Variation in Subtypes of Obsessive-Compulsive Traits in Migraine Patients Undergoing Onabotulinum Toxin A Therapy
Abstract
1. Introduction
2. Results
3. Discussion
Limitations
4. Conclusions
5. Materials and Methods
5.1. Study Population
5.2. Statistical Analysis
- Continuous: sex: age, MMD, MAMI, MIDAS score, HIT-6 score, global OCI-R, global OCI-R in percentiles, global control, global control in percentiles, global sorting, global sorting in percentiles, global washout, global washout in percentiles, global obsession, global obsession in percentiles, global hoarding, global hoarding in percentiles, global mental neutralisation, and mental neutralisation in percentiles.
- Dichotomous: gender.
- Categorical: type of drugs used to manage migraine attacks, OCI-R category, control category, order category, washout category, hoarding category, and mental neutralisation category.
- Continuous: MMDs, MAMI, MIDAS score, HIT-6 score, global OCI-R, global OCI-R in percentiles, global checking, global checking in percentiles, global ordering, global ordering in percentiles, global washing, global washing in percentiles, global obsessing, global obsessing in percentiles, global hoarding, global hoarding in percentiles, global mental neutralising, and mental neutralising in percentiles.
- Categorical: type of medication used for migraine management, OCI-R category, checking category, ordering category, washing category, hoarding category, and mental neutralising category.
5.3. Sample Size Analysis
Author Contributions
Funding
Institutional Review Board Statement
Informed Consent Statement
Data Availability Statement
Conflicts of Interest
Abbreviations
| HIT-6 | Headache impact test |
| CM | Chronic migraine |
| MOH | Medication overuse headache |
| OCD | Obsessive-compulsive disorder |
| OBT-A | Onabotulinum toxin A |
| OCI-R | Obsessive-Compulsive Inventory-Revised |
| OC | Obsessive-compulsive |
| MAMI | Migraine acute medication intake |
| MIDAS | Migraine disability assessment score |
| MMDs | Monthly migraine days |
| SD | Standard deviation |
| CERM | Ethics Committee of the Marche Region |
References
- Buse, D.C.; Greisman, J.D.; Baigi, K.; Lipton, R.B. Migraine progression: A systematic review. Headache 2019, 59, 306–338. [Google Scholar] [CrossRef]
- D’Amico, D.; Sansone, E.; Grazzi, L.; Giovannetti, A.M.; Leonardi, M.; Schiavolin, S.; Raggi, A. Multimorbidity in patients with chronic migraine and medication overuse headache. Acta Neurol. Scand. 2018, 138, 515–522. [Google Scholar] [CrossRef]
- Minen, M.T.; Begasse De Dhaem, O.; Kroon Van Diest, A.; Powers, S.; Schwedt, T.J.; Lipton, R.; Silbersweig, D. Migraine and its psychiatric comorbidities. J. Neurol. Neurosurg. Psychiatry 2016, 87, 741–749. [Google Scholar] [CrossRef] [PubMed]
- Dresler, T.; Caratozzolo, S.; Guldolf, K.; Huhn, J.I.; Loiacono, C.; Niiberg-Pikksööt, T.; Puma, M.; Sforza, G.; Tobia, A.; Ornello, R.; et al. European Headache Federation School of Advanced Studies (EHF-SAS). Understanding the nature of psychiatric comorbidity in migraine: A systematic review focused on interactions and treatment implications. J. Headache Pain 2019, 20, 51. [Google Scholar] [CrossRef] [PubMed]
- Zhang, M.; Liu, Y.; Zhao, M.; Tang, W.; Wang, X.; Dong, Z.; Yu, S. Depression and anxiety behaviour in a rat model of chronic migraine. J. Headache Pain 2017, 18, 27. [Google Scholar] [CrossRef]
- Ashina, S.; Serrano, D.; Lipton, R.B.; Maizels, M.; Manack, A.N.; Turkel, C.C.; Reed, M.L.; Buse, D.C. Depression and risk of transformation of episodic to chronic migraine. J. Headache Pain 2012, 13, 615–624. [Google Scholar] [CrossRef]
- Xu, J.; Kong, F.; Buse, D.C. Predictors of episodic migraine transformation to chronic migraine: A systematic review and meta-analysis of observational cohort studies. Cephalalgia 2020, 40, 503–516. [Google Scholar] [CrossRef]
- Viana, M.; Bottiroli, S.; Sances, G.; Ghiotto, N.; Allena, M.; Guaschino, E.; Nappi, G.; Tassorelli, C. Factors associated to chronic migraine with medication overuse: A cross-sectional study. Cephalalgia 2018, 38, 2045–2057. [Google Scholar] [CrossRef]
- Peres, M.F.P.; Mercante, J.P.P.; Tobo, P.R.; Kamei, H.; Bigal, M.E. Anxiety and depression symptoms and migraine: A symptom-based approach research. J. Headache Pain 2017, 18, 37. [Google Scholar] [CrossRef]
- Curone, M.; Tullo, V.; Mea, E.; Proietti-Cecchini, A.; Peccarisi, C.; Bussone, G. Psychopathological profile of patients with chronic migraine and medication overuse: Study and findings in 50 cases. Neurol. Sci. 2011, 32, 177–179. [Google Scholar] [CrossRef]
- Cupini, L.M.; De Murtas, M.; Costa, C.; Mancini, M.; Eusebi, P.; Sarchielli, P.; Calabresi, P. Obsessive-compulsive disorder and migraine with medication-overuse headache. Headache 2009, 49, 1005–1013. [Google Scholar] [CrossRef] [PubMed]
- Sair, A.; Sair, Y. Autistic Traits and Obsessive-Compulsive Disorder in Patients with Migraine With or Without Aura. Psychiatry Behav. Sci. 2022, 12, 81–90. [Google Scholar] [CrossRef]
- Curone, M.; Tullo, V.; Lovati, C.; Proietti-Cecchini, A.; D’Amico, D. Prevalence and profile of obsessive-compulsive trait in patients with chronic migraine and medication overuse. Neurol. Sci. 2014, 35, 185–187. [Google Scholar] [CrossRef]
- Bergman-Bock, S. Associations Between Migraine and the Most Common Psychiatric Co-Morbidities. Headache 2018, 58, 346–353. [Google Scholar] [CrossRef]
- Viticchi, G.; Falsetti, L.; Salvemini, S.; Bartolini, M.; Paolucci, S.; Buratti, L.; Silvestrini, M. Efficacy of Onabotulinum Toxin A on Obsessive-Compulsive Traits in a Population of Chronic Migraine Patients. Brain Sci. 2022, 17, 1563. [Google Scholar] [CrossRef]
- Sica, C.; Ghisi, M.; Altoè, G.; Chiri, L.R.; Franceschini, S.; Coradeschi, D.; Melli, G. The Italian version of Obsessive Compulsive Inventory: Its psychometric properties on community and clinical samples. J. Anxiety Disord. 2009, 23, 204–211. [Google Scholar] [CrossRef]
- Deen, M.; Hansen, H.D.; Hougaard, A.; Norgaard, M.; Eiberg, H.; Lehel, S.; Ashina, M.; Knudsen, G.M. High brain serotonin levels in migraine between attacks: A 5-HT(4) receptor binding PET study. Neuroimage Clin. 2018, 18, 97–102. [Google Scholar] [CrossRef]
- Kuo, C.Y.; Chen, K.C.; Lee, I.H.; Tseng, H.H.; Chiu, N.T.; Chen, P.S.; Yang, Y.K.; Chang, W.H. Serotonin Modulates the Correlations between Obsessive-compulsive Trait and Heart Rate Variability in Normal Healthy Subjects: A SPECT Study with [123I] ADAM and Heart Rate Variability Measurement. Clin. Psychopharmacol. Neurosci. 2022, 31, 271–278. [Google Scholar] [CrossRef]
- Kim, E.; Howes, O.D.; Park, J.W.; Kim, S.N.; Shin, S.A.; Kim, B.H.; Turkheimer, F.E.; Lee, Y.S.; Kwon, J.S. Altered serotonin transporter binding potential in patients with obsessive-compulsive disorder under escitalopram treatment: [11C]DASB PET study. Psychol. Med. 2016, 46, 357–366. [Google Scholar] [CrossRef]
- Schulze, J.; Neumann, I.; Magid, M.; Finzi, E.; Sinke, C.; Wollmer, M.A.; Krüger, T.H.C. Botulinum toxin for the management of depression: An updated review of the evidence and meta-analysis. J. Psychiatr. Res. 2021, 135, 332–340. [Google Scholar] [CrossRef]
- Wollmer, M.A.; Magid, M.; Kruger, T.H.C.; Finzi, E. Treatment of Depression with Botulinum Toxin. Toxins 2022, 31, 383. [Google Scholar] [CrossRef] [PubMed]
- Demchenko, I.; Swiderski, A.; Liu, H.; Jung, H.; Lou, W.; Bhat, V. Botulinum Toxin Injections for Psychiatric Disorders: A Systematic Review of the Clinical Trial Landscape. Toxins 2024, 16, 191. [Google Scholar] [CrossRef] [PubMed]
- Li, Y.; Liu, T.; Luo, W. Botulinum Neurotoxin Therapy for Depression: Therapeutic Mechanisms and Future Perspective. Front. Psychiatry 2021, 12, 584416. [Google Scholar] [CrossRef]
- Lipton, R.B.; Fanning, K.M.; Buse, D.C.; Martin, V.T.; Hohaia, L.B.; Adams, A.M.; Reed, M.L.; Goadsby, P.J. Migraine progression in subgroups of migraine based on comorbidities: Results of the CaMEO study. Neurology 2019, 93, e2224–e2236. [Google Scholar] [CrossRef]
- Radat, F.; Lanteri-Minet, M. What is the role of dependence-related behavior in medication-overuse headache? Headache 2010, 50, 1597–1611. [Google Scholar] [CrossRef]
- Rouw, C.; Munksgaard, S.B.; Engelstoft, I.M.S.; Nielsen, M.; Westergaard, M.L.; Jensen, R.H.; Bendtsen, L.; Carlsen, L.N. Dependence-like behaviour in patients treated for medication overuse headache: A prospective open-label randomized controlled trial. Eur. J. Pain 2021, 25, 852–861. [Google Scholar] [CrossRef]
- Karmakar, M.; Elhai, J.D.; Amialchuk, A.A.; Tietjen, G.E. Do personality traits meante the relationship between childhood abuse and migraine? An exploration of the relationships in young adults using the add health dataset. Headache 2017, 58, 243–259. [Google Scholar] [CrossRef]
- Davis, R.E.; Smitherman, T.A.; Baskin, S.M. Personality traits, personality disorders, and migraine: A review. Neurol. Sci. 2013, 34, 7–10. [Google Scholar] [CrossRef]
- Gonzalez-Martinez, A. Association Between Personality Traits and Onabotulinumtoxin A Response in Patients With Chronic Migraine. Headache 2020, 60, 153–161. [Google Scholar] [CrossRef]
- Naylor, B.; Boag, S.; Gustin, S.M. New evidence for a pain personality? A critical review of the last 120 years of pain and personality. Scand. J. Pain 2017, 17, 58–67. [Google Scholar] [CrossRef]
- Curone, M.; D’Amico, D.; Bussone, G. Obsessive–compulsive aspects as predictors of poor response to treatments in patients with chronic migraine and medication overuse. Neurol. Sci. 2012, 33, S211–S213. [Google Scholar] [CrossRef] [PubMed]
- Bottiroli, S.; De Icco, R.; Vaghi, G.; Pazzi, S.; Guaschino, E.; Allena, M.; Ghiotto, N.; Martinelli, D.; Tassorelli, C.; Sances, G. Psychological predictors of negative treatment outcome with Erenumab in chronic migraine: Data from an open label long-term prospective study. J. Headache Pain 2021, 22, 114. [Google Scholar] [CrossRef] [PubMed]
- McKay, D.; Abramowitz, J.S.; Calamari, J.E.; Kyrios, M.; Radomsky, A.S.; Sookman, D.; Taylor, S.; Wilhelm, S. A critical evaluation of obsessive-compulsive disorder subtypes: Symptoms versus mechanisms. Clin. Psychol. Rev. 2004, 24, 283–313. [Google Scholar] [CrossRef]
- Sasson, Y.; Zohar, J.; Chopra, M.; Lustig, M.; Iancu, I.; Hendler, T.J. Epidemiology of obsessive-compulsive disorder: A world view. Clin. Psychiatry 1997, 58, 7–10. [Google Scholar]
- Pampaloni, I.; Marriott, S.; Pessina, E.; Fisher, C.; Govender, A.; Mohamed, H.; Chandler, A.; Tyagi, H.; Morris, L.; Pallanti, S. The global assessment of OCD. Compr. Psychiatry 2022, 118, 152342. [Google Scholar] [CrossRef]
- Headache Classification Committee of the International Headache Society (IHS). The International Classification of Headache Disorders, 3rd edition. Cephalalgia 2018, 38, 1–211. [Google Scholar] [CrossRef]
- Bendtsen, L.; Sacco, S.; Ashina, M.; Mitsikostas, D.; Ahmed, F.; Pozo-Rosich, P.; Martelletti, P. Guideline on the use of onabotulinumtoxinA in chronic migraine: A consensus statement from the European Headache Federation. J. Headache Pain 2018, 26, 91. [Google Scholar] [CrossRef]
- Puledda, F.; Sacco, S.; Diener, H.C.; Ashina, M.; Al-Khazali, H.M.A.; Ashina, S.; Burstein, R.; Liebler, E.; Cipriani, A.; Chu, M.K.; et al. International Headache Society Global Practice Recommendations for Preventive Pharmacological Treatment of Migraine. Cephalalgia 2024, 44, 3331024241269735. [Google Scholar] [CrossRef]
- Aurora, S.K.; Dodick, D.W.; Turkel, C.C.; DeGryse, R.E.; Silberstein, S.D.; Lipton, R.B.; Diener, H.C.; Brin, M.F.; PREEMPT 1. Chronic Migraine Study Group. OnabotulinumtoxinA for treatment of chronic migraine: Results from the double-blind, randomized, placebo-controlled phase of the PREEMPT 1 trial. Cephalalgia 2010, 30, 793–803. [Google Scholar] [CrossRef]
- Tassorelli, C.; Tedeschi, G.; Sarchielli, P.; Pini, L.A.; Grazzi, L.; Geppetti, P.; De Tommaso, M.; Aguggia, M.; Cortelli, P.; Martelletti, P. Optimizing the long-term management of chronic migraine with onabotulinumtoxinA in real life. Expert Rev. Neurother. 2018, 18, 167–176. [Google Scholar] [CrossRef]



| Cohort Characteristics | ||||
|---|---|---|---|---|
| Age (years) Mean (SD); [range] | 47.8 (11.3); [20.0–66.0] | |||
Sex
| 7 (23.3%) 23 (76.7%) | |||
| Variables collected at T0, T1, T2, and T3 | ||||
| T0 (n = 30) | T1 (n = 25) | T2 (n = 18) | T3 (n = 15) | |
| MMD (days) Mean (SD); [range] | 26.9 (3.8); [20.0–30.0] | 16.7 (7.1); [4.0–30.0] | 12.7 (5.7); [4.0–27.0] | 9.3 (6.0); [3.0–25.0] |
| MAMI (tablets) Mean (SD); [range] | 28.4 (6.5); [20.0–50.0] | 17.2 (8.1); [4.0–40.0] | 12.8 (6.5); [4.0–30.0] | 9.5 (7.3); [3.0–30.0] |
Drugs for the acute attack
| 18 (60.0%) 12 (40.0%) | 16 (64.0%) 9 (36.0%) | 10 (55.6%) 8 (44.4%) | 14 (93.3%) 1 (6.7%) |
| MIDAS score Mean (SD); [range] | 89.7 (12.7); [55.0–105.0] | 42.8 (30.0); [2.0–90.0] | 27.1 (18.4); [3.0–67.0] | 16.1 (16.8); [0.0–60.0] |
| HIT-6 score Mean (SD); [range] | 67.1 (3.6); [61.0–74.0] | 62.1 (4.6); [50.0–71.0] | 60.2 (4.0); [50.0–66.0] | 56.7 (3.7); [53.0–66.0] |
| Global OCI-R Mean (SD); [range] | 14.0 (9.4); [0.0–33.0] | 11.0 (9.3); [0.0–35.0] | 10.2 (8.9); [0.0–35.0] | 10.1 (8.7); [0.0–35.0] |
| Global OCI-R (percentiles) Mean (SD); [range] | 67.8 (23.3); [10.0–99.0] | 59.0 (28.9); [10.0–99.0] | 57.0 (26.1); [10.0–99.0] | 57.1 (24.8); [10.0–99.0] |
OCI-R category
| 22 (73.3%) -- -- 8 (26.7%) | 17 (68.0%) 2 (8.0%) 3 (12.0%) 3 (12.0%) | 15 (83.3%) -- 1 (5.6%) 2 (11.1%) | 13 (86.7%) -- 1 (6.7%) 1 (6.7%) |
| Global checking Median; [range] | 3.5 [0.0–9.0] | 1 [0.0–11.0] | 1.5 [0.0–8.0] | 2 [0.0–8.0] |
| Global checking (percentiles) Mean (SD); [range] | 69.6 (32.6); [10.0–99.0] | 56.9 (35.1); [10.0–99.0] | 51.5 (35.3); [10.0–98.0] | 54.2 (33.4); [10.0–98.0] |
Checking categories
| 15 (50.0%) 12 (40.0%) 3 (10.0%) | 17 (68.0%) 6 (24.0%) 2 (8.0%) | 15 (83.3%) 2 (11.1%) 1 (5.6%) | 13 (86.7%) 1 (6.7%) 1 (6.7%) |
| Global ordering Median; [range] | 2 [0.0–9.0] | 1 [0.0–9.0] | 1.5 [0.0–9.0] | 2 [0.0–7.0] |
| Global ordering (percentiles) Mean (SD); [range] | 66.3 (31.1); [10.0–99.0] | 50.1 (37.6); [10.0–99.0] | 49.6 (37.8); [10.0–99.0] | 59.0 (37.3); [10.0–97.0] |
Ordering categories
| 17 (56.7%) 9 (30.0%) 4 (13.3%) | 17 (68.0%) 6 (24.0%) 2 (8.0%) | 12 (66.7%) 5 (27.8%) 1 (5.6%) | 8 (53.3%) 5 (33.3%) 2 (13.3%) |
| Global washing Median; [range] | 0 [0.0–3.0] | 0 [0.0–7.0] | 0 [0.0–3.0] | 0 [0.0–3.0] |
| Global washing (percentiles) Mean (SD); [range] | 26.7 (26.5); [10.0–85.0] | 20.3 (25.0); [10.0–98.0] | 0.2 (0.7); [10.0–85.0] | 24.3 (29.7); [10.0–85.0] |
Washing categories
| 28 (93.3%) 2 (6.7%) -- | 24 (96.0%) -- 1 (4.0%) | 16.9 (20.7) 1 (5.6%) -- | 14 (93.3%) 1 (6.7%) -- |
| Global obsessing Median; [range] | 2 [0.0–10.0] | 2 [0.0–10.0] | 2 [0.0–10.0] | 2 [0.0–10.0] |
| Global obsessing (percentiles) Mean (SD); [range] | 64.1 (32.4); [10.0–99.0] | 61.0 (34.4); [10.0–99.0] | 59.0 (33.7); [10.0–99.0] | 65.1 (25.3); [10.0–99.0] |
Obsessing categories
| 19 (63.3%) 7 (23.3%) 4 (13.3%) | 15 (60.0%) 8 (32.0%) 2 (8.0%) | 13 (72.2%) 3 (16.7%) 2 (11.1%) | 12 (80.0%) 2 (13.3%) 1 (6.7%) |
| Global hoarding Median; [range] | 2 [0.0–8.0] | 1 [0.0–5.0] | 1.5 [0.0–5.0] | 1 [0.0–4.0] |
| Global hoarding (percentiles) Mean (SD); [range] | 60.1 (28.9); [10.0–98.0] | 51.6 (28.1); [10.0–90.0] | 48.9 (31.2); [10.0–90.0] | 42.3 (30.0); [10.0–85.0] |
Hoarding categories
| 28 (93.3%) 2 (6.7%) | 25 (100.0%) -- | 18 (100.0%) -- | 15 (100.0%) -- |
| Mental neutralizing Median; [range] | 0 [0.0–7.0] | 0 [0.0–8.0] | 0 [0.0–8.0] | 0 [0.0–8.0] |
| Mental neutralizing (percentiles) Mean (SD); [range] | 43.7 (42.1); [10.0–99.0] | 36.5 (39.6); [10.0–99.0] | 46.2 (41.8); [10.0–99.0] | 38.1 (41.1); [10.0–99.0] |
Mental neutralizing categories
| 21 (70.0%) 9 (30.0%) | 21 (84.0%) 4 (16.0%) | 16 (88.9%) 2 (11.1%) | 14 (93.3%) 1 (6.7%) |
| 95% CI | ||||
|---|---|---|---|---|
| MIDAS Score | Mean | SE | Lower | Upper |
| T0 | 92.3 | 2.29 | 87.41 | 97.3 |
| T1 | 44.2 | 7.66 | 27.71 | 60.8 |
| T2 | 29.0 | 4.33 | 19.60 | 38.3 |
| T3 | 17.5 | 4.62 | 7.51 | 27.5 |
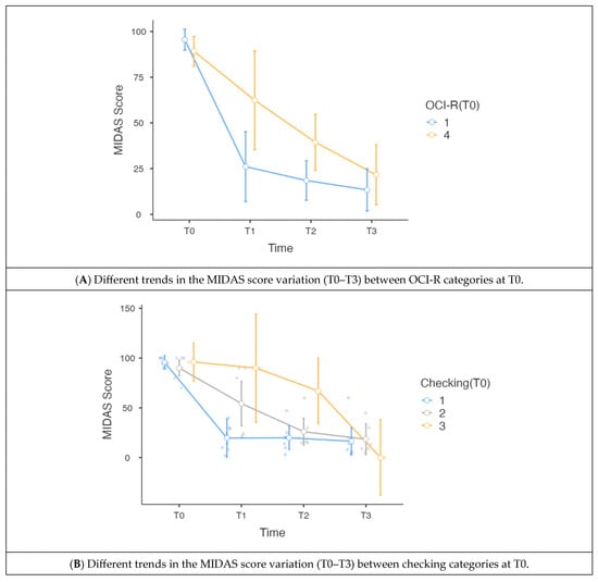
| 95% CI | |||||
|---|---|---|---|---|---|
| OCI-R (T0) | MIDAS Score | Mean | SE | Lower | Upper |
| 1 | T0 | 95.5 | 2.64 | 89.80 | 101.2 |
| T1 | 26.1 | 8.84 | 7.00 | 45.2 | |
| T2 | 18.5 | 5.00 | 7.70 | 29.3 | |
| T3 | 13.4 | 5.34 | 1.86 | 24.9 | |
| 4 | T0 | 89.2 | 3.73 | 81.14 | 97.3 |
| T1 | 62.4 | 12.50 | 35.39 | 89.4 | |
| T2 | 39.4 | 7.07 | 24.12 | 54.7 | |
| T3 | 21.6 | 7.55 | 5.28 | 37.9 | |
| 95% CI | |||||
|---|---|---|---|---|---|
| Checking (T0) | MIDAS Score | Mean | SE | Lower | Upper |
| 1 | T0 | 95.6 | 3.10 | 88.873 | 102.4 |
| T1 | 19.6 | 8.87 | 0.306 | 38.9 | |
| T2 | 19.9 | 5.33 | 8.258 | 31.5 | |
| T3 | 16.4 | 6.16 | 2.963 | 29.8 | |
| 2 | T0 | 90.0 | 3.58 | 82.204 | 97.8 |
| T1 | 54.3 | 10.24 | 32.026 | 76.6 | |
| T2 | 26.0 | 6.16 | 12.586 | 39.4 | |
| T3 | 18.5 | 7.11 | 3.014 | 34.0 | |
| 3 | T0 | 96.0 | 8.76 | 76.903 | 115.1 |
| T1 | 90.0 | 25.08 | 35.359 | 144.6 | |
| T2 | 67.0 | 15.08 | 34.144 | 99.9 | |
| T3 | 0.00 | 17.41 | −37.934 | 37.9 | |
Disclaimer/Publisher’s Note: The statements, opinions and data contained in all publications are solely those of the individual author(s) and contributor(s) and not of MDPI and/or the editor(s). MDPI and/or the editor(s) disclaim responsibility for any injury to people or property resulting from any ideas, methods, instructions or products referred to in the content. |
© 2025 by the authors. Licensee MDPI, Basel, Switzerland. This article is an open access article distributed under the terms and conditions of the Creative Commons Attribution (CC BY) license (https://creativecommons.org/licenses/by/4.0/).
Share and Cite
Viticchi, G.; Falsetti, L.; Di Felice, C.; De Vanna, G.; Salvemini, S.; Bartolini, M.; Moroncini, G.; Silvestrini, M. Variation in Subtypes of Obsessive-Compulsive Traits in Migraine Patients Undergoing Onabotulinum Toxin A Therapy. Toxins 2025, 17, 199. https://doi.org/10.3390/toxins17040199
Viticchi G, Falsetti L, Di Felice C, De Vanna G, Salvemini S, Bartolini M, Moroncini G, Silvestrini M. Variation in Subtypes of Obsessive-Compulsive Traits in Migraine Patients Undergoing Onabotulinum Toxin A Therapy. Toxins. 2025; 17(4):199. https://doi.org/10.3390/toxins17040199
Chicago/Turabian StyleViticchi, Giovanna, Lorenzo Falsetti, Chiara Di Felice, Gioacchino De Vanna, Sergio Salvemini, Marco Bartolini, Gianluca Moroncini, and Mauro Silvestrini. 2025. "Variation in Subtypes of Obsessive-Compulsive Traits in Migraine Patients Undergoing Onabotulinum Toxin A Therapy" Toxins 17, no. 4: 199. https://doi.org/10.3390/toxins17040199
APA StyleViticchi, G., Falsetti, L., Di Felice, C., De Vanna, G., Salvemini, S., Bartolini, M., Moroncini, G., & Silvestrini, M. (2025). Variation in Subtypes of Obsessive-Compulsive Traits in Migraine Patients Undergoing Onabotulinum Toxin A Therapy. Toxins, 17(4), 199. https://doi.org/10.3390/toxins17040199

