Apoptotic Effect of Combinations of T-2, HT-2, and Diacetoxyscirpenol on Human Jurkat T Cells
Abstract
1. Introduction
2. Results
2.1. Comparative Cytotoxicity of T-2, HT-2, and DAS on Human Jurkat T Cells
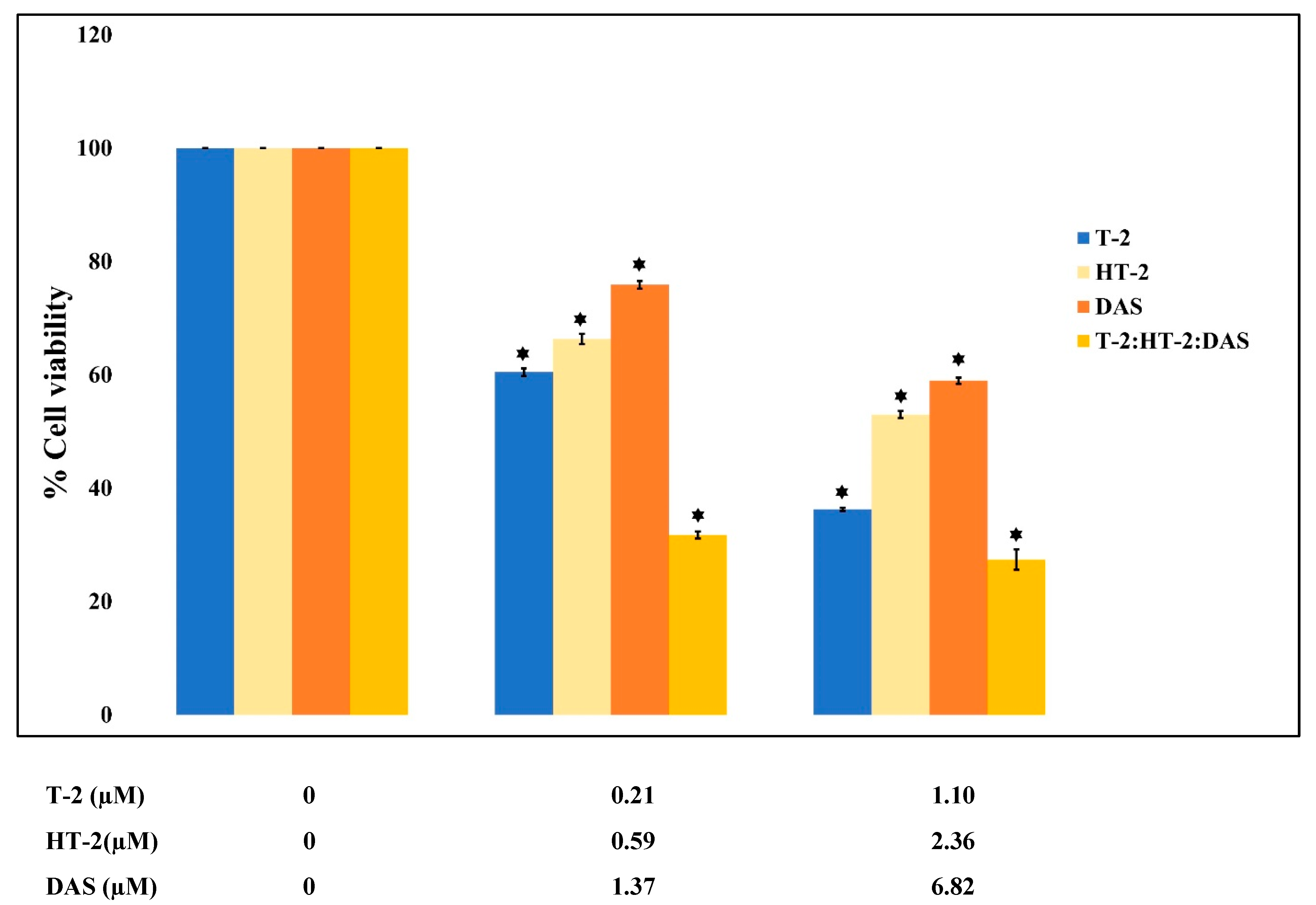
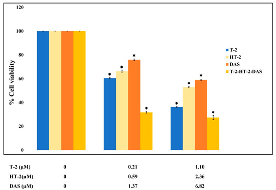
2.2. Combined Cytotoxic Effects of T-2, HT-2, and DAS on Human Jurkat T Cells
2.3. Analysis of Interaction of T-2, HT-2, and DAS When Applied as Mixtures
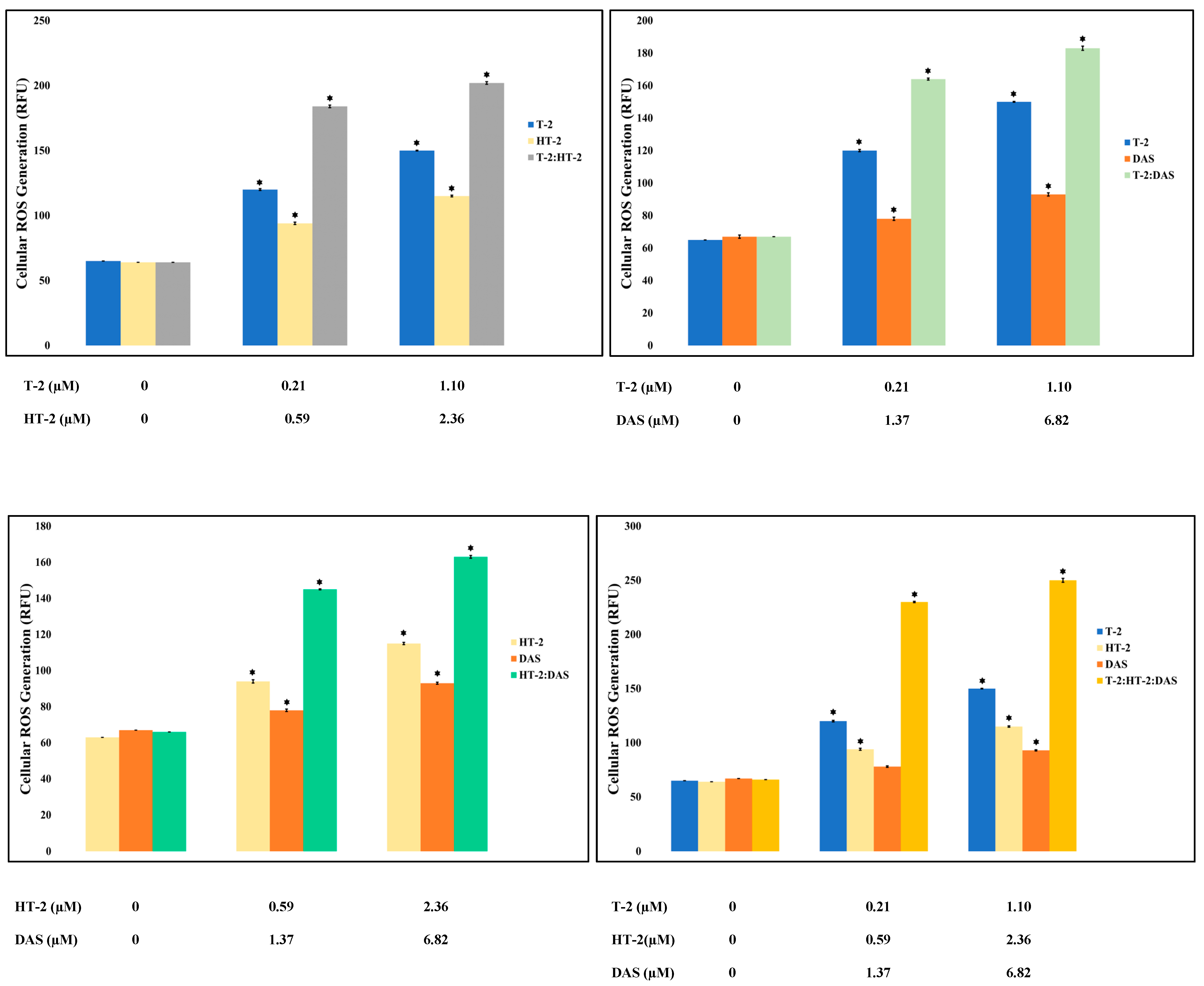
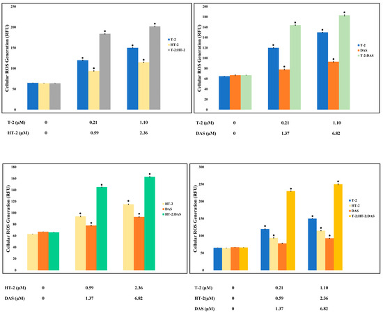
2.4. Effects of T-2, HT-2, and DAS and Their Combinations on Cellular Oxidative Stress
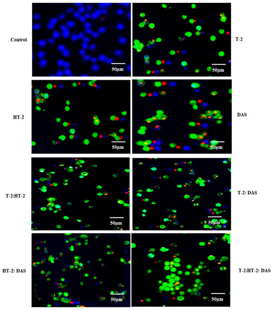
2.5. Determination of Apoptotic Cells Using Fluorescence Microscopy Exposed to Combined Mycotoxins
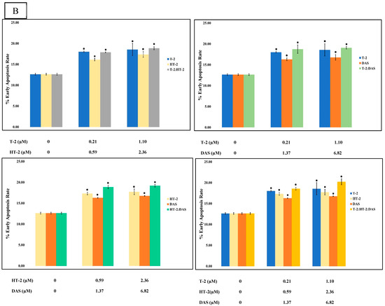
2.6. Detection of Apoptotic Rate Using Flow Cytometer of Human Jurkat T Cells Exposed to Combinations of T-2, HT-2, and DAS
3. Discussion
4. Conclusions
5. Materials and Methods
5.1. Chemicals and Reagents
5.2. Cell Culture and Treatments
5.3. Evaluation of Cytotoxic Effects
5.4. Identification of Apoptotic Cells Through Fluorescence Microscopy and Flow Cytometric Analysis
5.5. Experimental Design and Assessment of Effect of Mycotoxin Combinations
5.5.1. Experimental Design
5.5.2. Assessment of Cytotoxic Effects of Mycotoxin Mixtures
5.5.3. Analysis of Results
5.6. Measurement of Intracellular Reactive Oxygen Species
5.7. Evaluation of Apoptosis Assays
5.8. Statistical Analysis
Supplementary Materials
Author Contributions
Funding
Institutional Review Board Statement
Informed Consent Statement
Data Availability Statement
Conflicts of Interest
References
- Bennett, J.W.; Klich, M. Mycotoxins. Clin. Microbiol. Rev. 2003, 16, 497–516. [Google Scholar] [CrossRef] [PubMed]
- Payros, D.; Garofalo, M.; Pierron, A.; Soler-Vasco, L.; Al-Ayoubi, C.; Maruo, V.M.; Alassane-Kpembi, I.; Pinton, P.; Oswald, I.P. Mycotoxins in human food: A challenge for research. Cah. Nutr. Diet. 2021, 56, 170–183. [Google Scholar] [CrossRef]
- Escrivá, L.; Font, G.; Manyes, L. Oxidative stress in immune cells exposed to mycotoxins. Toxicology 2015, 335, 65–71. [Google Scholar]
- Wang, J.; Zhang, M.; Yang, J.; Yang, X.; Zhang, J.; Zhao, Z. Type A trichothecene metabolic profile differentiation, mechanisms, biosynthetic pathways, and evolution in Fusarium Species—A Mini Review. Toxins 2023, 15, 446. [Google Scholar] [CrossRef]
- Huang, D.; Cui, L.; Dai, M.; Wang, X.; Wu, Q.; Hussain, H.I.; Yuan, Z. Mitochondrion: A new molecular target and potential treatment strategies against trichothecenes: A review. Trends. Food. Sci. 2019, 88, 33–45. [Google Scholar] [CrossRef]
- Ji, F.; He, D.; Olaniran, A.O.; Mokoena, M.P.; Xu, J.; Shi, J. Occurrence, toxicity, production and detection of Fusarium mycotoxin: A review. Food Prod. Process Nutr. 2019, 1, 6. [Google Scholar] [CrossRef]
- Polak-Śliwińska, M.; Paszczyk, B. Trichothecenes in Food and Feed, Relevance to Human and Animal Health and Methods of Detection: A Systematic Review. Molecules 2021, 26, 454. [Google Scholar] [CrossRef]
- Janik-Karpinska, E.; Ceremuga, M.; Niemcewicz, M.; Synowiec, E.; Sliwiński, T.; Bijak, M. Mitochondrial damage induced by T-2 mycotoxin on human skin-fibroblast Hs68 cell line. Molecules 2023, 28, 2408. [Google Scholar] [CrossRef]
- Yu, F.-f.; Yu, S.-y.; Sun, L.; Zuo, J.; Luo, K.-t.; Wang, M.; Fu, X.-l.; Zhang, F.; Huang, H.; Zhou, G.-y.; et al. T-2 toxin induces mitochondrial dysfunction in chondrocytes via the p53-cyclophilin D pathway. J. Hazard. Mater. 2024, 465, 133090. [Google Scholar] [CrossRef]
- Carrasco-Padilla, C.; Aguilar-Sopeña, O.; Gómez-Morón, A.; Alegre-Gómez, S.; Sánchez-Madrid, F.; Martín-Cófreces, N.B.; Roda-Navarro, P. T cell activation and effector function in the human Jurkat T cell model. Methods Cell Biol. 2023, 178, 25–41. [Google Scholar]
- Meneely, J.; Greer, B.; Kolawole, O.; Elliott, C. T-2 and HT-2 Toxins: Toxicity, Occurrence and Analysis: A Review. Toxins 2023, 15, 481. [Google Scholar] [CrossRef]
- JECFA. Evaluation of Certain Contaminants in Food: Ninety-Third Report of the Joint FAO/WHO Expert Committee on Food Additives. In WHO Technical Report Series; World Health Organization: Geneva, Switzerland, 2023; No.1040; ISSN 0512-3054. [Google Scholar]
- Garofalo, M.; Payros, D.; Penary, M.; Oswald, E.; Nougayrède, J.P.; Oswald, I.P. A novel toxic effect of foodborne trichothecenes: The exacerbation of genotoxicity. Environ. Pollut 2023, 15, 120625. [Google Scholar] [CrossRef] [PubMed]
- Wojtacha, P.; Trybowski, W.; Podlasz, P.; Żmigrodzka, M.; Tyburski, J.; Polak-Śliwińska, M.; Jakimiuk, E.; Bakuła, T.; Baranowski, M.; Żuk-Gołaszewska, K.; et al. Effects of a low dose of T-2 toxin on the percentage of T and B lymphocytes and cytokine secretion in the porcine ileal wall. Toxins 2021, 13, 277. [Google Scholar] [CrossRef] [PubMed]
- Ahmed Adam, M.A.; Tabana, Y.M.; Musa, K.B.; Sandai, D.A. Effects of different mycotoxins on humans, cell genome and their involvement in cancer (Review). Oncol. Rep. 2017, 37, 1321–1336. [Google Scholar] [CrossRef] [PubMed]
- Pierzgalski, A.; Bryła, M.; Kanabus, J.; Modrzewska, M.; Podolska, G. Updated review of the toxicity of selected Fusarium Toxins and their modified forms. Toxins 2021, 13, 768. [Google Scholar] [CrossRef]
- Alexander, N.J.; Proctor, R.H.; McCormick, S.P. Genes, gene clusters, and biosynthesis of trichothecenes and fumonisins in Fusarium. Toxin Rev. 2009, 28, 198–215. [Google Scholar] [CrossRef]
- Alassane-Kpembi, I.; Puel, O.; Oswald, I.P. Toxicological interactions between the mycotoxins deoxynivalenol, nivalenol and their acetylated derivatives in intestinal epithelial cells. Arch. Toxicol. 2015, 89, 1337–1346. [Google Scholar] [CrossRef]
- Alassane-Kpembi, I.; Puel, O.; Pinton, P.; Cossalter, A.M.; Chou, T.C.; Oswald, I.P. Co-exposure to low doses of the food contaminants deoxynivalenol and nivalenol has a synergistic inflammatory effect on intestinal explants. Arch. Toxicol. 2017, 91, 2677–2687. [Google Scholar] [CrossRef]
- Vörösházi, J.; Neogrády, Z.; Mátis, G.; Mackei, M. Pathological consequences, metabolism and toxic effects of trichothecene T-2 toxin in poultry. Poult. Sci. 2024, 103, 103471. [Google Scholar] [CrossRef]
- Weidner, M.; Hüwel, S.; Ebert, F.; Schwerdtle, T.; Galla, H.J.; Humpf, H.U. Influence of T-2 and HT-2 Toxin on the Blood-Brain Barrier In Vitro: New experimental hints for neurotoxic effects. PLoS ONE 2013, 8, e60484. [Google Scholar] [CrossRef]
- Wu, Y.; Li, W.; Song, C. Mitigation of oxidative damage in T-2 toxin-exposed cells using antioxidants. Toxicon 2020, 181, 49–57. [Google Scholar]
- Choi, E.-H.; Kim, M.-H.; Park, S.-J. Targeting mitochondrial dysfunction and reactive oxygen species for neurodegenerative disease treatment. Int. J. Mol. Sci. 2024, 25, 7952. [Google Scholar] [CrossRef] [PubMed]
- Yun, C.L.; Shu, Y.L.; Fan, B.M.; Shu, H.X.; Jing, Q.; Yong, Z.Q.; Yan, Y.X.; Yun, L. Comparative transcriptome analysis to investigate the immunotoxicity mechanism triggered by dimethomorph on Human Jurkat T cell lines. Foods. 2022, 11, 3848. [Google Scholar]
- Bondy, G.S.; Pestka, J.J. Immunomodulation by fungal toxins. J. Toxicol. Environ. Health B Crit. Rev. 2000, 3, 109–143. [Google Scholar]
- Wan, L.Y.; Turner, P.C.; El-Nezami, H. Individual and combined cytotoxic effects of Fusarium toxins DON and T-2 on human colorectal adenocarcinoma cells. Toxicol. Lett. 2013, 220, 238–246. [Google Scholar] [CrossRef]
- Wattanasuntorn, P.; Phuektes, P.; Poapolathep, S.; Mimapan, S.; Tattiyapong, M.; Fink-Gremmels, J.; Oswald, I.P.; Poapolathep, A. Individual cytotoxicity of three major type A trichothecene, T-2, HT-2, and diacetoxyscirpenol in human Jurkat T cells. Toxicon 2024, 28, 107718. [Google Scholar] [CrossRef]
- Seeboth, J.; Solinhac, R.; Oswald, I.P.; Guzylack-Piriou, L. The fungal T-2 toxin alters the activation of primary macrophages induced by TLR-agonists resulting in a decrease of the inflammatory response in the pig. Vet. Res. 2012, 43, 35. [Google Scholar] [CrossRef]
- Kolf-Clauw, M.; Sassahara, M.; Lucioli, J.; Rubira-Gerez, J.; Alassane-Kpembi, I.; Lyazhri, F.; Borin, C.; Oswald, I.P. The emerging mycotoxin, enniatin B1, down-modulates the gastrointestinal toxicity of T-2 toxin in vitro on intestinal epithelial cells and ex vivo on intestinal explants. Arch. Toxicol. 2013, 87, 2233–2241. [Google Scholar] [CrossRef]
- European Commission, Health & Consumer Protection Directorate-General. Opinion of the Scientific Committee on Food on Fusarium Toxins. Part 5: T-2 Toxin and HT-2 Toxin. 2001. Available online: https://ec.europa.eu/food/fs/sc/scf/out88_en.pdf (accessed on 13 March 2025).
- Königs, M.; Mulac, D.; Schwerdt, G.; Gekle, M.; Humpf, H.U. Metabolism and cytotoxic effects of T-2 toxin and its metabolites on human cells in primary culture. Toxicology 2009, 258, 106–115. [Google Scholar] [CrossRef]
- Xu, J.; Zhao, Z.; Guo, W.; Ling, A.; Wang, J.; Wang, X.; Yang, J. Potential role of individual and combined effects of T-2 toxin, HT-2 toxin and neosolaniol on the apoptosis of porcine leydig cells. Toxins 2022, 14, 145. [Google Scholar] [CrossRef]
- Jun, D.Y.; Kim, J.S.; Park, H.S.; Song, W.H.; Bae, Y.S.; Kim, Y.S. Cytotoxicity of diacetoxyscirpenol is associated with apoptosis by activation of caspase-8 and interruption of cell cycle progression by down-regulation of cdk4 and cyclin B1 in human Jurkat T cells. Toxicol. Appl. Pharmacol. 2007, 222, 190–201. [Google Scholar] [CrossRef] [PubMed]
- Chou, T.C. The combination index (CI < 1) as the definition of synergism and of synergy claims. Synergy 2018, 7, 49–50. [Google Scholar]
- Awuchi, C.G.; Ondari, E.N.; Ogbonna, C.U.; Upadhyay, A.K.; Baran, K.; Okpala, C.O.R.; Korzeniowska, M.; Guiné, R.P.F. Mycotoxins affecting animals, foods, humans, and plants: Types, occurrence, toxicities, action mechanisms, prevention, and detoxification strategies—A Revisit. Foods 2021, 10, 1279. [Google Scholar] [CrossRef] [PubMed]
- He, W.; Wang, J.; Han, M.; Wang, L.; Li, L.; Zhang, J.; Chen, S.; Guo, J.; Zhai, X.; Yang, J. Potential Toxicity and Mechanisms of T-2 and HT-2 Individually or in Combination on the Intestinal Barrier Function of Porcine Small Intestinal Epithelial Cells. Toxins 2023, 15, 682. [Google Scholar] [CrossRef]
- Skrzydlewski, P.; Twarużek, M.; Grajewski, J. Cytotoxicity of Mycotoxins and Their Combinations on Different Cell Lines: A Review. Toxins 2022, 14, 244. [Google Scholar] [CrossRef]
- Yang, L.; Tu, D.; Zhao, Z.; Cui, J. Cytotoxicity and apoptosis induced by mixed mycotoxins (T-2 and HT-2 toxin) on primary hepatocytes of broilers in vitro. Toxicon. 2017, 129, 1–10. [Google Scholar] [CrossRef]
- Mustafa, M.; Ahmad, R.; Tantry, I.Q.; Ahmad, W.; Siddiqui, S.; Alam, M.; Abbas, K.; Moinuddin Hassan, M.I.; Habib, S.; Islam, S. Apoptosis: A Comprehensive overview of signaling pathways, morphological changes, and physiological significance and therapeutic implications. Cells 2024, 13, 1838. [Google Scholar] [CrossRef]
- Xu, W.; Wang, X.; Tu, Y.; Masaki, H.; Tanaka, S.; Onda, K.; Sugiyama, K.; Yamada, H.; Hirano, T. Tetrandrine and cepharanthine induce apoptosis through caspase cascade regulation, cell cycle arrest, MAPK activation and PI3K/Akt/mTOR signal modification in glucocorticoid resistant human leukemia Jurkat T cells. Chem. Biol. Interact 2019, 310, 108726. [Google Scholar] [CrossRef]
- Brown, R.; Priest, E.; Naglik, J.R.; Richardson, J.P. Fungal toxins and host immune responses. Front. Microbiol. 2021, 12, 643639. [Google Scholar] [CrossRef]
- Zong, Y.; Li, H.; Liao, P.; Chen, L.; Pan, Y.; Zheng, Y.; Zhang, C.; Liu, D.; Zheng, M.; Gao, J. Mitochondrial dysfunction: Mechanisms and advances in therapy. Signal Transduct. Target. Ther. 2024, 9, 124. [Google Scholar] [CrossRef]
- Vejdovszky, K.; Warth, B.; Sulyok, M.; Marko, D. Non-synergistic cytotoxic effects of Fusarium and Alternaria toxin combinations in Caco-2 cells. Toxicol. Lett. 2016, 241, 1–8. [Google Scholar] [CrossRef] [PubMed]
- Xu, L.; Eisa, H.; Liu, J. Synergistic effects of T-2 and HT-2 toxins on oxidative stress and cytotoxicity. Food Chem. 2016, 207, 207–214. [Google Scholar]
- Surai, P.F. Antioxidant systems and oxidative stress in health and disease. Toxicol. Rep. 2016, 3, 32–45. [Google Scholar]
- Gao, X.; Xiao, Z.; Li, X. Cytotoxicity and oxidative stress induced by T-2 toxin and HT-2 toxin in human liver cells. Toxicol. Lett. 2016, 244, 1–10. [Google Scholar]
- Gupta, S.; Podder, S.; Mitra, A. Impact of trichothecenes on cellular redox homeostasis. Toxin Rev. 2015, 34, 160–172. [Google Scholar]
- Zuo, Z.; Wang, F.; Zhang, J.; Li, X.; Liu, H. Proteomic analysis of T-2 toxin-induced oxidative stress. J. Proteom. 2018, 182, 45–52. [Google Scholar]
- Wei, X.; Zheng, Y.; Li, H. Mechanisms of mitochondrial dysfunction in trichothecene-induced toxicity. Environ. Sci. Pollut. Res. Int. 2020, 27, 8151–8161. [Google Scholar]
- Jin, C.; Xu, X.; Fang, L. Cellular response to trichothecenes: Role of oxidative stress. Free Radic. Biol. Med. 2019, 135, 12–22. [Google Scholar]
- Luo, H.; Wang, Z.; Zhang, Y. Synergistic effects of multiple trichothecenes on oxidative stress and apoptosis. Toxicol. Lett. 2018, 299, 199–209. [Google Scholar]
- Luo, Y.; Li, F.; Zhang, Q.; Nie, Q.; Du, X. Synergistic toxicity of T-2 and HT-2 toxins on lymphocyte viability and function. Toxicol. In Vitro 2018, 50, 244. [Google Scholar]
- Ouyang, S.; Shi, X.; Dong, Q. Protective effects of antioxidants against T-2 toxin-induced oxidative damage in human lymphocytes. Food Funct. 2021, 12, 459–469. [Google Scholar]
- Chou, T.C. Theoretical basis, experimental design, and computerized simulation of synergism and antagonism in drug combination studies. Pharmacol. Rev. 2006, 58, 621–681. [Google Scholar] [CrossRef]
- Chou, T.C. Frequently asked questions in drug combinations and the mass-action law-based answers. Synergy 2014, 1, 3–21. [Google Scholar] [CrossRef]
- Chou, T.C.; Talalay, P. Quantitative analysis of dose-effect relationships: The combined effects of multiple drugs or enzyme inhibitors. Adv. Enzyme. Regul. 1984, 22, 27–55. [Google Scholar] [CrossRef]
- Chou, T.C. The mass-action law-based algorithm for cost-effective approach for cancer drug discovery and development. Am. J. Cancer Res. 2011, 1, 925–954. [Google Scholar]








| Mycotoxin | Dose–Effect Parameter | |||
|---|---|---|---|---|
| Dm (µg/mL) | Dm (µM) | m | r | |
| T-2 HT-2 DAS T-2+HT-2 T-2+DAS HT-2+DAS T-2+HT-2+DAS | 0.32 1.60 1.46 0.33 0.59 39.56 0.01 | 0.69 3.77 4.17 0.73 1.38 103.08 0.06 | 1.32 0.345 1.07 0.48 0.30 0.07 0.10 | 1.00 1.00 1.00 1.00 1.00 1.00 1.00 |
| Mycotoxin | Joint Ratio | CI and DRI Values (µg/mL) | ||||||||||||||
|---|---|---|---|---|---|---|---|---|---|---|---|---|---|---|---|---|
| IC10 | DRI | IC25 | DRI | IC50 | DRI | IC75 | DRI | IC90 | DRI | |||||||
| T-2 + HT-2 | 1:2 | 1.80800 | - - | Ant | 0.56323 | 15.0060 1.94070 | Syn | 0.47629 | 3.2574 8.7761 | Syn | 1.49135 | - - | Ant | 6.27335 | - - | Ant |
| T-2 + DAS | 1:5 | 0.00278 | 923.993 589.777 | Syn | 0.04193 | 55.1263 42.0375 | Syn | 0.63780 | 3.2889 2.9963 | Syn | 9.77874 | - - | Ant | 151.115 | - - | Ant |
| HT-2 + DAS | 1:2.5 | 0.000001 | 0.00005 0.0001 | Syn | 0.00005 | 80.16 306.26 | Syn | 117.643 | - - | Ant | 9290.400 | - - | Ant | 9500.5 | - - | Ant |
| T-2 + HT-2 + DAS | 0.1:0.2:0.5 | 0.000001 | 0.005 0.0014 0.00003 | Syn | 0.00018 | 0.00018 0.00023 0.00089 | Syn | 0.00535 | 238.39 529.86 2172.82 | Syn | 2.65998 | - - | Ant | 1548.99 | - - | Ant |
Disclaimer/Publisher’s Note: The statements, opinions and data contained in all publications are solely those of the individual author(s) and contributor(s) and not of MDPI and/or the editor(s). MDPI and/or the editor(s) disclaim responsibility for any injury to people or property resulting from any ideas, methods, instructions or products referred to in the content. |
© 2025 by the authors. Licensee MDPI, Basel, Switzerland. This article is an open access article distributed under the terms and conditions of the Creative Commons Attribution (CC BY) license (https://creativecommons.org/licenses/by/4.0/).
Share and Cite
Wattanasuntorn, P.; Poapolathep, S.; Phuektes, P.; Alassane-Kpembi, I.; Fink-Gremmels, J.; Oswald, I.P.; Poapolathep, A. Apoptotic Effect of Combinations of T-2, HT-2, and Diacetoxyscirpenol on Human Jurkat T Cells. Toxins 2025, 17, 203. https://doi.org/10.3390/toxins17040203
Wattanasuntorn P, Poapolathep S, Phuektes P, Alassane-Kpembi I, Fink-Gremmels J, Oswald IP, Poapolathep A. Apoptotic Effect of Combinations of T-2, HT-2, and Diacetoxyscirpenol on Human Jurkat T Cells. Toxins. 2025; 17(4):203. https://doi.org/10.3390/toxins17040203
Chicago/Turabian StyleWattanasuntorn, Phattarawadee, Saranya Poapolathep, Patchara Phuektes, Imourana Alassane-Kpembi, Johanna Fink-Gremmels, Isabelle P. Oswald, and Amnart Poapolathep. 2025. "Apoptotic Effect of Combinations of T-2, HT-2, and Diacetoxyscirpenol on Human Jurkat T Cells" Toxins 17, no. 4: 203. https://doi.org/10.3390/toxins17040203
APA StyleWattanasuntorn, P., Poapolathep, S., Phuektes, P., Alassane-Kpembi, I., Fink-Gremmels, J., Oswald, I. P., & Poapolathep, A. (2025). Apoptotic Effect of Combinations of T-2, HT-2, and Diacetoxyscirpenol on Human Jurkat T Cells. Toxins, 17(4), 203. https://doi.org/10.3390/toxins17040203

