An Investigation of the Spatial Arrangement of Mycotoxin Build-Up in Corn Stored Under Different Environmental Conditions
Abstract
1. Introduction
2. Results and Discussion
2.1. Environmental Conditions Within Bins
2.2. Aflatoxin
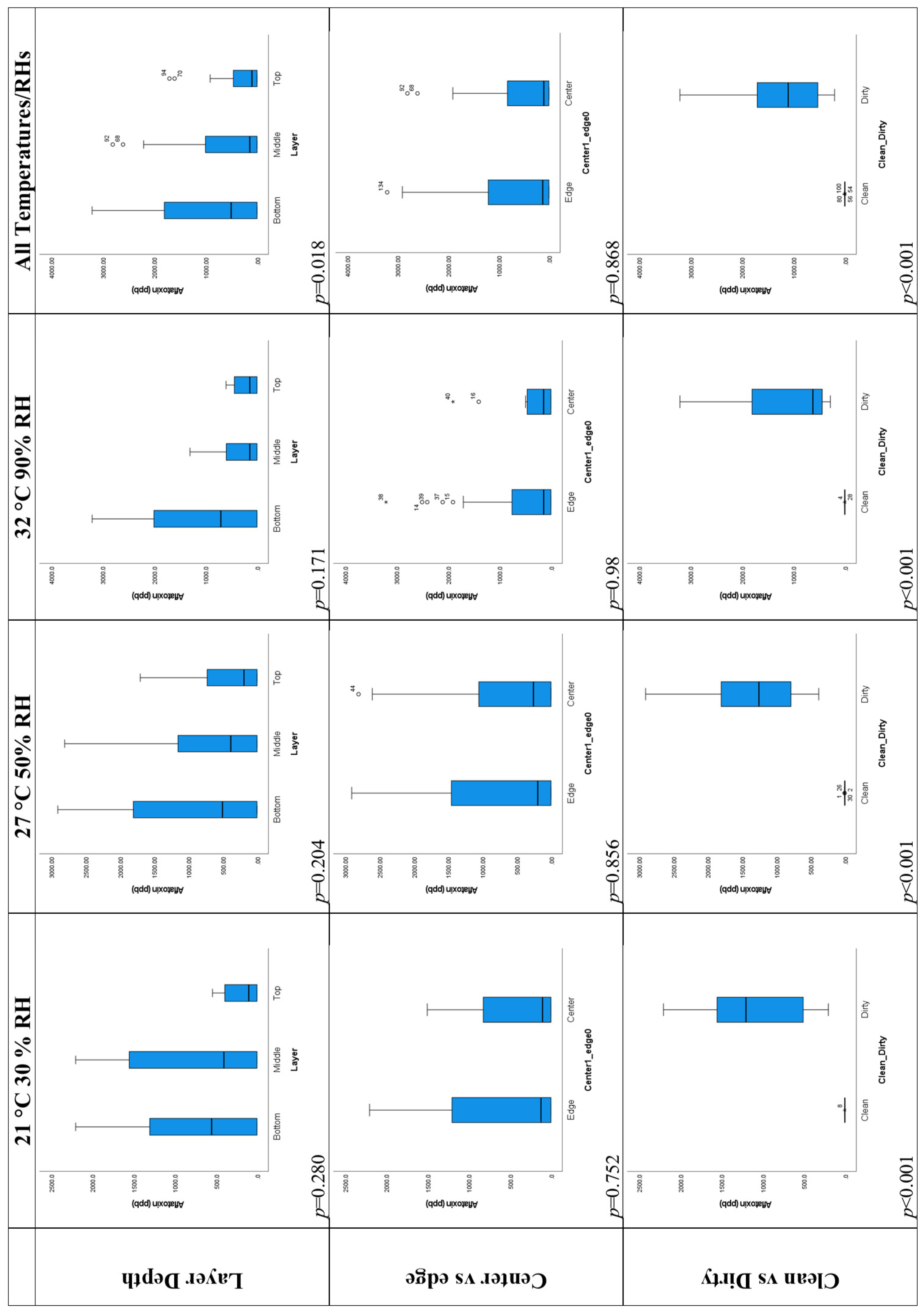
2.2.1. Summary Statistics and Spatial Distribution
2.2.2. Layer Depth
2.2.3. Central and Edge Locations
2.2.4. Clean and Dirty Corn
2.2.5. Temperature/Relative Humidity
2.3. Deoxynivalenol (DON)
2.4. Fumonisin
Summary Statistics and Spatial Distribution
2.5. Zearalenone
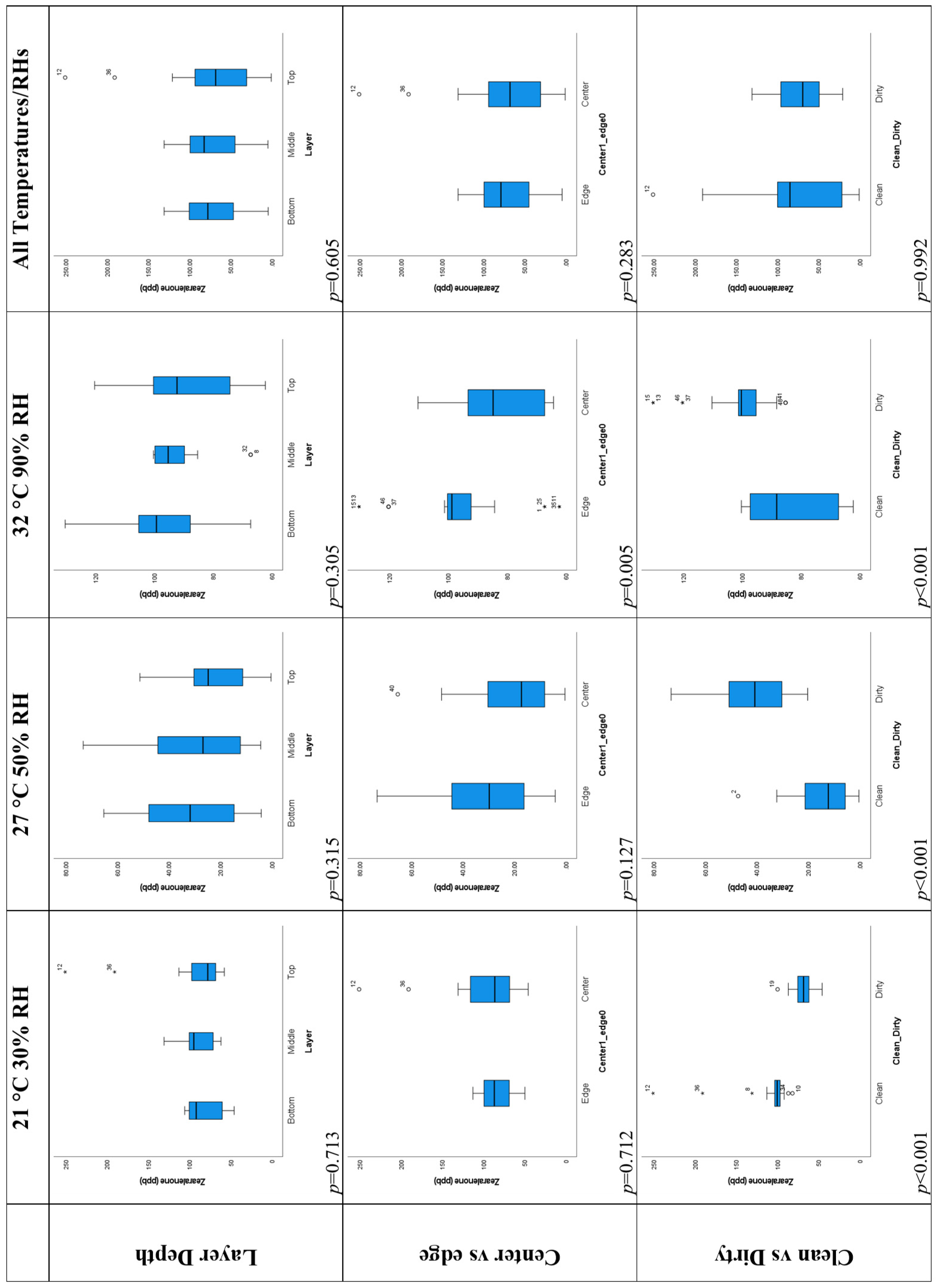
2.5.1. Summary Statistics and Spatial Distribution
2.5.2. Layer Depth
2.5.3. Central and Edge Locations
2.5.4. Clean and Dirty Corn
2.5.5. Temperature/Relative Humidity
2.6. Summary
2.6.1. Layer Depth
2.6.2. Central and Edge Locations
2.6.3. Clean and Dirty Corn
2.6.4. Temperature/Relative Humidity
3. Conclusions
4. Materials and Methods
4.1. Experimental Set-Up
- (1)
- 21 °C and 30% RH;
- (2)
- 27 °C and 50% RH;
- (3)
- 32 °C and 90% RH.
4.2. Mycotoxin Analysis
4.3. Statistical Methods
Supplementary Materials
Author Contributions
Funding
Institutional Review Board Statement
Informed Consent Statement
Data Availability Statement
Conflicts of Interest
References
- Wild, C.P.; Gong, Y.Y. Mycotoxins and human disease: A largely ignored global health issue. Carcinogenesis 2010, 31, 71–82. [Google Scholar] [CrossRef] [PubMed]
- Kushiro, M. Effects of milling and cooking processes on the deoxynivalenol content in wheat. Int. J. Mol. Sci. 2008, 9, 2127–2145. [Google Scholar] [CrossRef]
- Wang, Y.; Wang, L.; Liu, F.; Wang, Q.; Selvaraj, J.N.; Xing, F.; Zhao, Y.; Liu, Y. Ochratoxin A producing fungi, biosynthetic pathway and regulatory mechanisms. Toxins 2016, 8, 83. [Google Scholar] [CrossRef]
- Mazumder, P.M.; Sasmal, D. Mycotoxins e limits and regulations. Anc. Sci. Life 2001, 20, 1–19. [Google Scholar]
- Food and Agriculture Organization of the United Nations (FAO). Worldwide Regulations for Mycotoxins in Food and Feed in 2003. FAO Food Nutr. Pap. 2004, 81. Available online: http://www.fao.org/3/y5499e/y5499e00.htm#Contents (accessed on 1 September 2024).
- Barrett, J.R. Liver cancer and aflatoxin: New information from the Kenyan outbreak. Environ. Health Perspect. 2005, 113, A837–A838. [Google Scholar] [CrossRef]
- Marchese, S.; Polo, A.; Ariano, A.; Velotto, S.; Costantini, S.; Severino, L. Aflatoxin b1 and m1: Biological properties and their involvement in cancer development. Toxins 2018, 10, 214. [Google Scholar] [CrossRef]
- National Research Council (US) Committee on Diet, Nutrition, and Cancer. Diet, Nutrition, and Cancer; Naturally Occurring Carcinogens; National Academies Press (US): Washington, DC, USA, 1982; Volume 12. Available online: https://www.ncbi.nlm.nih.gov/books/NBK216657/ (accessed on 1 September 2024).
- Jallow, A.; Xie, H.; Tang, X.; Qi, Z.; Li, P. Worldwide aflatoxin contamination of agricultural products and foods: From occurrence to control. Compr. Rev. Food Sci. Food Saf. 2021, 20, 2332–2381. [Google Scholar] [CrossRef] [PubMed]
- Tueller, G.; Kerry, R.; Young, S.G. Spatial investigation of the links between aflatoxins legislation, climate, and liver cancer at the global scale. Spat. Spatio-Temporal. Epidemiol. 2023, 46, 100592. [Google Scholar] [CrossRef]
- Henry, S.H.; Bosch, F.X.; Troxell, T.C.; Bolger, P.M. Reducing liver cancer: Global control of aflatoxin. Science 1999, 286, 2453–2454. [Google Scholar] [CrossRef]
- Liu, Y.; Wu, F. Global burden of aflatoxin-induced hepatocellular carcinoma: A risk assessment. Environ. Health Perspect. 2010, 118, 818–824. [Google Scholar] [CrossRef]
- Wu, H.C.; Santella, R. The role of aflatoxins in hepatocellular carcinoma. Hepat. Mon. 2012, 12, 10. [Google Scholar] [CrossRef] [PubMed]
- Dai, X.; Sharma, M.; Chen, J. (Eds.) Fungi in Sustainable Food Production; Springer International Publishing: Cham, Switzerland, 2021. [Google Scholar] [CrossRef]
- Eskola, M.; Kos, G.; Elliott, C.T.; Hajšlová, J.; Mayar, S.; Krska, R. Worldwide contamination of food-crops with mycotoxins: Validity of the widely cited ‘FAO estimate’ of 25%. Crit. Rev. Food Sci. Nutr. 2020, 60, 2773–2789. [Google Scholar] [CrossRef]
- Belizán, M.M.; Gomez, A.D.; Baptista, Z.P.; Jimenez, C.M.; Matías, M.D.; Catalán, C.A.; Sampietro, D.A. Influence of water activity and temperature on growth and production of trichothecenes by Fusarium graminearum sensu stricto and related species in maize grains. Int. J. Food Microbiol. 2019, 305, 108242. [Google Scholar] [CrossRef]
- Jiménez, M.; Manez, M.; Hernandez, E. Influence of water activity and temperature on the production of zearalenone in corn by three Fusarium species. Int. J. Food Microbiol. 1996, 29, 417–421. [Google Scholar] [CrossRef]
- Samapundo, S.; Devliehgere, F.; De Meulenaer, B.; Debevere, J. Effect of water activity and temperature on growth and the relationship between fumonisin production and the radial growth of Fusarium verticillioides and Fusarium proliferatum on corn. J. Food Prot. 2005, 68, 1054–1059. [Google Scholar] [CrossRef] [PubMed]
- Samapundo, S.; Devlieghere, F.; Geeraerd, A.H.; De Meulenaer, B.; Van Impe, J.F.; Debevere, J. Modelling of the individual and combined effects of water activity and temperature on the radial growth of Aspergillus flavus and A. parasiticus on corn. Food Microbiol. 2007, 24, 517–529. [Google Scholar] [CrossRef] [PubMed]
- Sobrova, P.; Adam, V.; Vasatkova, A.; Beklova, M.; Zeman, L.; Kizek, R. Deoxynivalenol and its toxicity. Interdiscip. Toxicol. 2010, 3, 94–99. [Google Scholar] [CrossRef]
- Kamle, M.; Mahato, D.K.; Devi, S.; Lee, K.E.; Kang, S.G.; Kumar, P. Fumonisins: Impact on Agriculture, Food, and Human Health and their Management Strategies. Toxins 2019, 11, 328. [Google Scholar] [CrossRef]
- Ropejko, K.; Twarużek, M. Zearalenone and Its Metabolites-General Overview, Occurrence, and Toxicity. Toxins 2021, 13, 35. [Google Scholar] [CrossRef]
- Caddick, L. Water Activity and Equilibrium Relative Humidity. What Are They and Why Are They Important to Safe Grain Storage. 2000. Available online: https://storedgrain.com.au/water-activity-and-equilibrium-relative-humidity-len-caddick-csiro/ (accessed on 6 March 2024).
- Cotty, P.J.; Jaime-Garcia, R. Influences of climate on aflatoxin producing fungi and aflatoxin contamination. Int. J. Food Microbiol. 2007, 119, 109–115. [Google Scholar] [CrossRef]
- Kerry, R.; Ortiz, B.; Ingram, B.R.; Scully, B.T. A Spatio-Temporal Investigation of Risk Factors for Aflatoxin Contamination of Corn in Southern Georgia, USA using Geostatistical Methods. Crop Prot. 2017, 94, 144–158. [Google Scholar] [CrossRef]
- Yoo, E.; Kerry, R.; Ingram, B.R.; Ortiz, B.; Scully, B. Defining and Characterizing Aflatoxin Contamination Risk Areas for Corn in Georgia, USA: Adjusting for Collinearity and Spatial Correlation. Spat. Stat. 2018, 28, 84–104. [Google Scholar] [CrossRef]
- Battilani, P.; Toscano, P.; Van der Fels-Klerx, H.J.; Moretti, A.; Camardo Leggieri, M.; Brera, C.; Rortais, A.; Goumperis, T.; Robinson, T. Aflatoxin B1 contamination in maize in Europe increases due to climate change. Sci Rep. 2016, 6, 24328. [Google Scholar] [CrossRef]
- Vergopoulou, S.; Galanopoulou, D.; Markaki, P. Methyl jasmonate stimulates aflatoxin B1 biosynthesis by Aspergillus parasiticus. J. Agric. Food Chem. 2001, 49, 3494–3498. [Google Scholar] [CrossRef] [PubMed]
- Goodrich-Tanrikulu, M.; Mahoney, N.E.; Rodriguez, S.B. The plant growth regulator methyl jasmonate inhibits aflatoxin production by Aspergillus flavus. Microbiology 1995, 141, 2831–2837. [Google Scholar] [CrossRef]
- Li, X.; Ren, Y.; Jing, J.; Jiang, Y.; Yang, Q.; Luo, S.; Xing, F. The inhibitory mechanism of methyl jasmonate on Aspergillus flavus growth and aflatoxin biosynthesis and two novel transcription factors are involved in this action. Food Res. Int. 2021, 140, 110051. [Google Scholar] [CrossRef]
- Kerry, R.; Ortiz, B.V.; Salvacion, A. Using Soil, Plant, Topographic and Remotely Sensed Data to Determine the Best Method for Defining Aflatoxin Contamination Risk Zones Within Fields for Precision Management. Agronomy 2022, 12, 2524. [Google Scholar] [CrossRef]
- Kerry, R.; Ingram, B.; Orellana, M.; Ortiz, B.V.; Scully, B.T. Development of a method to assess the risk of aflatoxin contamination of corn within counties in southern Georgia, USA using remotely sensed data. Smart Agric. Technol. 2023, 3, 100124. [Google Scholar] [CrossRef]
- Fumagalli, F.; Ottoboni, M.; Pinotti, L.; Cheli, F. Integrated mycotoxin management system in the feed supply chain: Innovative approaches. Toxins 2021, 13, 572. [Google Scholar] [CrossRef]
- Pfliegler, W.P.; Pócsi, I.; Győri, Z.; Pusztahelyi, T. The aspergilli and their mycotoxins: Metabolic interactions with plants and the soil biota. Front. Microbiol. 2020, 10, 2921. [Google Scholar] [CrossRef]
- Wu, F.; Khlangwiset, P. Health economic impacts and cost-effectiveness of aflatoxin-reduction strategies in Africa: Case studies in biocontrol and post-harvest interventions. Food Addit. Contam. Part A 2010, 27, 496–509. [Google Scholar] [CrossRef] [PubMed]
- Kerry, R.; Ingram, B.; Garcia-Cela, E.; Magan, N.; Ortiz, B.V.; Scully, B. Determining Future aflatoxin contamination risk scenarios for corn in Southern Georgia, USA using spatio-temporal modelling and future climate simulations. Sci. Rep. 2021, 11, 13522. [Google Scholar] [CrossRef] [PubMed]
- Yu, J.; Hennessy, D.A.; Tack, J.; Wu, F. Climate change will increase aflatoxin presence in US Corn. Environ. Res. Lett. 2022, 17, 054017. [Google Scholar] [CrossRef]
- Leggieri, M.C.; Toscano, P.; Battilani, P. Predicted Aflatoxin B1 Increase in Europe Due to Climate Change: Actions and Reactions at Global Level. Toxins 2021, 13, 292. [Google Scholar] [CrossRef]
- Medina, A.; Rodriguez, A.; Magan, N. Effect of climate change on Aspergillus flavus and aflatoxin B1 production. Front. Microbiol. 2014, 5, 348. [Google Scholar] [CrossRef]
- Nji, Q.N.; Babalola, O.O.; Mwanza, M. Aflatoxins in Maize: Can Their Occurrence Be Effectively Managed in Africa in the Face of Climate Change and Food Insecurity? Toxins 2022, 14, 574. [Google Scholar] [CrossRef]
- Valencia-Quintana, R.; Milić, M.; Jakšić, D.; Šegvić Klarić, M.; Tenorio-Arvide, M.G.; Pérez-Flores, G.A.; Bonassi, S.; Sánchez-Alarcón, J. Environment Changes, Aflatoxins, and Health Issues, a Review. Int. J. Environ. Res. Public Health 2020, 17, 7850. [Google Scholar] [CrossRef] [PubMed]
- Loi, M.; Logrieco Antonio, F.; Pusztahelyi, T.; Leiter; Hornok, L.; Pócsi, I. Advanced mycotoxin control and decontamination techniques in view of an increased aflatoxin risk in Europe due to climate change. Front. Microbiol. 2023, 13, 1085891. [Google Scholar] [CrossRef]
- Focker, M.; van Eupen, M.; Verweij, P.; Liu, C.; van Haren, C.; van der Fels-Klerx, H.J. Effects of Climate Change on Areas Suitable for Maize Cultivation and Aflatoxin Contamination in Europe. Toxins 2023, 15, 599. [Google Scholar] [CrossRef]
- Munkvold, G.P.; Arias, S.; Taschl, I.; Gruber-Dorninger, C. Mycotoxins in corn: Occurrence, impacts, and management. In Corn; Elsevier: Amsterdam, The Netherlands, 2019; pp. 235–287. [Google Scholar]
- FAO. The Future of Food and Agriculture: Trends and Challenges; FAO: Rome, Italy, 2017; Available online: http://www.fao.org/3/a-i6583e.pdf (accessed on 11 July 2020).
- Ranganathan, J.; Waite, R.; Searchinger, T.; Hanson, C. How to Sustainably Feed 10 Billion People by 2050, in 21 Charts; World Resources Institute: Washington, DC, USA, 2018; Available online: https://www.wri.org/blog/2018/12/how-sustainably-feed-10-billion-people-2050-21-charts (accessed on 1 September 2024).
- European Commission. Commission Regulation (EC) No 401/2006 of 23 February 2006 Laying Down the Methods of Sampling and Analysis for the Official Control of the Levels of Mycotoxins in Foodstuffs. Off. J. Eur. Union 2006, L70, 12–34. Available online: https://eur-lex.europa.eu/legal-content/EN/ALL/?uri=CELEX%3A32006R0401 (accessed on 1 September 2024).
- Maestroni, B.; Cannavan, A. Sampling Strategies to Control Mycotoxins; Joint FAO/IAEA Division of Nuclear Techniques in Food and Agriculture, International Atomic Energy Agency (IAEA): Vienna, Austria, 2011. [Google Scholar]
- Kerry, R.; Ingram, B.R.; Garcia-Cela, E.; Magan, N. Investigation of the potential to reduce waste through sampling and spatial analysis of grain bulks. Biosyst. Eng. 2021, 207, 92–105. [Google Scholar] [CrossRef]
- FDA. Compliance Policy Guidance Manual; FDA: Rockville, MD, USA, 2015. Available online: http://www.fda.gov/ICECI/ComplianceManuals/CompliancePolicyGuidanceManual/ucm074703.htm (accessed on 1 August 2016).
- Garcia-Cela, E.; Kiaitsi, E.; Sulyok, M.; Medina, A.; Magan, N. Monitoring of CO2 Levels in Stored Wheat Grains for Early Detection of Fusarium graminearum Colonization and Zearalenone (ZON) and Derivatives Accumulation. 2018. Available online: https://www.mytoolbox.eu/sites/mytoolbox.eu/files/page/84/Garcia_Cela_MonitoringCO2_poster.pdf (accessed on 1 September 2024).
- Abadía, M.B.; Castellari, C.C.; Monterubbianesi, M.G.; Bartosik, R.E. Respiration rates and microbiological development in yellow-dent maize seeds stored between 12% and 14% moisture content. J. Stored Prod. Res. 2023, 104, 102209. [Google Scholar] [CrossRef]
- Marcos Valle, F.J.; Gastón, A.; Abalone, R.M.; de la Torre, D.A.; Castellari, C.C.; Bartosik, R.E. Study and modelling the respiration of corn seeds (Zea mays L.) during hermetic storage. Biosyst. Eng. 2021, 208, 45–57. [Google Scholar] [CrossRef]
- FDA. Guidance for Industry: Fumonisin Levels in Human Foods and Animal Feeds; FDA: Rockville, MD, USA, 2001. [Google Scholar]
- Lindsey, R. Climate Change: Atmospheric Carbon Dioxide; NOAA Climate.gov: Silver Spring, MD, USA, 2024. Available online: https://www.climate.gov/news-features/understanding-climate/climate-change-atmospheric-carbon-dioxide (accessed on 26 September 2024).
- Bailey, C.; Davis, A.H. QuickTox™ Kit for QuickScan Aflatoxin. J. AOAC Int. 2019, 95, 1460–1468. [Google Scholar] [CrossRef]
- Wang, Y.; Xiao, C.; Guo, J.; Yuan, Y.; Wang, J.; Liu, L.; Yue, T. Development and Application of a Method for the Analysis of 9 Mycotoxins in Maize by HPLC-MS/MS. J. Food Sci. 2013, 78, M1752–M1756. [Google Scholar] [CrossRef]
- IBM Corp. IBM SPSS Statistics for Windows, Version 28.0; IBM Corp.: Armonk, NY, USA, 2021. [Google Scholar]







| Mycotoxin | Aflatoxin | DON | Fumonisin | Zearalenone |
|---|---|---|---|---|
| FDA Legislative Limits (ppb) (Ref.) | 20 ppb, 100 ppb, 200 ppb, 300 ppb (FDA 2015) | 1000 ppb FDA (2010) | 4000 ppb FDA (2001) | No limit yet established by FDA |
| Fungal Species Producing Toxin | Aspergillus flavus Aspergillus parasiticus | Fusarium graminearum | Fusarium verticillioides Fusarium proliferatum | Fusarium graminearum Fusarium culmorum |
| Optimal Temperature for Fungal Growth (°C) | 30 °C | 25 °C | 30 °C | 25 °C |
| Optimal ERH for Fungal Growth (%) | 96 | 99.5 | 96.9 | 99.5 |
| Optimal Temperature for Mycotoxin Production (°C) | 37 °C | 20–30 °C | 22 °C | 28 °C |
| Optimal ERH for Mycotoxin Production (%) | 99 | 97 | 97.2 | 97 |
| References | Samapundo et al. (2007) [19] | Belizán et al. (2019) [16] | Samapundo et al. (2005) [18] | Jiménez et al. (1996) [17] |
| Aflatoxin (ppb) | DON (ppb) | Fumonisin (ppm) | Zearalenone (ppb) | |
|---|---|---|---|---|
| clean | 0 | 28 | 3.46 | 22 |
| dirty | 300 | 29 | 5.21 | 115 |
| Conditions | N | Minimum | Maximum | Mean | Std. Deviation | Skewness |
|---|---|---|---|---|---|---|
| 21–32 °C, 30–90% RH clean and dirty | 144 | 0 | 3200 | 598 | 805 | 1.29 |
| 21–32 °C, 30–90% RH dirty only | 72 | 200 | 3200 | 1195 | 762 | 0.69 |
| 21–32 °C, 30–90% RH clean only | 72 | 0 | 4.5 | 0.38 | 1.05 | 2.76 |
| 21 °C, 30% RH clean and dirty | 48 | 0 | 2200 | 549 | 709 | 0.99 |
| 27 °C, 50% RH clean and dirty | 48 | 0 | 2900 | 697 | 893 | 1.13 |
| 32 °C, 90% RH clean and dirty | 48 | 0 | 3200 | 547 | 810 | 1.67 |
| Clean | Dirty | 21–32 °C, 30–90% RH | 21 °C 30% RH | 27 °C 50% RH | 32 °C 90% RH | |||||||||||||||||||||||||||||||
|---|---|---|---|---|---|---|---|---|---|---|---|---|---|---|---|---|---|---|---|---|---|---|---|---|---|---|---|---|---|---|---|---|---|---|---|---|
| Bottom | Middle | Top | Bottom | Middle | Top | Bottom | Middle | Top | Bottom | Middle | Top | Bottom | Middle | Top | Bottom | Middle | Top | |||||||||||||||||||
| Aflatoxin (ppb) | 0.80 | 0.35 | 0.00 | 1817 | 1207 | 562 | 909 | 604 | 281 | 719 | 740 | 188 | 938 | 721 | 433 | 1069 | 349 | 222 | ||||||||||||||||||
| Zearalenone (ppb) | 68 | 69 | 71 | 73 | 72 | 66 | 71 | 70 | 69 | 81 | 89 | 96 | 33 | 29 | 22 | 98 | 92 | 88 | ||||||||||||||||||
| Clean | Dirty | 21–32 °C, 30–90% RH | 21 °C 30% RH | 27 °C 50% RH | 32 °C 90% RH | |||||||||||||||||||||||||||||||
| Edge | Center | Edge | Center | Edge | Center | Edge | Center | Edge | Center | Edge | Center | |||||||||||||||||||||||||
| Aflatoxin (ppb) | 0.35 | 0.48 | 1256 | 1013 | 628 | 507 | 599 | 399 | 692 | 713 | 593 | 408 | ||||||||||||||||||||||||
| Zearalenone (ppb) | 68 | 74 | 72 | 64 | 70 | 69 | 84 | 104 | 30 | 21 | 96 | 83 | ||||||||||||||||||||||||
| Conditions | N | Minimum | Maximum | Mean | Std. Deviation | Skewness |
|---|---|---|---|---|---|---|
| 21–32 °C, 30–90% RH clean and dirty | 144 | 0.12 | 250 | 70 | 38 | 0.55 |
| 21–32 °C, 30–90% RH dirty only | 72 | 20 | 130 | 70 | 28 | 0.06 |
| 21–32 °C, 30–90% RH clean only | 72 | 0.12 | 250 | 69 | 47 | 0.62 |
| 21 °C, 30% RH clean and dirty | 48 | 45 | 250 | 89 | 34 | 2.82 |
| 27 °C, 50% RH clean and dirty | 48 | 0.12 | 73 | 28 | 19 | 0.49 |
| 32 °C, 90% RH clean and dirty | 48 | 62 | 130 | 93 | 16 | −0.10 |
Disclaimer/Publisher’s Note: The statements, opinions and data contained in all publications are solely those of the individual author(s) and contributor(s) and not of MDPI and/or the editor(s). MDPI and/or the editor(s) disclaim responsibility for any injury to people or property resulting from any ideas, methods, instructions or products referred to in the content. |
© 2024 by the authors. Licensee MDPI, Basel, Switzerland. This article is an open access article distributed under the terms and conditions of the Creative Commons Attribution (CC BY) license (https://creativecommons.org/licenses/by/4.0/).
Share and Cite
Kerry, R.; Ingram, B.; Abbas, H.K.; Ahlborn, G. An Investigation of the Spatial Arrangement of Mycotoxin Build-Up in Corn Stored Under Different Environmental Conditions. Toxins 2024, 16, 508. https://doi.org/10.3390/toxins16120508
Kerry R, Ingram B, Abbas HK, Ahlborn G. An Investigation of the Spatial Arrangement of Mycotoxin Build-Up in Corn Stored Under Different Environmental Conditions. Toxins. 2024; 16(12):508. https://doi.org/10.3390/toxins16120508
Chicago/Turabian StyleKerry, Ruth, Ben Ingram, Hamed K. Abbas, and Gene Ahlborn. 2024. "An Investigation of the Spatial Arrangement of Mycotoxin Build-Up in Corn Stored Under Different Environmental Conditions" Toxins 16, no. 12: 508. https://doi.org/10.3390/toxins16120508
APA StyleKerry, R., Ingram, B., Abbas, H. K., & Ahlborn, G. (2024). An Investigation of the Spatial Arrangement of Mycotoxin Build-Up in Corn Stored Under Different Environmental Conditions. Toxins, 16(12), 508. https://doi.org/10.3390/toxins16120508

