C.; Gibbons, C.R.; Davis, C.R. The Role of Antioxidant Supplementation in Poultry: Effects on Oxidative Stress and Performance. Poult. Sci. 2021, 100, 1793–1801. [Google Scholar]





| Nutrients (g/100 g as Fed) | Standard Diet | Contaminated Diet | ||
|---|---|---|---|---|
| Without LAS | With LAS | Without LAS | With LAS | |
| Starter (1–10 d) | ||||
| Dry matter | 88.75 | 89.02 | 88.95 | 89.10 |
| Organic matter | 95.75 | 95.26 | 95.14 | 95.28 |
| Crude protein | 23.27 | 23.38 | 23.44 | 23.29 |
| Ether extract | 3.61 | 3.38 | 3.49 | 3.58 |
| Crude fiber | 3.91 | 3.95 | 3.89 | 3.87 |
| Calcium | 0.885 | 0.879 | 0.865 | 0.881 |
| Total phosphorus | 0.628 | 0.641 | 0.639 | 0.655 |
| Aflatoxins μg/kg ** | 2.3 | - | 76.2 | - |
| Fumonisins μg/kg ** | 716.6 | - | 1602.2 | - |
| Ochratoxin A μg/kg ** | 6.2 | - | 57.8 | - |
| Grower (11–24 d) | ||||
| Dry matter | 88.82 | 88.8 | 88.84 | 88.78 |
| Organic matter | 95.45 | 95.67 | 95.53 | 95.55 |
| Crude protein | 20.54 | 20.62 | 20.58 | 20.37 |
| Ether extract | 4.15 | 4.11 | 4.05 | 4.11 |
| Crude fibre | 2.85 | 2.88 | 2.79 | 2.68 |
| Calcium | 0.757 | 0.748 | 0.777 | 0.755 |
| Total Phosphorus | 0.576 | 0.542 | 0.557 | 0.542 |
| Aflatoxins μg/kg ** | 3.2 | - | 83.1 | - |
| Fumonisins μg/kg ** | 1000.2 | - | 1600.2 | - |
| Ochratoxin A μg/kg ** | 12.2 | - | 54.3 | - |
| Finisher (25–42 d) | ||||
| Dry matter | 89.05 | 88.92 | 89.09 | 88.88 |
| Organic matter | 95.99 | 96.25 | 96.18 | 96.37 |
| Crude protein | 19.68 | 19.75 | 19.56 | 19.76 |
| Ether extract | 5.78 | 5.82 | 5.75 | 5.66 |
| Crude fiber | 2.57 | 2.39 | 2.38 | 2.25 |
| Calcium | 0.657 | 0.628 | 0.644 | 0.628 |
| Total Phosphorus | 0.505 | 0.522 | 0.508 | 0.505 |
| Aflatoxins μg/kg ** | 4.2 | - | 79.4 | - |
| Fumonisins μg/kg ** | 850.3 | - | 1702.1 | - |
| Ochratoxin A μg/kg ** | 10.2 | - | 54.2 | - |
| Attributes | Standard Diet | Contaminated Diet | Pooled | Main Effects-P | Interaction-P | |||
|---|---|---|---|---|---|---|---|---|
| Without LAS | With LAS | Without LAS | With LAS | SEM | Contamination | LAS | Contamination*LAS | |
| Body Weight (g) | ||||||||
| 0 d | 44.5 | 44.8 | 44.5 | 44.7 | 0.15 | 0.755 | 0.105 | 0.755 |
| 10 d | 318.9 ab | 326.8 ab | 315.4 a | 330.5 b | 6.96 * | 0.984 | 0.003 | 0.298 |
| 24 d | 1267.2 ab | 1305.3 b | 1218.1 a | 1279.9 b | 36.62 ** | 0.022 | 0.003 | 0.437 |
| 42 d | 2647.1 c | 2669.2 c | 2372.7 a | 2494.3 b | 139.2 * | <0.0001 | 0.011 | 0.067 |
| Average Daily Gain (g) | ||||||||
| 1–10 d | 27.43 ab | 28.21 ab | 27.09 a | 28.59 b | 0.69 * | 0.961 | 0.003 | 0.297 |
| 11–24 d | 67.74 ab | 69.89 b | 64.48 a | 67.81 ab | 2.24 ** | 0.014 | 0.012 | 0.558 |
| 25–42 d | 76.66 b | 75.78 b | 64.14 a | 67.47 a | 6.17 * | <0.0001 | 0.435 | 0.184 |
| 1–42 d | 61.97 c | 62.49 c | 55.43 a | 58.33 b | 3.31 * | <0.0001 | 0.011 | 0.067 |
| Feed Intake (g) | ||||||||
| 1–10 d | 296.9 ab | 306.2 b | 296.6 a | 311.8 c | 7.43 * | 0.459 | 0.002 | 0.41 |
| 11–24 d | 1238.7 b | 1263.8 c | 1223.7 a | 1262.2 bc | 19.37 | 0.611 | 0.062 | 0.679 |
| 25–42 d | 2524.8 c | 2472.1 bc | 2348.9 b | 2290.2 a | 108.16 ** | 0.001 | 0.253 | 0.95 |
| 1–42 d | 4060.4 bc | 4042.1 c | 3869.2 b | 3864.3 a | 106.79 ** | 0.0005 | 0.797 | 0.883 |
| Average Daily Feed Intake (g) | ||||||||
| 1–10 d | 29.69 a | 30.62 ab | 29.66 a | 31.18 b | 0.74 * | 0.459 | 0.002 | 0.41 |
| 11–24 d | 88.48 b | 90.27 c | 87.41 a | 90.16 bc | 1.38 | 0.611 | 0.062 | 0.679 |
| 25–42 d | 140.26 ab | 137.34 ab | 130.5 a | 127.23 a | 6.01 ** | 0.001 | 0.253 | 0.95 |
| 1–42 d | 96.68 b | 96.24 b | 92.12 a | 92.01 a | 2.54 ** | 0.001 | 0.797 | 0.883 |
| Feed Conversion Ratio | ||||||||
| 1–10 d | 1.083 | 1.086 | 1.095 | 1.091 | 0.003 | 0.103 | 0.915 | 0.511 |
| 11–24 d | 1.307 ab | 1.292 a | 1.356 b | 1.33 ab | 0.009 * | 0.008 | 0.185 | 0.719 |
| 25–42 d | 1.831 a | 1.814 a | 2.04 b | 1.885 a | 0.024 *** | 0.001 | 0.014 | 0.045 |
| 1–42 d | 1.56 a | 1.54 a | 1.663 b | 1.577 a | 0.012 *** | <0.0001 | 0.001 | 0.02 |
| Liveability (%) | 95.8 | 98.6 | 93.1 | 97.2 | 2.37 | 0.359 | 0.133 | 0.757 |
| EPI | 387.2 b | 407.1 c | 317.4 a | 366.1 b | 38.52 *** | <0.0001 | 0.006 | 0.206 |
| Attributes | Non-Contaminated Feed | Contaminated Feed | Pooled SEM | Main Effect-P | Interaction-P | |||
|---|---|---|---|---|---|---|---|---|
| Without LAS | With LAS | Without LAS | With LAS | Contamination | LAS | Contamination*LAS | ||
| Absolute weights g | ||||||||
| Dressed carcass weight | 1862.2 | 1898.8 | 1874.0 | 1859.5 | 17.91 | 0.729 | 0.78 | 0.52 |
| Liver | 57.17 | 52.5 | 52.17 | 53.92 | 2.28 | 0.57 | 0.644 | 0.314 |
| Heart | 8.25 | 8.5 | 9.67 | 8.5 | 0.64 | 0.309 | 0.507 | 0.309 |
| Gizzard | 22.67 | 23.17 | 23.75 | 24.92 | 0.96 | 0.355 | 0.583 | 0.826 |
| Giblets | 88.08 | 84.17 | 85.58 | 87.33 | 1.76 | 0.932 | 0.781 | 0.469 |
| Abdominal fat | 42.33 | 39.75 | 42.42 | 45.83 | 2.49 | 0.501 | 0.927 | 0.513 |
| Breast | 618.92 | 661.5 | 621.58 | 617.75 | 21.1 | 0.239 | 0.266 | 0.186 |
| Drumstick | 217.5 ab | 227.0 b | 214.4 a | 234.7 c | 9.26 * | 0.671 | 0.012 | 0.329 |
| Thighs | 254.9 | 258.5 | 262.4 | 271.8 | 7.27 | 0.203 | 0.416 | 0.719 |
| Relative weight g/kg live weight | ||||||||
| Dressing yield | 748.3 | 758.9 | 742.7 | 746.3 | 6.93 | 0.269 | 0.386 | 0.669 |
| Liver | 23.01 c | 20.99 ab | 20.7 a | 21.65 b | 1.02 * | 0.522 | 0.679 | 0.257 |
| Heart | 3.32 a | 3.41 b | 3.86 c | 3.42 b | 0.24 * | 0.371 | 0.558 | 0.379 |
| Gizzard | 9.13 a | 9.28 ab | 9.43 b | 10.02 c | 0.38 ** | 0.431 | 0.567 | 0.732 |
| Giblets | 35.47 c | 33.69 a | 33.99 ab | 35.09 b | 0.85 * | 0.98 | 0.84 | 0.397 |
| Abdominal fat | 16.97 b | 15.78 a | 16.73 ab | 18.43 c | 1.09 * | 0.481 | 0.881 | 0.398 |
| Breast | 248.7 b | 264.67 c | 246.52 a | 247.79 ab | 8.55 * | 0.104 | 0.139 | 0.204 |
| Drumstick | 87.44 ab | 90.75 b | 85.03 a | 94.29 c | 4.03 * | 0.763 | 0.003 | 0.128 |
| Thighs | 102.42 a | 103.33 ab | 103.92 b | 109.1 c | 3.02 ** | 0.123 | 0.192 | 0.355 |
| Attributes | Non-Contaminated Feed | Contaminated Feed | Pooled SEM | Main Effect-P | Interaction-P | |||
|---|---|---|---|---|---|---|---|---|
| Without LAS | With LAS | Without LAS | With LAS | Contamination | LAS | Contamination*LAS | ||
| GSH-Px (u/L) | ||||||||
| 10 d | 1.99 | 2.12 | 1.92 | 2.26 | 0.099 | 0.87 | 0.254 | 0.61 |
| 24 d | 1.79 | 2.03 | 1.87 | 2.20 | 0.084 | 0.458 | 0.104 | 0.806 |
| SOD (u/L) | ||||||||
| 10 d | 61.72 | 52.64 | 64.36 | 63.40 | 2.58 | 0.205 | 0.338 | 0.438 |
| 24 d | 92.41 c | 56.98 a | 77.07 b | 113.28 d | 4.74 *** | 0.001 | 0.928 | 0.001 |
| ALP (μKat/L) | ||||||||
| 10 d | 1408.1 | 1778.6 | 2198.9 | 1652.0 | 181.4 | 0.377 | 0.813 | 0.226 |
| 24 d | 628.3 | 755.0 | 838.4 | 836.6 | 54.07 | 0.198 | 0.574 | 0.564 |
| AST (μKat/L) | ||||||||
| 10 d | 2.99 a | 3.34 ab | 3.53 ab | 3.65 b | 0.1 * | 0.034 | 0.22 | 0.52 |
| 24 d | 3.87 | 4.80 | 3.83 | 4.30 | 0.25 | 0.594 | 0.174 | 0.644 |
| ALT (μKat/L) | ||||||||
| 10 d | 0.114 | 0.113 | 0.118 | 0.114 | 0.003 | 0.657 | 0.657 | 0.781 |
| 24 d | 0.109 | 0.126 | 0.114 | 0.126 | 0.004 | 0.777 | 0.12 | 0.763 |
| γ-GT (μKat/L) | ||||||||
| 10 d | 0.149 | 0.142 | 0.157 | 0.161 | 0.004 | 0.076 | 0.853 | 0.481 |
| 24 d | 0.163 a | 0.223 ab | 0.263 b | 0.244 b | 0.013 * | 0.01 | 0.349 | 0.077 |
| Ingredients (g/kg) | Standard Diet | Contaminated Diet | ||||
|---|---|---|---|---|---|---|
| Starter | Grower | Finisher | Starter | Grower | Finisher | |
| Maize–standard | 588.0 | 642.1 | 673.47 | 187.0 | 241.1 | 273.47 |
| Maize–contaminated 1 | - | - | - | 400.0 | 400.0 | 400.0 |
| Soybean meal 2 | 220.6 | 174.3 | 147.0 | 175.6 | 129.3 | 102.0 |
| Full fat soybean | 60.0 | 60.0 | 60.0 | 60.0 | 60.0 | 60.0 |
| Maize gluten meal–standard | 40.0 | 40.0 | 40.0 | - | - | - |
| Maize gluten meal–contaminated 3 | - | - | - | 55.0 | 55.0 | 55.0 |
| Groundnut cake 4 | - | - | - | 70.0 | 70.0 | 70.0 |
| De-Oiled rape Seed meal | 40.0 | 40.0 | 40.0 | - | - | - |
| Soybean oil | 8.4 | 9.4 | 10.8 | 8.4 | 9.4 | 10.8 |
| Mono calcium phosphate | 16.9 | 11.8 | 7.87 | 16.9 | 11.8 | 7.64 |
| Limestone powder | 8.1 | 6.0 | 5.98 | 8.0 | 6.1 | 5.58 |
| DL-Methionine | 3.2 | 2.8 | 2.41 | 3.2 | 2.8 | 2.41 |
| L-Lysine HCl | 4.0 | 3.7 | 3.29 | 4.3 | 4.0 | 3.5 |
| L-Threonine | 1.5 | 1.2 | 0.86 | 1.8 | 1.5 | 1.0 |
| L-Arginine | 1.0 | 1.05 | 0.82 | 1.3 | 1.2 | 1.0 |
| L-Valine | 0.5 | 0.45 | 0.4 | 0.7 | 0.6 | 0.5 |
| Salt | 2.4 | 2.1 | 2.0 | 2.4 | 2.1 | 2.0 |
| Sodium-bi-carbonate | 2.3 | 2.0 | 2.0 | 2.3 | 2.0 | 2.0 |
| Vitamin premix 5 | 1.0 | 1.0 | 1.0 | 1.0 | 1.0 | 1.0 |
| Trace minerals 6 | 0.5 | 0.5 | 0.5 | 0.5 | 0.5 | 0.5 |
| Salinomycin 12% | 0.5 | 0.5 | 0.5 | 0.5 | 0.5 | 0.5 |
| Phytase 7 | 0.1 | 0.1 | 0.1 | 0.1 | 0.1 | 0.1 |
| Choline chloride 60% | 1.0 | 1.0 | 1.0 | 1.0 | 1.0 | 1.0 |
| AME kcal/kg | 2975 | 3050 | 3100 | 2975 | 3050 | 3100 |
| Crude protein | 22.27 | 20.100 | 19.000 | 22.27 | 20.100 | 19.000 |
| Calcium | 0.857 | 0.674 | 0.604 | 0.857 | 0.674 | 0.604 |
| Available phosphorus | 0.50 | 0.42 | 0.36 | 0.50 | 0.42 | 0.36 |
| SID Amino acids | ||||||
| Lysine | 1.32 | 1.18 | 1.08 | 1.32 | 1.18 | 1.08 |
| Methionine | 0.655 | 0.593 | 0.544 | 0.655 | 0.593 | 0.544 |
| Met + Cys | 1.05 | 0.92 | 0.90 | 1.05 | 0.92 | 0.90 |
| Threonine | 0.88 | 0.79 | 0.72 | 0.88 | 0.79 | 0.72 |
| Tryptophan | 0.24 | 0.21 | 0.2 | 0.24 | 0.21 | 0.2 |
| Arginine | 1.4 | 1.27 | 1.27 | 1.4 | 1.27 | 1.27 |
| Isoleucine | 0.88 | 0.8 | 0.753 | 0.88 | 0.8 | 0.753 |
| Valine | 0.96 | 0.91 | 0.84 | 0.96 | 0.91 | 0.84 |
| Leucine | 1.83 | 1.718 | 1.65 | 1.83 | 1.718 | 1.65 |
| Histidine | 0.52 | 0.47 | 0.443 | 0.52 | 0.47 | 0.443 |
| Phenylalanine | 1.0 | 0.918 | 0.867 | 1.0 | 0.918 | 0.867 |
| Glycine | 0.56 | 0.534 | 0.424 | 0.56 | 0.534 | 0.424 |
| Serine | 0.7 | 0.627 | 0.49 | 0.7 | 0.627 | 0.49 |
| Sodium | 0.22 | 0.2 | 0.2 | 0.22 | 0.2 | 0.2 |
| Chloride | 0.2 | 0.18 | 0.18 | 0.2 | 0.18 | 0.18 |
| Potassium | 0.88 | 0.85 | 0.754 | 0.88 | 0.85 | 0.754 |
| Linoleic acid | 2.0 | >2 | >2 | 2.0 | >2 | >2 |
| Choline mg/kg | 1700 | 1600 | 1500 | 1700 | 1600 | 1500 |
| Oligo | Forward Primer (5′-3′) | Reverse Primer (3′-5′) | Size (bp) | Accession |
|---|---|---|---|---|
| NRF-2 | AGAAAACGCTGAACCACCAATC | GCTGGGTGGCTGAGTTTGATTA | 217 | NM_205117.1 |
| EPHX1 | GAAGATGTCAGGCGGATGTT | CAGGAGAGTCATTCAAACCACA | 127 | XM_419386.5 |
| GAPDH | GCAGATGCAGGTGCTGAGTA | GACACCCATCACAAACATGG | 144 | NM_204305.1 |
Disclaimer/Publisher’s Note: The statements, opinions and data contained in all publications are solely those of the individual author(s) and contributor(s) and not of MDPI and/or the editor(s). MDPI and/or the editor(s) disclaim responsibility for any injury to people or property resulting from any ideas, methods, instructions or products referred to in the content. |
© 2025 by the authors. Licensee MDPI, Basel, Switzerland. This article is an open access article distributed under the terms and conditions of the Creative Commons Attribution (CC BY) license (https://creativecommons.org/licenses/by/4.0/).
Share and Cite
Arora, S.S.; Debnath, A.; Dhara, A.K.; Haldar, S.; Codina Moreno, R.; Riahi, I. The Efficacy of a Novel Water-Soluble Anti-Mycotoxin Solution in Improving Broiler Chicken Performance Under Mycotoxin Challenge. Toxins 2025, 17, 212. https://doi.org/10.3390/toxins17050212
Arora SS, Debnath A, Dhara AK, Haldar S, Codina Moreno R, Riahi I. The Efficacy of a Novel Water-Soluble Anti-Mycotoxin Solution in Improving Broiler Chicken Performance Under Mycotoxin Challenge. Toxins. 2025; 17(5):212. https://doi.org/10.3390/toxins17050212
Chicago/Turabian StyleArora, Sayantani Sihi, Anusuya Debnath, Amrita Kumar Dhara, Sudipto Haldar, Raquel Codina Moreno, and Insaf Riahi. 2025. "The Efficacy of a Novel Water-Soluble Anti-Mycotoxin Solution in Improving Broiler Chicken Performance Under Mycotoxin Challenge" Toxins 17, no. 5: 212. https://doi.org/10.3390/toxins17050212
APA StyleArora, S. S., Debnath, A., Dhara, A. K., Haldar, S., Codina Moreno, R., & Riahi, I. (2025). The Efficacy of a Novel Water-Soluble Anti-Mycotoxin Solution in Improving Broiler Chicken Performance Under Mycotoxin Challenge. Toxins, 17(5), 212. https://doi.org/10.3390/toxins17050212

