Abstract
Allelopathy between phytoplankton species can promote cellular stress and programmed cell death (PCD). The raphidophyte Chattonella marina var. marina, and the dinoflagellates Margalefidinium polykrikoides and Gymnodinium impudicum have allelopathic effects on Gymnodinium catenatum; however, the physiological mechanisms are unknown. We evaluated whether the allelopathic effect promotes cellular stress and activates PCD in G. catenatum. Cultures of G. catenatum were exposed to cell-free media of C. marina var. marina, M. polykrikoides and G. impudicum. The mortality, superoxide radical (O2●−) production, thiobarbituric acid reactive substances (TBARS) levels, superoxide dismutase (SOD) activity, protein content, and caspase-3 activity were quantified. Mortality (between 57 and 79%) was registered in G. catenatum after exposure to cell-free media of the three species. The maximal O2●− production occurred with C. marina var. marina cell-free media. The highest TBARS levels and SOD activity in G. catenatum were recorded with cell-free media from G. impudicum. The highest protein content was recorded with cell-free media from M. polykrikoides. All cell-free media caused an increase in the activity of caspase-3. These results indicate that the allelopathic effect in G. catenatum promotes cell stress and caspase-3 activation, as a signal for the induction of programmed cell death.
Key Contribution:
The allelopathic effect of cell-free media from HABs species promoted cellular stress and induced programmed cell death in Gymnodinium catenatum.
1. Introduction
The succession among phytoplankton species during harmful algal bloom (HAB) events is complex, and the mechanisms of bloom-species selection and how some species dominate over others is not clear [1,2,3,4]. In allelopathic interactions, specific chemical compounds (allelochemicals) produced by one species can induce damage or benefit another species [5]. Some chemical signals between co-existing phytoplankton groups induce programmed cell death (PCD) as a selective strategy in intraspecies competition [6,7,8].
Gymnodinium catenatum is a marine dinoflagellate that produces paralytic shellfish toxins (PST) and forms HABs [9,10], particularly in tropical and subtropical coastal zones [11,12]. During HAB events, the co-occurrence of G. catenatum with the raphidophyte Chattonella marina var. marina and dinoflagellates such as Margalefidinium polykrikoides and Gymnodinium impudicum, have been reported in different geographic regions [13,14,15,16,17,18].
Chattonella marina var. marina and M. polykrikoides are known to produce reactive oxygen species (ROS) such as superoxide radical (O2●−), hydrogen peroxide (H2O2) and hydroxyl radicals (HO●) [19,20,21,22,23,24], as well as hemolysins, hemagglutinins and polyunsaturated fatty acids [25,26,27]. Gymnodinium impudicum does not produce toxins [28]; however, it excretes exopolysaccharides that can cause fish death, due to the blocking of gills [29,30,31]. The dominance between co-occurring phytoplankton species is associated in part with their nutrient uptake efficiency, light and space [32,33,34]; some species use allelopathy, which refers to the production of chemical substances that limit the growth or kill their competitors, as a competition strategy [35,36,37]. In laboratory conditions, cell-free media from C. marina var. marina, M. polykrikoides and G. impudicum have an allelopathic effect on G. catenatum that causes loss of flagella, cell deformation and lysis [18,38]. Although the growth inhibition in G. catenatum is clear, the metabolic response to the allelopathic effect is unknown. Understanding the mechanisms that promote allelopathy allows us to understand how this phenomenon is reflected in the dominance of the species [39].
Allelopathy can induce changes in the activation of programmed cell death (PCD) between phytoplankton species [40,41]. There are different modes of cell death in phytoplankton cells. Necrosis is a severe PCD that rapidly causes a total loss of cell integrity, and apoptosis is a process resulting from the activation of chord subsystems for self-destruction causing chromatin condensation, nucleus depletion by DNA cuts and loss of cell membrane integrity [42,43]. Apoptosis is mediated by a family of proteases with cysteine-specific protease residues of C-terminal aspartic acid, named caspases. These enzymes are divided into two groups, initiators (1, 2, 4, 5, 8, 9, 10, 11) and executors (3, 6, 7, 14) [44]. In addition, a group of proteases called metacaspases, which are similar in structure to caspases but related to a different substrate, are not directly related to PCD; in protists, the metacaspases are previously activated as death-signaling proteins [45]. Apoptosis mediated by caspases has been described in eukaryotic and prokaryotic groups, including phytoplankton such as cyanobacteria [46], diatoms [47], chlorophytes [48], dinoflagellates [49] and coccolithophores [50,51].
Few studies on the processes that activate PCD in bloom-forming species have been published [52]. Via allelochemicals, the cyanobacterium Microcystis sp. causes the collapse of Peridinium gutanense blooms [53]. The algicidal bacterium Kordia algicida secretes proteases that promote cell death in the diatoms Skeletonema costatum, Thalassiosira weissflogii and Phaeodactylum tricornutum [54]. Allelochemical signaling usually acts selectively on a particular phytoplankton group; Shawanella sp. has an algicidal effect on dinoflagellates, but not on chlorophytes or cryptophytes [55]. The main response induced by allelopathic stress in phytoplankton is the increase in ROS production, particularly H2O2 and O2●− [53,56,57]. In addition, significant increases in the activity of antioxidant enzymes such as catalase (CAT) and superoxide dismutase (SOD), which are reflected in mitochondrial membrane potential changes, related to cytochrome C functionality, triggering PCD by the action of caspases-3 and -9, have been reported [8]. It has been suggested that allelopathy among cooperating species may be the main detonator of the ROS-PCD complex [58,59,60]. Therefore, in this study the allelopathic effect of three HAB species, C. marina var. marina, G. impudicum and M. polykrikoides in G. catenatum, was analyzed and the enzymatic activity of aspartate substrate-caspase-3, O2●− production, SOD activity, lipid peroxidation and protein content were quantified in order to relate with PCD caused by allelopathy.
2. Results
2.1. Growth Rates and Growth Curve Stages
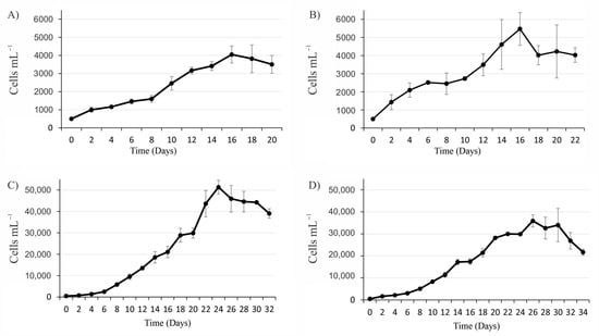
The exponential growth rates of G. catenatum and M. polykrikoides were 0.57 div day−1 and 0.59 div day−1, respectively; the growth rate of C. marina var. marina was 0.43 div day−1, while for G. impudicum it was 0.48 div day−1 (Table 1). The maximum cell density obtained varied among species (Figure 1). Maximum cell density in G. catenatum was 4048 ± 440 cells mL−1, reached at the 16th day of culture. The early exponential phases (EEP) ended on the 4th day, the late exponential phase (LEP) ended on the 16th day, and the death phase (DP) initiated on the 18th day of culture. The dinoflagellate M. polykrikoides registered a maximum density of 5470 ± 904 cells mL−1 at the 16th day of culture. The EEP lasted until the 4th day and the LEP lasted until the 16th day, followed by the DP. The raphidophyte C. marina var. marina was the species that reached the highest cell density of 51,324 ± 3201 cells mL−1 at day 24. The adaptation phase ended on day 6, on day 22 it reached the LEP, and the death phase began after the 24th day. The dinoflagellate G. impudicum reached a maximum cell density of 35,924 ± 2734 cells mL−1 at 26 days of culture, the EEP initiated on day 6, the LEP lasted from day 8 to day 24, and the DP occurred after day 28. The strains of C. marina var. marina and G. impudicum showed an adaptation phase between the 2nd and the 4th day of culture, a phase that was not observed in G. catenatum and M. polykrikoides strains.
Table 1.
Strains utilized in allelopathy experiments, collection site, growth rate and generations per day.
Figure 1.
Growth curves in GSe media, (A) Gymnodinium catenatum, (B) Margalefidinium polykrikoides, (C) Chattonella marina var. marina and (D) Gymnodinium impudicum. Data are presented as mean ± SD, (n = 3).
During the growth phases, differences in the production of metabolites and the enzyme activity were found (Figure 2). The maximum O2●− production in all species was observed during the EEP (Figure 2A). The highest O2●– production was found in C. marina var. marina (1.1 × 10−6 ± 1.26 × 10−8 nmol min−1 10−4 cells), which was similar to G. impudicum (1.09 × 10−6 ± 3.32 × 10−8 nmol min−1 10−4cells), followed by M. polykrikoides (9.9 × 10−7 ± 2.81 × 10−8 nmol min−1 10−4 cells), and G. catenatum (9.7 × 10−7 ± 1.45 × 10−8 nmol min−1 10−4 cells), with statistical differences between all species (one-way ANOVA F3,8 = 1.24, p < 0.05). In the LEP, M. polykrikoides produced the highest O2●− production 5.19 × 10−7 ± 5.12 × 10−8 nmol min−1 10−4 cells, which was three times higher than C. marina var. marina and six times higher than G. impudicum and G. catenatum, with significant differences between M. polykrikoides and the other species (ANOVA F3,8 = 5.96, p < 0.05). Minimal production of O2●− was found in the DP in all species (~1.90 to 3 × 10−8 ± 9.46 × 10−9 nmol min−1 10−4 cells), without significant differences among species (ANOVA F3,8 = 3.53, p < 0.05).
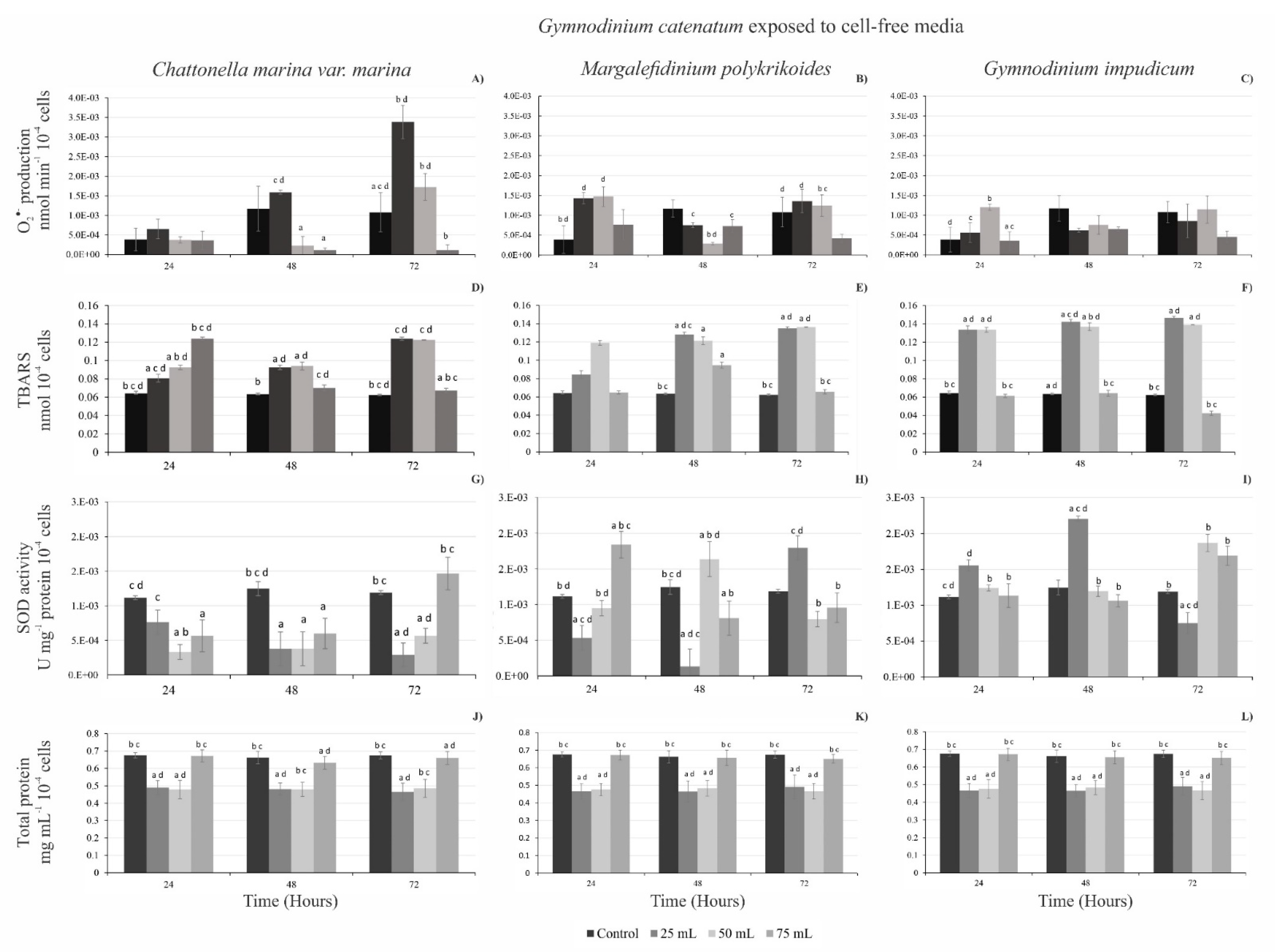
Figure 2.
(A) Superoxide radical production (O2●−), (B) thiobarbituric acid reactive substances (TBARS), (C) superoxide dismutase (SOD) activity, (D) total protein concentrations, and (E) caspase-3 activity. Data are presented as mean ± SD, (n = 3). Letters represent significant differences among species (p < 0.05).
Lipid peroxidation quantified as TBARS levels increased with the culture age (Figure 2B). In EEP, M. polykrikoides had the highest TBARS levels (1.09 × 10−1 ± 5.02 × 10−3 nmol 10−4 cells), higher than C. marina var. marina with 1.07 × 10−1 ± 1.49 × 10−3 nmol 10−4 cells, followed by G. impudicum and G. catenatum with ~1.09 × 10−1 ± 2.50 × 10−4 nmol 10−4 cells; however, no significant differences were observed among species (ANOVA F3,8 = 11.35, p < 0.05). The raphidophyte C. marina var. marina had the highest TBARS levels during the LEP (1.56 × 10−1 ± 2.77 × 10−3 nmol 10−4 cells), followed by M. polykrikoides (1.50 × 10−1 ± 6.50 × 10−4 nmol 10−4 cells), G. catenatum (1.49 × 10−1 ± 2.00 × 10−4 nmol 10−4 cells) and G. impudicum (1.48 × 10−1 ± 2.56 × 10−4 nmol 10−4 cells), with a significant difference between all species (ANOVA F3,8 = 6.15, p < 0.05). In all species, the maximum production of TBARS was found in the DP; similar levels between C. marina var. marina (1.90 × 10−1 ± 1.54 × 10−3 nmol 10−4 cells) and M. polykrikoides (1.90 × 10−1 ± 0.50 × 10−3nmol 10−4 cells), and among G. impudicum (1.89 × 10−1 ± 0.56 × 10−3 nmol 10−4 cells), and G. catenatum (1.89 × 10−1 ± 0.83 × 10−3 nmol 10−4 cells) were found. In the DP, no significant differences were found among species (ANOVA F3,8 = 3.58, p < 0.05).
Superoxide dismutase activity increased with culture age in C. marina var. marina, M. polykrikoides, G. impudicum and G. catenatum (Figure 2C). The highest SOD activity was found in G. impudicum in the EEP (1.85 × 10−3 ± 7.14 × 10−5 U mg−1 protein 10−4 cells), followed by G. catenatum (1.46 × 10−3 ± 1.56 × 10−4 U mg−1 protein 10−4 cells), C. marina var. marina (4.85 × 10−4 ± 2.13 × 10−4 U mg−1 protein 10−4 cells) and M. polykrikoides (6.45 × 10−4 ± 2.52 × 10−4 U mg−1 protein 10−4 cells), with significant differences among all species (ANOVA F3,8 = 1.82, p < 0.05). During the LEP, the SOD highest activity was found in G. impudicum and M. polykrikoides, with 3.84 and 3.26 × 10−3 ± 4.44 × 10−4 U mg−1 protein 10−4 cells, respectively, followed by G. catenatum with 2.84 × 10−3 ± 1.99 × 10−4 U mg−1 protein 10−4 cells. The lowest SOD activity was found in C. marina var. marina (2.64 × 10−3 ± 1.76 × 10−4 U mg−1 protein 10−4 cells). Significant differences in the SOD activity during LEP were found in all species (ANOVA F3,8 = 1.85, p < 0.05). In the DP, G. impudicum showed the highest SOD activity (5.12 × 10−3 ± 1.81 × 10−3 U mg−1 protein 10−4 cell), followed by M. polykrikoides (3.75 × 10−3 ± 1.08 × 10−3 U mg−1 protein 10−4 cell) and C. marina var. marina with 3.81 × 10−3 ± 1.10 × 10−3 U mg−1 protein 10−4 cell. The dinoflagellate G. catenatum displayed the lowest SOD activity in the DP (1.85 × 10−3 ± 1.07 × 10−3 U mg−1 protein 10−4 cells). Significant differences were only recorded in G. impudicum with the rest of the strains (ANOVA F3,8 = 0.35, p < 0.05).
In the EEP, the maximum total protein content was recorded in C. marina var. marina (0.64 ± 0.02 mg mL−1 proteins 10−4 cells (Figure 2D), followed by G. impudicum (0.57 ± 0.03 mg mL−1 proteins 10−4 cells), M. polykrikoides (0.44 ± 0.04 mg mL−1 proteins 10−4 cells) and G. catenatum (0.39 ± 0.05 mg mL−1 proteins 10−4 cells), with significant differences among all species (ANOVA F3,8 = 0.99, p < 0.05). In the LEP, all species presented average values of ~0.30 ± 0.01 mg mL−1 proteins 10−4 cells (LEP, ANOVA F3,8 = 0.84, p < 0.05), and the protein concentration decreased slightly in the DP to ~0.27 ± 0.02 mg mL−1 proteins 10−4 cells, with no significant differences among them (DP, ANOVA F3,8 = 0.82, p < 0.05).
The caspase-3 activity showed a progressive increase with the growth phases (Figure 2E). All strains showed a lower caspase-3 activity during the EEP. In this stage, the highest activity was observed in C. marina var. marina (155 ± 6 RFU h−1 mg−1 protein) and G. impudicum (120 ± 34 RFU h−1 mg−1 protein), while in G. catenatum and M. polykrikoides it was lower (79 ± 6 RFU h−1 mg−1 protein and 61 ± 15 RFU h−1 mg−1 protein, respectively). During the LEP, the highest caspase-3 activity was recorded in G. impudicum (303 ± 25 RFU h−1 mg−1 protein) and C. marina var. marina (242 ± 16 RFU h−1 mg−1 protein), followed by G. catenatum (178 ± 42 RFU h−1 mg−1 protein) and M. polykrikoides (147 ± 32 RFU h−1 mg−1 protein) (ANOVA F3,8 = 17.25, i < 0.05). Maximum caspase-3 activity occurred in the DP; the highest caspase activity was recorded in G. catenatum (1,113 ± 86 RFU h−1 mg−1 protein) and M. polykrikoides (1,104 ± 44 RFU h−1 mg−1 protein), followed by G. impudicum (572 ± 336 RFU h−1 mg−1 protein) and C. marina var. marina (218 ± 34 RFU h−1 mg−1 protein). Caspase-3 activity in all growth phases showed significant differences among all species (ANOVA F3,8 = 377.25, p < 0.05).
2.2. Allelopathy Experiments
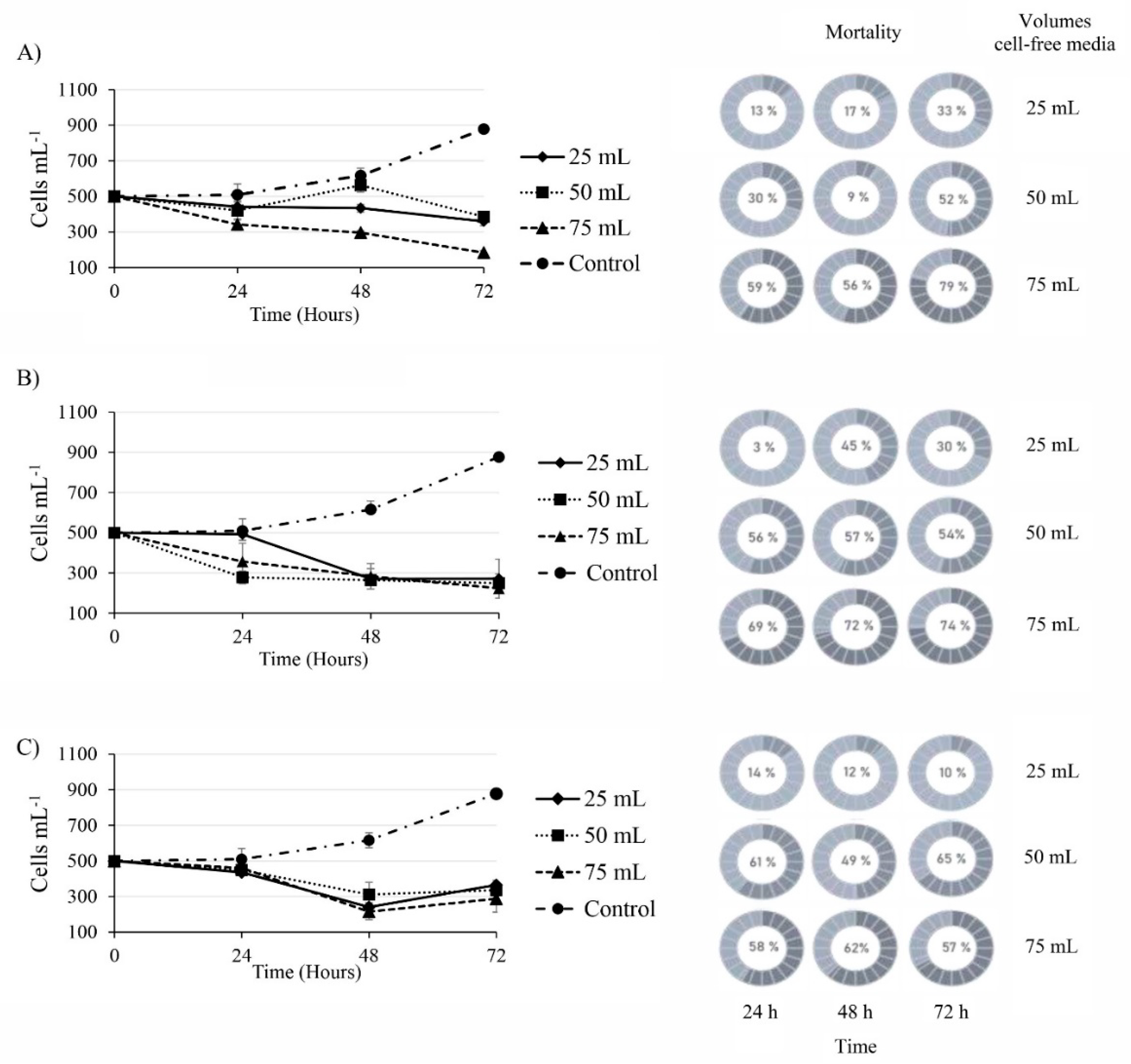
Cell-free media from the three species caused mortality in G. catenatum (Figure 3). The highest mortality was found when G. catenatum was exposed to the largest volumes (50 and 75 mL) of cell-free media (Figure 3A). When 75 mL from C. marina var. marina cell-free media was added, there was 79% of mortality in G. catenatum after 72 h. With the same volume (75 mL of cell-free medium) of M. polykrikoides in the same period (72 h), 74% of death in G. catenatum cells was observed, while G. impudicum caused 57% mortality at 72 h (Figure 3B,C). Conversely, 50 mL of cell-free medium from G. impudicum caused 65 % of mortality in G. catenatum cells at 72 h, while when cells were exposed to 75 mL of cell-free media, the mortality in G. catenatum cells was lower (62 and 57 % at 48 and 72 h, respectively) compared to the mortality caused with a volume of 50 mL (49 and 65%). The cell abundance of G. catenatum cultures exposed to cell-free media from C. marina var. marina, M. polykrikoides and G. impudicum decreased in less than 72 h (Figure 3A–C). Cell-free media (75 mL) from C. marina var. marina caused a maximum decrease from 500 to 184 ± 12 cells mL−1 in G. catenatum after 72 h of exposure; with the same volume of cell-free media from M. polykrikoides, a decrease from 500 to 224 ± 21 cells mL−1 occurred. When 75 mL of cell-free media of G. impudicum was added, the highest decrease in G. catenatum cells occurred at 48 h from 500 to 214 ± 44 cells mL−1; however, a slight increase to 287 ± 75 cells mL−1 was observed at 72 h, suggesting a recovering process in the cell growth. In the control treatment with their own cell-free media, cell abundance of G. catenatum increased from 500 to 887 ± 8 cells mL−1 from 0 to 72 h. In the control treatment with GSe media, the cell abundance of G. catenatum was similar to that reported in the growth phase 500 to 899 ± 12 cells mL−1 from time 0 to 72 h (data not shown by the similarity of the results).
Figure 3.
Cellular abundance of Gymnodinium catenatum after exposure to cell-free media from (A) Chattonella marina var. marina, (B) Margalefidinium polykrikoides and (C) Gymnodinium impudicum. Data are shown as mean ± SD, (n = 3). Circular graphics represent the mortality percentage of treatments compared to the control.
2.3. Superoxide Radical (O2●−) Production
The O2●− production of G. catenatum exposed to exudates of cell-free media varied with species and treatments (Figure 4A–C). The maximal O2●− production occurred when 25 mL of C. marina var. marina cell-free media was added; at 24 h there was an increase in O2●− production, which continued until 72 h (3.38 × 10−3 ± 4.45 × 10−4 nmol min−1 10−4 cells), followed by the addition of 50 mL (1.72 × 10−3 ± 3.42 × 10−4 nmol min−1 10−4 cells), and when G. catenatum was exposed to 75 mL of cell-free media of C. marina var. marina O2●− production was 1.14 × 10−3 ± 5.02 × 10−4 nmol min−1 10−4 cells, being significantly lower than the control (ANOVA F3,8 = 11.35, p < 0.05). With M. polykrikoides 25 mL of cell-free media at 24 h, the highest O2●− production in G. catenatum was 1.43 × 10−3 1.40 ± × 10−4 nmol min−1 10−4 cells; with 50 mL, the production was similar (1.47 × 10−3 ± 2.48 × 10−4 nmol min−1 10−4 cells), and when adding 75 mL of cell-free media of M. polykrikoides it only reached a production of 0.76 × 10−3 ± 3.85 × 10−4 nmol min−1 10−4 cells (ANOVA F3,8 = 11.35, p < 0.05). With 50 mL cell-free media of G. impudicum at 24 h, O2●− production of G. catenatum was 1.20 × 10−3 nmol min−1 10−4 cells, which was higher than when 25 mL of cell-free media was added 1.47 × 10−3 ± 2.48 × 10−4 nmol min−1 10−4 cells, and with the addition of 75 mL it increased to 3.53 × 10−3 ± 1.23 × 10−4 nmol min−1 10−4 cells (ANOVA F3,8 = 2.29, p < 0.05). At 48 h, the O2●− production in all volumes added was significantly lower than the control. At 72 h, the highest O2●− production in G. catenatum, was found when adding 50 mL of G. impudicum cell-free media 1.14 × 10−3 ± 5.85 × 10−4 nmol min−1 10−4 cells, which was higher than when 25 mL (0.85 × 10−3 ± 1.59 × 10−4 nmol min−1 10−4 cells) or 75 mL (0.45 × 10−3 ± 0.80 × 10−4 nmol min−1 104) was added. Only at 24 h were significant differences observed among treatments compared with the control (ANOVA F3,8 = 4.87, p < 0.05).
Figure 4.
Allelopathic effects in Gymnodinium catenatum exposed to cell-free media from Chattonella marina var. marina, Margalefidinium polykrikoides and Gymnodinium impudicum evaluated by (A–C) superoxide radical production (O2●−), (D–F) thiobarbituric acid reactive substances (TBARS), (G–I) superoxide dismutase (SOD) activity, and (J–L) total protein content. Data are shown as mean ± SD. Letters represent significant differences among treatments (different volumes of cell-free media) with respect to the respective control (p < 0.05, n = 3).
2.4. Thiobarbituric Acid Reactive Substances (TBARs) Levels
Lipid peroxidation in G. catenatum was higher when exposed to 25 and 50 mL volumes at 48 and 72 h of cell-free media from all species (Figure 4D–F). When G. catenatum was exposed to cell-free media from the raphidophyte at 24 h (Figure 4D) with 75 mL, the TBARS levels were higher (0.12 ± 1.73−3 nmol 10−4 cells) compared to the control (0.06 ± 0.03−4 nmol 10−4 cells); with the addition of 50 mL the TBARS levels were 0.09 ± 2.53−3 nmol 10−4 cells; and with 25 mL they decreased to 0.08 ± 4.25−3 nmol 10−4 cells (ANOVA F3,8 = 0.87, p < 0.05). The TBARS levels in G. catenatum, after exposure to cell-free media from the other dinoflagellate species, were similar, particularly in treatments of 25 and 50 mL, at 48 and 72 h, respectively. Cell-free media from M. polykrikoides caused the highest lipid peroxidation in G. catenatum (from 0.12 to 0.13 ± 2.45−3 nmol 10−4 cells) at 48 and 78 h with statistical differences with the control (ANOVA F3,8 = 4.54, p < 0.05). Similarly, treatments with 25 and 50 mL of cell-free media of G. impudicum yielded the highest TBARS levels in G. catenatum at 24, 48 and 72 h, with values from 0.13 to 0.14 ± 1.11−3 nmol 10−4 cells with a significant difference with the control, and when adding 75 mL of the cell-free filtrate from 0.04 to 0.6 ± 0.13−3 nmol 10−4 cells (p < 0.05).
2.5. Superoxide Dismutase (SOD) Activity
The SOD activity of G. catenatum was variable and did not describe a dose–time relationship (Figure 4G–I). The highest SOD activity in G. catenatum exposed to 25 mL of cell-free culture from C. marina var. marina was at 24 h with 0.76 × 10−3 ± 1.74 × 10−4 U mg−1 protein 10−4 cells with respect to 75 mL (0.50 × 10−3 ± 2.30 × 10−4 U mg−1 protein 10−4 cells) and 50 mL (0.33 × 10−3 ± 1.08 × 10−4 U mg−1 protein 10−4 cells). At 48 h, with 75 mL of cell-free culture from C. marina var. marina, the highest SOD activity was found (0.59 × 10−3 ± 2.19 × 10−4 U mg−1 protein 10−4 cells), while at 25 and 50 mL the SOD activity was similar (~ 0.37 × 10−3 ± 2.45 × 10−4 U mg−1 protein 10−4 cells) (Figure 4G). After 72 h of exposure, SOD activity in G. catenatum cells with 75 mL was higher (1.46 × 10−3 ± 2.34 × 10−4 U mg−1 protein 10−4 cells) compared to when adding 50 mL (0.56 × 10−3 ± 1.08 × 10−4 U mg−1 protein 10−4 cells) and 25 mL of cell-free media. The SOD activity in G. catenatum decreased (0.29 × 10−3 ± 1.68 × 10−4 U mg−1 protein 10−4 cells) compared to the control (one-way ANOVA, F3,4 = 1.78, (p < 0.05)). The SOD activity in G. catenatum when exposed to allelochemicals of M. polykrikoides (Figure 4H) was highest at 24 h with 75 mL of cell-free filtrate (1.84 × 10−3 ± 2.08 × 10−4 U mg−1 protein 10 −4 cells), compared to 50 mL (0.95 × 10−3 ± 1.88 × 10−4 U mg−1 protein 10−4 cells) and 25 mL (0.53 × 10−3 ± 0.72 × 10−4 U mg−1 protein 10−4 cells). At 48 h, when adding 50 mL of the filtrate from M. polykrikoides, higher SOD activity (1.63 × 10−3 ± 1.21 × 10−4 U mg−1 protein 10−4 cells) was observed compared to when 75 mL was added (1.81 × 10−3 ± 2.39 × 10−4 U mg−1 protein 10−4 cells) and with 25 mL (0.13 × 10−3 ± 1.55 × 10−4 U mg−1 protein 10−4 cells). With the lowest volume (25 mL) of cell-free media from M. polykrikoides, at 72 h there was a higher SOD activity (1.80 × 10−3 ± 5.54 × 10−4 U mg−1 protein 10−4 cells), compared to 75 mL (0.95 × 10−3 ± 2.06 × 10−4 U mg−1 protein 10−4cells) and 25 mL (0.78 × 10−3 ± 1.67 × 10−4 U mg−1 protein 10−4cells) of cell-free media; all volumes were statistically different from the control (ANOVA, F3, 8 = 5.54, p < 0.05). In the treatments with G. impudicum cell-free media, the highest SOD activity was recorded at 24 h with 25 mL (1.55 × 10−3 ± 0.76 × 10−4 U mg−1 protein 10−4cells), higher than the SOD activity caused when adding 50 mL (1.24 × 10−3 ± 0.42 × 10−4 U mg−1 protein 10−4 cells) and 75 mL (1.13 × 10−3 ± 1.65 × 10−4 U mg−1 protein 10−4 cells). At 72 h, volumes of 50 and 75 mL of cell-free media from G. impudicum caused an SOD activity in G. catenatum of 1.87 × 10−3 ± 0.42 × 10−4 and 1.69 × 10−3 × 10−3 ± 0.29 × 10−4 U mg−1 protein 10−4 cells, respectively, higher than when adding 25 mL of the filtrate that caused an SOD activity in G. catenatum of 1.13 × 10−3 ± 1.65 × 10−4 U mg−1 protein 10−4 cells; in all volumes, SOD activity was statistically different from the control (ANOVA, F3,8 = 0.62, (p < 0.05)).
2.6. Protein Content
Total protein content in G. catenatum was significantly different among the different treatments when adding cell-free media from the three species (Figure 4J–L). Treatments with 75 mL and the control had the highest protein values. At 24, 48 and 72 h when adding 75 mL of C. marina var. marina cell-free media, the highest protein concentration in G. catenatum (~0.65 ± 0.03 mg mL−1 proteins 10−4 cells), as compared to 25 and 50 mL of filtrate (~0.47 ± 0.04 mg mL−1 proteins 10−4 cells), was observed; the control and the treatment with 75 mL of cell-free media was statistically different from the 25 and 50 mL cell-free media treatments (ANOVA, F3,8 = 1.16, p < 0.05). With cell-free filtrates of M. polykrikoides, at 24, 48 and 72 h the highest protein content in G. catenatum was found when adding 75 mL and the control (~0.66 ± 0.02 mg mL−1 proteins 10−4 cells); when adding 25 and 50 mL of the filtrate, the protein content decreased (~0.47 ± 0.04 mg mL−1 proteins 10−4 cells). Statistical differences between the 75 mL of cell-free media with respect to the 25 and 50 mL cell-free media treatments were found (ANOVA, F3,8 = 1.53, p < 0.05). With 75 mL of G. impudicum cell-free medium, the protein content in G. catenatum was ~ 0.67 ± 0.05 mg mL−1 proteins 10−4 cells, higher than when adding 25 and 50 mL (~0.47 ± 0.05 mg mL−1 proteins 10−4 cells); statistical differences between the control and 75 mL of cell-free media compared to 25 and 50 mL of cell-free media treatments were found (ANOVA, F3,8 = 3.53, (p < 0.05)).
2.7. Caspase-3 Activity
All cell-free media volumes of C. marina var. marina, M. polykrikoides and G. impudicum tested increased caspase-3 activity in G. catenatum (Figure 5). With 75 mL of cell-free media from C. marina var. marina, the highest caspase-3 activity was found at 24 h (10.5 ± 1.5 RFU h−1 mg−1 protein), compared to adding 25 and 50 mL cell-free media from C. marina var. marina, with an activity of 6 ± 1.1 and 5.5 ± 0.5 RFU h−1 mg−1 protein, respectively. After 48 h, similar values were recorded; 75 mL from C. marina var. marina cell-free media in cells of G. catenatum recorded maximum caspase-3 activity (11.2 ± 1 RFU h−1 mg−1 protein), higher than when adding 25 mL (7.1 ± 2 RFU h−1 mg−1 protein) and 50 mL (6.8 ± 0.05 RFU h−1 mg−1 protein). With 75 mL from C. marina var. marina cell-free media, at 72 h the caspase-3 in cells of G. catenatum was higher 10.5 ± 1.7 RFU h−1 mg−1 protein, compared to volumes of 25 and 50 mL with average values of 8.16 ± 1.7 RFU h−1 mg−1 protein; all volumes showed differences significant compared to control (ANOVA F3,8 = 1.77, p < 0.05). As for response to the exposure of M. polykrikoides cell-free filtrates, when adding 75 mL at 24 h, higher caspase-3 activity was observed in G. catenatum (7.8 ± 1.7 RFU h−1 mg−1 protein), compared to the activity found with 25 and 50 mL that registered ~4.56 ± 0.8 RFU h−1 mg−1 protein. After 48 h, filtrates from M. polykrikoides caused an increase in the caspase-3 activity in G. catenatum to 9.5 ± 1.5 RFU h−1 mg−1 protein with 75 mL, while with 25 and 50 mL of cell-free media the caspase-3 activity was of 5.2 ± 1 RFU h−1 mg−1 protein and 4.16 ± 0.6 RFU h−1 mg−1 protein, respectively. With 75 mL of cell-free media from M. polykrikoides, the highest caspase-3 activity in G. catenatum was recorded at 72 h (9.5 ± 1.5 RFU h−1 mg−1 protein), compared with the caspase-3 activity at 24 and 48 h with the same volume 75 mL. At 72 h, volumes of 25 and 50 mL of cell-free media of M. polykrikoides showed values in caspase-3 activity similar to those at 24 and 48 h (~4.9 ± 1 RFU h−1 mg−1 protein); all treatments were significantly different from the control (ANOVA F3,8 = 2.28, p < 0.05). The activity of the caspase-3 with cell-free media of G. impudicum varied with time; during 24 and 48 h, when adding 50 mL of media the caspase-3 activity was higher (~ 7.65 ± 0.7 RFU h−1 mg−1 protein) than when adding 25 and 75 mL, (6.2 ± 1 RFU h−1 mg−1 protein and 4.2 ± 1 RFU h−1 mg−1 protein), respectively. Significant differences were found in all treatments with the control (ANOVA F3,8 = 6.38, p < 0.05). After 72 h, the caspase activity in G. catenatum was higher when 75 mL cell-free media of G. impudicum was added (8.5 ± 1 RFU h−1 mg−1 protein), followed by 50 mL and 25 mL treatments (7.5 ± and 4.8 ± 0.5 RFU h−1 mg−1 protein), respectively, with significant differences among treatments with the control (ANOVA F3,8 = 1.66, p < 0.05).
Figure 5.
Caspase-3 activity in Gymnodinium catenatum exposed to cell-free media from (A) Chattonella marina var. marina, (B) Margalefidinium polykrikoides and (C) Gymnodinium impudicum. Data are shown as mean ± SD. Letters represent significant differences among treatments (different volumes of cell-free media) with respect to the respective control (p < 0.05, n = 3).
Correlation analyses of caspase-3 activity with molecules related to oxidative stress and the total protein content in G. catenatum exposed to cell-free filtrates of C. marina var. marina, M. polykrikoides and G. impudicum are shown in Table 2. The cell-free media from C. marina var. marina showed strong negative correlations between caspase-3 and O2●− production in G. catenatum at 48 and 72 h (r = −0.796, r = −0.707, p < 0.05), respectively; TBARS levels had a negative correlation (r = −0.927) at 72 h (p < 0.05); the SOD activity during 24 and 48 h had a negative correlation (r = −0.852 and r = −0.733, respectively) (p < 0.05); the protein content also presented a negative correlation at 24 and 48 h (r = −0.731 and r = −0.739, respectively) (p < 0.05). With M. polykrikoides cell-free media, strong significant negative correlations were found in G. catenatum between caspase-3 activity and TBARs levels (r = −0.923) at 72 h (p < 0.05); with the protein content a negative correlation at 24 h and 72 h (r = −0.709 and r = −0.751, respectively), was observed (p < 0.05). In addition, when G. catenatum was exposed to the cell-free filtrates of G. impudicum, caspase-3 activity had a positive correlation with TBARS levels at 24 h (r = 0.783) and at 48 h had a negative correlation (r = −0.709), while at 72 h there was a strong significant positive correlation (r = 0.927) (p < 0.05) and a negative correlation with the protein content (r = −0.737) after 72 h of exposure.
Table 2.
Correlation between caspase-3-like activity and the oxidative stress indicators in Gymnodinium catenatum exposed to allelopathic cell-free media of Chattonella marina var. marina, Margalefidinium polykrikoides and Gymnodinium impudicum.
3. Discussion
Allelopathy in Gymnodinium catenatum via cell-free media promotes oxidative stress, inducing the activation of caspase-3-like protein, involved in apoptosis processes. Evidence suggests a relationship between oxidative stress and caspase-3 activity with the growth phases. The allelopathic effect of cell-free cultures from C. marina var. marina caused the maximum O2●− production in G. catenatum; the highest TBARS levels in G. catenatum were determined with cell-free media from M. polykrikoides and G. impudicum. Cell-free media of G. impudicum caused maximum SOD activity. The cell-free media of C. marina var. marina and M. polykrikoides caused the lowest SOD activity. The protein content in G. catenatum due to allelopathic effect was similar when exposed to cell-free media of C. marina var. marina, M. polykrikoides and G. impudicum. Caspase-3 activity was highest in G. catenatum with the cell-free media from all species. Strong positive and negative correlations were recorded between the caspase-3 activity and O2●− production, TBARS levels, SOD activity and protein content in G. catenatum, due to the allelopathic effect of C. marina var. marina, M. polykrikoides and G. impudicum cell-free media.
Growth rates of dinoflagellates species vary among strain and culture conditions. The average growth rate recorded for G. catenatum of 0.57 div day−1 was lower compared to values reported by Band-Schmidt et al. [10] for other strains from Mexico, ~0.77 div day−1, and similar to those reported by Bravo and Anderson [62] with 0.56 div day−1 in strains from Spain (Table 3). In this study, M. polykrikoides registered an average growth rate of 0.59 div day−1, similar to the values (0.56 div day−1) reported by Yamatogi et al. [63] for strains from Japan, while Kim et al. [64] reported lower growth rates (0.35 div day−1) also in a Japanese strain. Recently, Aquino-Cruz et al. [23] reported a growth rate of 0.41 div day−1 for M. polykrikoides from a strain isolated from the coasts of Mexico. Chattonella marina var. marina had a growth rate of 0.43 div day−1, similar to the growth rate reported by Marshall and Hallegraeff [65], with 0.56 div day−1 for an Australian strain, and higher than those reported by Band-Schmidt et al. [61] of 0.30 div day−1 in a Mexican strain. For G. impudicum, a growth rate of 0.48 div day−1 was recorded, higher than a strain from Korea reported by Oh et al. [15] with 0.37 div day−1. Such differences and similarities in growth rates of strains of the same species can be due to multiple variables, such as the culture medium, photoperiod, salinity, temperature conditions or even geographical origin of the strains.
Table 3.
Growth rates, culture condition and location of isolation of some strains of Gymnodinium catenatum, Margalefidinium polykrikoides, Chattonella marina var. marina and Gymnodinium impudicum.
The maximum O2●− production was during the EEP in all the strains. Similar results were reported for G. catenatum, C. marina var. marina and M. polykrikoides, with higher O2●− in the last two species [24,27,66]. In this research, C. marina var. marina and M. polykrikoides presented the highest O2●− production values; however, there were no significant differences between C. marina var. marina and G. impudicum, and between M. polykrikoides and G. catenatum. These results suggest that other species of phytoplankton also produce high amounts of reactive oxygen species. In other studies, a high O2●− production in G. catenatum was reported to be 59.7 ± 15.2 CCU per cell of O2●− production, and total O2●− measured in 300 µL of culture 8.0 ± 0.1 TCU × 104, concluding that Gymnodiniales dinoflagellates can be potentially toxic due to O2●− production [66]. In the phytoflagellate aggregations, ROS are generated as signaling agents, decreasing their production during the decay of cultures; they also are considered precursors of allelopathic effects [67,68].
Lipid peroxidation can be taken as an indicator of oxidative damage in lipids. Aquino-Cruz et al. [24] reported for Chattonella spp. and M. polykrikoides maximum TBARS values during the EEP, whereas in this study TBARS concentration increased towards the DP, especially in M. polykrikoides. In this study, the analyses were carried out between the EP and DP, while Aquino-Cruz et al. [24] evaluated TBARS levels only up to the EP. The results of this study can be attributed to the fact that as cells age, lipid peroxidation and mortality increase [60,69], since culture senescence is also associated with higher SOD activity. The outcome of oxidative damage is reflected in the production and integrity of proteins [69]. In this study, all analyzed species had the highest protein content in younger cultures. These results suggest a relationship in the oxidative stress as a consequence of a decreased or increased antioxidant enzyme SOD activity and glutathione. This also was reported in cyanobacteria species, Aphanizomenon ovalisporum and Microcystis aeruginosa. Cell extracts, and pure toxins microcystin and cylindrospermopsin increased the antioxidant activity in the green algae Chlorella vulgaris [70]; this activity can potentially act as a conservative strategy similar to that of the Antarctic cyanobacterium Nostoc commune, which possesses two isoforms of SOD and catalase to endure various stress conditions [71]. In higher plants, the reduced glutathione (GHS) also regulates water status and prevents chlorophyll degradation under biotic stress [72].
The caspase-3 activity in strains of C. marina var. marina, M. polykrikoides, G. impudicum and G. catenatum suggest that M. polykrikoides and G. catenatum have a shorter growth curve and a higher signal of caspase-3 activity. The maximum caspase-3 activity occurs during the DP; therefore, signaling programmed death is activated towards the end of the growth curve, probably due to a decrease of nutrients in the culture medium. Programmed cell death by nutrient decrease in phytoplankton cultures was reported in laboratory conditions in the coccolithophore Emiliana huxyleyi [73], and the diatom Thalassiosira pseudonana [74]. Nutrients may contribute, in the natural environment, to the regulating mechanism of PCD in the dinoflagellates Karenia brevis and Prorocentrum donghaiense, as a survival strategy [49,75,76].
Nutrients can affect allelopathy [77,78]. Nutrient depletion increases the toxicity of allelochemicals and their production [79]. The addition of nutrients can end allelopathy [80] and promote greater co-occurrence between phytoplankton species [36]. In this study, nutrient concentrations were not analyzed, but according to the experimental design suggested for allelopathic studies [81,82] and by Legrand et al. [34], all the experiments were carried out under optimal nutrient conditions for both the donor species of the allelopathic effect (C. marina var. marina, M. polykrikoides, and G. impudicum) and the acceptor species (G. catenatum). In addition, maximum exposure time (72 h) in allelopathic experiments was short, compared to the 18 or 26 days needed to research the DP in the tested species; therefore, our results can be assumed to be due to cell-free media and not nutrient-depletion media.
Allelopathy decreases algal growth, damages cell membranes and causes high mortality via lysis [33,83,84]. Mortality above 76 % associated with cells lysis caused by cell-free media, and cultures with and without cell contact was reported for G. catenatum [18,38]. Morphological damages were reported in vegetative cells of Alexandrium pacificum caused by algal allelochemicals [85]. Cochlodinium germinatum causes high mortality via lysis in the microalgae Prorocentrum micans, Akashiwo sanguinea, Karlodinium veneficum, and Rhodomona salina [86]. Lysis and temporary cyst formed in Scrippsiella trochoidea by allelopathic effects caused from cell-free media from Karenia mikimotoi, Alexandrium tamarense and Chrysochromulina polylepis [35,87]. Results from this study suggest that when the allelopathic effect in G. catenatum is more intense (i.e., higher mortality), cellular stress signals detected are lower. Greater O2●− production in G. catenatum was caused by lower volumes (25 and 50 mL) of cell-free media from C. marina var. marina, M. polykrikoides and G. impudicum (Figure 4A–C).
Lu et al. [88] reported the activity of allelochemicals, finding the maximum production of ROS in the cyanobacterium Microcystis aeruginosa treated with the allelochemical phenol pyrogalic acid at 48 h, which was 2 times higher than what was recorded at 216 h. In this study, O2●− production and the TBARS lipid peroxidation were consistently higher in G. catenatum when exposed to the lower volumes of cell-free filtrates. The SOD activity in G. catenatum depends on the cell-free media of the species from which it was obtained and on the exposure time (Figure 4G—I). Hong et al. [89] described the growth and the SOD activity in M. aeruginosa after 4 h of exposure to the allelochemical ethyl 2-methyl acetoacetate (EMA) isolated from the reed Phragmites communis at concentrations from 0.24 to 4 mg L −1. This suggests that the highest O2●− production decreased the cytoplasmic SOD activity, and the antioxidant defense may cause growth inhibition in M. aeruginosa from initial exposure to EMA [89]. It is probable that the decrease in SOD activity observed in G. catenatum in treatments with cell-free media from C. marina var. marina, M. polykrikoides and G. impudicum, which had the highest mortality, could be explained by a similar mechanism of action when maximum O2●− production is related to the exposure time, although not necessarily to higher doses of cell-free culture media.
The allelopathic effect associated with oxidative stress in phytoplankton species affects their photosynthetic capacity, potentially causing a decrease in the photochemical performance of photosystem II, which in turn increases the permeability of the membrane due to the oxidation of fatty acids [90,91,92]. During the interaction with the larger volumes (75 mL) of cell-free media from all donor species of the allelopathic effect, a high concentration of total proteins was recorded in G. catenatum. These results are consistent with those of Zhang et al. [93] who reported that higher ROS production promotes lower protein content in the dinoflagellate Heterosigma akashiwo exposed to 1.0 µg mL−1 of prodigiosin, an algaecide from bacterial origin, even when with the highest concentration treatment the protein content was similar to the controls.
Allelochemicals and algicides increase oxidative-stress-activating pathways related to programmed cell death [73,83]. In this study, treatment of G. catenatum cell-free media from C. marina var. marina, M. polykrikoides and G. impudicum promoted caspase-3 activity proportional to dose-time. Similar results were reported for other phytoplankton groups exposed to allelopathic or algicidal compounds. Linoleic acid promotes the caspase-3 activity as a result of oxidative stress in Karenia mikimotoi [94]. Polybrominated diphenyl ethers induce oxidative stress, activating programmed cell death signals in the diatom Thalassiosira pseudonana [95]. During blooms of Peridinium gutunense, CO2 limitation triggers a ROS-PCD cascade reaction [83]. Also, in M. polykrikoides, exposure to the algicide copper sulfate and oxidizing chlorine activates a gene related with a metacaspase, a type of protease analogous to caspases [96].
In this study, caspase-3 activity was correlated to O2●− production, TBARS levels, SOD activity and total protein in G. catenatum exposed to cell-free filtrates from C. marina var. marina, M. polykrikoides and G. impudicum (Table 2). This supports the hypothesis of oxidative stress and caspase-3 activation related to programmed cell death caused by allelopathy [8,60,83,97]. Therefore, understanding the ecological importance of programmed cell death and the relationship to chemical signaling (e.g., allelopathy) is important to understanding microscale phenomena that are reflected in the phytoplankton community [97].
Although there are no field studies of the allelopathic effect in G. catenatum, the continuous dominance in cell abundance of C. marina var. marina and M. polykrikoides on G. catenatum when these species coexist during blooms has been reported [13,14,15,17,28,98,99,100]. Chattonella spp. and M. polykrikoides were reported to promote allelopathy, inhibit growth, deform cells and cause lysis in chlorophytes, diatoms and dinoflagellates [67,101,102]. Similarly, an allelopathic effect, associated with growth inhibition, higher number of cell-chains, loss of flagella, cell deformation, swelling, prominent nucleus, rupture of cell membrane, lysis and formation of temporary cysts of C. marina on G. catenatum under laboratory conditions was reported by Fernández-Herrera et al. [38]. In addition, the allelopathic effect, including growth inhibition, cell chain fragmentation, rounded cells, loss of flagella, cell damage and lysis of M. polykrikoides and G. impudicum on G. catenatum was reported by Band-Schmidt et al. [18]. Results from this study could suggest a similar effect of C. marina var. marina, M. polykrikoides and G. impudicum on G. catenatum, potentially via allelochemicals extruded to the culture media.
The challenge for future studies is to elucidate the allelochemicals responsible for the dominance of phytoplankton species coexisting with G. catenatum. Bidle [8,60] proposed that programmed cell death acts as an ancestral survival strategy in the internal machinery of phytoplankton species in response to abiotic and biotic factors. Understanding the type of programmed cell death related to allelopathy can contribute to comprehend the dynamics, duration and species succession during blooms, as well as potential strategies in G. catenatum to survive the dominance of allelopathic species. Our results suggest that the allelopathic activity of C. marina var. marina, M. polykrikoides and G. impudicum in G. catenatum activates multiple oxidative stress mechanisms.
4. Conclusions
This study suggests that an allelopathic effect caused by cell-free media of the raphidophyte Chattonella marina var. marina and the dinoflagellates Margalefidinium polykrikoides and Gymnodinium impudicum on the toxic dinoflagellate Gymnodinium catenatum, potentially via allelochemicals extruded to the culture media, promotes changes in O2●− production, lipid peroxidation levels, SOD activity and total protein content. Cell-free media from C. marina var. marina increase the caspase-3 activity in G. catenatum correlated with O2●− production, TBARs levels and SOD activity. In addition, the cell-free media of M. polykrikoides promotes an increase of caspase-3 activity in G. catenatum correlated positively and negatively with O2●− production and TBARS. The increase in the caspase-3 activity in G. catenatum by cell-free media of G. impudicum activity is correlated positively with TBARS levels. All cell-free media promoted a higher caspase-3 activity that was correlated positively with the protein content. These results support the hypothesis that the oxidative stress and the increase in the caspase-3 activity can induce programmed cell death in G. catenatum.
Furthermore, results from this study suggest that the increased caspase-3 activity induces programmed cell death in G. catenatum. These results suggest an effect of C. marina var. marina, M. polykrikoides and G. impudicum on G. catenatum potentially via allelochemicals extruded to the culture media.
5. Materials and Methods
5.1. Strains and Culture Conditions
Four monoalgal strains were used: G. catenatum (BAPAZ-10), C. marina var. marina (CMCV-2), G. impudicum (GIMP-13) and M. polykrikoides (MPOLY-16). Strain details are show in Table 1. All strains were cultured in modified GSe medium with the addition of earth worm extract obtained by the composte of organic waste using earthworms according to Bustillos-Guzmán et al. [103]; briefly, 50 g of earth worm humus was dissolved in 500 mL of distilled water and sterilized at 121 °C for 15 min. After 24 h it was filtered twice through GFF filters and refrigerated until its use [103]. Strains were maintained at 12/12 h light/dark cycle, ~150 µmol photons m−1 s−1 of irradiance at 24 ± 1 °C and 34 salinity. These culture conditions were maintained in all the experiments.
5.2. Growth Rates and Growth Curves Stages
Growth rates and growth curves stages were determined by triplicate for each strain in 300 mL Erlenmeyer culture flasks with 150 mL of media. Growth curves were initiated with 500 cells mL−1 and every second day a 2.0 mL sample was fixed with lugol for cell counts. Only in the case of Chattonella, cells were fixed with hepes-buffered paraformaldehyde [104]. Cells were counted on 1.0 mL Sedgwick-Rafter slide under an inverted microscope (Carl Zeiss Axio Vert. A1). Cell density was used to calculate growth rates (µ) [105] according to the formula:
where, Nt and N0 are the total cells at the end of exponential phase (Tt) and start of log phase (T0), respectively. The number of generations per day (tg) was calculated with the formula [106].
μ= ln (Nt / N0) / (Ti −T0)
Tg = 1 / k
For each species, the early exponential (EEP), late exponential (LEP), and decline phase (DP) were determined.
5.3. Allelopathy Experiments
Monoalgal batch cultures of C. marina var. marina, M. polykrikoides and G. impudicum were inoculated at an initial cell density of 1000 cells mL−1 in 1000 mL with 500 mL of medium and maintained 6 days until early exponential phase. In exponential phase, from a volume of 30 mL, cells were removed by gentle filtration using glass GF/F filters (Whatman® ICT, SL, Gipuzkoa, Spain). Volumes of cell-free culture media (25, 50 and 75 mL) were recovered, these media contained cell exudates of each species, and were added to cultures of G. catenatum in 300 mL flasks in the following proportions (16% of cell-free media, 69% fresh GSe media and 14% of G. catenatum cells to 25 mL treatment), (32% of cell-free media, 52% fresh GSe media and 14% of G. catenatum cells to 50 mL treatment) and (48% of cell-free media, 37% fresh GSe media and 14% of G. catenatum cells to 75 mL treatment), all flasks with 500 cells/mL in a final volume of 150 mL, the cell free media, by triplicate. As a control, G. catenatum cultures were inoculated only with the GSe media and a control with their own culture medium filtrate. After 24, 48 and 72 h, from each treatment, a 2.0 mL sample was fixed with lugol for cell counts. For the determination of caspase-3-like activity, a second sample of 2.0 mL was centrifuged at 3000 rpm, the culture medium was removed, and the cell pellet was frozen at −80 °C until analyzed. The remaining volume (~146 mL) was collected in three Falcon tubes of 50 mL and placed on ice at −4 °C to be analyzed immediately. Samples from all three phases of the growth curve, on days 4, 14 and 18 for G. catenatum and M. polykrikoides, and on days 4, 24 and 26 for C. marina var. marina and G. impudicum, were analyzed separately.
5.4. Mortality
With the abundance data, the percentage of mortality (PD) was calculated as an indicator of the allelopathic effect, with the equation described by Fistarol et al. [35], where the number of cells of G. catenatum exposed to cell-free media (D) was related to the number of cells registered in the control (N cont) at the time of exposure to the cell-free filtrates (24, 48 and 72 h).
PD = (D) (100%)/N cont
5.5. Superoxide Radical (O2●−) Production
Production of O2●− was analyzed through the reduction of ferricytochrome C. The remaining volume (~146 mL) of samples was centrifuged at 2000 rpm at 24 °C; the cell pellet was recovered and re-suspended in 5.0 mL of GSe medium (cell homogenate). Then, 250 µL of the cell homogenate was transferred to a 1.75 mL conical microcentrifuge tube (FisherbrandTM) and kept on ice. Cells were lysed by vortexing for 2 min. Krebs buffer (0.11 NaCl, 4.7 mM KCl, 12 nM MgSO4, 12 nM NaH2PO4, 25 mM NaHCO4, and 1 mM glucose) and cytochrome-C (15 µM) were added. Tubes were capped and incubated at 37 ± 1 °C during 15 min in a shaking water bath (Polyscience, Niles, IL, USA). N-ethylmaleimide (3 nM) was added, and the homogenate was shaken to stop the reaction. Tubes were centrifuged at 3000 rpm, 4 °C for 10 min. Supernatant was transferred to polystyrene disposable cuvettes (FisherbrandTM), and absorbance was recorded at 560 nm in a spectrophotometer (Beckman Coulter DU 800, Fullerton, CA, USA). A blank without homogenate was included for each sample. Superoxide radical production was calculated, according to the following formula [107]:
O2●− = Abs (Sample − Blank)/21 nmol/L cm = nmoles O2●−/min mL
5.6. Thiobarbituric Acid Reactive Substances (TBARS) Levels
Hydroperoxides and aldehydes resulting from lipid peroxidation in the sample were analyzed by the reaction of 2-thiobarbirutic acid (TBA) to form malondialdehyde (MDA), following the method of Persky et al. [108] and Zenteno-Savín et al. [109]. In a 1.7 mL conical microcentrifuge tube (FisherbrandTM), 500 µL of the cell homogenate was incubated at 37 °C in a shaking water bath (Polyscience). Tubes were placed on ice and in a solution of trichloroacetic acid (TCA 20 %), and HCl (1.0 M) was added to stop the reaction, followed by the addition of TBA 1%, and vortexed. Samples were incubated at 90 °C in a shaking water bath for 10 min, followed by 1 min on ice and centrifuged at 3000 rpm (1500× g) for 10 min at 4 °C. The absorbance of the supernatant was recorded in a spectrophotometer (Beckman Coulter DU 800, Fullerton, CA, USA) at 530 nm. Calculations for TBARS concentration in cells were done adjusting the values to a standard curve of 1,1,3,3-tetraethoxypropane (TEP), in concentrations that ranged from 0 to 5 mmol 250 µL−1, and the result was expressed in nmol 10−4 cells−1.
5.7. Superoxide Dismutase (SOD) Activity
Superoxide dismutase activity was determined using the xanthine/xanthine oxidase system as O2●− generator, when it reacts with nitroblue tetrazolium (NBT), reducing it and producing formazan. This chemical species can be detected by spectrophotometry, when SOD inhibits the reduction of NBT [110].
An aliquot of 250 µL of the cell homogenate was mixed with 500 µL of homogenizing solution (phosphate buffer 0.1M, EDTA 60 mM and phenyl methyl sulfonyl fluoride PMSF); samples were centrifuged at 300 rpm, during 15 min at 4 °C. Supernatant was recovered and the precipitate was discarded. Working solution containing sodium-carbonate buffer (50 mM), xanthine (0.1 mM), NBT (0.025 mM), EDTA (0.1 mM,) xanthine oxidase (XO, 0.1 U mL−1) and blank or sample were mixed. The absorbance was recorded at 560 nm every 30 s for 5 min (∆A560). SOD activity was expressed in Units mg−1 of protein 10−4 cells.
5.8. Total Protein
The amount of total proteins was determined by the Bradford method [111]. This method is based on the reaction of Coomassie brilliant blue (Bio-Rad® inc, Hercules, CA, USA.) with the basic amino acid residues, especially arginine. Phosphate buffer (0.1M) and EDTA (60 mM) were added to an aliquot of 250 µL the cell homogenate; samples were mixed in a vortex for 2 min, centrifuged at 3000 rpm for 15 min at 4 °C and the supernatant was recovered. In a 96-well microplate, samples and the standard curve with bovine serum albumin (BSA) at concentrations from 0.005 to 0.2 mg mL−1 of distilled water were mixed with the colorant and the microplate was shaken gently for 30 s. The microplate was covered and incubated at 25 °C. The absorbance was determined at 620 nm in a microplate reader (Thermo-Scientific).
Results were expressed in mg mL−1 proteins 10−4 cells.
5.9. Caspase-3 Activity
Apoptotic activity was determined using the Enzchek Caspase-3 Assay Kit #2 (Invitrogen). In triplicate, cell homogenates were centrifuged at 3000 rpm in 2.0 mL microcentrifuge tubes (Eppendorf®), the culture medium was removed, and the cell pellet was frozen at −80 °C. Each pellet was resuspended in the lysis buffer, stirred during 2 min in a vortex, frozen and thawed twice; cell pellet lysates were centrifuged at 5000 rpm, during 5 min at 4 °C. The supernatant was recovered and transferred to 96-well microplates, Z-DEVD-R110 (5 mM) substrate in solution with 2x reaction buffer added to all wells. Samples were incubated for 2 h in darkness. The fluorescent signal of rhodamine (R-110) whit substrate-enzyme Z-DEVD-R110 was subsequently determined using a microplate reader (Ex 485 nm; Em: 520 nm). Lysis buffer (1X) and GSe medium were used as a negative control. The moles produced in the reactions with the activity of caspase-3 were calculated in relative fluorescent units (RUF) h−1 mg−1 protein. Prior to adding the substrate, cell pellets were incubated for 30 min with reversible caspase inhibitor Ac-DEVD-CHO (5 mM) to confirm that the observed fluorescence corresponded to the activity of the caspase-3 proteases. [112,113].
5.10. Statistics Analysis
Kolmogorov–Smirnov, Shapiro–Wilk normality tests and Levene test homoscedasticity were performed on all data. For growth phases and allelopathic experiments, a one-way analysis of variance (ANOVA) (p < 0.05) with a post hoc Tukey HSD (Honest Significant Difference) were applied. A Pearson correlation analysis was performed to evaluate the relationship between PCD and ROS. All statistical analyses were done using Statistica StatSoft® (Tulsa, OK, USA) software.
Author Contributions
Methodology, investigation, and writing—original draft preparation, L.J.F.-H.; conceptualization, funding acquisition, writing—review and editing, C.J.B.-S. and T.Z.-S.; supervision and writing, I.L.-V.; visualization, writing and editing, C.J.H.-G.; review, M.M.-O. All authors have read and agreed to the published version of the manuscript.
Funding
This research was funded by institutional projects (SAPPI 2021–0126), SIP 202111740and by the Consejo Nacional de Ciencia y Tecnología (CONACyT A1-S-14968). C.J.B.S., C.J.H.G. and M.M.O. are COFFA-IPN and EDI-IPN fellows. L.J.F.H. is a recipient of student fellowships (CONACyT 720383 and BEIFI-2989).
Institutional Review Board Statement
Not applicable.
Informed Consent Statement
Not applicable.
Data Availability Statement
Not applicable.
Acknowledgments
We are grateful for the technical support of Orlando Lugo for the ROS analysis.
Conflicts of Interest
The authors declare no conflict of interest.
References
- Lindholm, T.; Ohman, P.; Kurki-Helasmo, K.; Kincaid, B.; Meriluoto, J. Toxic algae and fish mortality in a brackish-water lake in Angstrom lake in Anstrom land, SW Finland. Hydrobiologia 1999, 397, 109–120. [Google Scholar] [CrossRef]
- Smayda, T.J.; Reynolds, C.S. Community Assembly in Marine Phytoplankton: Application of recent models to harmful dinoflagellate blooms. J. Plankton Res. 2001, 23, 447–461. [Google Scholar] [CrossRef] [Green Version]
- Uronen, P.; Kuuppo, P.; Legrand, C.; Tamminen, T. Allelopathic effects of toxic haptophyte Prymnesium parvum lead to release of dissolved organic carbon and increase in bacterial biomass. Microb. Ecol. 2008, 54, 183–193. [Google Scholar] [CrossRef] [PubMed]
- Redaljea, D.G.; Lohrenza, S.E.; Nattera, M.J.; Tuela, M.D.; Kirkpatrickb, G.J.; Milliec, D.F.; Fahnenstield, G.L.; Dolahe, F.M. The growth dynamics of Karenia brevis within discrete blooms on the West Florida Shelf. Cont. Shelf Res. 2008, 28, 24–44. [Google Scholar] [CrossRef]
- Babula, P.; Adam, V.; Kizek, R.; Sladký, Z.; Havel, L. Naphthoquinones as allelochemical triggers of programmed cell death. Environ. Exp. Bot. 2009, 65, 330–337. [Google Scholar] [CrossRef]
- Vardi, A.; Eisenstadt, D.; Murik, O.; Berman-Frank, I.; Zohary, T.; Levine, A.; Kaplan, A. Synchronization of cell death in a dinoflagellate population is mediated by an excreted thiol protease. Environ. Microbiol. 2007, 9, 360–369. [Google Scholar] [CrossRef] [PubMed]
- Vardi, A.; Bidle, K.D.; Kwityn, C.; Hirsch, D.J.; Thompson, S.M.; Callow, J.A.; Falkowski, P.; Bowler, C. A diatom gene regulating nitric oxide signaling and susceptibility to diatom-derived aldehydes. Curr. Biol. 2008, 18, 895–899. [Google Scholar] [CrossRef] [Green Version]
- Bidle, K.D. The molecular ecophysiology of programmed cell death in marine phytoplankton. Annu. Rev. Mar. Sci. 2015, 7, 341–375. [Google Scholar] [CrossRef]
- Hallegraeff, G.M.; Fraga, S. Bloom dynamics of the toxic dinoflagellate Gymnodinium catenatum, with emphasis on Tasmanian and Spanish coastal waters. In Physiological Ecology of Harmful Algal Blooms; Anderson, D.M., Cembella, A., Hallegraeff, G.M., Eds.; Springer: Berlin/Heidelberg, Germany, 1998; Volume 41, pp. 59–80. [Google Scholar]
- Band-Schmidt, C.J.; Bustillos-Guzmán, J.J.; Gárate-Lizárraga, I.; López-Cortés, D.J.; Núñez-Vázquez, E.J.; Hernández-Sandoval, F.E. Ecological and physiological studies of Gymnodinium catenatum in the Mexican Pacific: A review. Mar. Drugs 2010, 8, 1935–1961. [Google Scholar] [CrossRef] [Green Version]
- Hallegraeff, G.M.; Blackburn, S.I.; Doblin, M.A.; Bolch, C.J.S. Global toxicology, ecophysiology and population relationships of the chainforming PST dinoflagellate Gymnodinium catenatum. Harmful Algae 2012, 14, 130–143. [Google Scholar] [CrossRef]
- Cembella, A.; Band-Schmidt, C.J. Harmful Algae Species Fact Sheets: Gymnodinium catenatum. In Harmful Algal Blooms: A Compendium Desk Reference; Wiley: Hoboken, NJ, USA, 2018; pp. 605–611. [Google Scholar]
- Park, J.G.; Park, Y.S. Comparison of morphological characteristics and the 24S rRNA sequences of Cochlodinium polykrikoides and Gyrodinium impudicum. Sea 1999, 4, 363–370. [Google Scholar]
- Cho, E.S.; Kim, G.Y.; Choi, B.D.; Rhodes, L.L.; Kim, T.J.; Kim, G.H.; Lee, J.D. A comparative study of the harmful dinoflagellates Cochlodinium polykrikoides and Gyrodinium impudicum using transmission electron microscopy, fatty acid composition, carotenoid content, DNA quantification and gene sequences. Bot. Mar. 2001, 44, 57–66. [Google Scholar] [CrossRef]
- Oh, S.J.; Kwon, H.K.; Noh, I.H.; Yang, H.S. Dissolved organic phosphorus utilization and alkaline phosphatase activity of the dinoflagellate Gymnodinium impudicum isolated from the South Sea of Korea. Ocean Sci. J. 2010, 45, 171–178. [Google Scholar] [CrossRef]
- Gárate-Lizárraga, I.; Díaz-Ortiz, J.; Pérez-Cruz, B.; Alarcón-Tacuba, M.; Torres-Jaramillo, A.; Alarcón-Romero, M.A. Cochlodinium polykrikoides and Gymnodinium catenatum in Bahía de Acapulco, Mexico (2005–2008). Harmful Algae News 2009, 40, 8–9. [Google Scholar]
- López-Cortés, D.J.; Band-Schmidt, C.J.; Bustillos-Guzmán, J.J.; Gárate-Lizárraga, I.; Hernández-Sandoval, F.E.; Núñez-Vázquez., E.J. Co-ocurrencia de Chattonella marina y Gymnodinum catenatum en la Bahía de La Paz; Golfo de California (primavera 2009). Hidrobiológica 2011, 21, 185–196. [Google Scholar]
- Band-Schmidt, C.J.; Zumaya-Higuera, M.G.; López-Cortés, D.J.; Leyva-Valencia, I.; Quijano-Scheggia, S.I.; Hernández-Guerrero, C.J. Allelopathic effects of Margalefidinium polykrikoides and Gymnodinium impudicum in the growth of Gymnodinium catenatum. Harmful Algae 2020, 96, 101846. [Google Scholar] [CrossRef] [PubMed]
- Oda, T.; Moritomi, J.; Kawano, I.; Hamaguchi, S.; Ishimatsu, A.; Muramatsu, T. Catalase and superoxide dismutase induced morphological changes and growth inhibition in the red tide phytoplankton Chattonella marina. Biosci. Biotechnol. Biochem. 1995, 59, 2044–2048. [Google Scholar] [CrossRef]
- Oda, T.; Nakamura, A.; Shikayama, M.; Kawano, I.; Ishimatsu, A.; Muramatsu, T. Generation of reactive oxygen species by Raphidophycean phytoplankton. Biosci. Biotechnol. Biochem. 1997, 61, 1658–1662. [Google Scholar] [CrossRef]
- Lee, T.; Gotoh, N.; Niki, E.; Yokoyama, K.; Tsuzuki, M.; Takeuchi, T.; Karube, I. Chemiluminescence detection of red tide phytoplankton Chattonella marina. Anal. Chem. 1995, 67, 225–228. [Google Scholar] [CrossRef]
- Imai, I.; Yamaguchi, M.; Watanabe, M. Ecophysiology, life cycle, and bloom dynamics of Chattonella in the Seto Inland Sea Japan. In Physiological Ecology of Harmful Algal Blooms; Anderson, D.M., Cembella, A.D., Hallegraeff, G.M., Eds.; Springer: Berlin, Germany, 1998; pp. 95–112. [Google Scholar]
- Dorantes-Aranda, J.J.; García-de la Parra, L.M.; Alonso-Rodríguez, R.; Morquecho, L. Hemolytic activity and fatty acids composition in the ichthyotoxic dinoflagellate Cochlodinium polykrikoides isolated from Bahía de la Paz, Gulf of California. Mar. Poll. Bull. 2009, 58, 1401–1405. [Google Scholar] [CrossRef]
- Aquino-Cruz, A.; Band-Schmidt, C.J.; Zenteno-Savín, T. Superoxide production rates and hemolytic activity linked to cellular growth phases in Chattonella species (Raphidophyceae) and Margalefidinium polykrikoides (Dinophyceae). J. Appl. Phycol. 2020, 32, 4029–4046. [Google Scholar] [CrossRef]
- Marshall, J.A.; Hovenden, M.; Oda, T.; Hallegraeff, G. Photosynthesis does influence superoxide production in the ichthyotoxic alga Chattonella marina (Raphidophyceae). J. Plankton Res. 2002, 24, 1231–1236. [Google Scholar] [CrossRef]
- Giner, J.L.; Zhao, H.; Tomas, C. Sterols and fatty acids of three harmful algae previously assigned as Chattonella. Phytochemistry 2008, 69, 2167–2171. [Google Scholar] [CrossRef]
- Dorantes-Aranda, J.J.; García-de la Parra, L.M.; Alonso-Rodríguez, R.; Morquecho, L.; Voltolina, D. Toxic effect of the harmful dinoflagellate Cochlodinium polykrikoides on the spotted rose snapper Lutjanus guttatus. Environm. Toxicol. 2010, 25, 319–326. [Google Scholar] [CrossRef]
- Fraga, S.; Bravo, I.; Delgado, M.; Franco, J.M.; Zapata, M. Gyrodinium impudicum sp. nov. (Dinophyceae) a non-toxic chain-forming red tide dinoflagellate. Phycologia 1995, 34, 514–521. [Google Scholar] [CrossRef]
- Kim, D.; Nakamura, A.; Okamoto, T.; Komatsu, N.; Oda, T.; Iida, T.; Ishimatsu, A.; Muramatsu, T. Mechanism of superoxide anion generation in the toxic red tide phytoplankton Chattonella marina: Possible involvement of NAD(P)H oxidase. Biochim. Biophys. Acta 2000, 1524, 220–227. [Google Scholar] [CrossRef]
- Kim, C.S.; Lee, S.G.; Lee, C.K.; Kim, H.K.; Jin, J. Reactive oxygen species as causative agents in the ichthyotoxicity of red tide dinoflagellate Cochlodinium polykrikoides. J. Plankton Res. 1999, 2, 2105–2115. [Google Scholar] [CrossRef]
- Reguera, B. Establecimiento de un programa de seguimiento de microalgas toxicas. In Floraciones Algales Nocivas en el Cono Sur Americano; Sar, E.A., Ferrario, M.E., Reguera, B., Eds.; Instituto Español de Oceanografía: Madrid, Spain, 2002; p. 24. [Google Scholar]
- Smayda, T.J. Harmful algal blooms: Their ecophysiology and general relevance to phytoplankton blooms in the sea. Limnol. Oceanogr. 1997, 42, 1137–1153. [Google Scholar] [CrossRef]
- Gross, E.M. Allelopathy of Aquatic Autotrophs. CRC Crit. Rev. Plant. Sci. 2003, 22, 313–339. [Google Scholar] [CrossRef] [Green Version]
- Legrand, C.; Rengefors, K.; Fistarol, G.O.; Granéli, E. Allelopathy in phytoplankton—Biochemical, ecological and evolutionary aspects. Phycologia 2003, 42, 406–419. [Google Scholar] [CrossRef] [Green Version]
- Fistarol, G.O.; Legrand, C.; Rengefors, K.; Granéli, E. Temporary cyst formation in phytoplankton: A response to allelopathic competitors? Environ. Microbiol. 2004, 6, 791–798. [Google Scholar] [CrossRef] [Green Version]
- Granéli, E.; Weberg, M.; Salomon, P. Harmful algal blooms of allelopathic microalgal species: The role of eutrophication. Harmful Algae 2008, 8, 94–102. [Google Scholar] [CrossRef]
- Thornton, D.C.O. Dissolved organic matter (DOM) release by phytoplankton in the contemporary and future ocean. Eur. J. Phycol. 2014, 49, 20–46. [Google Scholar] [CrossRef] [Green Version]
- Fernández-Herrera, L.J.; Band-Schmidt, C.J.; López-Cortés, D.J.; Hernández-Guerrero, C.J.; Bustillos-Guzmán, J.J.; Núñez-Vázquez, E. Allelopathic effect of Chattonella marina var. marina (Raphidophyceae) on Gymnodinium catenatum (Dinophycea). Harmful Algae 2016, 51, 1–9. [Google Scholar] [CrossRef]
- Brown, E.R.; Cepeda, M.R.; Mascuch, S.J.; Poulson-Ellestad, K.L.; Kubanek, J. Chemical ecology of the marine plankton. Nat. Prod. Res. 2019, 36, 1093–1116. [Google Scholar] [CrossRef]
- Choi, C.; Berges, J. New types of metacaspases in phytoplankton reveal diverse origins of cell death proteases. Cell. Death. Dis. 2013, 4, e490. [Google Scholar] [CrossRef] [PubMed] [Green Version]
- He, Y.; Zhou, Q.H.; Liu, B.Y.; Cheng, L.; Tian, Y.; Zhang, Y.Y.; Wu, Z.B. Programmed cell death in the cyanobacterium Microcystis aeruginosa induced by allelopathic effect of submerged macrophyte Myriophyllum spicatum in co-culture system. J. Appl. Phycol. 2016, 28, 2805–2814. [Google Scholar] [CrossRef]
- Kerr, J.F.; Wyllie, A.H.; Currie, A.R. Apoptosis: A basic biological phenomenon with wide-ranging implications in tissue kinetics. Br. J. Cancer 1972, 26, 239–257. [Google Scholar] [CrossRef] [Green Version]
- Wyllie, A.H.; Kerr, J.F.; Currie, A.R. Cell death: The significance of apoptosis. Int. Rev. Cytol. 1980, 68, 251–306. [Google Scholar]
- Dhuriya, Y.K.; Sharma, D.; Naik, A.A. Cellular demolition: Proteins as molecular players of programmed cell death. Int. J. Biol. Macromol. 2019, 138, 492–503. [Google Scholar] [CrossRef]
- Minina, E.A.; Coll, N.S.; Tuominen, H.; Bozhkov, P.V. Metacaspases versus caspases in development and cell fate regulation. Cell Death Differ. 2017, 24, 1314–1325. [Google Scholar] [CrossRef]
- Berman-Frank, I.; Bidle, K.D.; Haramaty, L.; Falkowski, P.G. The demise of the marine cyanobacterium, Trichodesmium spp., via an autocatalyzed cell death pathway. Limnol. Oceanogr. 2004, 49, 997–1005. [Google Scholar] [CrossRef] [Green Version]
- Chandra, J.; Samali, A.; Orrenius, S. Triggering and modulation of apoptosis by oxidative stress. Free Radical Biol. Med. 2000, 29, 323–333. [Google Scholar] [CrossRef]
- Segovia, M.; Haramaty, L.; Berges, J.A.; Falkowski, P.G. Cell death in the unicellular chlorophyte Dunaliella tertiolecta: A hypothesis on the evolution of apoptosis in higher plants and metazoans. Plant Physiol. 2003, 132, 99–105. [Google Scholar] [CrossRef] [PubMed] [Green Version]
- Johnson, J.G.; Janech, M.G.; Van Dolah, F.M. Caspase-like activity during aging and cell death in the toxic dinoflagellate Karenia brevis. Harmful Algae 2014, 31, 41–53. [Google Scholar] [CrossRef] [PubMed]
- Summons, R.E.; Jahnke, L.L.; Hope, J.M.; Logan, G.A. 2-Methylhopanoids as biomarkers for cyanobacterial oxygenic photosynthesis. Nature 1999, 400, 555–557. [Google Scholar] [CrossRef] [PubMed]
- Bidle, K.D.; Falkowski, P.G. Cell death in planktonic photosynthetic microorganisms. Nat. Rev. Microbiol. 2004, 2, 643–655. [Google Scholar] [CrossRef]
- Veldhuis, M.J.W.; Brussaard, C.P.D. Harmful algae and cell death. In Ecology of Harmful Algae. Ecological Studies: Analysis and Synthesis; Granéli, E., Turner, J.T., Eds.; Springer-Verlag: Berlin/Heidelberg, Germany, 2006; pp. 153–162. [Google Scholar]
- Vardi, A.; Berman-Frank, I.; Rozenberg, T.; Hadas, O.; Kaplan, A.; Levine, A. Programmed cell death of the dinoflagellate Peridinium gatunense is mediated by CO2 limitation and oxidative stress. Curr. Biol. 1999, 9, 1061–1064. [Google Scholar] [CrossRef] [Green Version]
- Paul, C.; Pohnert, G. Interactions of the algicidal bacterium Kordia algicida with diatoms: Regulated protease excretion for specific algal lysis. PLoS ONE 2011, 6, e21032. [Google Scholar] [CrossRef]
- Tilney, C.L.; Pokrzywinski, K.L.; Coyne, K.J.; Warner, M.E. Growth, death, and photobiology of dinoflagellates (Dinophyceae) under bacterial-algicide control. J. Appl. Phycol. 2014, 26, 2117–2127. [Google Scholar] [CrossRef]
- Wang, Y.; Loake, G.; Chu, C. Cross-talk of nitric oxide and reactive oxygen species in plant programed cell death. Front. Plant Sci. 2013, 4, 314. [Google Scholar] [CrossRef] [Green Version]
- Gallina, A.A.; Brunet, C.; Palumbo, A.; Casotti, R. The effect of polyunsaturated aldehydes on Skeletonema marinoi (Bacillariophyceae): The involvement of reactive oxygen species and nitric oxide. Mar. Drugs 2014, 12, 4165–4187. [Google Scholar] [CrossRef] [PubMed] [Green Version]
- Bidle, K.D.; Haramaty, L.; Barcelos e Ramos, J.; Falkowski, P. Viral activation and recruitment of metacaspases in the unicellular coccolithophore; Emiliania huxleyi. Proc. Natl. Acad. Sci. USA 2007, 104, 6049–6054. [Google Scholar] [CrossRef] [Green Version]
- Murik, O.; Elboher, A.; Kaplan, A. Dehydroascorbate: A possible surveillance molecule of oxidative stress and programmed cell death in the green alga Chlamydomonas reinhardtii. New Phytol. 2014, 202, 471–484. [Google Scholar] [CrossRef]
- Bidle, K.D. Programmed cell death in unicellular phytoplankton. Curr. Biol. 2016, 26, R594–R607. [Google Scholar] [CrossRef] [Green Version]
- Band-Schmidt, C.J.; Martínez-López, A.; Bustillos-Guzmán, J.J.; Carréon-Palau, L.; Morquecho, L.; Olguín-Monroy, N.O.; Zenteno-Savín, T.; Mendoza-Flores, A.; González-Acosta, B.; Hernández-Sandoval, F.E.; et al. Morphology, biochemistry and growth of Raphidophyte strains from the Gulf of California. Hydrobiologia 2012, 693, 81–97. [Google Scholar] [CrossRef]
- Bravo, I.; Anderson, D.M. The effects of temperature, growth medium and darkness on excystment and growth of the toxic dinoflagellate Gymnodinium catenatum from northwest Spain. J. Plankton Res. 1994, 16, 513–525. [Google Scholar] [CrossRef]
- Yamatogi, T.; Sakaguchi, M.; Iwataki, M.; Matsuoka, K. Effects of temperature and salinity on the growth of four harmful red tide flagellates occurring in Isahaya Bay in Ariake Sound, Japan. Nippon Suisan Gakk. 2006, 72, 160–168. [Google Scholar] [CrossRef] [Green Version]
- Kim, D.-I.; Matsuyama, Y.; Nagasoe, S.; Yamaguchi, M.; Yoon, Y.-H.; Oshima, Y.; Imada, N.; Honjo, T. Effects of temperature, salinity and irradiance on the growth of the harmful red tide dinoflagellate Cochlodinium polykrikoides Margalef (Dinophyceae). J. Plankton Res. 2004, 26, 61–66. [Google Scholar] [CrossRef]
- Marshall, J.A.; Hallegraeff, G. Comparative ecophysiology of the harmful alga Chattonella marina (Raphidophyceae) from South Australian and Japanese waters. J. Plankton Res. 1999, 21, 1809–1822. [Google Scholar] [CrossRef] [Green Version]
- Marshall, J.A.; de Salas, M.; Oda, T.; Hallegraeff, G. Superoxide production by marine microalgae: I. Survey of 37 species from 6 classes. Mar. Biol. 2005, 147, 533–540. [Google Scholar] [CrossRef]
- Tang, Y.Z.; Gobler, C.J. Allelopathic effects of Cochlodinium polykrikoides isolates and blooms from the estuaries of Long Island; New York; on co-occurring phytoplankton. Mar. Ecol. Prog. Ser. 2010, 406, 19–31. [Google Scholar] [CrossRef]
- Zinser, E.R. The microbial contribution to reactive oxygen species dynamics in marine ecosystems. Environ. Microbiol. Rep. 2018, 10, 412–427. [Google Scholar] [CrossRef] [PubMed]
- Green, D.R.; Reed, J.C. Mitochondria and apoptosis. Science 1998, 281, 1309–1312. [Google Scholar] [CrossRef] [PubMed]
- Campos, A.; Araújo, P.; Pinheiro, C.; Azevedo, J.; Osório, H.; Vasconcelos, V. Effects on growth, antioxidant enzyme activity and levels of extracellular proteins in the green alga Chlorella vulgaris exposed to crude cyanobacterial extracts and pure microcystin and cylindrospermopsin. Ecotoxicol. Environ. Saf. 2013, 94, 45–53. [Google Scholar] [CrossRef] [PubMed]
- Kesheri, M.; Kanchan, S.; Sinha, R.P. Isolation and in silico analysis of Fe-superoxide dismutase in the cyanobacterium Nostoc commune. Gene 2014, 553, 117–125. [Google Scholar] [CrossRef] [PubMed]
- Hasanuzzaman, M.; Bhuyan, M.; Anee, T.I.; Parvin, K.; Nahar, K.; Mahmud, J.A.; Fujita, M. Regulation of ascorbate-glutathione pathway in mitigating oxidative damage in plants under abiotic stress. Antioxidants 2019, 8, 384. [Google Scholar] [CrossRef] [PubMed] [Green Version]
- Vardi, A.; Haramaty, L.; Van Mooy, B.A.S.; Fredricks, H.F.; Kimmance, S.A.; Larsen, A.; Bidle, K.D. Host–virus interactions in a coccolithophore bloom. Proc. Natl. Acad. Sci. USA 2012, 109, 19327–19332. [Google Scholar] [CrossRef] [PubMed] [Green Version]
- Jauzein, C.; Erdner, D.L. Stress-related responses in Alexandrium tamarense cells exposed to environmental changes. J. Eukaryot. Microbiol. 2013, 60, 526–538. [Google Scholar] [CrossRef]
- Falkowski, P.G.; Katz, M.E.; Knoll, A.H.; Quigg, A.; Raven, J.A.; Schofield, O.; Taylor, F.J. The evolution of modern eukaryotic phytoplankton. Science 2004, 305, 354–360. [Google Scholar] [CrossRef] [Green Version]
- Huang, S.; Van Aken, O.; Schwarzländer, M.; Belt, K.; Millar, A.H. The roles of mitochondrial reactive oxygen species in cellular signaling and stress response in plants. Plant Physiol. 2016, 171, 1551–1559. [Google Scholar] [CrossRef] [Green Version]
- Rengefors, K.; Legrand, C. Toxicity in Peridinium aciculiferum- an adaptive strategy to outcompete other winter phytoplankton? Limnol. Oceanogr. 2001, 46, 1990–1997. [Google Scholar] [CrossRef] [Green Version]
- Granéli, E.; Pavia, H. Allelopathy in marine ecosystems. In Allelopathy; Reigosa, M., Pedrol, N., González, L., Eds.; Springer: Berlin/Heidelberg, Germany, 2006; pp. 415–431. [Google Scholar]
- Williamson, G.B.; Obee, E.M.; Weidenhamer, J.D. Inhibition of Schizachyrium scoparium (Poaceae) by the allelochemical hydrocinnamic acid. J. Chem. Ecol. 1992, 18, 2095–2105. [Google Scholar] [CrossRef]
- Kalburtji, K.L.; Mosjidis, J.A.; Mamolos, A.P. Allelopathic plants. 2. Lespedeza cuneata. Allelopathy J. 2001, 8, 41–50. [Google Scholar]
- Reigosa, M.; Souto, X.; González, L. Effect of phenolic compounds on the germination of six weeds species. Plant Growth Regul. 1999, 28, 83–88. [Google Scholar] [CrossRef]
- Blum, U. Can data derived from field and laboratory bioassays establish the existence of allelopathic interactions in nature? In Allelopathy: New Concepts and Methodologies; Fujii, Y., Hiradate, S., Enfield, N.H., Eds.; Science Publishers: Rawalpindi, Pakistan, 2007; pp. 31–38. [Google Scholar]
- Vardi, A.; Schatz, D.; Beeri, K.; Motro, U.; Sukenik, A.; Levine, A.; Kaplan, A. Dinoflagellate-cyanobacterium communication may determine the composition of phytoplankton assemblage in a mesotrophic lake. Curr. Biol. 2002, 12, 1767–1772. [Google Scholar] [CrossRef] [Green Version]
- Tillmann, U.; Alpermann, T.; John, U.; Cembella, A. Allelochemical interactions and short-term effects of the dinoflagellate Alexandrium on selected photoautotrophic and heterotrophic protists. Harmful Algae 2008, 7, 52–64. [Google Scholar] [CrossRef]
- Ben Gharbia, H.; Kéfi-Daly Yahia, O.; Cecchi, P.; Masseret, E.; Amzil, Z.; Herve, F.; Rovillon, G.; Nouri, H.; M’Rabet, C.; Couet, D.; et al. New insights on the species-specific allelopathic interactions between macrophytes and marine HAB dinoflagellates. PLoS ONE 2017, 12, e0187963. [Google Scholar] [CrossRef] [PubMed] [Green Version]
- Yan, J.; Liu, J.; Cai, Y.; Duan, S.; Tang, Y.; Xu, N. Allelopathic effects and mechanisms of Cochlodinium geminatum isolated from the Pearl River Estuary. J. Appl. Phycol. 2019, 31, 2957–2967. [Google Scholar] [CrossRef] [Green Version]
- Myklestad, S.M.; Ramlo, B.; Hestmann, S. Demonstration of strong interaction between the flagellate Chrysochromulina polylepis (Prymnesiophyta) and a marine diatom. In Harmful Marine Algal Blooms; Lassus, P., Arzul, G., Erard-le Denn, E., Gentien, P., Marcaillou-Le Baut, C., Eds.; Lavoisier Intercept Ltd.: New York, NY, USA, 1995; pp. 633–638. [Google Scholar]
- Lu, Z.; Sha, J.; Tian, Y.; Zhang, X.; Liu, B.; Wu, Z. Polyphenolic allelochemical pyrogallic acid induces caspase–3(like)-dependent programmed cell death in the cyanobacterium Microcystis aeruginosa. Algal Res. 2017, 21, 148–155. [Google Scholar] [CrossRef]
- Hong, Y.; Hu, H.Y.; Xie, X.; Li, F.M. Responses of enzymatic antioxidants and non-enzymatic antioxidants in the cyanobacterium Microcystis aeruginosa to the allelochemical ethyl 2-methyl acetoacetate (EMA) isolated from reed (Phragmites communis). J. Plant. Physiol. 2008, 165, 1264–1273. [Google Scholar] [CrossRef] [PubMed]
- Qian, H.; Xu, X.; Chen, W.; Jiang, H.; Jin, Y.; Liu, W.; Fu, Z. Allelochemical stress causes oxidative damage and inhibition of photosynthesis in Chlorella vulgaris. Chemosphere 2009, 75, 368–375. [Google Scholar] [CrossRef] [PubMed]
- Zhu, J.; Liu, B.; Wang, J.; Gao, Y.; Wu, Z. Study on the mechanism of allelopathic influence on cyanobacteria and chlorophytes by submerged macrophyte (Myriophyllum spicatum) and its secretion. Aquat. Toxicol. 2010, 98, 196–203. [Google Scholar] [CrossRef] [PubMed]
- Yang, J.; Wang, J.J.; Xian, Q.M.; Qian, X. Allelopathic effects of Microcystis aeruginosa on Microcystis wesenbergii. Chin. J. Ecol. 2012, 31, 131–137. [Google Scholar]
- Zhang, S.; Zheng, W.; Wang, H. Physiological response and morphological changes of Heterosigma akashiwo to an algicidal compound prodigiosin. J. Hazard. Mater. 2019, 385, 121530. [Google Scholar] [CrossRef]
- Han, M.; Wang, R.; Ding, N.; Liu, X.; Zheng, N.; Fu, B.; Sun, L.; Gao, P. Reactive oxygen species-mediated caspase-3 pathway involved in cell apoptosis of Karenia mikimotoi induced by linoleic acid. Algal Res. 2018, 36, 48–56. [Google Scholar] [CrossRef]
- Zhao, Y.; Tang, X.; Qu, F.; Lv, M.; Liu, Q.; Li, J.; Li, L.; Zhang, B.; Zhao, Y. ROS-mediated programmed cell death (PCD) of Thalassiosira pseudonana under the stress of BDE–47. Environ. Pollut. 2020, 262, 114342. [Google Scholar] [CrossRef]
- Wang, H.; Park, B.S.; Lim, W.A.; Ki, J.S. CpMCA, a novel metacaspase gene from the harmful dinoflagellate Cochlodinium polykrikoides and its expression during cell death. Gene 2018, 651, 70–78. [Google Scholar] [CrossRef]
- Vardi, A. Cell signaling in marine diatoms. Commun. Integr. Biol. 2008, 1, 134–136. [Google Scholar] [CrossRef] [Green Version]
- Barraza-Guardado, R.; Cortés-Altamirano, R.; Sierra-Beltrán, A. Marine die-offs from Chattonella marina and C. cf. ovata in Kun Kaak Bay; Sonora in the Gulf of California. Harmful Algal News 2004, 25, 7–8. [Google Scholar]
- Cortés-Altamirano, R.; Alonso-Rodríguez, R.; Sierra-Beltrán, A. Fish mortality associated with Chattonella marina and C. cf. ovata (Raphidophyceae) blooms in Sinaloa (México). Harmful Algae News 2006, 31, 7–8. [Google Scholar]
- Meave del Castillo, M.E.; Zamudio-Resendiz, M.E. Planktonic algal blooms from 2000 to 2015 in Acapulco Bay, Guerrero, Mexico. Acta. Bot. Mex. 2018, 125, 61–93. [Google Scholar] [CrossRef]
- Yamasaki, Y.; Nagasoe, S.; Matsubara, T.; Shikata, T.; Shimasaki, Y.; Oshima, Y.; Honjo, T. Growth inhibition and formation of morphologically abnormal cells of Akashiwo sanguinea (Hirasaka) G. Hansen et Moestrup by cell contact with Cochlodinium polykrikoides Margalef. Mar. Biol. 2007, 152, 57–163. [Google Scholar] [CrossRef]
- Qiu, X.; Yamasaki, Y.; Shimasaki, Y.; Gunjikake, H.; Matsubara, T.; Nagasoe, S.; Etoh, T.; Matsui, S.; Honjo, T.; Oshima, Y. Growth interactions between the raphidophyte Chattonella antiqua and the dinoflagellate Akashiwo sanguinea. Harmful Algae 2011, 11, 81–87. [Google Scholar] [CrossRef]
- Bustillos-Guzmán, J.J.; Band-Schmidt, C.J.; Durán-Riveroll, L.M.; Hernández-Sandoval, F.E.; López-Cortés, D.J.; Núñez-Vázquez, E.J.; Cembella, A.; Krock, B. Paralytic toxin profile of the marine dinoflagellate Gymnodinium catenatum (Graham) from the Mexican Pacific as revealed by liquid chromatography coupled with tandem mass spectrometry. Food Addit. Contam. 2015, 32, 381–394. [Google Scholar]
- Katano, T.; Yoshida, M.; Lee, J.; Han, M.-S.; Hayami, Y. Fixation of Chattonella antiqua and C. marina (Raphidophyceae) using Hepes-buffered paraformaldehyde and glutaraldehyde for flow cytometry and light microscopy. Phycologia 2009, 48, 473–479. [Google Scholar] [CrossRef]
- Guillard, R.R.L.; Ryther, J.H. Studies of marine planktonic diatoms. I. Cyclotella nana Hustedt, and Detonula confervacea (Cleve) Gran. Can. J. Microbiol. 1962, 8, 229–239. [Google Scholar] [CrossRef]
- Guillard, R.R. Culture of phytoplankton for feeding marine invertebrates. In Culture of Marine Invertebrate Animals; Springer: Boston, MA, USA, 1975; pp. 29–60. [Google Scholar]
- Drossos, G.; Lazou, A.; Panagopoulos, P.; Westaby, S. Deferoxamine cardioplegia reduces superoxide radical production in human myocardium. J. Thorac. Surg. 1995, 59, 169–172. [Google Scholar] [CrossRef]
- Persky, A.M.; Green, P.S.; Stubley, L.; Howell, C.O.; Zaulyanov, L.; Brzaeau, G.A.; Simpkins, J.W. Protective effect of estrogens against oxidative damage to heart and skeletal muscle in vivo and in vitro. Proc. Soc. Exp. Biol. Med. 2000, 223, 59–66. [Google Scholar] [CrossRef] [PubMed]
- Zenteno-Savín, T.; Clayton-Hernández, E.; Elsner, R. Diving seals: Are they a model for coping with oxidative stress? Comp. Biochem. Physiol. C Toxicol. Pharmacol. 2002, 133, 527–536. [Google Scholar] [CrossRef]
- Suzuki, K. Measurement of Mn-SOD and Cu; Zn-SOD. In Experimental Protocols for Reactive Oxygen and Nitrogen Species; Taniguchi, N., Gutteridge, M.C.J., Eds.; Oxford University Press: Oxford, NY, USA, 2000; pp. 91–95. [Google Scholar]
- Bradford, M.M. A rapid and sensitive method for the quantitation of microgram quantities of protein utilizing the principle of protein-dye binding. Anal. Biochem. 1976, 72, 248–254. [Google Scholar] [CrossRef]
- Thornberry, N.A.; Lazebnik, Y. Caspases: Enemies within. Science 1998, 281, 1312–1316. [Google Scholar] [CrossRef]
- Bouchard, J.N.; Duncan, A.P. Temporal variation of caspase 3-like protein activity in cultures of the harmful dinoflagellates Karenia brevis and Karenia mikimotoi. J. Plankton Res. 2011, 33, 961–972. [Google Scholar] [CrossRef] [Green Version]
Publisher’s Note: MDPI stays neutral with regard to jurisdictional claims in published maps and institutional affiliations. |
© 2021 by the authors. Licensee MDPI, Basel, Switzerland. This article is an open access article distributed under the terms and conditions of the Creative Commons Attribution (CC BY) license (https://creativecommons.org/licenses/by/4.0/).




