Revealing Physiochemical Factors and Zooplankton Influencing Microcystis Bloom Toxicity in a Large-Shallow Lake Using Bayesian Machine Learning
Abstract
:1. Introduction
2. Results
2.1. Summary of Observations
2.2. Modeling of Intracellular and Extracellular MCs in Lake Taihu
2.2.1. Imputation of Missing MCs Data Using NLF Machine Learning
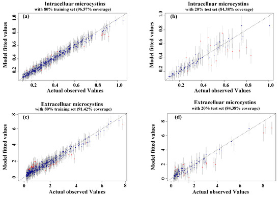
2.2.2. Fitting Microcystin by Bayesian Additive Regression Trees
2.3. Sensitivity of the Toxicity of Cyanobacterial Blooms to Abiotic and Biotic Variables
2.3.1. Variables of Permutation Importance
2.3.2. Nonlinear Relationships between the Predictors and MCs
3. Discussion
4. Conclusions
5. Material and Methods
5.1. Site and Data Description
5.2. Imputation of Missing MCs Using Non-Negative Latent Factor
5.3. Identification of the Driving Factors for MCs Risks
5.4. Model Comparison and Evaluation
Supplementary Materials
Author Contributions
Funding
Institutional Review Board Statement
Informed Consent Statement
Data Availability Statement
Acknowledgments
Conflicts of Interest
References
- Otten, T.G.; Xu, H.; Qin, B.; Zhu, G.; Paerl, H.W. Spatiotemporal patterns and ecophysiology of toxigenic Microcystis blooms in Lake Taihu, China: Implications for water quality management. Environ. Sci. Technol. 2012, 46, 3480–3488. [Google Scholar] [CrossRef] [PubMed]
- Carey, C.C.; Ibelings, B.W.; Hoffmann, E.P.; Hamilton, D.P.; Brookes, J.D. Eco-physiological adaptations that favor freshwater cyanobacteria in a changing climate. Water. Res. 2012, 46, 1394–1407. [Google Scholar] [CrossRef] [PubMed]
- Gan, N.; Nian, W.; Song, L. Recent progress in research of the toxicolgy and biological function of microcystins produced by cyanobacteria. Toxicon 2019, 158, S14–S15. [Google Scholar] [CrossRef]
- Soward, T.E. Evaluation of Cancer from Exposure to Cyanotoxins in Drinking Water at Grand Lake Saint Marys; Wright State University: Dayton, OH, USA, 2011. [Google Scholar]
- Dong, X.; Zeng, S.; Bai, F.; Li, D.; He, M. Extracellular microcystin prediction based on toxigenic Microcystis detection in a eutrophic lake. Sci. Rep. 2016, 6, 20886. [Google Scholar] [CrossRef] [Green Version]
- Yuan, L.L.; Pollard, A.I.; Pather, S.; Oliver, J.L.; D’Anglada, L. Managing microcystin: Identifying national-scale thresholds for total nitrogen and chlorophyll a. Freshw. Biol. 2014, 59, 1970–1981. [Google Scholar] [CrossRef]
- Yuan, L.L.; Pollard, A.I. Using National-scale data to develop nutrient–microcystin relationships that guide management decisions. Environ. Sci. Technol. 2017, 51, 6972–6980. [Google Scholar] [CrossRef]
- Wu, Y.; Li, L.; Gan, N.; Zheng, L.; Ma, H.; Shan, K.; Liu, J.; Xiao, B.; Song, L. Seasonal dynamics of water bloom-forming Microcystis morphospecies and the associated extracellular microcystin concentrations in large, shallow, eutrophic Dianchi Lake. J. Environ. Sci. 2014, 26, 1921–1929. [Google Scholar] [CrossRef]
- Shan, K.; Shang, M.; Zhou, B.; Li, L.; Wang, X.; Yang, H.; Song, L. Application of Bayesian network including Microcystis morphospecies for microcystin risk assessment in three cyanobacterial bloom-plagued lakes, China. Harmful Algae 2019, 83, 14–24. [Google Scholar] [CrossRef] [PubMed]
- Srivastava, A.; Choi, G.G.; Ahn, C.Y.; Oh, H.M.; Ravi, A.K.; Asthana, R.K. Dynamics of microcystin production and quantification of potentially toxigenic Microcystis sp. using real-time PCR. Water. Res. 2012, 46, 817–827. [Google Scholar] [CrossRef]
- Hu, L.; Shan, K.; Huang, L.; Li, Y.; Zhao, L.; Zhou, Q.; Song, L. Environmental factors associated with cyanobacterial assemblages in a mesotrophic subtropical plateau lake: A focus on bloom toxicity. Environ. Sci. Technol. 2021, 777, 146052. [Google Scholar] [CrossRef]
- Huisman, J.; Codd, G.A.; Paerl, H.W.; Ibelings, B.W.; Verspagen, J.M.; Visser, P.M. Cyanobacterial blooms. Nat. Rev. Microbiol. 2018, 16, 471–483. [Google Scholar] [CrossRef] [PubMed]
- Rinta-Kanto, J.M.; Konopko, E.A.; DeBruyn, J.M.; Bourbonniere, R.A.; Boyer, G.L.; Wilhelm, S.W. Lake Erie Microcystis: Relationship between microcystin production, dynamics of genotypes and environmental parameters in a large lake. Harmful Algae 2009, 8, 665–673. [Google Scholar] [CrossRef]
- Shan, K.; Wang, X.; Yang, H.; Zhou, B.; Shang, M. Use statistical machine learning to detect nutrient thresholds in Microcystis blooms and microcystin management. Harmful Algae 2020, 94, 101807. [Google Scholar] [CrossRef] [PubMed]
- Nelson, N.G.; Muñoz-Carpena, R.; Phlips, E.J.; Kaplan, D.; Sucsy, P.; Hendrickson, J. Revealing biotic and abiotic controls of harmful algal blooms in a shallow subtropical lake through statistical machine learning. Environ. Sci. Technol. 2018, 52, 3527–3535. [Google Scholar] [CrossRef] [PubMed]
- Shan, K.; Ouyang, T.; Wang, X.; Yang, H.; Zhou, B.; Wu, Z.; Shang, M. Temporal prediction of algal parameters in Three Gorges Reservoir based on highly time-resolved monitoring and long short-term memory network. J. Hydrol. 2022, 605, 127304. [Google Scholar] [CrossRef]
- Nguyen, D.H.; Le, X.H.; Anh, D.T.; Kim, S.H.; Bae, D.H. Hourly streamflow forecasting using a Bayesian additive regression tree model hybridised with a genetic algorithm. J. Hydrol. 2022, 606, 127445. [Google Scholar] [CrossRef]
- Zhang, T.; Geng, G.; Liu, Y.; Chang, H.H. Application of Bayesian additive regression trees for estimating daily concentrations of PM2.5 components. Atmosphere 2020, 11, 1233. [Google Scholar] [CrossRef]
- Buley, R.P.; Correia, H.E.; Abebe, A.; Issa, T.B.; Wilson, A.E. Predicting microcystin occurrence in freshwater lakes and reservoirs: Assessing environmental variables. Inland Waters 2021, 5, 430–444. [Google Scholar] [CrossRef]
- Zhou, Y. Real-time probabilistic forecasting of river water quality under data missing situation: Deep learning plus post-processing techniques. J. Hydrol. 2020, 589, 125164. [Google Scholar] [CrossRef]
- Li, D.; Li, L.; Li, X.; Ke, Z.; Hu, Q. Smoothed LSTM-AE: A spatio-temporal deep model for multiple time-series missing imputation. Neurocomputing 2020, 411, 351–363. [Google Scholar] [CrossRef]
- Luo, X.; Sun, J.; Wang, Z.; Li., S.; Shang, M. Symmetric and Non-negative Latent Factor Models for Undirected, High Dimensional and Sparse Networks in Industrial Applications. IEEE. Trans. Ind. Inform. 2017, 13, 3098–3107. [Google Scholar] [CrossRef]
- Li, M.; Sheng, L.; Song, Y.; Song, J. An enhanced matrix completion method based on non-negative latent factors for recommendation system. Expert. Syst. Appl. 2022, 201, 116985. [Google Scholar] [CrossRef]
- Boets, P.; Landuyt, D.; Everaert, G.; Broekx, S.; Goethals, P.L. Evaluation and comparison of data-driven and knowledge-supported Bayesian Belief Networks to assess the habitat suitability for alien macroinvertebrates. Environ. Modell. Softw. 2015, 74, 92–103. [Google Scholar] [CrossRef]
- Wu, D.; Yan, H.; Shang, M.; Shan, K.; Wang, G. Water eutrophication evaluation based on Semi-Supervised Classification: A case study in Three Gorges Reservoir. Ecol. Indic. 2017, 81, 362–372. [Google Scholar] [CrossRef]
- Chen, Z.; Xu, H.; Jiang, P.; Yu, S.; Lin, G.; Bychkov, I.; Hmelnov, A.; Ruzhnikov, G.; Zhu, N.; Liu, Z. A transfer Learning-Based LSTM strategy for imputing Large-Scale consecutive missing data and its application in a water quality prediction system. J. Hydrol. 2021, 602, 126573. [Google Scholar] [CrossRef]
- Orr, P.T.; Jones, G.J. Relationship between microcystin production and cell division rates in nitrogen-limited Microcystis aeruginosa cultures. Limnol. Oceanogr. 1998, 43, 1604–1614. [Google Scholar] [CrossRef]
- Long, B.M.; Jones, G.J.; Orr, P.T. Cellular microcystin content in N-limited Microcystis aeruginosa can be predicted from growth rate. Appl. Environ. Microb. 2001, 67, 278–283. [Google Scholar] [CrossRef] [Green Version]
- Wiedner, C.; Visser, P.M.; Fastner, J.; Metcalf, J.S.; Codd, G.A.; Mur, L.R. Effects of light on the microcystin content of Microcystis strain PCC 7806. Appl. Environ. Microb. 2003, 69, 1475–1481. [Google Scholar] [CrossRef] [Green Version]
- Monchamp, M.E.; Pick, F.R.; Beisner, B.E.; Maranger, R. Nitrogen forms influence microcystin concentration and composition via changes in cyanobacterial community structure. PLoS ONE 2014, 9, e85573. [Google Scholar] [CrossRef]
- Zhou, J.; Qin, B.; Han, X.; Zhu, L. Turbulence increases the risk of microcystin exposure in a eutrophic lake (Lake Taihu) during cyanobacterial bloom periods. Harmful Algae 2016, 55, 213–220. [Google Scholar] [CrossRef]
- Kardinaal, W.E.A.; Janse, I.; Kamst-van Agterveld, M.; Meima, M.; Snoek, J.; Mur, L.R.; Huisman, J.; Visser, P.M. Microcystis genotype succession in relation to microcystin concentrations in freshwater lakes. Aquat. Microb. Ecol. 2007, 48, 1–12. [Google Scholar] [CrossRef] [Green Version]
- Song, L.; Sano, T.; Li, R.; Watanabe, M.M.; Liu, Y.; Kaya, K. Microcystin production of Microcystis viridis (cyanobacteria) under different culture conditions. Phycol. Res. 1998, 46, 19–23. [Google Scholar] [CrossRef]
- Kataoka, T.; Ohbayashi, K.; Kobayashi, Y.; Takasu, H.; Nakano, S.; Konda, R.; Hodoki, Y. Distribution of the harmful bloom-forming cyanobacterium, Microcystis aeruginosa, in 88 freshwater environments across Japan. Microbes Environ. 2020, 35, ME19110. [Google Scholar] [CrossRef] [Green Version]
- Yang, J.; Tang, H.; Zhang, X.; Zhu, X.; Huang, Y.; Yang, Z. High temperature and pH favor Microcystis aeruginosa to outcompete Scenedesmus obliquus. Environ. Sci. Pollut. Res. 2018, 25, 4794–4802. [Google Scholar] [CrossRef]
- Vézie, C.; Rapala, J.; Vaitomaa, J.; Seitsonen, J.; Sivonen, K. Effect of nitrogen and phosphorus on growth of toxic and nontoxic Microcystis strains and on intracellular microcystin concentrations. Microb. Ecol. 2002, 43, 443–454. [Google Scholar] [CrossRef] [PubMed]
- Head, R.M.; Jones, R.I.; Bailey-Watts, A.E. Vertical movements by planktonic cyanobacteria and the translocation of phosphorus: Implications for lake restoration. Aquat Conserv. 1999, 9, 111–120. [Google Scholar] [CrossRef]
- Finlay, J.C.; Small, G.E.; Sterner, R.W. Human influences on nitrogen removal in lakes. Science 2013, 342, 247–250. [Google Scholar] [CrossRef] [PubMed]
- Shan, K.; Li, L.; Wang, X.; Wu, Y.; Song, L. Modelling ecosystem structure and trophic interactions in a typical cyanobacterial bloom-dominated shallow Lake Dianchi, China. Ecol. Model. 2014, 291, 82–95. [Google Scholar] [CrossRef]
- Tillmanns, A.R.; Wilson, A.E.; Pick, F.R.; Sarnelle, O. Meta-analysis of cyanobacterial effects on zooplankton population growth rate: Species-specific responses. Fundam. Appl. Limnol. 2008, 171, 285–295. [Google Scholar] [CrossRef]
- Wang, X.Y.; Sun, M.J.; Xie, M.J.; Liu, M.; Luo, L.; Li, P.F.; Kong, F.X. Differences in microcystin production and genotype composition among Microcystis colonies of different sizes in Lake Taihu. Water Res. 2013, 47, 5659–5669. [Google Scholar] [CrossRef]
- Kâ, S.; Mendoza-Vera, J.M.; Bouvy, M.; Champalbert, G.; N’Gom-Kâ, R.; Pagano, M. Can tropical freshwater zooplankton graze efficiently on cyanobacteria? Hydrobiologia 2012, 679, 119–138. [Google Scholar] [CrossRef]
- Panosso, R.; Carlsson, P.E.R.; Kozlowsky-Suzuki, B.; Azevedo, S.M.; Granéli, E. Effect of grazing by a neotropical copepod, Notodiaptomus, on a natural cyanobacterial assemblage and on toxic and non-toxic cyanobacterial strains. J. Plankton Res. 2003, 25, 1169–1175. [Google Scholar] [CrossRef] [Green Version]
- Wu, Y.; Li, L.; Zheng, L.; Dai, G.; Ma, H.; Shan, K.; Wu, H.; Zhou, Q.; Song, L. Patterns of succession between bloom-forming cyanobacteria Aphanizomenon flos-aquae and Microcystis and related environmental factors in large, shallow Dianchi Lake, China. Hydrobiologia 2016, 765, 1–13. [Google Scholar] [CrossRef]
- Shan, K.; Song, L.; Chen, W.; Li, L.; Liu, L.; Wu, Y.; Jia, Y.; Zhou, Q.; Peng, L. Analysis of environmental drivers influencing interspecific variations and associations among bloom-forming cyanobacteria in large, shallow eutrophic lakes. Harmful Algae 2019, 84, 84–94. [Google Scholar] [CrossRef] [PubMed]
- Kosten, S.; Huszar, V.L.; Bécares, E.; Costa, L.S.; van Donk, E.; Hansson, L.; Jeppesen, E.; Kruk, C.; Lacerot, G.; Mazzeo, N.; et al. Warmer climates boost cyanobacterial dominance in shallow lakes. Glob. Chang. Biol. 2012, 18, 118–126. [Google Scholar] [CrossRef]
- Komárek, J.; Komárková, J. Review of the European Microcystis-morphospecies (Cyanoprokaryotes) from nature. Czech. Phycol. 2002, 2, 1–24. [Google Scholar]
- Hu, L.; Shan, K.; Lin, L.; Shen, W.; Huang, L.; Gan, N.; Song, L. Multi-year assessment of toxic genotypes and microcystin concentration in northern lake Taihu, China. Toxins 2016, 8, 23. [Google Scholar] [CrossRef] [Green Version]
- Luo, X.; Zhou, M.; Shang, M.; Shuai, L.; Xia, Y. A novel approach to extracting non-negative latent factors from non-negative big sparse matrices. IEEE Access 2016, 4, 2649–2655. [Google Scholar] [CrossRef]
- Chipman, H.A.; George, E.I.; McCulloch, R.E. BART: Bayesian additive regression trees. Ann. Appl. Stat. 2012, 6, 266–298. [Google Scholar] [CrossRef]
- Tan, Y.V.; Roy, J. Bayesian additive regression trees and the General BART model. Stat. Med. 2019, 38, 5048–5069. [Google Scholar] [CrossRef] [Green Version]
- Jones, Z.M.; Linder, F.J. Edarf: Exploratory Data Analysis using Random Foresets. J. Open Source Softw. 2016, 1, 92. [Google Scholar] [CrossRef] [Green Version]
- Hastie, T.; Tibshirani, R.; Friedman, J. The Elements of Statistical Learning: Data Mining, Inference, and Prediction, 2nd ed.; Springer Science & Business Media: New York, NY, USA, 2009. [Google Scholar]
- Kapelner, A.; Bleich, J. bartMachine: Machine learning with Bayesian additive regression trees. J. Stat. Softw. 2016, 70, 1–40. [Google Scholar] [CrossRef] [Green Version]
- Sahour, H.; Gholami, V.; Vazifedan, M. A comparative analysis of statistical and machine learning techniques for mapping the spatial distribution of groundwater salinity in a coastal aquifer. J. Hydrol. 2020, 591, 125321. [Google Scholar] [CrossRef]
- Breiman, L. Random forests. Mach. Learn. 2001, 45, 5–32. [Google Scholar] [CrossRef] [Green Version]









| Metric | RF | MLR | BART | |
|---|---|---|---|---|
| Microcystis biomass | RMSE | 39.320 ± 0.109 | 29.854 ± 7.356 | 29.924 ± 1.475 |
| R2 | 0.561 ± 0.004 | 0.336 ± 0.033 | 0.688 ± 0.036 | |
| Intracellular MCs | RMSE | 0.093 ± 0.001 | 0.115 ± 0.009 | 0.088 ± 0.001 |
| R2 | 0.793 ± 0.004 | 0.646 ± 0.030 | 0.807 ± 0.006 | |
| Extracellular MCs | RMSE | 0.899 ± 0.008 | 1.116 ± 0.180 | 0.584 ± 0.020 |
| R2 | 0.865 ± 0.003 | 0.376 ± 0.048 | 0.902 ± 0.007 | |
| Statistical Analysis | p-value | 0.125 | 0.375 | --- |
| F-rank | 2.3333 | 2.3333 | 1.3333 |
Publisher’s Note: MDPI stays neutral with regard to jurisdictional claims in published maps and institutional affiliations. |
© 2022 by the authors. Licensee MDPI, Basel, Switzerland. This article is an open access article distributed under the terms and conditions of the Creative Commons Attribution (CC BY) license (https://creativecommons.org/licenses/by/4.0/).
Share and Cite
Wang, X.; Wang, L.; Shang, M.; Song, L.; Shan, K. Revealing Physiochemical Factors and Zooplankton Influencing Microcystis Bloom Toxicity in a Large-Shallow Lake Using Bayesian Machine Learning. Toxins 2022, 14, 530. https://doi.org/10.3390/toxins14080530
Wang X, Wang L, Shang M, Song L, Shan K. Revealing Physiochemical Factors and Zooplankton Influencing Microcystis Bloom Toxicity in a Large-Shallow Lake Using Bayesian Machine Learning. Toxins. 2022; 14(8):530. https://doi.org/10.3390/toxins14080530
Chicago/Turabian StyleWang, Xiaoxiao, Lan Wang, Mingsheng Shang, Lirong Song, and Kun Shan. 2022. "Revealing Physiochemical Factors and Zooplankton Influencing Microcystis Bloom Toxicity in a Large-Shallow Lake Using Bayesian Machine Learning" Toxins 14, no. 8: 530. https://doi.org/10.3390/toxins14080530
APA StyleWang, X., Wang, L., Shang, M., Song, L., & Shan, K. (2022). Revealing Physiochemical Factors and Zooplankton Influencing Microcystis Bloom Toxicity in a Large-Shallow Lake Using Bayesian Machine Learning. Toxins, 14(8), 530. https://doi.org/10.3390/toxins14080530

