Organisation of Multi-Mycotoxin Proficiency Tests: Evaluation of the Performances of the Laboratories Using the Triple A Rating Approach
Abstract
:1. Introduction
2. Results and Discussion
2.1. PT Test Materials
2.2. Participants
2.3. Analytical Methods Used by the Participating Laboratories
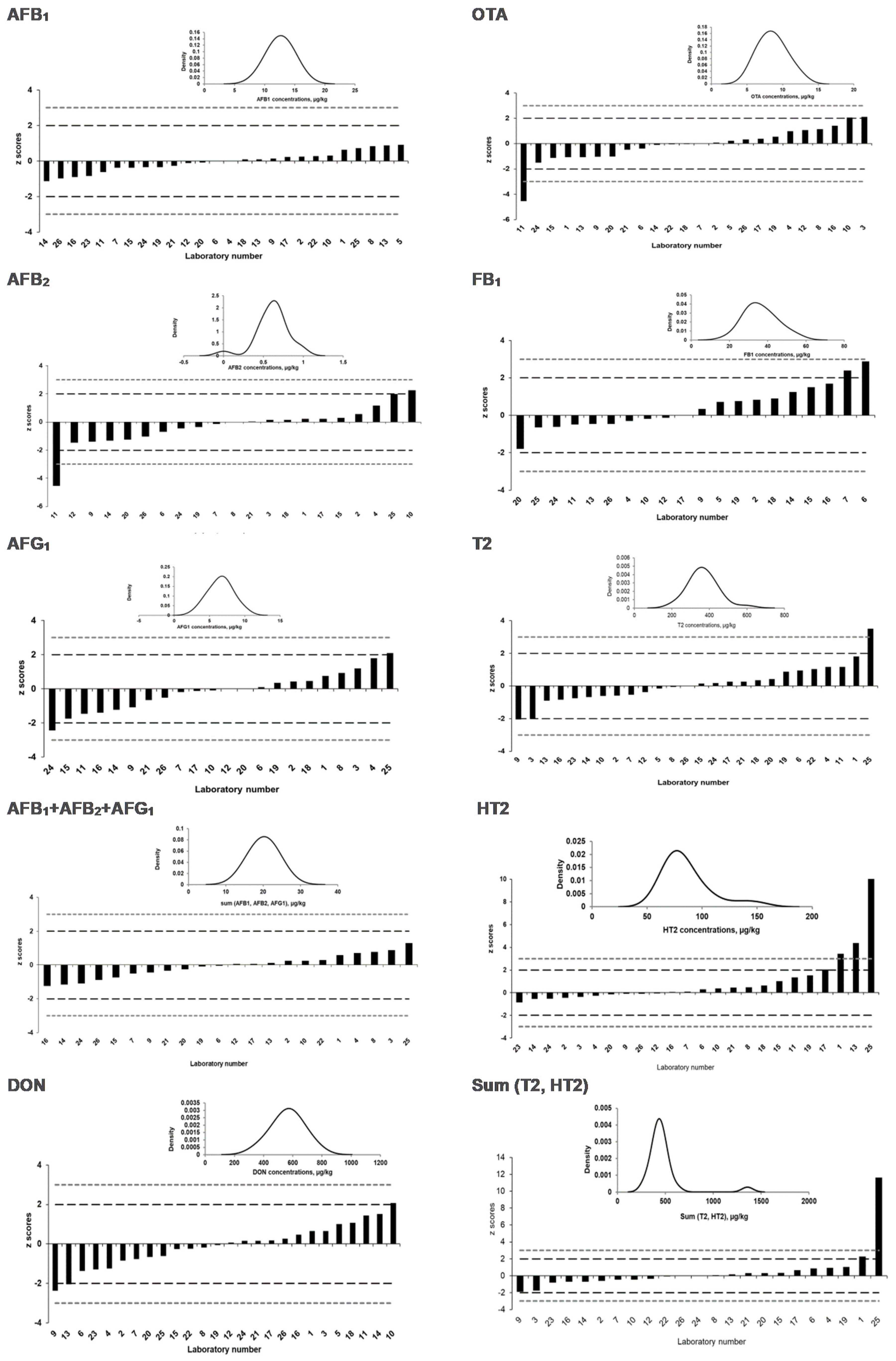
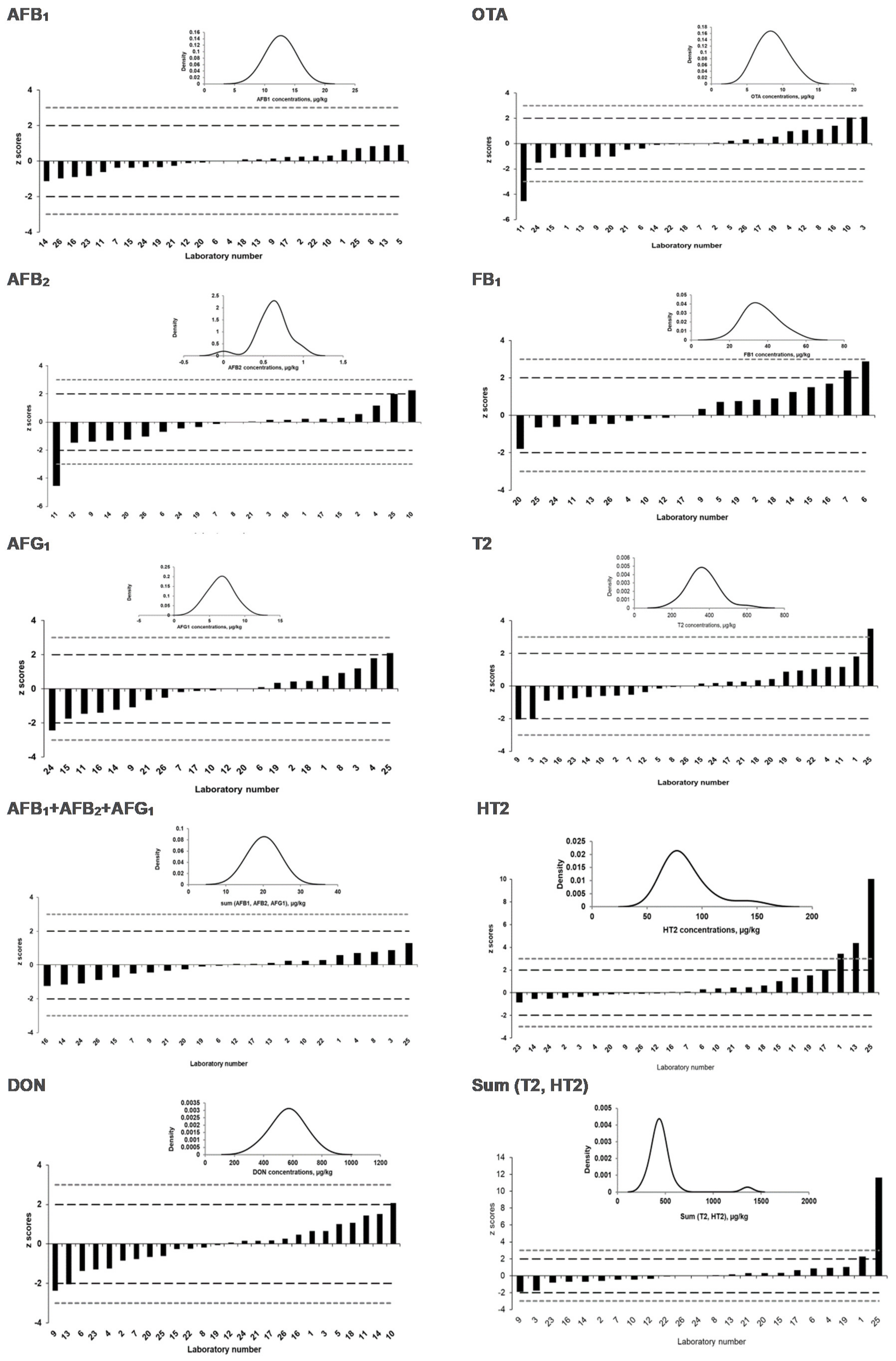
2.4. Assigned Values and Laboratory Performance Expressed as z Scores and ζ Scores
2.5. Overall Laboratory Performance
2.5.1. General Pattern of Laboratory Performances over Two-Year Period
2.5.2. Accreditation Status and Related Trends on Performance Evaluation
2.6. Conclusion and Output
3. Materials and Methods
3.1. Preparation of Candidate Reference Materials
3.2. Homogeneity Testing
3.3. Stability Testing
3.4. Proficiency Test Management
3.4.1. Participants
3.4.2. Distribution of PT Items
3.4.3. Applied Analytical Methods by Participants
3.5. Statistical and Performance Evaluation
3.5.1. Single Analyte Performance Assessment
3.5.2. Combined z Score Values Approach for Assessing Overall Laboratory Performance
3.5.3. Triple A Approach for Assessing Overall Laboratory Performance
Author Contributions
Funding
Institutional Review Board Statement
Informed Consent Statement
Acknowledgments
Conflicts of Interest
References
- Eskola, M.; Kos, G.; Elliott, C.T.; Hajšlová, J.; Mayar, S.; Krska, R. Worldwide contamination of food-crops with mycotoxins: Validity of the widely cited ‘FAO estimate’ of 25%. Crit. Rev. Food Sci. Nutr. 2020, 60, 2773–2789. [Google Scholar] [CrossRef]
- Stanciu, O.; Juan, C.; Miere, D.; Loghin, F.; Mañes, J. Occurrence and co-occurrence of Fusarium mycotoxins in wheat grains and wheat flour from Romania. Food Control 2017, 17, 147–155. [Google Scholar] [CrossRef]
- Janssen, E.; Liu, C.; van der Fels, H.J. Fusarium infection and trichothecenes in barley and its comparison with wheat. World Mycotoxin J. 2018, 11, 33–46. [Google Scholar] [CrossRef]
- Speijers, G.J.H.; Speijers, M.H.M. Combined toxic effects of mycotoxins. Toxicol. Lett. 2004, 153, 98. [Google Scholar] [CrossRef] [PubMed]
- Krska, R.; Schubert-Ullrich, P.; Molinelli, A.; Sulyok, M.; Susan, M.; Crews, C. Mycotoxin analysis: An update. Food Addit. Contam. 2008, 25, 152–163. [Google Scholar] [CrossRef]
- Bryła, M.; Waskiewicz, A.; Ksieniewicz-Wozniak, E.; Szymczyk, K.; Jedrzejczak, R. Modified Fusarium mycotoxins in cereals and their products—Metabolism, occurrence, and toxicity: An updated review. Molecules 2018, 23, 963. [Google Scholar] [CrossRef] [PubMed] [Green Version]
- Tangni, E.K.; Masquelier, J.; van Hoeck, E. Determination of ochratoxin A in edible pork offal: Intra-laboratory validation study and estimation of the daily intake via kidney consumption in Belgium. Mycotoxin Res. 2021, 37, 79–87. [Google Scholar] [CrossRef] [PubMed]
- Karlovsky, P.; Suman, M.; Berthiller, F.; de Meester, J.; Eisenbrand, G.; Perrin, I.; Oswald, I.P.; Speijers, G.; Chiodini, A.; Recker, T.; et al. Impact of food processing and detoxification treatments on mycotoxin contamination. Mycotoxin Res. 2016, 32, 179–205. [Google Scholar] [CrossRef] [PubMed]
- Tirado, M.C.; Clarke, R.; Jaykus, L.A.; McQuatters-Gollop, A.; Frank, J.M. Climate change and food safety: A Review. Food Res. Int. 2010, 43, 1745–1765. [Google Scholar] [CrossRef]
- European Commission. Commission Recommendation of 17 August 2006 on the presence of deoxynivalenol, zearalenone, ochratoxin A, T-2 and HT-2 and fumonisins in products intended for animal feeding. Off. J. Eur. Union 2006, L229, 7–9. [Google Scholar]
- EFSA Panel on Contaminants in the Food Chain. Scientific Opinion on the risks to human and animal health related to the presence of beauvericin and enniatins in food and feed. EFSA J. 2014, 12, 3802. [Google Scholar] [CrossRef]
- EFSA Panel on Contaminants in the Food Chain. Risk assessment of ochratoxin A in food. EFSA J. 2020, 18, e06113. [Google Scholar]
- Sulyok, M.; Berthiller, F.; Krska, R.; Schuhmacher, R. Development and validation of a liquid chromatography/tandem mass spectrometric method for the determination of 39 mycotoxins in wheat and maize. Rapid Commun. Mass Spectrom. 2006, 20, 2649–2659. [Google Scholar] [CrossRef] [PubMed]
- Sulyok, M.; Berthiller, F.; Krska, R.; Schuhmacher, R. Liquid chromatography/tandem mass spectrometric multimycotoxin method comprising 87 analytes and its application to moldy food samples. Anal. Bioanal. Chem. 2007, 389, 1505–1523. [Google Scholar] [CrossRef]
- Mol, H.G.; Zomer, P.; García-López, M.; Fussell, R.J.; Scholten, J.; de Kok, A.; Wolheim, A.; Anastassiades, M.; Lozano, A.; Fernandez Alba, A. Identification in residue analysis based on liquid chromatography with tandem mass spectrometry: Experimental evidence to update performance criteria. Anal. Chim. Acta 2015, 873, 1–13. [Google Scholar] [CrossRef]
- Meerpoel, C.; Vidal, A.; Huybrechts, B.; Tangni, E.K.; de Saeger, S.; Croubels, S.; Devreese, M. Comprehensive toxicokinetic analysis reveals major interspecies differences in absorption, distribution and elimination of citrinin in pigs and broiler chickens. Food Chem. Toxicol. 2020, 141, 111365. [Google Scholar] [CrossRef]
- Guo, Z.; Li, X.; Li, H. Certified Reference Materials and Metrological Traceability for Mycotoxin Analysis. J. AOAC Int. 2019, 102, 1695–1707. [Google Scholar] [CrossRef]
- ISO. ISO 17025 General Requirement for the Competence of Testing and Calibration Laboratories; International Organization for Standardization (ISO): Geneva, Switzerland, 2017. [Google Scholar]
- European Commission. European Regulation 882/2004 of the European Parliament and of the Council of 29 April 2004 on official controls performed to ensure the verification of compliance with feed and food law, animal health and animal welfare rules. Off. J. 2004, L191, 1–59. [Google Scholar]
- Solfrizzo, M.; de Girolamo, A.; Lattanzio, V.M.T.; Visconti, A.; Stroka, J.; Alldrick, A.; van Egmond, H.P. Results of a proficiency test for multi-mycotoxin determination in maize by using methods based on LC-MS/MS. Qual. Assur. Saf. Crop. Foods 2013, 5, 15–48. [Google Scholar] [CrossRef]
- Thompson, M.; Ellison, S.L.R.; Wood, R. The International Harmonized Protocol for the proficiency testing of analytical chemistry laboratories (IUPAC Technical Report). Pure Appl. Chem. 2006, 78, 45–196. [Google Scholar] [CrossRef]
- ISO 17043. Conformity Assessment—General Requirements for Proficiency Testing; International Organization for Standardization (ISO): Geneva, Switzerland, 2010. [Google Scholar]
- Tangni, E.K.; Debongnie, P.; Huybrechts, B.; van Hove, F.; Callebaut, A. Towards the development of innovative multi-mycotoxin reference materials as promising metrological tool for emerging and regulated mycotoxin analyses. Mycotoxin Res. 2017, 33, 15–24. [Google Scholar] [CrossRef]
- Medina-Pastor, P.; Mezcua, M.; Rodriguez-Toreblanca, C.; Fernandez-Alba, A.R. Laboratory assessment by combined z score values in profiency tests: Experience gained through the European Union proficiency tests for pesticide residues in fruits and vegetables. Anal. Bioanal. Chem. 2010, 397, 3061–3070. [Google Scholar] [CrossRef]
- Škrbić, B.; Héberger, K.; Đurišić-Mladenović, N. Comparison of multianalyte proficiency test results by sum of ranking differences, principal component analysis, and hierarchical cluster. Anal. Bioanal. Chem. 2013, 405, 8363–8375. [Google Scholar] [CrossRef] [Green Version]
- Valverde, A.; Fernandez-Alba, A.R.; Ferrer, C.; Aguilera, A. Laboratory Triple-A Rating: A New approach to evaluate performance-underperformance of laboratories participating in EU Proficiency Tests for multi-residue analysis of pesticides in fruits and vegetables. Food Contr. 2016, 63, 255–258. [Google Scholar] [CrossRef]
- Pascale, M.; de Girolamo, A.; Lippolis, V.; Stroka, J.; Mol, H.G.J.; Lattanzio, V.M.T. Performance evaluation of LC-MS methods for multimycotoxin determination. J. AOAC Int. 2019, 102, 1708–1720. [Google Scholar] [CrossRef]
- Bessaire, T.; Mujahid, C.; Mottier, P.; Desmarchelier, A. Multiple Mycotoxins Determination in Food by LC-MS/MS: An International Collaborative Study. Toxins 2019, 11, 658. [Google Scholar] [CrossRef] [PubMed] [Green Version]
- FAPAS—Food Analysis Performance Assessment Scheme. Food Chemistry Proficiency Test Report 04409 (2021) Multi Mycotoxins in Oat Flour; Fera Science Ltd.: National Agri-Food Innovation Campus, York, UK, 2021; p. 64. [Google Scholar]
- ISO. ISO 13528 Statistical Methods for Use in Proficiency Testing by Interlaboratory Comparisons; International Organization for Standardization (ISO): Geneva, Switzerland, 2015. [Google Scholar]
- Thompson, M.; Kenneth Mathieson, K.; Owen, L.; Damant, A.P.; Wood, R. The relationship between accreditation status and performance in a proficiency test. Accred. Qual. Assur. 2009, 14, 73–78. [Google Scholar] [CrossRef]
- Han, Z.; Tangni, E.K.; Huybrechts, B.; Munaut, F.; Scauflaire, J.; Wu, A.; Callebaut, A. Screening survey of co-production of fusaric acid, fusarin C and fumonisins B1, B2 and B3 by Fusarium strains grown in maize grains. Mycotoxin Res. 2014, 30, 231–240. [Google Scholar] [CrossRef]
- Fearn, T.; Thompson, M.A. New test for “sufficient” homogeneity. Analyst 2001, 126, 1414–1417. [Google Scholar] [CrossRef] [PubMed]
- Thompson, M. Recent trends in inter-laboratory precision at ppb and sub-ppb concentrations in relation to fitness for purpose criteria in proficiency testing. Analyst 2000, 125, 385. [Google Scholar] [CrossRef]






| AFB1 | AFG1 | AFB1 + AFG1 | DON | OTA | FB1 | FB2 | FB3 | Sum FBs | T2 | HT2 | Sum (T2, HT2) | |
|---|---|---|---|---|---|---|---|---|---|---|---|---|
| “Sufficient homogeneity” | ||||||||||||
| Ssam | 2.4 | 2.6 | 1.6 | 1.5 | 2.2 | 1.1 | 1.6 | 1.1 | 1.1 | 2.6 | 2.7 | 2.6 |
| Ssam/0.3σp | 0.4 | 0.34 | 0.2 | 0.3 | 0.3 | 0.2 | 0.2 | 0.2 | 0.2 | 0.4 | 0.4 | 0.4 |
| Ssam < 0.3σp | Pass | Pass | Pass | Pass | Pass | Pass | Pass | Pass | Pass | Pass | Pass | Pass |
| “Adequate homogeneity” | ||||||||||||
| σ2all (µg/kg) | 0.46 | 0.20 | 0.71 | 20.52 | 0.98 | 13.98 | 1.47 | 4.11 | 15.10 | 5.16 | 2.39 | 7.55 |
| San (µg/kg) | 0.70 | 0.30 | 0.70 | 17.96 | 1.34 | 9.06 | 1.22 | 2.45 | 10.05 | 7.55 | 2.96 | 10.14 |
| c | 0.81 | 0.15 | 1.34 | 1030.8 | 3.26 | 420.5 | 5.15 | 35.42 | 495.1 | 96.62 | 17.80 | 190.5 |
| ssam/sqrt(c) | 0.00 | 0.00 | 0.00 | 0.24 | 0.00 | 0.07 | 0.09 | 0.07 | 0.05 | 0.00 | 0.42 | 0.15 |
| S2sam < c | Pass | Pass | Pass | Pass | Pass | Pass | Pass | Pass | Pass | Pass | Pass | Pass |
| AFB1 | AFB2 | AFG1 | AFB1 + AFB2 + AFG1 | DON | OTA | FB1 | T2 | HT2 | Sum (T2 HT2) | |
|---|---|---|---|---|---|---|---|---|---|---|
| “Sufficient homogeneity” | ||||||||||
| Ssam | 1.9 | 2.7 | 1.8 | 1.8 | 4.0 | 2.4 | 1.9 | 1.1 | 2.0 | 1.2 |
| Ssam/0.3σp | 0.28 | 0.40 | 0.27 | 0.27 | 0.78 | 0.36 | 0.29 | 0.19 | 0.30 | 0.21 |
| Ssam < 0.3σp | Pass | Pass | Pass | Pass | Pass | Pass | Pass | Pass | Pass | Pass |
| “Adequate homogeneity” | ||||||||||
| σ2all (µg/kg) | 0.83 | 0.04 | 0.43 | 1.26 | 34.15 | 0.48 | 1.89 | 18.11 | 4.55 | 21.40 |
| San (µg/kg) | 0.74 | 0.08 | 0.38 | 1.10 | 96.64 | 0.58 | 2.16 | 11.59 | 5.30 | 15.53 |
| C | ||||||||||
| ssam/sqrt(c) | 0.30 | 0.00 | 0.21 | 0.26 | 0.00 | 0.26 | 0.00 | 0.13 | 0.00 | 0.13 |
| S2sam < c | Pass | Pass | Pass | Pass | Pass | Pass | Pass | Pass | Pass | Pass |
| Relative Changes * (Changes/0.6 × σp) | ||||||||
|---|---|---|---|---|---|---|---|---|
| Cornflakes | Rusk | |||||||
| Storage until End of the Dispatching Period at: | Storage until the End of the Result Delivery Period at: | Storage until End of the Dispatching Period at: | Storage until the End of the Result Delivery Period at: | |||||
| Mycotoxins | +4 °C | +24 °C | +4 °C | +24 °C | +4 °C | +24 °C | +4 °C | +24 °C |
| DON | −0.4 | −0.3 | 0.1 | −0.1 | −0.57 | −0.93 | −0.71 | −0.71 |
| AFB1 | −0.5 | −0.6 | −0.4 | −0.5 | −0.30 | −0.52 | −0.45 | −0.85 |
| AFB2 | n.a. | n.a. | n.a. | n.a. | −0.11 | −0.63 | −0.53 | −0.79 |
| AFG1 | −0.3 | −0.5 | −0.2 | −0.5 | n.a. | n.a. | n.a. | n.a. |
| T2 | −0.4 | −0.2 | −0.3 | −0.5 | −0.26 | −0.25 | −0.22 | −0.15 |
| HT2 | 0.0 | −1.3 | 0.9 | 0.5 | −0.15 | −0.32 | −0.05 | −0.22 |
| FB1 | −0.4 | −0.2 | −0.3 | −0.5 | −0.35 | −0.33 | −0.21 | −0.22 |
| FB2 | −0.2 | 0.1 | −0.2 | −0.6 | n.a. | n.a. | n.a. | n.a. |
| FB3 | −0.5 | −0.2 | −0.4 | −0.8 | n.a. | n.a. | n.a. | n.a. |
| OTA | −0.3 | 0.3 | −0.6 | −0.5 | −0.21 | −0.31 | −0.75 | −0.55 |
| AFB1 | AFB2 | AFG1 | AFG2 | Sum AFs | DON | FB1 | FB2 | FB1 + FB2 | FB3 | OTA | T2 | HT2 | T2 + HT2 | |
|---|---|---|---|---|---|---|---|---|---|---|---|---|---|---|
| Calculations—Uncensored dataset | ||||||||||||||
| ntot | 24 | 19 | 23 | 13 | 21 | 25 | 23 | 22 | 21 | 10 | 24 | 24 | 23 | 22 |
| MEDtot (µg/kg) | 6.2 | 0.5 | 2.7 | 0.2 | 9.2 | 380.0 | 223.3 | 26.1 | 245.4 | 54.7 | 13.5 | 73.8 | 35.5 | 107.0 |
| MADtot (µg/kg) | 0.2 | 0.1 | 0.4 | 0.1 | 1.0 | 32.7 | 45.8 | 4.4 | 47.6 | 6.8 | 1.6 | 9.5 | 4.5 | 19.5 |
| Calculations—Reference dataset | ||||||||||||||
| nref | 24 | 15 | 23 | 10 | 21 | 22 | 23 | 17 | 21 | 10 | 23 | 22 | 21 | 19 |
| MEDref (µg/kg) | 6.2 | 0.5 | 2.7 | 0.3 | 9.2 | 376.6 | 223.3 | 25.7 | 245.4 | 54.7 | 13.5 | 73.8 | 35.5 | 105.9 |
| MADref (µg/kg) | 0.2 | 0.1 | 0.4 | 0.1 | 1.0 | 29.0 | 45.8 | 3.3 | 47.6 | 6.8 | 1.5 | 8.6 | 4.5 | 17.8 |
| σrob (µg/kg) | 0.4 | 0.1 | 0.6 | 0.1 | 1.5 | 43.0 | 67.9 | 4.9 | 70.6 | 10.0 | 2.1 | 12.7 | 6.7 | 26.4 |
| σp (µg/kg) | 1.4 | 0.1 | 0.6 | 0.1 | 2.0 | 69.8 | 44.8 | 5.7 | 48.5 | 12.0 | 3.0 | 16.2 | 7.8 | 23.3 |
| HorRat | 0.3 | 1.3 | 1.0 | 1.3 | 0.7 | 0.6 | 1.5 | 0.9 | 1.5 | 0.8 | 0.7 | 0.8 | 0.9 | 1.1 |
| Vass (µg/kg) | 6.2 | - | 2.7 | - | 9.2 | 376.6 | - | 25.7 | - | 54.7 | 13.5 | 73.8 | 35.5 | 105.9 |
| u (µg/kg) | 0.1 | - | 0.1 | - | 0.3 | 9.2 | - | 1.2 | - | 3.2 | 0.4 | 2.7 | 1.5 | 6.1 |
| Z score results | ||||||||||||||
| ntot | 24 | 23 | 21 | 25 | 22 | 10 | 24 | 24 | 23 | 22 | ||||
| Acceptable | 100.0% | 100.0% | 100.0% | 88.0% | 77.3% | 100% | 95.8% | 87.5% | 91.3% | 86.4% | ||||
| Questionable | 0.0% | 0.0% | 0.0% | 0.0% | 9.1% | 0% | 0.0% | 4.2% | 0.0% | 9.1% | ||||
| Unacceptable | 0.0% | 0.0% | 0.0% | 12.0% | 13.6% | 0% | 4.2% | 8.3% | 8.7% | 4.5% | ||||
| Zeta score results | ||||||||||||||
| ntot | 21 | 20 | 15 | 21 | 18 | 8 | 18 | 21 | 20 | 13 | ||||
| Acceptable | 90.5% | 90.0% | 86.7% | 81.0% | 88.9% | 88% | 94.4% | 85.7% | 75.0% | 100.0% | ||||
| Questionable | 0.0% | 0.0% | 0.0% | 0.0% | 0.0% | 13% | 0.0% | 4.8% | 0.0% | 0.0% | ||||
| Unacceptable | 9.5% | 10.0% | 13.3% | 19.0% | 11.1% | 0% | 5.6% | 9.5% | 25.0% | 0.0% | ||||
| AFB1 | AFB2 | AFG1 | Sum AFs | DON | FB1 | OTA | T2 | HT2 | T2 + HT2 | |
|---|---|---|---|---|---|---|---|---|---|---|
| Calculations—Uncensored dataset | ||||||||||
| ntot | 26 | 21 | 22 | 22 | 26 | 20 | 25 | 26 | 24 | 23 |
| MEDtot (µg/kg) | 12.8 | 0.6 | 6.7 | 20.4 | 574.0 | 34.7 | 8.4 | 364.9 | 77.8 | 439.7 |
| MADtot (µg/kg) | 0.97 | 0.08 | 1.1 | 2.1 | 65.0 | 4.85 | 1.9 | 47.9 | 8.2 | 49.3 |
| Calculations—Reference dataset | ||||||||||
| nref | 26 | 20 | 21 | 22 | 26 | 19 | 23 | 25 | 20 | 22 |
| MEDref (µg/kg) | 12.8 | 0.6 | 6.8 | 20.4 | 574.0 | 33.4 | 8.4 | 360.0 | 76.5 | 437.4 |
| MADref (µg/kg) | 1.0 | 0.1 | 1.0 | 2.1 | 65.0 | 4.8 | 1.8 | 41.0 | 7.6 | 41.8 |
| σrob (µg/kg) | 1.4 | 0.1 | 1.5 | 3.1 | 96.4 | 7.1 | 2.7 | 60.8 | 11.2 | 61.9 |
| σp (µg/kg) | 2.8 | 0.1 | 1.5 | 4.5 | 99.8 | 7.3 | 1.8 | 67.2 | 16.8 | 79.2 |
| HorRat | 0.5 | 0.7 | 1.0 | 0.7 | 1.0 | 1.0 | 1.0 | 0.9 | 0.7 | 0.8 |
| Vass (µg/kg) | 12.8 | 0.6 | 6.8 | 20.4 | 574.0 | 33.4 | 8.4 | 360.0 | 76.5 | 437.4 |
| u (µg/kg) | 0.28 | 0.02 | 0.32 | 0.66 | 18.9 | 1.6 | 0.6 | 12.2 | 2.5 | 13.2 |
| Z score results | ||||||||||
| ntot | 26 | 21 | 22 | 22 | 26 | 20 | 25 | 26 | 24 | 23 |
| Acceptable | 100.0% | 90.5% | 90.9% | 100.0% | 92.3% | 90.0% | 84.0% | 96.2% | 79.2% | 91.3% |
| Questionable | 0.0% | 4.8% | 9.1% | 0.0% | 7.7% | 10.0% | 8.0% | 0.0% | 0.0% | 4.3% |
| Unacceptable | 0.0% | 4.8% | 0.0% | 0.0% | 0.0% | 0.0% | 8.0% | 3.8% | 12.5% | 4.3% |
| Zeta score results | ||||||||||
| ntot | 25 | 20 | 21 | 17 | 25 | 19 | 24 | 25 | 23 | 16 |
| Acceptable | 88.0% | 70.0% | 71.4% | 88.2% | 84.0% | 94.7% | 83.3% | 84.0% | 82.6% | 75.0% |
| Questionable | 12.0% | 20.0% | 9.5% | 11.8% | 12.0% | 0.0% | 4.2% | 8.0% | 4.3% | 6.3% |
| Unacceptable | 0.0% | 10.0% | 19.0% | 0.0% | 4.0% | 5.3% | 12.5% | 8.0% | 13.0% | 18.8% |
| SZ2 Evaluation | Triple A Rating | Overall | ||||||
|---|---|---|---|---|---|---|---|---|
| AAA | BAA | ABA | BBA | CBA | BAB | |||
| 2019-PT | Good | 11 (44%) | 5 (20%) | 0 | 0 | 0 | 0 | 16 (64%) |
| Acceptable | 0 | 0 | 4 (16%) | 0 | 0 | 0 | 4 (16%) | |
| Unacceptable | 0 | 0 | 3 (12%) | 1 (4%) | 1 (4%) | 0 | 5 (20%) | |
| 2020-PT | Good | 18 (69%) | 2 (8%) | 1 (4%) | 0 | 0 | 1 (4%) | 22 (85%) |
| Acceptable | 0 | 0 | 1 (4%) | 0 | 0 | 0 | 1 (4%) | |
| Unacceptable | 0 | 0 | 2 (7%) | 1 (4%) | 0 | 0 | 3 (11%) | |
| Combined Rounds | Good | 29 (57%) | 7 (13%) | 1 (2%) | 0 | 0 | 1 (2%) | 38 (74%) |
| Acceptable | 0 | 0 | 5 (10%) | 0 | 0 | 0 | 5 (10%) | |
| Unacceptable | 0 | 0 | 5 (10%) | 2 (4%) | 1 (2%) | 0 | 8 (16%) | |
Publisher’s Note: MDPI stays neutral with regard to jurisdictional claims in published maps and institutional affiliations. |
© 2021 by the authors. Licensee MDPI, Basel, Switzerland. This article is an open access article distributed under the terms and conditions of the Creative Commons Attribution (CC BY) license (https://creativecommons.org/licenses/by/4.0/).
Share and Cite
Tangni, E.K.; Huybrechts, B.; Masquelier, J.; Van Hoeck, E. Organisation of Multi-Mycotoxin Proficiency Tests: Evaluation of the Performances of the Laboratories Using the Triple A Rating Approach. Toxins 2021, 13, 591. https://doi.org/10.3390/toxins13090591
Tangni EK, Huybrechts B, Masquelier J, Van Hoeck E. Organisation of Multi-Mycotoxin Proficiency Tests: Evaluation of the Performances of the Laboratories Using the Triple A Rating Approach. Toxins. 2021; 13(9):591. https://doi.org/10.3390/toxins13090591
Chicago/Turabian StyleTangni, Emmanuel K., Bart Huybrechts, Julien Masquelier, and Els Van Hoeck. 2021. "Organisation of Multi-Mycotoxin Proficiency Tests: Evaluation of the Performances of the Laboratories Using the Triple A Rating Approach" Toxins 13, no. 9: 591. https://doi.org/10.3390/toxins13090591
APA StyleTangni, E. K., Huybrechts, B., Masquelier, J., & Van Hoeck, E. (2021). Organisation of Multi-Mycotoxin Proficiency Tests: Evaluation of the Performances of the Laboratories Using the Triple A Rating Approach. Toxins, 13(9), 591. https://doi.org/10.3390/toxins13090591

