Effects of Phytotoxic Nonenolides, Stagonolide A and Herbarumin I, on Physiological and Biochemical Processes in Leaves and Roots of Sensitive Plants
Abstract
:1. Introduction
2. Results
2.1. Leaf Disorders
2.1.1. Leaf Puncture Assay
2.1.2. Quantification of Photosynthetic Pigments
2.1.3. Electrolyte Leakage Assay
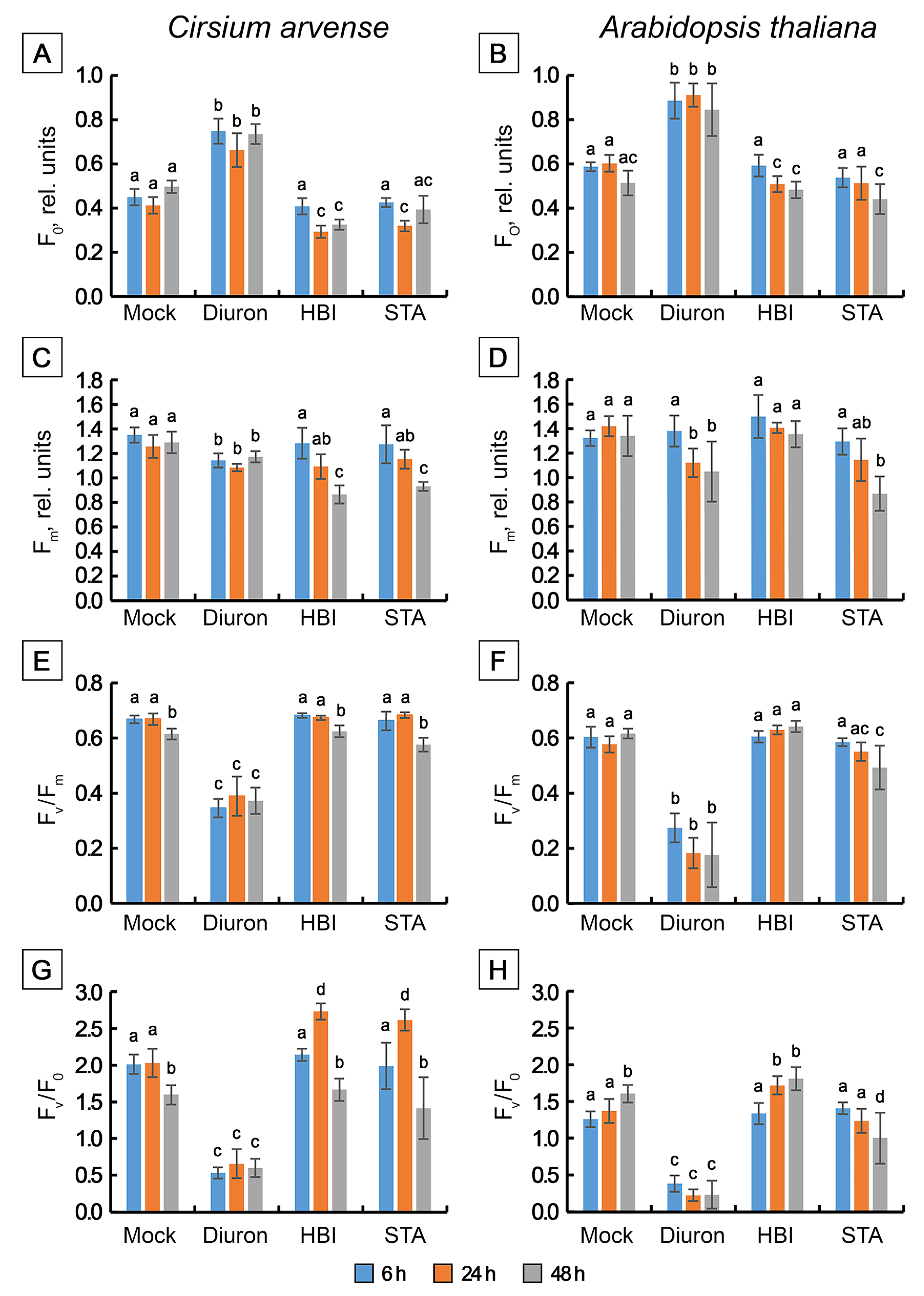
2.1.4. Chl a Fluorescence Rise Kinetics Assay
2.1.5. Hill Reaction
2.1.6. ROS Assay
2.2. Root Disorders
2.2.1. Dynamics of Acidic Compartments as Assessed with Acridine Orange Stain
2.2.2. Mitochondrial Membrane Potential Assay
2.2.3. Mitotic Index
2.2.4. Tubulin and Actin Patterns
3. Discussion
3.1. Leaf Disorders
3.2. Root Disorders
3.3. Mechanism of Action Hypotheses
4. Conclusions
5. Materials and Methods
5.1. Material
5.1.1. Fungal Phytotoxins and Herbicides
5.1.2. Plants
5.2. Leaf Bioassays
5.2.1. Leaf Puncture Assay
5.2.2. Quantification of Photosynthetic Pigments
5.2.3. Electrolyte Leakage Assay
5.2.4. Chlorophyll Fluorescence Measurement
5.2.5. Hill Reaction
5.2.6. ROS Assay
5.3. Root Bioassays
5.3.1. Analysis of pH in Intracellular Structures and in the Apoplast Using Confocal Laser Scanning Microscopy
5.3.2. Mitochondrial Membrane Potential Assay
5.3.3. Mitotic Index
5.3.4. Tubulin and Actin Patterns
5.4. Statistical Analysis
Supplementary Materials
Author Contributions
Funding
Institutional Review Board Statement
Informed Consent Statement
Data Availability Statement
Acknowledgments
Conflicts of Interest
References
- Berestetskiy, A. Modern Approaches for the Development of New Herbicides Based on Natural Compounds. Plants 2023, 12, 234. [Google Scholar] [CrossRef] [PubMed]
- Wynn, S.; Webb, E. Impact assessment of the loss of glyphosate within the EU: A literature review. Environ. Sci. Eur. 2022, 34, 91. [Google Scholar] [CrossRef]
- Haywood, J.; Vadlamani, G.; Stubbs, K.A.; Mylne, J.S. Antibiotic resistance lessons for the herbicide resistance crisis. Pest. Manag. Sci. 2021, 77, 3807–3814. [Google Scholar] [CrossRef]
- Duke, S.O.; Pan, Z.; Bajsa-Hirschel, J.; Boyette, C.D. The potential future roles of natural compounds and microbial bioherbicides in weed management in crops. Adv. Weed Sci. 2022, 40, e020210054. [Google Scholar] [CrossRef] [PubMed]
- Evidente, A. Fungal bioactive macrolides. Nat. Prod. Rep. 2022, 39, 1591–1621. [Google Scholar] [CrossRef] [PubMed]
- Kastanias, M.A.; Chrysayi-Tokousbalides, M. Herbicidal potential of pyrenophorol isolated from Drechslera avenae pathotype. Pest. Manag. Sci. 2000, 56, 227–232. [Google Scholar] [CrossRef]
- Aliferis, K.A.; Chrysayi-Tokousbalides, M. Metabonomic strategy for the investigation of the mode of action of the phytotoxin (5S,8R,13S,16R)-(-)-pyrenophorol using 1H nuclear magnetic resonance fingerprinting. J. Agric. Food Chem. 2006, 54, 1687–1692. [Google Scholar] [CrossRef]
- Jiang, S.-J.; Qiang, S.; Zhu, Y.-Z.; Dong, Y.-F. Isolation and phytotoxicity of a metabolite from Curvularia eragrostidis and characterisation of its modes of action. Ann. Appl. Biol. 2008, 152, 103–111. [Google Scholar] [CrossRef]
- Meepagala, K.M.; Johnson, R.D.; Duke, S.O. Curvularin and Dehydrocurvularin as Phytotoxic Constituents from Curvularia intermedia Infecting Pandanus amaryllifolius. J. Agric. Chem. Environ. 2016, 5, 12–22. [Google Scholar] [CrossRef] [Green Version]
- Evidente, A.; Lanzetta, R.; Capasso, R.; Vurro, M.; Bottalico, A. Pinolidoxin, a phytotoxic nonenolide from Ascochyta pinodes. Phyrochemistry 1993, 34, 999–1003. [Google Scholar] [CrossRef]
- Evidente, A.; Lanzetta, R.; Capasso, R.; Andolfi, A.; Bottalico, A.; Vurro, M.; Zonno, M.C. Putaminoxin, A Phytotoxic Nonenolide from Phoma putaminum. Phytochemistry 1995, 40, 1637–1641. [Google Scholar] [CrossRef]
- Rivero-Cruz, J.F.; Garcia-Aguirre, G.; Cerda-Garcia-Rojas, C.M.; Mata, R. conformational behavior and absolute stereostructure of two phytotoxic nonenolides from the fungus Phoma herbarum. Tetrahedron 2000, 56, 5337–5344. [Google Scholar] [CrossRef]
- Rivero-Cruz, J.F.; Macias, M.; Cerda-Garcia-Rojas, C.M.; Mata, R. A new phytotoxic nonenolide from Phoma herbarum. J. Nat. Prod. 2003, 66, 511–514. [Google Scholar] [CrossRef] [PubMed]
- Yuzikhin, O.; Mitina, G.; Berestetskiy, A. Herbicidal potential of stagonolide, a new phytotoxic nonenolide from Stagonospora cirsii. J. Agric. Food Chem. 2007, 55, 7707–7711. [Google Scholar] [CrossRef]
- Evidente, A.; Cimmino, A.; Berestetskiy, A.; Andolfi, A.; Motta, A. Stagonolides G-I and Modiolide A, nonenolides produced by Stagonospora cirsii, a potential mycoherbicide of Cirsium arvense. J. Nat. Prod. 2008, 71, 1897–1901. [Google Scholar] [CrossRef] [PubMed]
- Dalinova, A.; Dubovik, V.R.; Chisty, L.; Kochura, D.; Ivanov, A.; Smirnov, S.; Petrova, M.; Zolotarev, A.; Evidente, A.; Berestetskiy, A. Stagonolides J and K and Stagochromene A, two New Natural Substituted Nonenolides and a New Disubstituted Chromene4,5-Dione Isolated from Stagonospora cirsii S-47 Proposed for the Biocontrol of Sonchus arvensis. J. Agric. Food Chem. 2019, 67, 13040–13050. [Google Scholar] [CrossRef]
- Courtial, J.; Hamama, L.; Helesbeux, J.-J.; Lecomte, M.; Renaux, Y.; Guichard, E.; Voisine, L.; Yovanopoulos, C.; Hamon, B.; Ogé, L.; et al. Aldaulactone—An Original Phytotoxic Secondary Metabolite Involved in the Aggressiveness of Alternaria dauci on Carrot. Front. Plant Sci. 2018, 9, 502. [Google Scholar] [CrossRef] [Green Version]
- Edukondalu, P.; Sreenivasulu, R.; Chiranjeevi, B.; Kumar, V.N.; Raju, R.R. Stereoselective total synthesis of (−)-(5S,8R,13S,16R)-pyrenophorol. Monatsh. Chem. 2015, 146, 1309–1314. [Google Scholar] [CrossRef]
- Zhou, F.; Zhou, Y.; Guo, Z.; Yu, X.; Deng, Z. Review of 10,11-Dehydrocurvularin: Synthesis, Structural Diversity, Bioactivities and Mechanisms. Mini Rev. Med. Chem. 2021, 22, 836–847. [Google Scholar] [CrossRef]
- Schmidt, B. The Role of Total Synthesis in Structure Revision and Elucidation of Decanolides (Nonanolides). Prog. Chem. Org. Nat. Prod. 2021, 115, 1–57. [Google Scholar] [CrossRef]
- Berestetskiy, A.; Dalinova, A.; Dubovik, V. Strain Stagonospora cirsii G-51 VIZR–Producer of Herbarumin I and Stagonolide A. RU Patent 2,701,817 C1; Filed 28 December 2018, and Issued 1 October 2019. Available online: https://patents.google.com/patent/RU2701817C1/en?oq=RU2701817C1 (accessed on 20 March 2023).
- Berestetskiy, A.O.; Poluektova, E.V.; Sabashuk, Y.A.; Pervushin, A.L. Development of chromatography techniques for analysis and preparative isolation of phytotoxic metabolites produced by Stagonospora cirsii. Appl. Biochem. Microbiol. 2019, 55, 684–690. [Google Scholar] [CrossRef]
- Dubovik, V.; Dalinova, A.; Berestetskiy, A. Effect of Adjuvants on Herbicidal Activity and Selectivity of Three Phytotoxins Produced by the Fungus, Stagonospora cirsii. Plants 2020, 9, 1621. [Google Scholar] [CrossRef]
- Dalinova, A.; Fedorov, A.; Dubovik, V.; Voitsekhovskaja, O.; Tyutereva, E.; Smirnov, S.; Kochura, D.; Chisty, L.; Senderskiy, I.; Berestetskiy, A. Structure–Activity Relationship of Phytotoxic Natural 10-Membered Lactones and Their Semisynthetic Derivatives. J. Fungi 2021, 7, 829. [Google Scholar] [CrossRef] [PubMed]
- Dayan, F.E. Current Status and Future Prospects in Herbicide Discovery. Plants 2019, 8, 341. [Google Scholar] [CrossRef] [PubMed] [Green Version]
- Dayan, F.E.; Romagni, J.G.; Duke, S.O. Investigating the mode of action of natural phytotoxins. J. Chem. Ecol. 2000, 26, 2079–2094. [Google Scholar] [CrossRef]
- Grossmann, K.; Christiansen, N.; Looser, R.; Tresch, S.; Hutzler, J.; Pollmann, S.; Ehrhardt, T. Physionomics and metabolomics-two key approaches in herbicidal mode of action discovery. Pest. Manag. Sci. 2012, 68, 494–504. [Google Scholar] [CrossRef]
- Dayan, F.E.; Zaccaro, M.L.d.M. Chlorophyll fluorescence as a marker for herbicide mechanisms of action. Pestic. Biochem. Physiol. 2012, 102, 189–197. [Google Scholar] [CrossRef]
- Dayan, F.E.; Owens, D.K.; Corniani, N.; Silva, F.M.L.; Watson, S.B.; Howell, J.; Shaner, D.L. Biochemical Markers and Enzyme Assays for Herbicide Mode of Action and Resistance Studies. Weed Sci. 2015, 63, 23–63. [Google Scholar] [CrossRef] [Green Version]
- Aliferis, K.A.; Chrysayi-Tokousbalides, M. Metabolomics in pesticide research and development: Review and future perspectives. Metabolomics 2011, 7, 35–53. [Google Scholar] [CrossRef]
- Duke, S.O.; Bajsa, J.; Pan, Z. Omics methods for probing the mode of action of natural and synthetic phytotoxins. J. Chem. Ecol. 2013, 39, 333–347. [Google Scholar] [CrossRef] [Green Version]
- Duke, S.O.; Stidham, M.A.; Dayan, F.E. A novel genomic approach to herbicide and herbicide mode of action discovery. Pest. Manag. Sci. 2018, 75, 314–317. [Google Scholar] [CrossRef] [PubMed]
- He, B.; Hu, Y.; Wang, W.; Yan, W.; Ye, Y. The Progress towards Novel Herbicide Modes of Action and Targeted Herbicide Development. Agronomy 2022, 12, 2792. [Google Scholar] [CrossRef]
- Jiang, M.; Yang, Q.; Wang, H.; Luo, Z.; Guo, Y.; Shi, J.; Wang, X.; Qiang, S.; Strasser, R.J.; Chen, S. Effect of Mycotoxin Cytochalasin A on Photosystem II in Ageratina adenophora. Plants 2022, 11, 2797. [Google Scholar] [CrossRef]
- Guo, Y.; Liu, W.; Wang, H.; Wang, X.; Qiang, S.; Kalaji, H.M.; Strasser, R.J.; Chen, S. Action Mode of the Mycotoxin Patulin as a Novel Natural Photosystem II Inhibitor. J. Agric Food Chem. 2021, 69, 7313–7323. [Google Scholar] [CrossRef] [PubMed]
- Shi, J.; Jiang, M.; Wang, H.; Luo, Z.; Guo, Y.; Chen, Y.; Zhao, X.; Qiang, S.; Strasser, R.J.; Kalaji, H.M.; et al. Effects of Mycotoxin Fumagillin, Mevastatin, Radicicol, and Wortmannin on Photosynthesis of Chlamydomonas reinhardtii. Plants 2023, 12, 665. [Google Scholar] [CrossRef]
- Li, D.; Bi, X.; Ma, J.; Zhang, X.; Jiang, K.; Zhu, X.; Huang, J.; Zhou, L. Natural herbicidal alkaloid berberine regulates the expression of thalianol and marneral gene clusters in Arabidopsis thaliana. Pest Manag. Sci. 2022, 78, 2896–2908. [Google Scholar] [CrossRef]
- Bajsa-Hirschel, J.; Pan, Z.; Pandey, P.; Asolkar, R.N.; Chittiboyina, A.G.; Boddy, L.; Machingura, M.C.; Duke, S.O. Spliceostatin C, a component of a microbial bioherbicide, is a potent phytotoxin that inhibits the spliceosome. Front. Plant Sci. 2023, 13, 1019938. [Google Scholar] [CrossRef]
- Berestetskiy, A.; Dmitriev, A.; Mitina, G.; Lisker, I.; Andolfi, A.; Evidente, A. Nonenolides and cytochalasins with phytotoxic activity against Cirsium arvense and Sonchus arvensis: A structure–activity relationships study. Phytochemistry 2008, 69, 953–960. [Google Scholar] [CrossRef]
- Goltsev, V.N.; Kalaji, H.M.; Paunov, M.; Bąba, W.; Horaczek, T.; Mojski, J.; Kociel, H.; Allakhverdiev, S.I. Variable chlorophyll fluorescence and its use for assessing physiological condition of plant photosynthetic apparatus. Russ. J. Plant Physiol. 2016, 63, 869–893. [Google Scholar] [CrossRef]
- Tsimilli-Michael, M. Revisiting JIP-test: An educative review on concepts, assumptions, approximations, definitions and terminology. Photosynthetica 2020, 58, 275–292. [Google Scholar] [CrossRef] [Green Version]
- Ribble, D.; Goldstein, N.B.; Norris, D.A.; Shellman, Y.G. A simple technique for quantifying apoptosis in 96-well plates. BMC Biotechnol. 2005, 5, 12. [Google Scholar] [CrossRef] [PubMed] [Green Version]
- Kasibhatla, S.; Amarante-Mendes, G.P.; Finucane, D.; Brunner, T.; Bossy-Wetzel, E.; Green, D.R. Acridine Orange/Ethidium Bromide (AO/EB) Staining to Detect Apoptosis. CSH Protoc. 2006, 3, pdb-prot4493. [Google Scholar] [CrossRef] [PubMed]
- Millot, C.; Millot, J.M.; Morjani, H.; Desplaces, A.; Manfait, M. Characterization of acidic vesicles in multidrug-resistant and sensitive cancer cells by acridine orange staining and confocal microspectrofluorometry. J. Histochem. Cytochem. 1997, 45, 1255–1264. [Google Scholar] [CrossRef] [PubMed] [Green Version]
- Han, J.; Burgess, K. Fluorescent indicators for intracellular pH. Chem. Rev. 2010, 110, 2709–2728. [Google Scholar] [CrossRef]
- Perry, S.W.; Norman, J.P.; Barbieri, J.; Brown, E.B.; Gelbard, H.A. Mitochondrial membrane potential probes and the proton gradient: A practical usage guide. BioTechniques 2011, 50, 98–115. [Google Scholar] [CrossRef]
- Kunert, K.-J.; Boger, P. Influence of Bleaching Herbicides on Chlorophyll and Carotenoids. Z. Naturforsch. 1979, 34, 1047–1051. [Google Scholar] [CrossRef]
- Fedtke, C.; Duke, S.O. Herbicides. In Plant Toxicology, 4th ed.; Hock, B., Elstner, E.F., Eds.; Marcel Dekker: New York, NY, USA, 2005; pp. 247–330. [Google Scholar]
- Macdonald, G.; Netherland, M. Herbicide assays for predicting or determining plant responses in aquatic systems. J. Aquat. Plant Manag. 2018, 56, 67–73. [Google Scholar]
- Chen, S.; Yin, C.; Qiang, S.; Zhou, F.; Dai, X. Chloroplastic oxidative burst induced by tenuazonic acid, a natural photosynthesis inhibitor, triggers cell necrosis in Eupatorium adenophorum Spreng. Biochim. Biophys. Acta 2010, 1797, 391–405. [Google Scholar] [CrossRef] [Green Version]
- Duke, S.O.; Duke, M.V.; Lee, H.J. HPLC and in vivo Spectrophotometric Detection of Porphyrins in Plant Tissues Treated with Porphyrinogenic Herbicides. Z. Naturforsch. 1993, 48, 317–325. Available online: https://www.degruyter.com/document/doi/10.1515/znc-1993-3-433/pdf (accessed on 1 February 2023). [CrossRef]
- Fraser, P.D.; Pinto, M.E.S.; Holloway, D.E.; Bramley, P.M. Application of high-performance liquid chromatography with photodiode array detection to the metabolic profiling of plant isoprenoids. Plant J. 2008, 24, 551–558. [Google Scholar] [CrossRef]
- Ammendolia, D.A.; Bement, W.M.; Brumell, J.H. Plasma membrane integrity: Implications for health and disease. BMC Biol. 2021, 19, 71. [Google Scholar] [CrossRef] [PubMed]
- Dayan, F.E.; Watson, S.B. Plant cell membrane as a marker for light-dependent and light-independent herbicide mechanisms of action. Pestic. Biochem. Physiol. 2011, 101, 182–190. [Google Scholar] [CrossRef]
- Whitlow, T.H.; Bassuk, N.L.; Ranney, T.G.; Reichert, D.L. An Improved Method for Using Electrolyte Leakage to Assess Membrane Competence in Plant Tissues. Plant Physiol. 1992, 98, 198–205. [Google Scholar] [CrossRef] [Green Version]
- Caverzan, A.; Piasecki, C.; Chavarria, G.; Stewart, C.; Vargas, L. Defenses Against ROS in Crops and Weeds: The Effects of Interference and Herbicides. Int. J. Mol. Sci. 2019, 20, 1086. [Google Scholar] [CrossRef] [PubMed] [Green Version]
- Ekmekci, Y.; Terzioglu, S. Effects of oxidative stress induced by paraquat on wild and cultivated wheats. Pestic. Biochem. Physiol. 2005, 83, 69–81. [Google Scholar] [CrossRef]
- An, J.; Shen, X.; Ma, Q.; Yang, C.; Liu, S.; Chen, Y. Transcriptome Profiling to Discover Putative Genes Associated with Paraquat Resistance in Goosegrass (Eleusine indica L.). PLoS ONE 2014, 9, e99940. [Google Scholar] [CrossRef] [Green Version]
- Chase, C.A.; Bewick, T.A.; Shilling, D.G. Differential Photosynthetic Electron Transport and Oxidative Stress in Paraquat-Resistant and Sensitive Biotypes of Solanum americanum. Pestic. Biochem. Physiol. 1998, 60, 83–90. [Google Scholar] [CrossRef]
- Chen, S.; Kang, Y.; Zhang, M.; Wang, X.; Strasser, R.J.; Zhou, B.; Qiang, S. Differential sensitivity to the potential bioherbicide tenuazonic acid probed by the JIP-test based on fast chlorophyll fluorescence kinetics. Environ. Exp. Bot. 2015, 112, 1–15. [Google Scholar] [CrossRef]
- Dmitrieva, V.A.; Tyutereva, E.V.; Voitsekhovskaja, O.V. Singlet Oxygen in Plants: Generation, Detection, and Signaling Roles. Int. J. Mol. Sci. 2020, 21, 3237. [Google Scholar] [CrossRef]
- Lascano, R.; Munoz, N.; Robert, G.; Rodriguez, M.; Melchiorre, M.; Trippi, V.; Quero, G. Paraquat: An Oxidative Stress Inducer. In Herbicides—Properties, Synthesis and Control of Weeds; Hasaneen, M.N., Ed.; InTech: Rang-Du-Fliers, France, 2012; Chapter 8; pp. 135–148. [Google Scholar] [CrossRef] [Green Version]
- Chen, S.; Strasser, R.J.; Qiang, S. In vivo assessment of effect of phytotoxin tenuazonic acid on PSII reaction centers. Plant Physiol. Biochem. 2014, 84, 10–21. [Google Scholar] [CrossRef]
- Driouich, A.; Zhang, G.F.; Staehelin, L.A. Effect of Brefeldin A on the Structure of the Golgi Apparatus and on the Synthesis and Secretion of Proteins and Polysaccharides in Sycamore Maple (Acer pseudoplatanus) Suspension-Cultured Cells. Plant Physiol. 1993, 101, 1363–1373. [Google Scholar] [CrossRef] [PubMed] [Green Version]
- Nebenfuhr, A. Brefeldin A: Deciphering an Enigmatic Inhibitor of Secretion. Plant Physiol. 2002, 130, 1102–1108. [Google Scholar] [CrossRef] [Green Version]
- Møller, I.M.; Rasmusson, A.G.; Aken, O.V. Plant Mitochondria—Past, present and future. Plant J. 2021, 108, 912–959. [Google Scholar] [CrossRef] [PubMed]
- Williams, B.; Verchot, J.; Dickman, M.B. When supply does not meet demand-ER stress and plant programmed cell death. Front. Plant Sci. 2014, 5, 211. [Google Scholar] [CrossRef] [Green Version]
- Simoni, E.B.; Oliveira, C.C.; Fraga, O.T.; Reis, P.A.B.; Fontes, E.P.B. Cell Death Signaling from Endoplasmic Reticulum Stress: Plant-Specific and Conserved Features. Front. Plant Sci. 2022, 13, 835738. [Google Scholar] [CrossRef]
- Ng, S.; De Clercq, I.; Van Aken, O.; Law, S.R.; Ivanova, A.; Willems, P.; Giraud, E.; Van Breusegem, F.; Whelan, J. Anterograde and retrograde regulation of nuclear genes encoding mitochondrial proteins during growth, development, and stress. Mol. Plant 2014, 7, 1075–1093. [Google Scholar] [CrossRef] [PubMed] [Green Version]
- Zein, L.; Fulda, S.; Kögel, D.; vanWijk, S.J.L. Organelle-specific mechanisms of drug-induced autophagy-dependent cell death. Matrix Biol. 2021, 100–101, 54–64. [Google Scholar] [CrossRef]
- Wang, L.; Wang, Z.-B.; Zhang, X.; FitzHarris, G.; Baltz, J.M.; Sun, Q.-Y.; Liu, X.J. Brefeldin A disrupts asymmetric spindle positioning in mouse oocytes. Dev. Biol. 2008, 313, 155–166. [Google Scholar] [CrossRef] [Green Version]
- Vurro, M.; Evidente, A.; Andolfi, A.; Chiara Zonno, M.; Giordano, F.; Motta, A. Brefeldin A and α,β-dehydrocurvularin, two phytotoxins from Alternaria zinniae, a biocontrol agent of Xanthium occidentale. Plant Sci. 1998, 138, 67–79. [Google Scholar] [CrossRef]
- Gutiérrez, M.; Theoduloz, C.; Rodríguez, J.; Lolas, M.; Schmeda-Hirschmann, G. Bioactive Metabolites from the Fungus Nectria galligena, the Main Apple Canker Agent in Chile. J. Agric. Food Chem. 2005, 53, 7701–7708. [Google Scholar] [CrossRef]
- Zhang, W.; Krohn, K.; Egold, H.; Draeger, S.; Schulz, B. Diversity of Antimicrobial Pyrenophorol Derivatives from an Endophytic Fungus, Phoma sp. Eur. J. Org. Chem. 2008, 25, 4320–4328. [Google Scholar] [CrossRef]
- Saad, M.M.G.; Abdelgaleil, S.A.M.; Shiono, Y. Antibacterial and herbicidal properties of secondary metabolites from fungi. Nat. Prod. Res. 2020, 35, 5446–5451. [Google Scholar] [CrossRef]
- Chrysayi-Tokousbalides, M.; Machera, K.; Kyriakopoulou, K.; Aliferis, K.A.; Schrader, K.K.; Tsoutsanis, I.; Anastasiadou, P. Comparative Toxicity of the Phytotoxins (8R,16R)-(−)-Pyrenophorin and (5S,8R,13S,16R)-(−)-Pyrenophorol on Aquatic Organisms. Bull. Environ. Contam. Toxicol. 2007, 79, 499–503. [Google Scholar] [CrossRef] [PubMed]
- Robeson, D.J.; Strobel, G.A. αβ-Dehydrocurvularin and Curvularin from Alternaria cinerariae. Z. Für Nat. C 1981, 36, 1081–1083. [Google Scholar] [CrossRef]
- Zhao, Q.; Bi, Y.; Zhong, J.; Li, X.; Guo, J.; Liu, Y.; Pan, L.; Tan, Y.; Deng, Z.; Yu, X. 10,11-dehydrocurvularin exerts antitumor effect against human breast cancer by suppressing STAT3 activation. Acta Pharmacol. Sin. 2021, 42, 791–800. [Google Scholar] [CrossRef] [PubMed]
- Deng, Z.; Wong, N.-K.; Guo, Z.; Zou, K.; Xiao, Y.; Zhou, Y. Dehydrocurvularin is a potent antineoplastic agent irreversibly blocking ATP-citrate lyase: Evidence from chemoproteomics. Chem. Commun. 2019, 55, 4194–4197. [Google Scholar] [CrossRef]
- Samperna, S.; Masi, M.; Vurro, M.; Evidente, A.; Marra, M. Cyclopaldic Acid, the Main Phytotoxic Metabolite of Diplodia cupressi, Induces Programmed Cell Death and Autophagy in Arabidopsis thaliana. Toxins 2022, 14, 474. [Google Scholar] [CrossRef]
- Wang, H.; Guo, Y.; Luo, Z.; Gao, L.; Li, R.; Zhang, Y.; Kalaji, H.M.; Qiang, S.; Chen, S. Recent Advances in Alternaria Phytotoxins: A Review of Their Occurrence, Structure, Bioactivity, and Biosynthesis. J. Fungi 2022, 8, 168. [Google Scholar] [CrossRef] [PubMed]
- Kawada, M.; Amemiya, M.; Yoshida, J.; Ohishi, T. The therapeutic potential of mitochondrial toxins. J. Antibiot. 2021, 74, 696–705. [Google Scholar] [CrossRef]
- Lin, Y.T.; Lin, K.H.; Huang, C.J.; Wei, A.C. MitoTox: A comprehensive mitochondrial toxicity database. BMC Bioinform. 2021, 22 (Suppl. 10), 369. [Google Scholar] [CrossRef]
- Migita, T.; Okabe, S.; Ikeda, K.; Igarashi, S.; Sugawara, S.; Tomida, A.; Taguchi, R.; Soga, T.; Seimiya, H. Inhibition of ATP Citrate Lyase Induces an Anticancer Effect via Reactive Oxygen Species. Am. J. Pathol. 2013, 182, 1800–1810. [Google Scholar] [CrossRef] [PubMed]
- Antranikian, G.; Herzberg, C.; Gottschalk, G. Characterization of ATP citrate lyase from Chlorobium limicola. J. Bacteriol. 1982, 152, 1284–1287. [Google Scholar] [CrossRef] [PubMed]
- Fatland, B.L. Molecular Characterization of a Heteromeric ATP-Citrate Lyase That Generates Cytosolic Acetyl-Coenzyme A in Arabidopsis. Plant Physiol. 2002, 130, 740–756. [Google Scholar] [CrossRef] [PubMed] [Green Version]
- Kastanias, M.A.; Chrysayi-Tokousbalides, M. Bioactivity of the Fungal Metabolite (8R,16R)-(−)-Pyrenophorin on Graminaceous Plants. J. Agric. Food Chem. 2005, 53, 5943–5947. [Google Scholar] [CrossRef]
- Mata, R.; Martínez-Luis, S.; Pérez-Vásquez, A. Phytotoxic compounds with calmodulin inhibitor properties from selected mexican fungi and plants. Sel. Top. Chem. Nat. Prod. 2007, 427–470. [Google Scholar] [CrossRef]
- Au, K.T.; Leung, C.P. Identification of the binding and inhibition sites in the calmodulin molecule for ophiobolin A by site-directed mutagenesis. Plant Physiol. 1998, 118, 965–973. [Google Scholar] [CrossRef] [Green Version]
- Blanco, E.; Fortunato, S.; Viggiano, L.; de Pinto, M.C. Cyclic AMP: A Polyhedral Signalling Molecule in Plants. Int. J. Mol. Sci. 2020, 21, 4862. [Google Scholar] [CrossRef]
- Xu, R.; Guo, Y.; Peng, S.; Liu, J.; Li, P.; Jia, W.; Zhao, J. Molecular Targets and Biological Functions of cAMP Signaling in Arabidopsis. Biomolecules 2021, 11, 688. [Google Scholar] [CrossRef]
- Vurro, M.; Ellis, B.E. Effect of fungal toxins on induction of phenylalanine ammonia-lyase activity in elicited cultures of hybrid poplar. Plant Sci. 1997, 126, 29–38. [Google Scholar] [CrossRef]
- Salimova, D.; Dalinova, A.; Dubovik, V.; Senderskiy, I.; Stepanycheva, E.; Tomilova, O.; Hu, Q.; Berestetskiy, A. Entomotoxic activity of the extracts from the fungus, Alternaria tenuissima and its major metabolite, tenuazonic acid. J. Fungi 2021, 7, 774. [Google Scholar] [CrossRef]
- Duke, S.O.; Pan, Z.; Bajsa-Hirschel, J. Proving the Mode of Action of Phytotoxic Phytochemicals. Plants 2020, 9, 1756. [Google Scholar] [CrossRef] [PubMed]
- Murashige, T.; Skoog, F. A Revised Medium for Rapid Growth and Bio Assays with Tobacco Tissue Cultures. Physiol. Plant. 1962, 15, 473–497. [Google Scholar] [CrossRef]
- Lichtenthaler, H.K.; Buschmann, C. Extraction of phtosynthetic tissues: Chlorophylls and carotenoids. Curr. Protoc. Anal. Chem. 2001, 1, F4.2.1–F4.2.6. [Google Scholar] [CrossRef]
- Lichtenthaler, H.K.; Buschmann, C. Chlorophylls and Carotenoids: Measurement and Characterization by UV-VIS Spectroscopy. Curr. Protoc. Food Anal. Chem. 2001, 1, F4.3.1–F4.3.8. [Google Scholar] [CrossRef]
- Stokłosa, A.; Matraszek, R.; Isman, M.B.; Upadhyaya, M.K. Phytotoxic Activity of Clove Oil, Its Constituents, and Its Modification by Light Intensity in Broccoli and Common Lambsquarters (Chenopodium album). Weed. Sci. 2012, 60, 607–611. [Google Scholar] [CrossRef] [Green Version]
- Guo, Y.; Lu, Y.; Goltsev, V.; Strasser, R.J.; Kalaji, H.M.; Wang, H.; Wang, X.; Chen, S.; Qiang, S. Comparative effect of tenuazonic acid, diuron, bentazone, dibromothymoquinone and methyl viologen on the kinetics of Chl a fluorescence rise OJIP and the MR820 signal. Plant. Physiol. Biochem. 2020, 156, 39–48. [Google Scholar] [CrossRef]
- Plyusnina, T.Y.; Khruschev, S.S.; Riznichenko, G.Y.; Rubin, A.B. An analysis of the chlorophyll fluorescence transient by spectral multi-exponential approximation. Biophysics 2015, 60, 392–399. [Google Scholar] [CrossRef]
- Strasser, R.J.; Tsimilli-Michael, M.; Srivastava, A. Analysis of the Chlorophyll a Fluorescence Transient. In Chlorophyll a Fluorescence; Advances in Photosynthesis and Respiration 2004; Papageorgiou Govindjee, G.C., Ed.; Springer: Dordrecht, The Netherlands, 2004; Volume 19. [Google Scholar] [CrossRef]
- Strasser, R.J.; Tsimilli-Michael, M.; Qiang, S.; Goltsev, V. Simultaneous in vivo recording of prompt and delayed fluorescence and 820-nm reflection changes during drying and after rehydration of the resurrection plant Haberlea rhodopensis. Biochim. Biophys. Acta (BBA) Bioenerg. 2010, 1797, 1313–1326. [Google Scholar] [CrossRef] [Green Version]
- Avron, M.; Shavit, N. Sensitive and Simple Method for Determination of Ferrocyanide. Anal. Biochem. 1963, 6, 549–554. [Google Scholar] [CrossRef]
- Whitehouse, D.G.; Moore, A.L. Isolation and purification of functionally intact chloroplasts from leaf tissue and leaf tissue protoplasts. Methods Mol. Biol. 1993, 19, 123–131. [Google Scholar] [CrossRef]
- Lichtenthaler, K. Chlorophylls and carotenoids: Pigments of photosynthetic biomembranes. Methods Enzymol. 1987, 148, 350–382. [Google Scholar] [CrossRef]
- Zanetti, M.; d’ Uscio, L.V.; Peterson, T.E.; Katusic, Z.S.; O’Brien, T. Analysis of Superoxide Anion Production in Tissue. In Hypertension. Methods in Molecular Medicine™; Fennell, J.P., Baker, A.H., Eds.; Humana Press: Totowa, NJ, USA, 2005; Chapter 5; pp. 65–072. [Google Scholar] [CrossRef]
- Chen, J.; Rogers, S.C.; Kavdia, M. Analysis of Kinetics of Dihydroethidium Fluorescence with Superoxide Using Xanthine Oxidase and Hypoxanthine Assay. Ann. Biomed. Eng. 2012, 41, 327–337. [Google Scholar] [CrossRef] [Green Version]
- Gollmer, A.; Arnbjerg, J.; Blaikie, F.H.; Pedersen, B.W.; Breitenbach, T.; Daasbjerg, K.; Glasius, M.; Ogilby, P.R. Singlet Oxygen Sensor Green®: Photochemical Behavior in Solution and in a Mammalian Cell. Photochem. Photobiol. 2011, 87, 671–679. [Google Scholar] [CrossRef] [PubMed]
- Kalyanaraman, B.; Darley-Usmar, V.; Davies, K.J.A.; Dennery, P.A.; Forman, H.J.; Grisham, M.B.; Mann, G.E.; Moore, K.; Jackson Roberts II, L.; Ischiropoulos, H. Measuring reactive oxygen and nitrogen species with fluorescent probes: Challenges and limitations. Free Radic. Biol. Med. 2012, 52, 1–6. [Google Scholar] [CrossRef] [PubMed] [Green Version]
- Dmitrieva, V.A.; Domashkina, V.V.; Ivanova, A.N.; Sukhov, V.S.; Tyutereva, E.V.; Voitsekhovskaja, O. VRegulation of plasmodesmata in Arabidopsis leaves: ATP, NADPH and chlorophyll b levels matter. J. Exp. Bot. 2021, 72, 5534–5552. [Google Scholar] [CrossRef]
- Kitaeva, A.B.; Demchenko, K.N.; Tikhonovich, I.A.; Timmers, A.C.J.; Tsyganov, V.E. Comparative analysis of the tubulin cytoskeleton organization in nodules of Medicago truncatula and Pisum sativum: Bacterial release and bacteroid positioning correlate with characteristic microtubule rearrangements. New Phytol. 2016, 210, 168–183. [Google Scholar] [CrossRef]
- Kiryushkin, A.S.; Ilina, E.L.; Puchkova, V.A.; Guseva, E.D.; Pawlowski, K.; Demchenko, K.N. Lateral root initiation in the parental root meristem of cucurbits: Old players in a new position. Front. Plant Sci. 2019, 10, 1–16. [Google Scholar] [CrossRef] [Green Version]
- Stirbet, A.; Lazár, D.; Kromdijk, J. Govindjee Chlorophyll a fluorescence induction: Can just a one-second measurement be used to quantify abiotic stress responses? Photosynthetica 2018, 56, 86–104. [Google Scholar] [CrossRef]












| Treatment | Cirsium arvense | Arabidopsis thaliana | ||||||
|---|---|---|---|---|---|---|---|---|
| Dark, 6 h | Light, 6 h | Dark, 24 h | Light, 24 h | Dark, 6 h | Light, 6 h | Dark, 24 h | Light, 24 h | |
| Superoxide-specific fluorescence | ||||||||
| Stagonolide A | 17 | 0 | 33 * | 28 * | 38 * | 29 | 75 * | 24 |
| Herbarumin I | 11 | 14 | 26 * | 38 * | 39 * | 33 | 52 * | 18 |
| Paraquat | 12 | 37 * | 31 * | 32 * | 28 * | 43 * | 51 * | 40 * |
| Peroxide-specific fluorescence | ||||||||
| Stagonolide A | 132 * | 64 * | 27 | 58 * | 63* | 67 | 49 * | 25 |
| Herbarumin I | 91 | 47 * | 30 | 56 * | 8 | 48 | 68 * | 58 * |
| Paraquat | 65 | 39 | 68 * | 96 * | −11 | 112 * | 43 * | 82 * |
| Singlet oxygen-specific fluorescence | ||||||||
| Stagonolide A | 4 | 34 | −2 | 34 | 38 * | 29 | 21 | 3 |
| Herbarumin I | −4 | 13 | −5 | 25 | 36 * | 49 | 21 | -3 |
| Tenuazonic acid | 36 * | 46 * | 20 | 55 * | 40 * | 58 * | 13 | 15 |
| Metribuzin | 9 | 22 | 1 | 30 | 38 * | 62 * | 22 | 23 |
| Concentration, µg/mL | The Proportion of Dividing Cells at Different Phases (% of the Total Number of Cells) | Mitotic Index, % | Disorders | |||
|---|---|---|---|---|---|---|
| Prophase | Metaphase | Anaphase | Telophase | |||
| Control (mock) | 7.37 | 1.75 | 0.88 | 1.23 | 11.4 a | No disorders |
| 0.1 | 2.04 | 2.04 | 4.07 | 1.48 | 9.7 a | Binucleated cells |
| 1 | 1.53 | 0.59 | 2.12 | 0.35 | 5.4 b | Binucleated cells |
| 10 | 1.53 | 0.94 | 3.53 | 0.12 | 6.2 b | Nuclear fragmentation |
Disclaimer/Publisher’s Note: The statements, opinions and data contained in all publications are solely those of the individual author(s) and contributor(s) and not of MDPI and/or the editor(s). MDPI and/or the editor(s) disclaim responsibility for any injury to people or property resulting from any ideas, methods, instructions or products referred to in the content. |
© 2023 by the authors. Licensee MDPI, Basel, Switzerland. This article is an open access article distributed under the terms and conditions of the Creative Commons Attribution (CC BY) license (https://creativecommons.org/licenses/by/4.0/).
Share and Cite
Tyutereva, E.V.; Dalinova, A.A.; Demchenko, K.N.; Dmitrieva, V.A.; Dubovik, V.R.; Lukinskiy, Y.V.; Mitina, G.V.; Voitsekhovskaja, O.V.; Berestetskiy, A. Effects of Phytotoxic Nonenolides, Stagonolide A and Herbarumin I, on Physiological and Biochemical Processes in Leaves and Roots of Sensitive Plants. Toxins 2023, 15, 234. https://doi.org/10.3390/toxins15040234
Tyutereva EV, Dalinova AA, Demchenko KN, Dmitrieva VA, Dubovik VR, Lukinskiy YV, Mitina GV, Voitsekhovskaja OV, Berestetskiy A. Effects of Phytotoxic Nonenolides, Stagonolide A and Herbarumin I, on Physiological and Biochemical Processes in Leaves and Roots of Sensitive Plants. Toxins. 2023; 15(4):234. https://doi.org/10.3390/toxins15040234
Chicago/Turabian StyleTyutereva, Elena V., Anna A. Dalinova, Kirill N. Demchenko, Valeriya A. Dmitrieva, Vsevolod R. Dubovik, Yuriy V. Lukinskiy, Galina V. Mitina, Olga V. Voitsekhovskaja, and Alexander Berestetskiy. 2023. "Effects of Phytotoxic Nonenolides, Stagonolide A and Herbarumin I, on Physiological and Biochemical Processes in Leaves and Roots of Sensitive Plants" Toxins 15, no. 4: 234. https://doi.org/10.3390/toxins15040234
APA StyleTyutereva, E. V., Dalinova, A. A., Demchenko, K. N., Dmitrieva, V. A., Dubovik, V. R., Lukinskiy, Y. V., Mitina, G. V., Voitsekhovskaja, O. V., & Berestetskiy, A. (2023). Effects of Phytotoxic Nonenolides, Stagonolide A and Herbarumin I, on Physiological and Biochemical Processes in Leaves and Roots of Sensitive Plants. Toxins, 15(4), 234. https://doi.org/10.3390/toxins15040234

