BrnQ Branched-Chain Amino Acid Transporters Influence Toxin Production by, but Not Growth of, Clostridium perfringens Type A Strain ATCC3624
Abstract
1. Introduction
2. Results
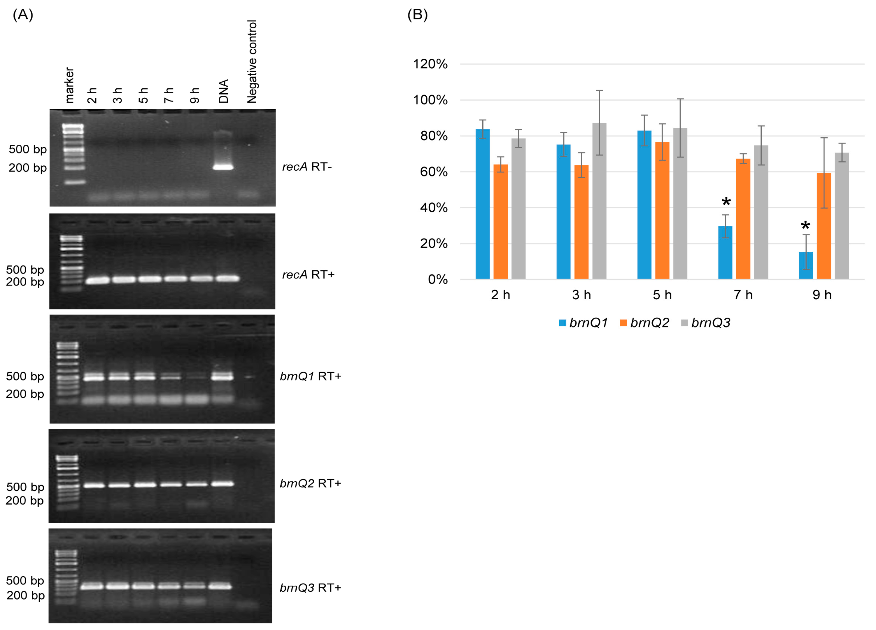
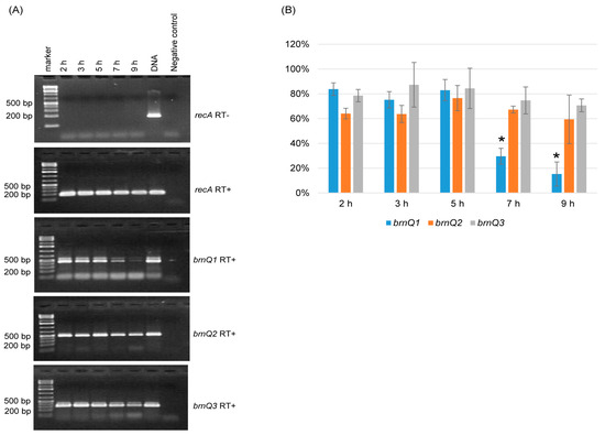
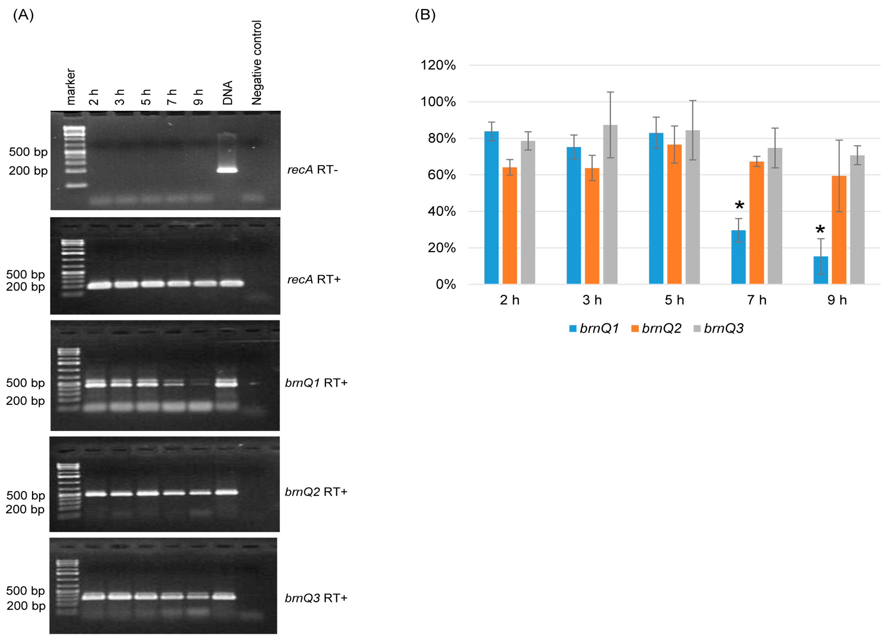
2.1. Expression of the BrnQ Genes During Growth

2.2. Preparation of BrnQ Single-Gene Mutants and Complementing Strains
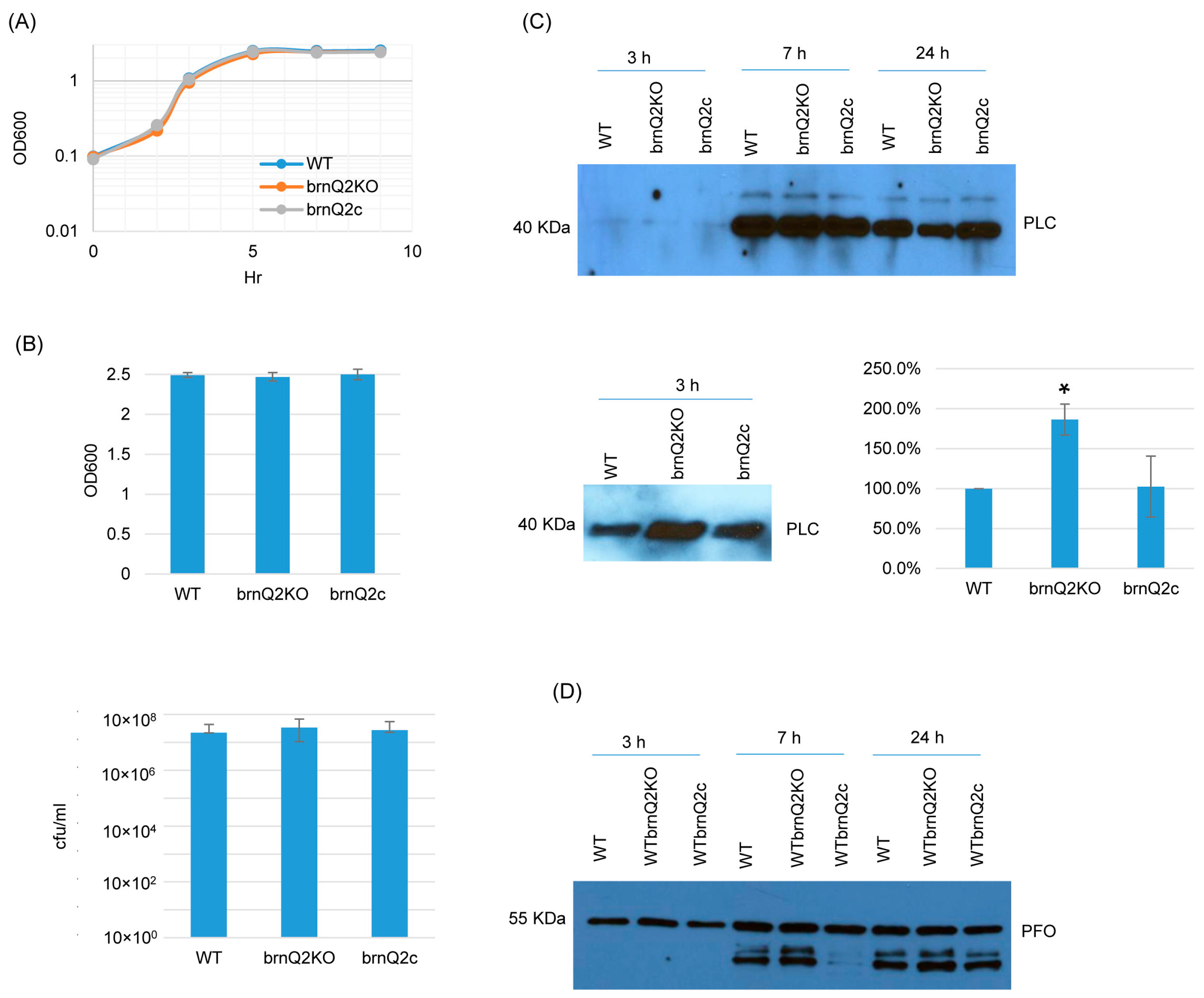
2.3. Characterization of the Single BrnQ Mutants and Complementing Strains
2.4. Expression of Each BrnQ Gene Affects the Expression of the Other BrnQ Genes
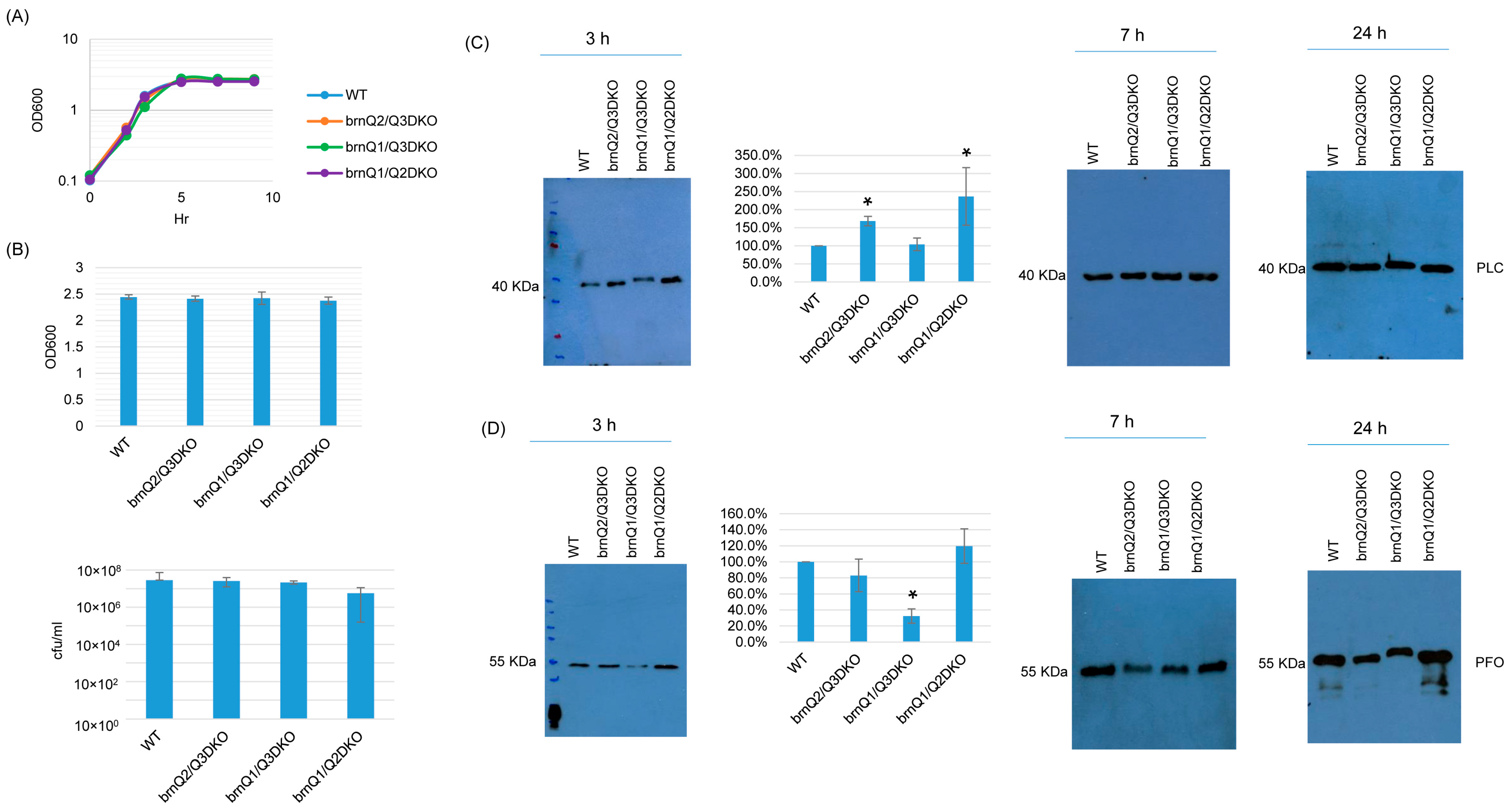
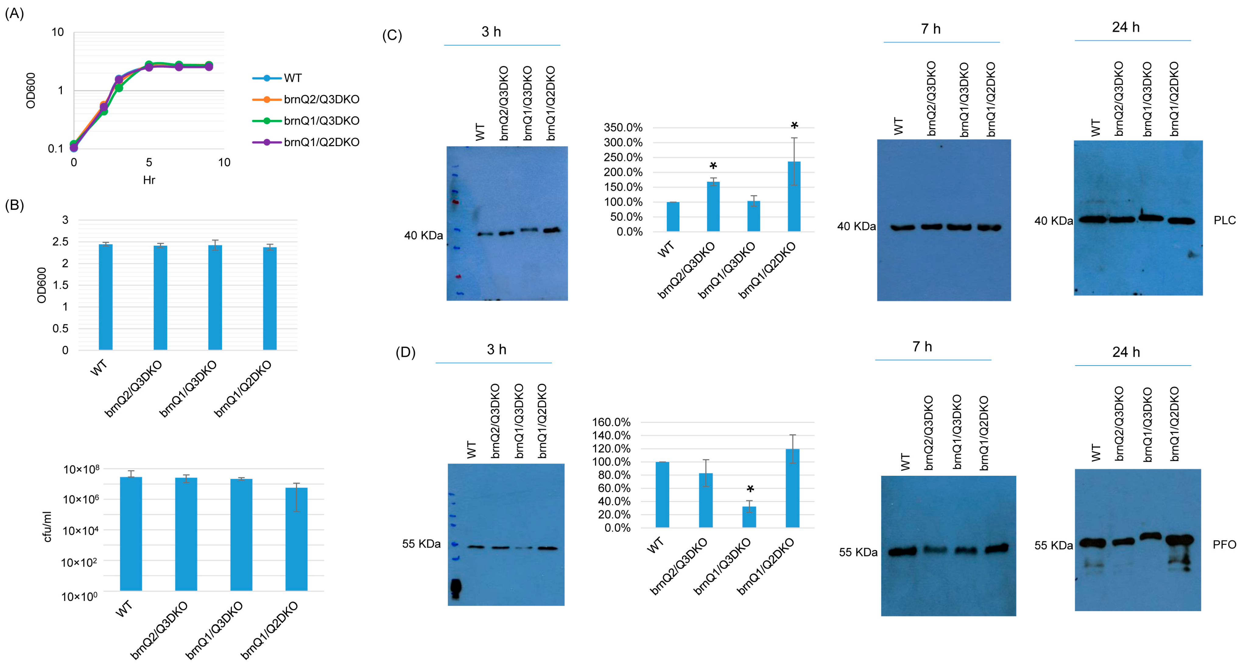
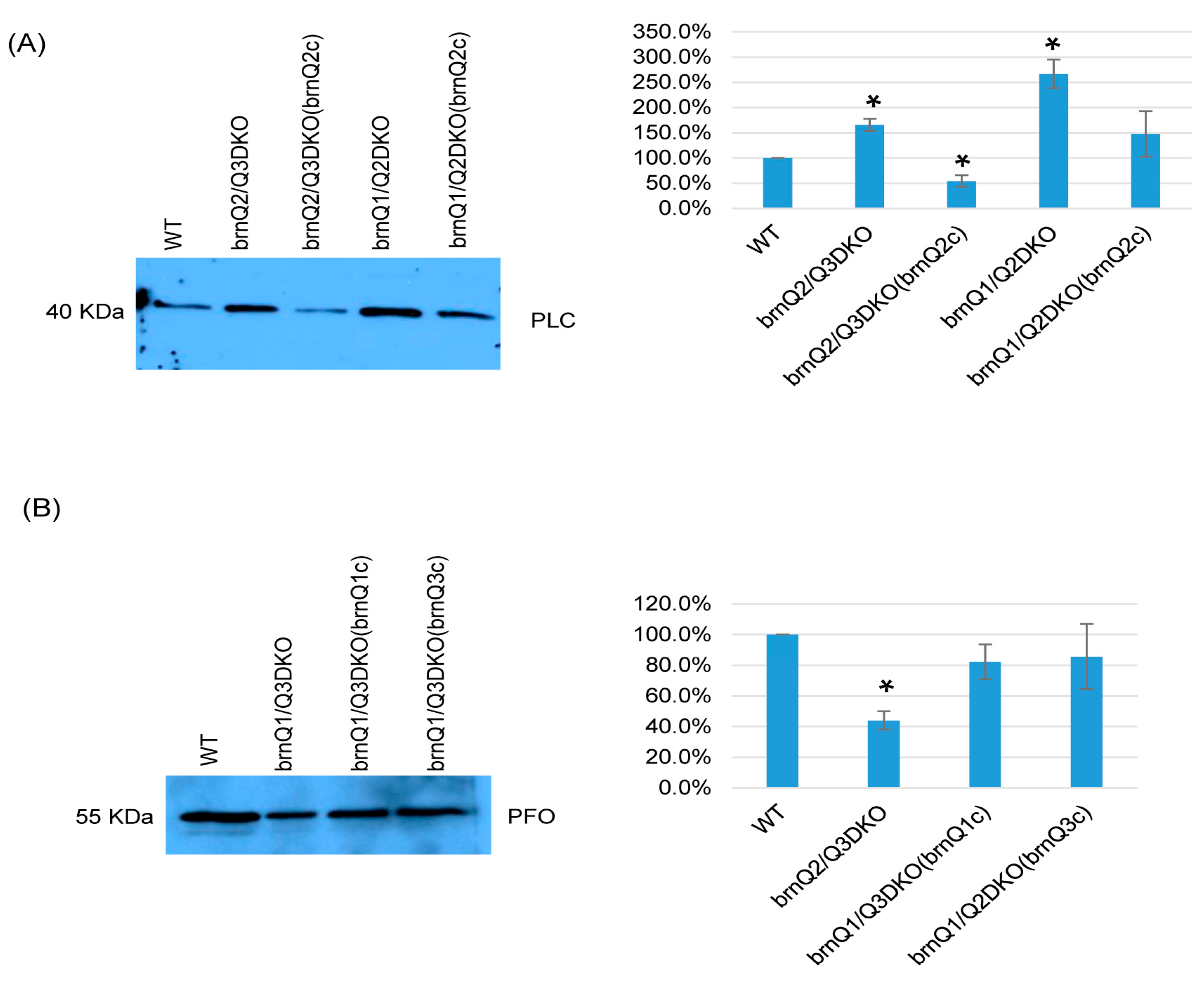
2.5. Preparation and Characterization of BrnQ Double Null Mutant Strains
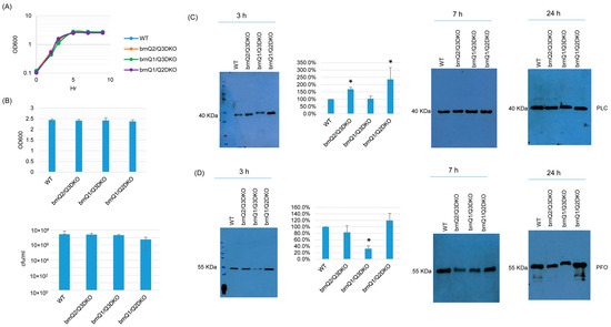
2.6. BrnQ Triple Null Mutant Preparation and Characterization
3. Discussion
4. Materials and Methods
4.1. Media and Chemicals
4.2. Bacteria Strains, Plasmids, and Primers
| Primer | Sequence | Size | Purpose |
|---|---|---|---|
| brnQ1-809|810a -IBS | AAAAAAGCTTATAATTATCCTTAAACATCA TAGTGGTGCGCCCAGATAGGGTG | 350 bp | brnQ1 null mutant plasmid (pJIR750brnQ1i) |
| brnQ1-809|810a -EBS1d | CAGATTGTACAAATGTGGTGATAACAGATA AGTCATAGTGCCTAACTTACCTTTCTTTGT | ||
| brnQ1-809|810a -EBS2 | TGAACGCAAGTTTCTAATTTCGGTTATGTTC CGATAGAGGAAAGTGTCT | ||
| EBS universal | CGAAATTAGAAACTTGCGTTCAGTAAAC | ||
| brnQ2-209|210a-IBS | AAAAAAGCTTATAATTATCCTTATGTAACC CTCCTGTGCGCCCAGATAGGGTG | 350 bp | brnQ2 null mutant plasmid (pJIR750brnQ2i) |
| brnQ2-209|210a-EBS1d | CAGATTGTACAAATGTGGTGATAACAGATA AGTCCCTCCTGATAACTTACCTTTCTTTGT | ||
| brnQ2-209|210a-EBS2 | TGAACGCAAGTTTCTAATTTCGGTTTTACAT CGATAGAGGAAAGTGTCT | ||
| EBS universal | CGAAATTAGAAACTTGCGTTCAGTAAAC | ||
| brnQ3- 581|582a-IBS | AAAAAAGCTTATAATTATCCTTAGCTGCCA TTGCAGTGCGCCCAGATAGGGTG | 350 bp | brnQ3 null mutant plasmid (pJIR750brnQ3i) |
| brnQ3- 581|582a-EBS1d | CAGATTGTACAAATGTGGTGATAACAGATA AGTCATTGCATCTAACTTACCTTTCTTTGT | ||
| brnQ3- 581|582a-EBS2 | TGAACGCAAGTTTCTAATTTCGATTGCAGC TCGATAGAGGAAAGTGTCT | ||
| EBS universal | CGAAATTAGAAACTTGCGTTCAGTAAAC | ||
| brnQ1KOF | AGGAACTGGAGGAATTGTAGCA | 442 bp (WT) 1342 bp (KO) | brnQ1 null mutant screening, RT-PCR |
| brnQ1KOR | GCAGTTTCTAAGGCTGGATCT | ||
| brnQ2KOF | AGTTAATAAAAAAGAAATGGGGTCA | 454 bp (WT) 1354 bp (KO) | brnQ2 null mutant screening, RT-PCR |
| brnQ2KOR | TGATAAAGATAGCCAATATGCAAC | ||
| brnQ3KOF | ATCTTTGTATTAAAGCCATCAAAAG | 291 bp (WT) 1191 bp (KO) | brnQ3 null mutant screening, RT-PCR |
| brnQ3KOR | TGCAATAACTGCTGCTTTAATAAG | ||
| brnQ1compF | ATTCgagctcTTAATAGAGGACCTTAAAGGGG TAA (SacI) * | 2273 bp | brnQ1 complementing plasmid (pJIR750brnQ1comp) |
| brnQ1comR | GCAGgtcgacGGGAAAATATATTCTGAGCTTT TAA (SalI) * | ||
| brnQ2compF | ATTCgagctcAAAAAATACACTTAAGGTTGAC AGC (SacI) * | 2030 bp | brnQ2 complementing plasmid (pJIR750brnQ2comp) |
| brnQ2comR | GCAGgtcgacTGCTTGTGATTTTGCTTAATTTA TT (SalI) * | ||
| brnQ3compF | ATTCgagctcCAGTTTTTTATAGCGCCTAAGTA AT (SacI) * | 2516 bp | brnQ3 complementing plasmid (pJIR750brnQ3comp) |
| brnQ3comR | GCAGgtcgacCCCCTCCTACTAAACCAACTAT TAA (SalI) * | ||
| recAF | CTGGTAAAACAACAGTGGCTTT | 167 bp | RT-PCR and RT-qPCR for recA house-keeping gene [38] |
| recAR | AGCTTGTTCTCCTGTATCTGGT | ||
| brnQ1qF | GCAGTTTCTAAGGCTGGATCT | 122 bp | brnQ1 RT-qPCR |
| brnQ1qR | GCAGTCCTTGGCACTACTAAT | ||
| brnQ2qF | CAATAGGACCTGGCTTAGGAATAC | 144 bp | brnQ2 RT-qPCR |
| brnQ2qR | GCCAATATGCAACTGCGAAA | ||
| brnQ3qF | GCAATCGGAGGACTAGCAATAA | 134 bp | brnQ3 RT-qPCR |
| brnQ3qR | GCACCTGCATGTCCTAGAATAC |
| Isolate | Description | Origin |
|---|---|---|
| ATCC3624 | Wild type | Purchased from ATCC |
| brnQ1KO | brnQ1 gene single null mutant strain | This study |
| brnQ1c | brnQ1 single null mutant strain complementing the brnQ1 gene | This study |
| brnQ2KO | brnQ2 gene single null mutant strain | This study |
| brnQ2c | brnQ2 single null mutant strain complementing the brnQ2 gene | This study |
| brnQ3KO | brnQ3 gene single null mutant strain | This study |
| brnQ3c | brnQ3 single null mutant strain complementing the brnQ3 gene | This study |
| brnQ2/Q3DKO | brnQ2 and brnQ3 genes double null mutant strain | This study |
| brnQ1/Q3DKO | brnQ1 and brnQ3 genes double null mutant strain | This study |
| brnQ1/Q2DKO | brnQ1 and brnQ2 genes double null mutant strain | This study |
| brnQ2/Q3DKO(brnQ2c) | brnQ2 and brnQ3 genes double null mutant strain complemented with the brnQ2 gene | This study |
| brnQ1/Q2DKO(brnQ2c) | brnQ1 and brnQ2 genes double null mutant strain complemented with the brnQ2 gene | This study |
| brnQ1/Q3DKO(brnQ1c) | brnQ1 and brnQ2 genes double null mutant strain complemented with the brnQ1 gene | This study |
| brnQ1/Q3DKO(brnQ3c) | brnQ1 and brnQ2 genes double null mutant strain complemented with the brnQ3 gene | This study |
| TKO | brnQ1, brnQ2, and brnQ3 genes triple null mutant strain | This study |
4.3. C. perfringens DNA Isolation and PCR and Southern Blot Analyses
4.4. C. perfringens RNA Isolation and RT-PCR and RT-qPCR Analyses
4.5. Measurement of the Growth and Survival of ATCC3624, Its BrnQ Null Mutants, and Complementing Strains in a TY Medium
4.6. Western Blot Analyses of PLC and PFO Production
Supplementary Materials
Author Contributions
Funding
Institutional Review Board Statement
Informed Consent Statement
Data Availability Statement
Statistical Analyses
Conflicts of Interest
References
- Mehdizadeh Gohari, I.; Navarro, M.A.; Li, J.; Shrestha, A.; Uzal, F.; McClane, B.A. Pathogenicity and virulence of Clostridium perfringens. Virulence 2021, 12, 723–753. [Google Scholar] [CrossRef] [PubMed]
- Grenda, T.; Jarosz, A.; Sapala, M.; Grenda, A.; Patyra, E.; Kwiatek, K. Clostridium perfringens-Opportunistic foodborne pathogen, its diversity and epidemiological significance. Pathogens 2023, 12, 768. [Google Scholar] [CrossRef]
- Navarro, M.A.; McClane, B.A.; Uzal, F.A. Mechanisms of action and cell death associated with Clostridium perfringens toxins. Toxins 2018, 10, 212. [Google Scholar] [CrossRef] [PubMed]
- Camargo, A.; Ramirez, J.D.; Kiu, R.; Hall, L.J.; Munoz, M. Unveiling the pathogenic mechanisms of Clostridium perfringens toxins and virulence factors. Emerg. Microbes Infect. 2024, 13, 2341968. [Google Scholar] [CrossRef] [PubMed]
- Rood, J.I.; Adams, V.; Lacey, J.; Lyras, D.; McClane, B.A.; Melville, S.B.; Moore, R.J.; Popoff, M.R.; Sarker, M.R.; Songer, J.G.; et al. Expansion of the Clostridium perfringens toxin-based typing scheme. Anaerobe 2018, 53, 5–10. [Google Scholar] [CrossRef]
- Li, J.; Sayeed, S.; McClane, B.A. The presence of differentiated C2C12 muscle cells enhances toxin production and growth by Clostridium perfringens type A strain ATCC3624. Virulence 2024, 15, 2388219. [Google Scholar] [CrossRef]
- Xu, C.; She, Y.; Fu, F.; Xu, C.; Peng, K. Review of advances in molecular structure and biological function of alpha toxin of Clostridium perfringens. Can. J. Vet. Res. 2024, 88, 138–144. [Google Scholar]
- Verherstraeten, S.; Goossens, E.; Valgaeren, B.; Pardon, B.; Timbermont, L.; Haesebrouck, F.; Ducatelle, R.; Deprez, P.; Wade, K.R.; Tweten, R.; et al. Perfringolysin O: The underrated Clostridium perfringens toxin? Toxins 2015, 7, 1702–1721. [Google Scholar] [CrossRef]
- Rood, J.I. Clostridium perfringens and histotoxic disease. In The Prokaryotes, 3rd ed.; Dworkin, M., Falkow, S., Rosenburg, E., Schleifer, H., Stackebrandt, E., Eds.; Springer Press: New York, NY, USA, 2006; pp. 753–770. [Google Scholar]
- Stevens, D.L.; Tweten, R.K.; Awad, M.M.; Rood, J.I.; Bryant, A.E. Clostridial gas gangrene: Evidence that alpha and theta toxins differentially modulate the immune response and induce acute tissue necrosis. J. Infect. Dis. 1997, 176, 189–195. [Google Scholar] [CrossRef]
- Bryant, A.E.; Stevens, D.L. Clostridial myonecrosis: New insights in pathogenesis and management. Curr. Infect. Dis. Rep. 2010, 12, 383–391. [Google Scholar] [CrossRef]
- Stevens, D.L.; Rood, J.I. Histotoxic Clostridia. In Gram-Positive Pathogens; Fischetti, V.A., Novick, R.P., Ferretti, J.J., Portnoy, D.A., Rood, J.I., Eds.; ASM Press: Washington, DC, USA, 2000; pp. 563–572. [Google Scholar]
- Awad, M.M.; Ellemor, D.M.; Boyd, R.L.; Emmins, J.J.; Rood, J.I. Synergistic effects of alpha-toxin and perfringolysin O in Clostridium perfringens-mediated gas gangrene. Infect. Immun. 2001, 69, 7904–7910. [Google Scholar] [CrossRef] [PubMed]
- Kaiser, J.C.; Omer, S.; Sheldon, J.R.; Welch, I.; Heinrichs, D.E. Role of BrnQ1 and BrnQ2 in branched-chain amino acid transport and virulence in Staphylococcus aureus. Infect. Immun. 2015, 83, 1019–1029. [Google Scholar] [CrossRef] [PubMed]
- Shimizu, T.; Ohtani, K.; Hirakawa, H.; Ohshima, K.; Yamashita, A.; Shiba, T.; Ogasawara, N.; Hattori, M.; Kuhara, S.; Hayashi, H. Complete genome sequence of Clostridium perfringens, an anaerobic flesh-eater. Proc. Natl. Acad. Sci. USA 2002, 99, 996–1001. [Google Scholar] [CrossRef] [PubMed]
- Fuchs, A.R.; Bonde, G.J. The nutritional requirements of Clostridium perfringens. J. Gen. Microbiol. 1957, 16, 317–329. [Google Scholar] [CrossRef]
- Goldner, S.B.; Solberg, M.; Post, L.S. Development of a minimal medium for Clostridium perfringens by using an anaerobic chemostat. Appl. Environ. Microbiol. 1985, 50, 202–206. [Google Scholar] [CrossRef]
- Myers, G.S.; Rasko, D.A.; Cheung, J.K.; Ravel, J.; Seshadri, R.; DeBoy, R.T.; Ren, Q.; Varga, J.; Awad, M.M.; Brinkac, L.M.; et al. Skewed genomic variability in strains of the toxigenic bacterial pathogen, Clostridium perfringens. Genome Res. 2006, 16, 1031–1040. [Google Scholar] [CrossRef]
- Belitsky, B.R. Role of branched-chain amino acid transport in Bacillus subtilis CodY activity. J. Bacteriol. 2015, 197, 1330–1338. [Google Scholar] [CrossRef]
- Stucky, K.; Hagting, A.; Klein, J.R.; Matern, H.; Henrich, B.; Konings, W.N.; Plapp, R. Cloning and characterization of brnQ, a gene encoding a low-affinity, branched-chain amino acid carrier in Lactobacillus delbruckii subsp. lactis DSM7290. Mol. Gen. Genet. 1995, 249, 682–690. [Google Scholar] [CrossRef]
- Tauch, A.; Hermann, T.; Burkovski, A.; Kramer, R.; Puhler, A.; Kalinowski, J. Isoleucine uptake in Corynebacterium glutamicum ATCC 13032 is directed by the brnQ gene product. Arch. Microbiol. 1998, 169, 303–312. [Google Scholar] [CrossRef]
- Kaiser, J.C.; Sen, S.; Sinha, A.; Wilkinson, B.J.; Heinrichs, D.E. The role of two branched-chain amino acid transporters in Staphylococcus aureus growth, membrane fatty acid composition and virulence. Mol. Microbiol. 2016, 102, 850–864. [Google Scholar] [CrossRef]
- Kaiser, J.C.; Heinrichs, D.E. Branching out: Alterations in bacterial physiology and virulence due to branched-chain amino acid deprivation. mBio 2018, 9, e01188-18. [Google Scholar] [CrossRef] [PubMed]
- Dutta, S.; Corsi, I.D.; Bier, N.; Koehler, T.M. BrnQ-Type branched-chain amino acid transporters influence Bacillus anthracis growth and virulence. mBio 2022, 13, e0364021. [Google Scholar] [CrossRef]
- Chen, Y.; McClane, B.A.; Fisher, D.J.; Rood, J.I.; Gupta, P. Construction of an alpha toxin gene knockout mutant of Clostridium perfringens type A by use of a mobile group II intron. Appl. Environ. Microbiol. 2005, 71, 7542–7547. [Google Scholar] [CrossRef] [PubMed]
- Bannam, T.L.; Rood, J.I. Clostridium perfringens-Escherichia coli shuttle vectors that carry single antibiotic resistance determinants. Plasmid 1993, 29, 233–235. [Google Scholar] [CrossRef] [PubMed]
- Haslam, S.C.; Ketley, J.M.; Mitchell, T.J.; Stephen, J.; Burdon, D.W.; Candy, D.C. Growth of Clostridium difficile and production of toxins A and B in complex and defined media. J. Med. Microbiol. 1986, 21, 293–297. [Google Scholar] [CrossRef]
- Whitmer, M.E.; Johnson, E.A. Development of improved defined media for Clostridium botulinum serotypes A, B, and E. Appl. Environ. Microbiol. 1988, 54, 753–759. [Google Scholar] [CrossRef]
- Karasawa, T.; Ikoma, S.; Yamakawa, K.; Nakamura, S. A defined growth medium for Clostridium difficile. Microbiology 1995, 141 Pt 2, 371–375. [Google Scholar] [CrossRef]
- Basavanna, S.; Khandavilli, S.; Yuste, J.; Cohen, J.M.; Hosie, A.H.; Webb, A.J.; Thomas, G.H.; Brown, J.S. Screening of Streptococcus pneumoniae ABC transporter mutants demonstrates that LivJHMGF, a branched-chain amino acid ABC transporter, is necessary for disease pathogenesis. Infect. Immun. 2009, 77, 3412–3423. [Google Scholar] [CrossRef]
- Ohtani, K.; Yuan, Y.; Hassan, S.; Wang, R.; Wang, Y.; Shimizu, T. Virulence gene regulation by the agr system in Clostridium perfringens. J. Bacteriol. 2009, 191, 3919–3927. [Google Scholar] [CrossRef]
- Okumura, K.; Ohtani, K.; Hayashi, H.; Shimizu, T. Characterization of genes regulated directly by the VirR/VirS system in Clostridium perfringens. J. Bacteriol. 2008, 190, 7719–7727. [Google Scholar] [CrossRef]
- Ohtani, K.; Shimizu, T. Regulation of toxin production in Clostridium perfringens. Toxins 2016, 8, 207. [Google Scholar] [CrossRef] [PubMed]
- Bouillaut, L.; Dubois, T.; Sonenshein, A.L.; Dupuy, B. Integration of metabolism and virulence in Clostridium difficile. Res. Microbiol. 2015, 166, 375–383. [Google Scholar] [CrossRef] [PubMed]
- Li, J.; Ma, M.; Sarker, M.R.; McClane, B.A. CodY is a global regulator of virulence-associated properties for Clostridium perfringens type D strain CN3718. mBio 2013, 4, e00770-13. [Google Scholar] [CrossRef]
- Buboltz, J.B.; Murphy-Lavoie, H.M. Gas Gangrene. In StatPearls; StatPearls Publishing: Treasure Island, FL, USA, 2025. [Google Scholar] [PubMed]
- Mosley, J.D.; Shi, M.; Agamasu, D.; Vaitinadin, N.S.; Murthy, V.L.; Shah, R.V.; Bagheri, M.; Ferguson, J.F. Branched-chain amino acids and type 2 diabetes: A bidirectional Mendelian randomization analysis. Obesity 2024, 32, 423–435. [Google Scholar] [CrossRef]
- Williams, M.L.; Ghanem, M. Evaluation of candidate reference genes stability for gene expression analysis by reverse transcription qPCR in Clostridium perfringens. Sci. Rep. 2022, 12, 19434. [Google Scholar] [CrossRef]







Disclaimer/Publisher’s Note: The statements, opinions and data contained in all publications are solely those of the individual author(s) and contributor(s) and not of MDPI and/or the editor(s). MDPI and/or the editor(s) disclaim responsibility for any injury to people or property resulting from any ideas, methods, instructions or products referred to in the content. |
© 2025 by the authors. Licensee MDPI, Basel, Switzerland. This article is an open access article distributed under the terms and conditions of the Creative Commons Attribution (CC BY) license (https://creativecommons.org/licenses/by/4.0/).
Share and Cite
Li, J.; Mehdizadeh Gohari, I.; Zhang, I.; McClane, B.A. BrnQ Branched-Chain Amino Acid Transporters Influence Toxin Production by, but Not Growth of, Clostridium perfringens Type A Strain ATCC3624. Toxins 2025, 17, 187. https://doi.org/10.3390/toxins17040187
Li J, Mehdizadeh Gohari I, Zhang I, McClane BA. BrnQ Branched-Chain Amino Acid Transporters Influence Toxin Production by, but Not Growth of, Clostridium perfringens Type A Strain ATCC3624. Toxins. 2025; 17(4):187. https://doi.org/10.3390/toxins17040187
Chicago/Turabian StyleLi, Jihong, Iman Mehdizadeh Gohari, Isabella Zhang, and Bruce A. McClane. 2025. "BrnQ Branched-Chain Amino Acid Transporters Influence Toxin Production by, but Not Growth of, Clostridium perfringens Type A Strain ATCC3624" Toxins 17, no. 4: 187. https://doi.org/10.3390/toxins17040187
APA StyleLi, J., Mehdizadeh Gohari, I., Zhang, I., & McClane, B. A. (2025). BrnQ Branched-Chain Amino Acid Transporters Influence Toxin Production by, but Not Growth of, Clostridium perfringens Type A Strain ATCC3624. Toxins, 17(4), 187. https://doi.org/10.3390/toxins17040187

