Validation of a UPLC-MS/MS Method for Multi-Matrix Biomonitoring of Alternaria Toxins in Humans
Abstract
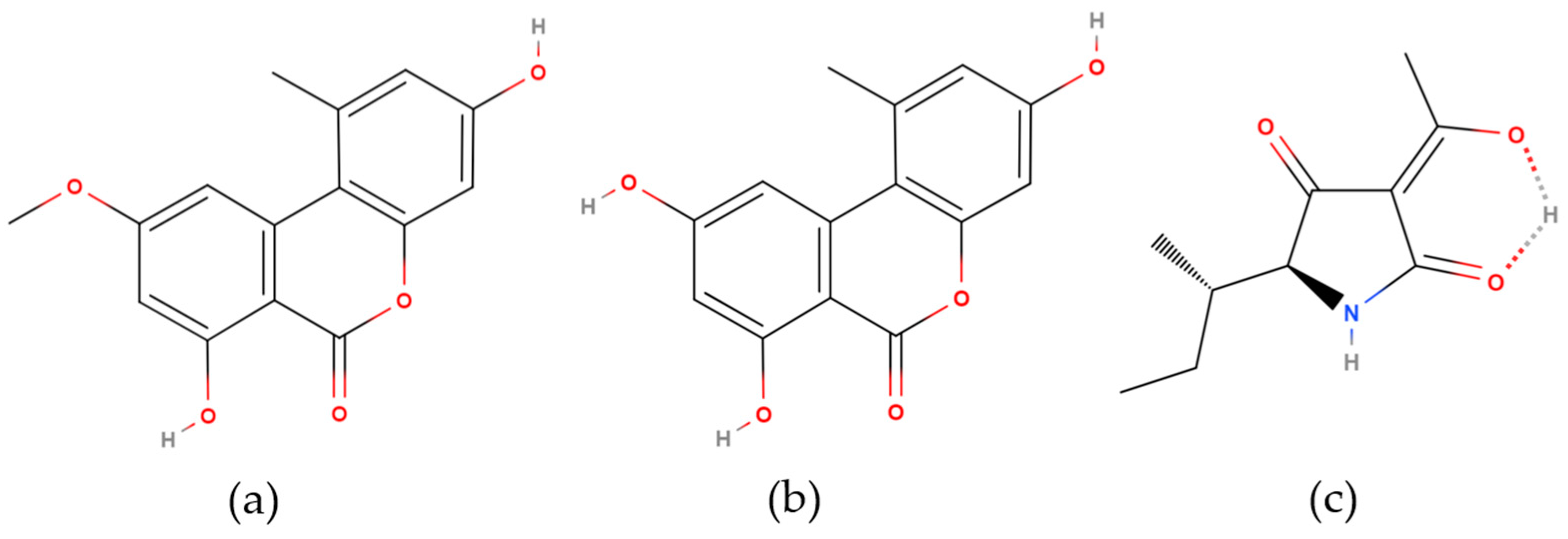
1. Introduction
2. Results and Discussion
2.1. Method Optimization
2.2. Method Validation
2.3. Comparison with Previously Published Methods
2.4. Matrix Effects
2.5. Stability
2.6. Application to Real Samples
3. Conclusions
4. Materials and Methods
4.1. Chemicals and Reagents
4.2. Sample Collection
4.3. Sample Extraction
4.3.1. Capillary Blood Samples
4.3.2. Urine
4.3.3. Feces
4.4. UPLC-MS/MS Analysis and Method Validation
Author Contributions
Funding
Data Availability Statement
Acknowledgments
Conflicts of Interest
Appendix A
| Reference | Matrix | Analyte | LOD | LOQ | Linear Range | RE | RSDR | RSDr | SSE | SSEIS | RA |
|---|---|---|---|---|---|---|---|---|---|---|---|
| ng/mL | ng/mL | ng/mL | % | % | % | % | % | % | |||
| De Ruyck et al. (2020) [28] | Human urine | AME | 0.037 | 0.063 | |||||||
| AOH | 0.015 | 0.061 | |||||||||
| TeA | 0.180 | 0.250 | |||||||||
| Asam et al. (2013) [19] | Human urine | TA-DNPH | 0.2 | 0.6 | 1–100 | 6.7 | |||||
| Krausová et al. (2021) [31] | Infant feces * | AOH | 0.8 | 1.6 | 10–30 | 68–78 | 28–8 | 40–9 | 96 | ||
| AME | 0.03 | 0.06 | 0.7–2.2 | 40–49 | 27–16 | 23–7 | 83 | ||||
| Vidal et al. (2021) [25] | Humanblood (VAMS) | AOH | 1.37 | 2.74 | 10–250 | 13.2 | 105 | 136–92.8 | |||
| AME | 1.86 | 3.72 | 10–100 | 10.4 | 83.1 | 124–118 | |||||
| Martins et al. (2019) [29] | Human urine | AOH | 0.4 | 0.9 | 0.1–50 | 7.8 | 5.9 | 89.7 | |||
| AME | 0.5 | 1 | 0.1–50 | 9.6 | 8.2 | 87 | |||||
| Puntscher et al. (2019) [30] | Rat urine | AOH | 0.05 | 0.1 | 0.1–100 | 43 | 8 | 8 | 62 | ||
| AME | 0.005 | 0.01 | 0.02–20 | 31 | 9 | 8 | 66 | ||||
| TeA | 0.1 | 1 | 1.2–1200 | 117 | 17 | 7 | 86 | ||||
| Rat feces ** | AOH | 0.5 | 1 | 1–1000 | 65 | 19 | 11 | 42 | |||
| AME | 0.3 | 0.6 | 0.2–200 | 56 | 18 | 7 | 19 | ||||
| TeA | 30 | 60 | 12–12,000 | 89 | 23 | 13 | 109 |
References
- Eskola, M.; Kos, G.; Elliott, C.T.; Hajšlová, J.; Mayar, S.; Krska, R. Worldwide Contamination of Food-Crops with Mycotoxins: Validity of the Widely Cited ‘FAO Estimate’ of 25%. Crit. Rev. Food Sci. Nutr. 2020, 60, 2773–2789. [Google Scholar] [CrossRef] [PubMed]
- Moretti, A.; Pascale, M.; Logrieco, A.F. Mycotoxin Risks under a Climate Change Scenario in Europe. Trends Food Sci. Technol. 2019, 84, 38–40. [Google Scholar] [CrossRef]
- European Commission. 2021 Annual Report. Alert and Cooperation Network; Publications Office of the European Union: Luxembourg, 2022; p. 28. [Google Scholar] [CrossRef]
- Arcella, D.; Eskola, M.; Gómez Ruiz, J.A. Dietary Exposure Assessment to Alternaria Toxins in the European Population. EFSA J. 2016, 14, e04654. [Google Scholar] [CrossRef]
- EFSA Panel on Contaminants in the Food Chain. Scientific Opinion on the Risks for Animal and Public Health Related to the Presence of Alternaria toxins in Feed and Food. EFSA J. 2011, 9, 2407. [Google Scholar] [CrossRef]
- Kumari, A.; Tirkey, N.N. Tenuazonic acid: A potent mycotoxin. In Recent Trends in Human and Animal Mycology; Springer: Berlin/Heidelberg, Germany, 2019; pp. 203–211. ISBN 9789811394355. [Google Scholar]
- Commission Regulation (EC) No 1881/2006, European Commission. EFSA Contam Panel. Off. J. Eur. Union 2006, 5–23. [Google Scholar]
- den Hollander, D.; Holvoet, C.; Demeyere, K.; De Zutter, N.; Audenaert, K.; Meyer, E.; Croubels, S. Cytotoxic Effects of Alternariol, Alternariol Monomethyl-Ether, and Tenuazonic Acid and Their Relevant Combined Mixtures on Human Enterocytes and Hepatocytes. Front. Microbiol. 2022, 13, 849243. [Google Scholar] [CrossRef]
- Bensassi, F.; Gallerne, C.; Sharaf El Dein, O.; Hajlaoui, M.R.; Bacha, H.; Lemaire, C. Cell Death Induced by the Alternaria Mycotoxin Alternariol. Toxicol. Vitr. 2012, 26, 915–923. [Google Scholar] [CrossRef] [PubMed]
- Fehr, M.; Pahlke, G.; Fritz, J.; Christensen, M.O.; Boege, F.; Altemöller, M.; Podlech, J.; Marko, D. Alternariol Acts as a Topoisomerase Poison, Preferentially Affecting the IIα Isoform. Mol. Nutr. Food Res. 2009, 53, 441–451. [Google Scholar] [CrossRef]
- Pfeiffer, E.; Eschbach, S.; Metzler, M. Alternaria Toxins: DNA Strand-Breaking Activity in Mammalian Cells in Vitro. Mycotoxin Res. 2007, 23, 152–158. [Google Scholar] [CrossRef]
- Schwarz, C.; Kreutzer, M.; Marko, D. Minor Contribution of Alternariol, Alternariol Monomethyl Ether and Tenuazonic Acid to the Genotoxic Properties of Extracts from Alternaria alternata Infested Rice. Toxicol. Lett. 2012, 214, 46–52. [Google Scholar] [CrossRef]
- Solhaug, A.; Wisbech, C.; Christoffersen, T.E.; Hult, L.O.; Lea, T.; Eriksen, G.S.; Holme, J.A. The Mycotoxin Alternariol Induces DNA Damage and Modify Macrophage Phenotype and Inflammatory Responses. Toxicol. Lett. 2015, 239, 9–21. [Google Scholar] [CrossRef] [PubMed]
- European Commission. Commission Recommendation (EU) 2022/553; European Commission: Luxembourg, 2022; pp. 90–92. [Google Scholar]
- Burkhardt, B.; Pfeiffer, E.; Metzler, M. Absorption and Metabolism of the Mycotoxins Alternariol and Alternariol-9-Methyl Ether in Caco-2 Cells in Vitro. Mycotoxin Res. 2009, 25, 149–157. [Google Scholar] [CrossRef] [PubMed]
- Puntscher, H.; Hankele, S.; Tillmann, K.; Attakpah, E.; Braun, D.; Kütt, M.-L.; Del Favero, G.; Aichinger, G.; Pahlke, G.; Höger, H.; et al. First Insights into Alternaria Multi-Toxin in Vivo Metabolism. Toxicol. Lett. 2019, 301, 168–178. [Google Scholar] [CrossRef] [PubMed]
- Visintin, L.; García Nicolás, M.; Vangeenderhuysen, P.; Goessens, T.; Alladio, E.; Pomian, B.; Vanhaecke, L.; De Saeger, S.; De Boevre, M. Unraveling Biomarkers of Exposure for Tenuazonic Acid through Urinary Metabolomics. Food Chem. Toxicol. 2023, 182, 114183. [Google Scholar] [CrossRef] [PubMed]
- Fraeyman, S.; Devreese, M.; Broekaert, N.; De Mil, T.; Antonissen, G.; De Baere, S.; De Backer, P.; Rychlik, M.; Croubels, S. Quantitative Determination of Tenuazonic Acid in Pig and Broiler Chicken Plasma by LC-MS/MS and Its Comparative Toxicokinetics. J. Agric. Food Chem. 2015, 63, 8560–8567. [Google Scholar] [CrossRef] [PubMed]
- Asam, S.; Habler, K.; Rychlik, M. Determination of Tenuazonic Acid in Human Urine by Means of a Stable Isotope Dilution Assay. Anal. Bioanal. Chem. 2013, 405, 4149–4158. [Google Scholar] [CrossRef] [PubMed]
- Mikula, H.; Horkel, E.; Hans, P.; Hametner, C.; Fröhlich, J. Structure and Tautomerism of Tenuazonic Acid—A Synergetic Computational and Spectroscopic Approach. J. Hazard. Mater. 2013, 250–251, 308–317. [Google Scholar] [CrossRef] [PubMed]
- Stove, C.P.; Ingels, A.-S.M.E.; De Kesel, P.M.M.; Lambert, W.E. Dried Blood Spots in Toxicology: From the Cradle to the Grave? Crit. Rev. Toxicol. 2012, 42, 230–243. [Google Scholar] [CrossRef] [PubMed]
- De Kesel, P.M.M.; Lambert, W.E.; Stove, C.P. Does Volumetric Absorptive Microsampling Eliminate the Hematocrit Bias for Caffeine and Paraxanthine in Dried Blood Samples? A Comparative Study. Anal. Chim. Acta 2015, 881, 65–73. [Google Scholar] [CrossRef]
- Bastos-Moreira, Y.; Ouédraogo, L.; De Boevre, M.; Argaw, A.; de Kok, B.; Hanley-Cook, G.T.; Deng, L.; Ouédraogo, M.; Compaoré, A.; Tesfamariam, K.; et al. A Multi-Omics and Human Biomonitoring Approach to Assessing the Effectiveness of Fortified Balanced Energy–Protein Supplementation on Maternal and Newborn Health in Burkina Faso: A Study Protocol. Nutrients 2023, 15, 4056. [Google Scholar] [CrossRef]
- Delahaye, L.; De Baerdemaeker, L.; Stove, C.P. Determination of Paracetamol and Its Metabolites via LC-MS/MS in Dried Blood Volumetric Absorptive Microsamples: A Tool for Pharmacokinetic Studies. J. Pharm. Biomed. Anal. 2021, 206, 114361. [Google Scholar] [CrossRef] [PubMed]
- Vidal, A.; Belova, L.; Stove, C.; De Boevre, M.; De Saeger, S.; Vidal, A.; Belova, L.; Stove, C.; De Boevre, M.; De Saeger, S. Volumetric Absorptive Microsampling as an Alternative Tool for Biomonitoring of Multi-Mycotoxin Exposure in Resource-Limited Areas. Toxins 2021, 13, 345. [Google Scholar] [CrossRef] [PubMed]
- Pfeiffer, E.; Schebb, N.H.; Podlech, J.; Metzler, M. Novel Oxidative in Vitro Metabolites of the Mycotoxins Alternariol and Alternariol Methyl Ether. Mol. Nutr. Food Res. 2007, 51, 307–316. [Google Scholar] [CrossRef] [PubMed]
- Aichinger, G.; Del Favero, G.; Warth, B.; Marko, D. Alternaria Toxins—Still Emerging? Compr. Rev. Food Sci. Food Saf. 2021, 20, 4390–4406. [Google Scholar] [CrossRef] [PubMed]
- De Ruyck, K.; Huybrechts, I.; Yang, S.; Arcella, D.; Claeys, L.; Abbeddou, S.; De Keyzer, W.; De Vries, J.; Ocke, M.; Ruprich, J.; et al. Mycotoxin Exposure Assessments in a Multi-Center European Validation Study by 24-Hour Dietary Recall and Biological Fluid Sampling. Environ. Int. 2020, 137, 105539. [Google Scholar] [CrossRef] [PubMed]
- Martins, C.; Vidal, A.; De Boevre, M.; De Saeger, S.; Nunes, C.; Torres, D.; Goios, A.; Lopes, C.; Assunção, R.; Alvito, P. Exposure Assessment of Portuguese Population to Multiple Mycotoxins: The Human Biomonitoring Approach. Int. J. Hyg. Environ. Health 2019, 222, 913–925. [Google Scholar] [CrossRef] [PubMed]
- Puntscher, H.; Aichinger, G.; Grabher, S.; Attakpah, E.; Krüger, F.; Tillmann, K.; Motschnig, T.; Hohenbichler, J.; Braun, D.; Plasenzotti, R.; et al. Bioavailability, Metabolism, and Excretion of a Complex Alternaria Culture Extract versus Altertoxin II: A Comparative Study in Rats. Arch. Toxicol. 2019, 93, 3153–3167. [Google Scholar] [CrossRef] [PubMed]
- Krausová, M.; Ayeni, K.I.; Wisgrill, L.; Ezekiel, C.N.; Braun, D.; Warth, B. Trace Analysis of Emerging and Regulated Mycotoxins in Infant Stool by LC-MS/MS. Anal. Bioanal. Chem. 2022, 414, 7503–7516. [Google Scholar] [CrossRef]
- Amante, E.; Alladio, E.; Rizzo, R.; Di Corcia, D.; Negri, P.; Visintin, L.; Guglielmotto, M.; Tamagno, E.; Vincenti, M.; Salomone, A. Untargeted Metabolomics in Forensic Toxicology: A New Approach for the Detection of Fentanyl Intake in Urine Samples. Molecules 2021, 26, 4990. [Google Scholar] [CrossRef]
- Vidal, A.; Claeys, L.; Mengelers, M.; Vanhoorne, V.; Vervaet, C.; Huybrechts, B.; De Saeger, S.; De Boevre, M. Humans Significantly Metabolize and Excrete the Mycotoxin Deoxynivalenol and Its Modified Form Deoxynivalenol-3-Glucoside within 24 Hours. Sci. Rep. 2018, 8, 5255. [Google Scholar] [CrossRef]
- Lauwers, M.; De Baere, S.; Letor, B.; Rychlik, M.; Croubels, S.; Devreese, M. Multi LC-MS/MS and LC-HRMS Methods for Determination of 24 Mycotoxins Including Major Phase I and II Biomarker Metabolites in Biological Matrices from Pigs and Broiler Chickens. Toxins 2019, 11, 171. [Google Scholar] [CrossRef] [PubMed]
- Miró-Abella, E.; Herrero, P.; Canela, N.; Arola, L.; Ras, R.; Borrull, F.; Fontanals, N. Optimised Extraction Methods for the Determination of Trichothecenes in Rat Faeces Followed by Liquid Chromatography-Tandem Mass Spectrometry. J. Chromatogr. B Anal. Technol. Biomed. Life Sci. 2019, 1105, 47–53. [Google Scholar] [CrossRef] [PubMed]
- Leardi, R.; Melzi, C.; Polotti, G. CAT (Chemometric Agile Tool). Available online: http://gruppochemiometria.it/index.php/software (accessed on 14 January 2024).
- R Core Team. R: A Language and Environment for Statistical Computing; R Foundation for Statistical Computing: Vienna, Austria; Available online: https://www.r-project.org/ (accessed on 27 September 2022).
- Anastas, P.T.; Warner, J.C. Green Chemistry; Oxford University Press: Oxford, UK, 1998; ISBN 9780198506980. [Google Scholar]
- Sulyok, M.; Berthiller, F.; Krska, R.; Schuhmacher, R. Development and Validation of a Liquid Chromatography/Tandem Mass Spectrometric Method for the Determination of 39 Mycotoxins in Wheat and Maize. Rapid Commun. Mass Spectrom. 2006, 20, 2649–2659. [Google Scholar] [CrossRef] [PubMed]
- 2002/657/EC: Commission Decision of 12 August 2002 Implementing Council Directive 96/23/EC Concerning the Performance of Analytical Methods and the Interpretation of Results (Text with EEA Relevance) (Notified under Document Number C(2002) 3044). Available online: https://www.legislation.gov.uk/eudn/2002/657 (accessed on 11 November 2021).
- European Commission. Commission Implementing Regulation (EU) 2023/2782of 14 December 2023 Down the Methods of Sampling and Analysis for the Control of the Levels of Mycotoxins in food and Repealing Regulation (EC) No 401/2006. Off. J. Eur. Union 2023, 2782, 1–44. [Google Scholar]
- ISO 5725-1:2023; International Organization for Standardization Accuracy (Trueness and Precision) of Measurement Methods and Results. JSA Group Webdesk: Tokyo, Japan, 2023.
- Di Bucchianico, A. Coefficient of Determination (R 2). In Encyclopedia of Statistics in Quality and Reliability; Wiley: Hoboken, NJ, USA, 2007. [Google Scholar]


| Analyte | Matrix | Enzymatic Hydrolysis | R2 | LOD | Calibration Range | SSE | RA | RE | Recovery | RSDr | RSDR | ||||
|---|---|---|---|---|---|---|---|---|---|---|---|---|---|---|---|
| LLOQ–ULOQ | without IS | with IS | LLOQ | ULOQ | LLOQ | ULOQ | LLOQ | ULOQ | |||||||
| ng/mL * | ng/mL * | % | % | % | % | % | % | % | % | % | % | ||||
| AOH | Urine | No | 0.9960 | 0.053 | 0.1–10 | 22.1 | 15.5 | 94.71 | 70.3 | 107.2 | 100.9 | 14.0 | 2.0 | 0.7 | 0.6 |
| AME | Urine | No | 0.9989 | 0.050 | 0.1–10 | 73.0 | 18.8 | 96.3 | 25.7 | 105.5 | 100.3 | 10.0 | 5.0 | 7.4 | 3.1 |
| TeA | Urine | No | 0.9971 | 0.016 | 0.1–10 | 104.1 | 95.4 | 95.8 | 95.7 | 107.6 | 98.3 | 4.0 | 4.1 | 3.2 | 4.7 |
| AOH | Urine | Yes | 0.9983 | 0.042 | 0.1–10 | 101.3 | 64.4 | 93.55 | 63.6 | 102.2 | 103.1 | 19.0 | 3.5 | 3.0 | 1.9 |
| AME | Urine | Yes | 0.9994 | 0.043 | 0.1–10 | 24.5 | 24.8 | 108.9 | 101.4 | 103.6 | 100.9 | 16.5 | 4.3 | 15.4 | 4.5 |
| TeA | Urine | Yes | 0.9983 | 0.048 | 0.1–10 | 80.3 | 80.01 | 97.12 | 99.6 | 96.22 | 101.1 | 11.5 | 2.1 | 17.1 | 1.9 |
| AOH | Blood | No | 0.9988 | 0.027 | 0.05–10 | 93.6 | 89.6 | 92.6 | 95.7 | 106.7 | 100.1 | 10.0 | 2.0 | 7.7 | 0.8 |
| AME | Blood | No | 0.9967 | 0.007 | 0.05–10 | 62.9 | 63.3 | 93.3 | 100.4 | 111.1 | 99.6 | 11.1 | 2.3 | 2.4 | 1.5 |
| TeA | Blood | No | 0.9984 | 0.029 | 0.05–10 | 93.6 | 89.6 | 105.6 | 95.7 | 108.9 | 99.6 | 8.9 | 1.5 | 8.8 | 1.5 |
| AOH | Blood | Yes | 0.9963 | 0.01 | 0.05–10 | 70.2 | 43.3 | 97.8 | 61.6 | 96.3 | 101.1 | 6.3 | 0.4 | 4.5 | 4.4 |
| AME | Blood | Yes | 0.9957 | 0.003 | 0.05–10 | 113.8 | 88.8 | 102.6 | 78.0 | 103 | 102.4 | 17.8 | 0.6 | 12.3 | 2.1 |
| TeA | Blood | Yes | 0.9912 | 0.026 | 0.05–10 | 105.3 | 64.9 | 99.6 | 61.6 | 98.0 | 101.1 | 19.6 | 3.1 | 9.5 | 3.1 |
| AOH | Feces | No | 0.9934 | 0.412 | 1.25–20 | 91.7 | 77.2 | 98.4 | 78.9 | 103.9 | 100.3 | 1.2 | 0.1 | 4.2 | 3.5 |
| AME | Feces | No | 0.9919 | 0.424 | 1.25–20 | 82.0 | 74.9 | 99.2 | 89.7 | 94.5 | 94.4 | 1.3 | 5.0 | 8.3 | 5.3 |
| TeA | Feces | No | 0.9946 | 0.204 | 0.63–20 | 69.3 | 62.3 | 100.1 | 75.2 | 101.1 | 102.1 | 5.9 | 3.7 | 5.9 | 3.7 |
| Analyte | Stability in Urine (%) | Stability in Capillary Blood (%) | ||||||
|---|---|---|---|---|---|---|---|---|
| 0.1 ng/mL | 10 ng/mL | 0.1 ng/mL | 10 ng/mL | 0.05 ng/mL | 5 ng/mL | 0.05 ng/mL | 5 ng/mL | |
| −20 °C 21 Days | −20 °C 21 Days | 4 °C 5 Days | 4 °C 5 Days | 4 °C 21 Days | 4 °C 21 Days | 20 °C 5 Days | 20 °C 5 Days | |
| AOH | 93.0 | 99.5 | 87.0 | 89.8 | 104.5 | 94.9 | 99.2 | 64.1 |
| AME | 115.0 | 95.8 | 107.0 | 95.9 | 108.9 | 111.3 | 104.0 | 93.9 |
| TeA | 101.6 | 101.0 | 116.0 | 96.2 | 101.2 | 99.9 | 89.6 | 76.5 |
| Analyte | Rt | Cone | [M-H]− m/z | CE | Product Ion m/z |
|---|---|---|---|---|---|
| (min) | (V) | (eV) | |||
| AOH | 2.80 | 73 | 257.0 | 23 | 213.0 |
| 25 | 215.0 | ||||
| TeA | 2.68 | 50 | 196.1 | 23 | 112.1 |
| 18 | 139.0 | ||||
| AME | 3.44 | 60 | 271.1 | 31 | 255.0 |
| 22 | 256.0 | ||||
| 13C15-AME | 3.44 | 60 | 286.1 | 31 | 269.0 |
| 22 | 270.0 |
Disclaimer/Publisher’s Note: The statements, opinions and data contained in all publications are solely those of the individual author(s) and contributor(s) and not of MDPI and/or the editor(s). MDPI and/or the editor(s) disclaim responsibility for any injury to people or property resulting from any ideas, methods, instructions or products referred to in the content. |
© 2024 by the authors. Licensee MDPI, Basel, Switzerland. This article is an open access article distributed under the terms and conditions of the Creative Commons Attribution (CC BY) license (https://creativecommons.org/licenses/by/4.0/).
Share and Cite
Visintin, L.; García Nicolás, M.; De Saeger, S.; De Boevre, M. Validation of a UPLC-MS/MS Method for Multi-Matrix Biomonitoring of Alternaria Toxins in Humans. Toxins 2024, 16, 296. https://doi.org/10.3390/toxins16070296
Visintin L, García Nicolás M, De Saeger S, De Boevre M. Validation of a UPLC-MS/MS Method for Multi-Matrix Biomonitoring of Alternaria Toxins in Humans. Toxins. 2024; 16(7):296. https://doi.org/10.3390/toxins16070296
Chicago/Turabian StyleVisintin, Lia, María García Nicolás, Sarah De Saeger, and Marthe De Boevre. 2024. "Validation of a UPLC-MS/MS Method for Multi-Matrix Biomonitoring of Alternaria Toxins in Humans" Toxins 16, no. 7: 296. https://doi.org/10.3390/toxins16070296
APA StyleVisintin, L., García Nicolás, M., De Saeger, S., & De Boevre, M. (2024). Validation of a UPLC-MS/MS Method for Multi-Matrix Biomonitoring of Alternaria Toxins in Humans. Toxins, 16(7), 296. https://doi.org/10.3390/toxins16070296

