‘Floc and Sink’ Technique Removes Cyanobacteria and Microcystins from Tropical Reservoir Water
Abstract
1. Introduction
2. Results
2.1. Coagulant Range
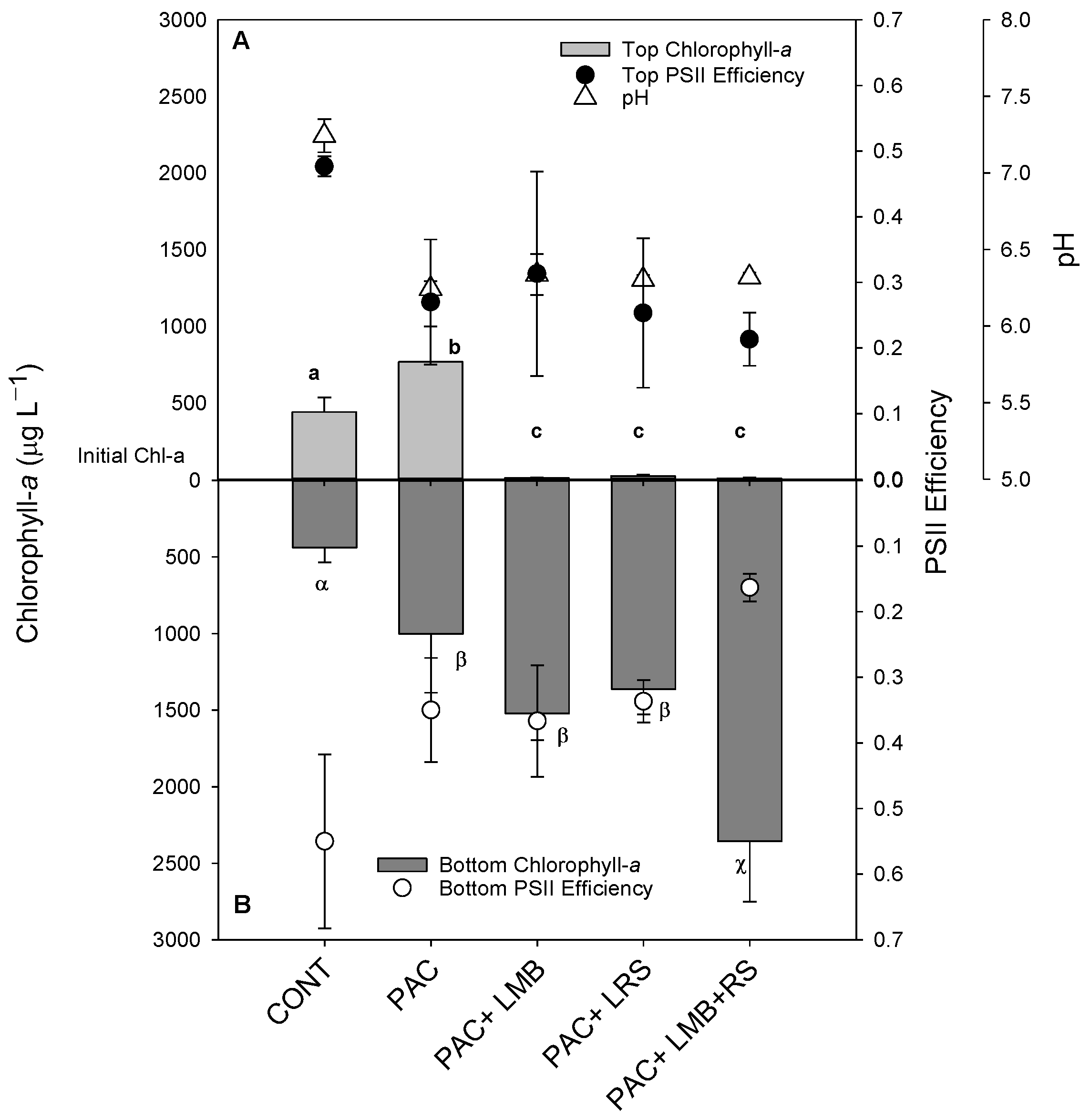
2.2. Floc and Sink Assays
2.3. Effects on the Microcystins Concentrations
3. Discussion
3.1. Coagulant Range
3.2. Floc and Sink of Cyanobacteria
3.3. Effects of Floc and Sink Technique on the MCs Concentration
4. Conclusions
5. Materials and Methods
5.1. Sampling
5.2. Chemicals and Materials
5.3. Floc and Sink Assays
5.3.1. Experiment 1—Coagulant Range
5.3.2. Experiment 2—Floc and Sink Assays
5.4. Sample Analysis
Toxins Analysis
5.5. Statistical Analysis
Supplementary Materials
Author Contributions
Funding
Institutional Review Board Statement
Informed Consent Statement
Acknowledgments
Conflicts of Interest
References
- World Health Organization. Toxic Cyanobacteria in Water: A Guide to Their Public Health Consequences, Monitoring, and Management; Chorus, I., Bertram, J., Eds.; F & FN Spon: London, UK; New York, NY, USA, 1999. [Google Scholar]
- Huisman, J.; Codd, G.A.; Paerl, H.W.; Ibelings, B.W.; Verspagen, J.M.H.; Visser, P.M. Cyanobacterial Blooms. Nat. Rev. Microbiol. 2018, 16, 471–483. [Google Scholar] [CrossRef]
- World Health Organization. Toxic Cyanobacteria in Water: A Guide to Their Public Health Consequences, Monitoring and Management, 2nd ed.; Chorus, I., Welker, M., Eds.; CRC Press: Boca Raton, FL, USA, 2021; ISBN 9781003081449. [Google Scholar]
- Jones, M.R.; Pinto, E.; Torres, M.A.; Dörr, F.; Mazur-Marzec, H.; Szubert, K.; Tartaglione, L.; Dell’Aversano, C.; Miles, C.O.; Beach, D.G.; et al. Comprehensive Database of Secondary Metabolites from Cyanobacteria. Water Res. 2020, 196, 15. [Google Scholar] [CrossRef]
- Lankoff, A.; Carmichael, W.W.; Grasman, K.A.; Yuan, M. The Uptake Kinetics and Immunotoxic Effects of Microcystin-LR in Human and Chicken Peripheral Blood Lymphocytes in Vitro. Toxicology 2004, 204, 23–40. [Google Scholar] [CrossRef]
- Nishiwaki-Matsushima, R.; Ohta, T.; Nishiwaki, S.; Suganuma, M.; Kohyama, K.; Ishikawa, T.; Carmichael, W.W.; Fujiki, H. Liver Tumor Promotion by the Cyanobacterial Cyclic Peptide Toxin Microcystin-LR. J. Cancer Res. Clin. Oncol. 1992, 118, 420–424. [Google Scholar] [CrossRef] [PubMed]
- Rojas, M.; Nuñez, M.T.; Zambrano, F. Inhibitory Effect of a Toxic Peptide Isolated from a Waterbloom of Microcystis sp. (Cyanobacteria) on Iron Uptake by Rabbit Reticulocytes. Toxicon 1990, 28, 1325–1332. [Google Scholar] [CrossRef]
- Dziga, D.; Maksylewicz, A.; Maroszek, M.; Budzyńska, A.; Napiorkowska-Krzebietke, A.; Toporowska, M.; Grabowska, M.; Kozak, A.; Rosińska, J.; Meriluoto, J. The Biodegradation of Microcystins in Temperate Freshwater Bodies with Previous Cyanobacterial History. Ecotoxicol. Environ. Saf. 2017, 145, 420–430. [Google Scholar] [CrossRef]
- Li, X.; Dreher, T.W.; Li, R. An Overview of Diversity, Occurrence, Genetics and Toxin Production of Bloom-Forming Dolichospermum (Anabaena) Species. Harmful Algae 2016, 54, 54–68. [Google Scholar] [CrossRef] [PubMed]
- Harada, K.I.; Ogawa, K.; Kimura, Y.; Murata, H.; Suzuki, M.; Thorn, P.M.; Evans, W.R.; Carmichael, W.W. Microcystins from Anabaena Flos-Aquae NRC 525-17. Chem. Res. Toxicol. 1991, 4. [Google Scholar] [CrossRef]
- Rantala, A.; Rajaniemi-Wacklin, P.; Lyra, C.; Lepistö, L.; Rintala, J.; Mankiewicz-Boczek, J.; Sivonen, K. Detection of Microcystin-Producing Cyanobacteria in Finnish Lakes with Genus-Specific Microcystin Synthetase Gene E (McyE) PCR and Associations with Environmental Factors. Appl. Environ. Microbiol. 2006, 72, 6101. [Google Scholar] [CrossRef]
- Kobos, J.; Błaszczyk, A.; Hohlfeld, N.; Toruńska-Sitarz, A.; Krakowiak, A.; Hebel, A.; Sutryk, K.; Grabowska, M.; Toporowska, M.; Kokociński, M.; et al. Cyanobacteria and Cyanotoxins in Polish Freshwater Bodies. Oceanol. Hydrobiol. Stud. 2013, 42, 358–378. [Google Scholar] [CrossRef]
- Dreher, T.W.; Collart, L.P.; Mueller, R.S.; Halsey, K.H.; Bildfell, R.J.; Schreder, P.; Sobhakumari, A.; Ferry, R. Anabaena/Dolichospermum as the Source of Lethal Microcystin Levels Responsible for a Large Cattle Toxicosis Event. Toxicon X 2019, 1, 100003. [Google Scholar] [CrossRef]
- Sá, L.L.C.D.; Vieira, J.M.D.S.; Mendes, R.D.A.; Pinheiro, S.C.C.; Vale, E.R.; Alves, F.A.D.S.; Jesus, I.M.D.; Santos, E.C.D.O.; Costa, V.B.D. Ocorrência de Uma Floração de Cianobactérias Tóxicas Na Margem Direita Do Rio Tapajós, No Município de Santarém (Pará, Brasil). Rev. Pan-Amaz. Saúde 2010, 1, 1. [Google Scholar] [CrossRef]
- Sant’Anna, C.L.; Azevedo, M.T.D.P. Contribution to the Knowledge of Potentially Toxic Cyanobacteria from Brazil. Nova Hedwig. 2000, 71, 359–385. [Google Scholar] [CrossRef]
- Paerl, H.W.; Gardner, W.S.; Havens, K.E.; Joyner, A.R.; McCarthy, M.J.; Newell, S.E.; Qin, B.; Scott, J.T. Mitigating Cyanobacterial Harmful Algal Blooms in Aquatic Ecosystems Impacted by Climate Change and Anthropogenic Nutrients. Harmful Algae 2016, 54, 213–222. [Google Scholar] [CrossRef] [PubMed]
- van Loosdrecht, M.C.M.; Brdjanovic, D. Anticipating the next Century of Wastewater Treatment. Science 2014, 344, 1452–1453. [Google Scholar] [CrossRef] [PubMed]
- Cooke, G.D.; Welch, E.B.; Peterson, S.; Nichols, S.A. Restoration and Management of Lakes and Reservoirs; CRC Press: Boca Raton, FL, USA, 2016. [Google Scholar]
- Lürling, M.; Kang, L.; Mucci, M.; van Oosterhout, F.; Noyma, N.P.; Miranda, M.; Huszar, V.L.M.; Waajen, G.; Marinho, M.M. Coagulation and Precipitation of Cyanobacterial Blooms. Ecol. Eng. 2020, 158, 106032. [Google Scholar] [CrossRef]
- Liu, H.; Du, Y.; Wang, X.; Sun, L. Chitosan Kills Bacteria through Cell Membrane Damage. Int. J. Food Microbiol. 2004, 95, 147–155. [Google Scholar] [CrossRef]
- Miranda, M.; Noyma, N.; Pacheco, F.S.; de Magalhães, L.; Pinto, E.; Santos, S.; Soares, M.F.A.; Huszar, V.L.; Lürling, M.; Marinho, M.M. The Efficiency of Combined Coagulant and Ballast to Remove Harmful Cyanobacterial Blooms in a Tropical Shallow System. Harmful Algae 2017, 65, 27–39. [Google Scholar] [CrossRef]
- de Lucena-Silva, D.; Molozzi, J.; dos Santos Severiano, J.; Becker, V.; de Lucena Barbosa, J.E. Removal Efficiency of Phosphorus, Cyanobacteria and Cyanotoxins by the “Flock & Sink” Mitigation Technique in Semi-Arid Eutrophic Waters. Water Res. 2019, 159, 262–273. [Google Scholar] [CrossRef]
- Noyma, N.P.; de Magalhães, L.; Furtado, L.L.; Mucci, M.; van Oosterhout, F.; Huszar, V.L.M.; Marinho, M.M.; Lürling, M. Controlling Cyanobacterial Blooms through Effective Flocculation and Sedimentation with Combined Use of Flocculants and Phosphorus Adsorbing Natural Soil and Modified Clay. Water Res. 2016, 97, 26–38. [Google Scholar] [CrossRef]
- Sun, F.; Pei, H.Y.; Hu, W.R.; Ma, C.X. The Lysis of Microcystis Aeruginosa in AlCl 3 Coagulation and Sedimentation Processes. Chem. Eng. J. 2012, 193, 196–202. [Google Scholar] [CrossRef]
- Zouboulis, A.; Traskas, G.; Samaras, P. Comparison of Efficiency between Poly-Aluminium Chloride and Aluminium Sulphate Coagulants during Full-Scale Experiments in a Drinking Water Treatment Plant. Sep. Sci. Technol. 2008, 43, 1507–1519. [Google Scholar] [CrossRef]
- Zarchi, I.; Friedler, E.; Rebhun, M. Polyaluminium Chloride as an Alternative to Alum for the Direct Filtration of Drinking Water. Environ. Technol. 2013, 34, 1199–1209. [Google Scholar] [CrossRef]
- Delgado, S.; Diaz, F.; Garcia, D.; Otero, N. Behaviour of Inorganic Coagulants in Secondary Effluents from a Conventional Wastewater Treatment Plant. Filtr. Sep. 2003, 40, 42–46. [Google Scholar] [CrossRef]
- Lürling, M.; Oosterhout, F. van Controlling Eutrophication by Combined Bloom Precipitation and Sediment Phosphorus Inactivation. Water Res. 2013, 47, 6527–6537. [Google Scholar] [CrossRef]
- Araújo, F.; dos Santos, H.R.; Becker, V.; Attayde, J.L. The Use of Polyaluminium Chloride as a Restoration Measure to Improve Water Quality in Tropical Shallow Lakes. Acta Limnol. Bras. 2018, 30, e109. [Google Scholar] [CrossRef]
- Kasprzak, P.; Gonsiorczyk, T.; Grossart, H.P.; Hupfer, M.; Koschel, R.; Petzoldt, T.; Wauer, G. Restoration of a Eutrophic Hard-Water Lake by Applying an Optimised Dosage of Poly-Aluminium Chloride (PAC). Limnologica 2018, 70, 33–48. [Google Scholar] [CrossRef]
- Wei, N.; Zhang, Z.; Liu, D.; Wu, Y.; Wang, J.; Wang, Q. Coagulation Behavior of Polyaluminum Chloride: Effects of PH and Coagulant Dosage. Chin. J. Chem. Eng. 2015, 23, 1041–1046. [Google Scholar] [CrossRef]
- Her, N.; Amy, G.; Park, H.R.; Song, M. Characterizing Algogenic Organic Matter (AOM) and Evaluating Associated NF Membrane Fouling. Water Res. 2004, 38, 1427–1438. [Google Scholar] [CrossRef]
- Bernhardt, H.; Hoyer, O.; Lusse, B.; Schell, H. Investigations on the Influence of Algal-Derived Organic Substances on Flocculation and Filtration. In Proceedings of the National Conference on Drinking water: Treatment of Drinking Water for Organic Contaminants, Edmonton, AB, Canada, 7–8 April 1987. [Google Scholar]
- Takaara, T.; Sano, D.; Konno, H.; Omura, T. Cellular Proteins of Microcystis Aeruginosa Inhibiting Coagulation with Polyaluminum Chloride. Water Res. 2007, 41, 1653–1658. [Google Scholar] [CrossRef]
- Takaara, T.; Sano, D.; Konno, H.; Omura, T. Affinity Isolation of Algal Organic Matters Able to Form Complex with Aluminium Coagulant. Water Supply 2004, 4, 95–102. [Google Scholar] [CrossRef]
- Zhang, P.; Ren, B.Z.; Wang, F. Humic Acid Removal from Water by Poly Aluminium Chloride (PAC). Appl. Mech. Mater. 2013, 253–255, 892–896. [Google Scholar] [CrossRef]
- Sudoh, R.; Islam, M.S.; Sazawa, K.; Okazaki, T.; Hata, N.; Taguchi, S.; Kuramitz, H. Removal of Dissolved Humic Acid from Water by Coagulation Method Using Polyaluminum Chloride (PAC) with Calcium Carbonate as Neutralizer and Coagulant Aid. J. Environ. Chem. Eng. 2015, 3, 770–774. [Google Scholar] [CrossRef]
- Lürling, M.; Waajen, G.; van Oosterhout, F. Humic Substances Interfere with Phosphate Removal by Lanthanum Modified Clay in Controlling Eutrophication. Water Res. 2014, 54, 78–88. [Google Scholar] [CrossRef] [PubMed]
- Reitzel, K.; Balslev, K.A.; Jensen, H.S. The Influence of Lake Water Alkalinity and Humic Substances on Particle Dispersion and Lanthanum Desorption from a Lanthanum Modified Bentonite. Water Res. 2017, 125, 191–200. [Google Scholar] [CrossRef] [PubMed]
- Mucci, M.; Noyma, N.P.; de Magalhães, L.; Miranda, M.; van Oosterhout, F.; Guedes, I.A.; Huszar, V.L.M.; Marinho, M.M.; Lürling, M. Chitosan as Coagulant on Cyanobacteria in Lake Restoration Management May Cause Rapid Cell Lysis. Water Res. 2017, 118, 121–130. [Google Scholar] [CrossRef] [PubMed]
- de Magalhães, L.; Noyma, N.P.; Furtado, L.L.; Mucci, M.; van Oosterhout, F.; Huszar, V.L.M.; Marinho, M.M.; Lürling, M. Efficacy of Coagulants and Ballast Compounds in Removal of Cyanobacteria (Microcystis) from Water of the Tropical Lagoon Jacarepaguá (Rio de Janeiro, Brazil). Estuaries Coasts 2017, 40, 121–133. [Google Scholar] [CrossRef]
- Noyma, N.P.; de Magalhães, L.; Miranda, M.; Mucci, M.; van Oosterhout, F.; Huszar, V.L.M.; Marinho, M.M.; Lima, E.R.A.; Lurling, M. Coagulant plus Ballast Technique Provides a Rapid Mitigation of Cyanobacterial Nuisance. PLoS ONE 2017, 12, e0178976. [Google Scholar] [CrossRef]
- Pierce, R.H.; Henry, M.S.; Higham, C.J.; Blum, P.; Sengco, M.R.; Anderson, D.M. Removal of Harmful Algal Cells (Karenia Brevis) and Toxins from Seawater Culture by Clay Flocculation. Harmful Algae 2004, 3, 141–148. [Google Scholar] [CrossRef]
- Thongdam, S.; Kuster, A.C.; Huser, B.J.; Kuster, A.T. Low Dose Coagulant and Local Soil Ballast Effectively Remove Cyanobacteria (Microcystis) from Tropical Lake Water without Cell Damage. Water 2021, 13, 111. [Google Scholar] [CrossRef]
- Chen, W.; Song, L.; Peng, L.; Wan, N.; Zhang, X.; Gan, N. Reduction in Microcystin Concentrations in Large and Shallow Lakes: Water and Sediment-Interface Contributions. Water Res. 2008, 42, 763–773. [Google Scholar] [CrossRef]
- Dail, H.; Iv, L.; Lefler, F.; Berthold, D.E. Sorption of Dissolved Microcystin Using Lanthanum-Modified Bentonite Clay. J. Aquat. Plant Manag. 2020, 58, 72–75. [Google Scholar]
- Prochazka, E.; Hawker, D.; Hwang, G.S.; Shaw, G.; Stewart, I.; Wickramasinghe, W. The Removal of Microcystins in Drinking Water by Clay Minerals. In Proceedings of the 14th International Conference on Harmful Algae, Hersonissos, Greece, 1–5 November 2010. [Google Scholar]
- Li, H.; Pei, H.; Xu, H.; Jin, Y.; Sun, J. Behavior of Cylindrospermopsis Raciborskii during Coagulation and Sludge Storage-Higher Potential Risk of Toxin Release than Microcystis Aeruginosa? J. Hazard. Mater. 2018, 347, 307–316. [Google Scholar] [CrossRef] [PubMed]
- Han, J.; Jeon, B.S.; Park, H.D. Cyanobacteria Cell Damage and Cyanotoxin Release in Response to Alum Treatment. Water Sci. Technol. Water Supply 2012, 12, 549–555. [Google Scholar] [CrossRef]
- Pan, G.; Zou, H.; Chen, H.; Yuan, X. Removal of Harmful Cyanobacterial Blooms in Taihu Lake Using Local Soils. III. Factors Affecting the Removal Efficiency and an in Situ Field Experiment Using Chitosan-Modified Local Soils. Environ. Pollut. 2006, 141, 206–212. [Google Scholar] [CrossRef] [PubMed]
- Mucci, M.; Maliaka, V.; Noyma, N.P.; Marinho, M.M.; Lürling, M. Assessment of Possible Solid-Phase Phosphate Sorbents to Mitigate Eutrophication: Influence of PH and Anoxia. Sci. Total. Environ. 2018, 619, 1431–1440. [Google Scholar] [CrossRef]
- Lürling, M.; Faassen, E.J. Dog Poisonings Associated with a Microcystis Aeruginosa Bloom in the Netherlands. Toxins 2013, 5, 556–567. [Google Scholar] [CrossRef]
- Pan, G.; Dai, L.; Li, L.; He, L.; Li, H.; Bi, L.; Gulati, R.D. Reducing the Recruitment of Sedimented Algae and Nutrient Release into the Overlying Water Using Modified Soil/Sand Flocculation-Capping in Eutrophic Lakes. Environ. Sci. Technol. 2012, 46, 5077–5084. [Google Scholar] [CrossRef] [PubMed]
- Valsami-Jones, E.; International Water Association. Phosphorus in Environmental Technology: Principles and Applications; IWA Publishing: London, UK, 2004; ISBN 1843390019. [Google Scholar]
- Genty, B.; Briantais, J.M.; Baker, N.R. The Relationship between the Quantum Yield of Photosynthetic Electron Transport and Quenching of Chlorophyll Fluorescence. Biochim. Biophys. Acta Gen. Subj. 1989, 990, 87–92. [Google Scholar] [CrossRef]
- Weenink, E.F.J.; Luimstra, V.M.; Schuurmans, J.M.; van Herk, M.J.; Visser, P.M.; Matthijs, H.C.P. Combatting Cyanobacteria with Hydrogen Peroxide: A Laboratory Study on the Consequences for Phytoplankton Community and Diversity. Front. Microbiol. 2015, 6, 714. [Google Scholar] [CrossRef] [PubMed]
- Lürling, M.; Mucci, M.; Waajen, G. Removal of Positively Buoyant Planktothrix Rubescens in Lake Restoration. Toxins 2020, 12, 700. [Google Scholar] [CrossRef]
- Faassen, E.J.; Lürling, M. Occurrence of the Microcystins MC-LW and MC-LF in Dutch Surface Waters and Their Contribution to Total Microcystin Toxicity. Mar. Drugs 2013, 11, 2643–2654. [Google Scholar] [CrossRef]
- Grützmacher, G.; Wessel, G.; Klitzke, S.; Chorus, I. Microcystin Elimination during Sediment Contact. Environ. Sci. Technol. 2010, 44, 657–662. [Google Scholar] [CrossRef]
- Holst, T.; Jørgensen, N.O.G.; Jørgensen, C.; Johansen, A. Degradation of Microcystin in Sediments at Oxic and Anoxic, Denitrifying Conditions. Water Res. 2003, 37, 4748–4760. [Google Scholar] [CrossRef]
- Lama, S.; Muylaert, K.; Karki, T.B.; Foubert, I.; Henderson, R.K.; Vandamme, D. Flocculation Properties of Several Microalgae and a Cyanobacterium Species during Ferric Chloride, Chitosan and Alkaline Flocculation. Bioresour. Technol. 2016, 220, 464–470. [Google Scholar] [CrossRef] [PubMed]
- de Julio, M.; Fioravante, D.A.; de Julio, T.S.; Oroski, F.I.; Graham, N.J.D. A Methodology for Optimising the Removal of Cyanobacteria Cells from a Brazilian Eutrophic Water. Braz. J. Chem. Eng. 2010, 27, 113–126. [Google Scholar] [CrossRef]
- Gebbie, P. Using Polyaluminium Coagulants in Water Treatment. In Proceedings of the 64th Annual Water industry Engineers and Operators’ Conference, Bendigo, Australia, 5–6 September 2001. [Google Scholar]
- Chen, X.; Yang, X.; Yang, L.; Xiao, B.; Wu, X.; Wang, J.; Wan, H. An Effective Pathway for the Removal of Microcystin LR via Anoxic Biodegradation in Lake Sediments. Water Res. 2010, 44, 1884–1892. [Google Scholar] [CrossRef]
- Miller, M.J.; Hutson, J.; Fallowfield, H.J. The Adsorption of Cyanobacterial Hepatoxins as a Function of Soil Properties. J. Water Health 2005, 3, 339–347. [Google Scholar] [CrossRef][Green Version]
- Miller, M.J.; Critchley, M.M.; Hutson, J.; Fallowfield, H.J. The Adsorption of Cyanobacterial Hepatotoxins from Water onto Soil during Batch Experiments. Water Res. 2001, 35, 1461–1468. [Google Scholar] [CrossRef]
- Rangel, L.M.; Silva, L.H.S.; Rosa, P.; Roland, F.; Huszar, V.L.M. Phytoplankton Biomass Is Mainly Controlled by Hydrology and Phosphorus Concentrations in Tropical Hydroelectric Reservoirs. Hydrobiologia 2012, 693, 13–28. [Google Scholar] [CrossRef]
- Soares, M.C.S.; Maria, M.I.; Marinho, M.M.; Azevedo, S.M.F.O.; Branco, C.W.C.; Huszar, V.L.M. Changes in Species Composition during Annual Cyanobacterial Dominance in a Tropical Reservoir: Physical Factors, Nutrients and Grazing Effects. Aquat. Microb. Ecol. 2009, 57, 137–149. [Google Scholar] [CrossRef]




Publisher’s Note: MDPI stays neutral with regard to jurisdictional claims in published maps and institutional affiliations. |
© 2021 by the authors. Licensee MDPI, Basel, Switzerland. This article is an open access article distributed under the terms and conditions of the Creative Commons Attribution (CC BY) license (https://creativecommons.org/licenses/by/4.0/).
Share and Cite
Arruda, R.S.; Noyma, N.P.; de Magalhães, L.; Mesquita, M.C.B.; de Almeida, É.C.; Pinto, E.; Lürling, M.; Marinho, M.M. ‘Floc and Sink’ Technique Removes Cyanobacteria and Microcystins from Tropical Reservoir Water. Toxins 2021, 13, 405. https://doi.org/10.3390/toxins13060405
Arruda RS, Noyma NP, de Magalhães L, Mesquita MCB, de Almeida ÉC, Pinto E, Lürling M, Marinho MM. ‘Floc and Sink’ Technique Removes Cyanobacteria and Microcystins from Tropical Reservoir Water. Toxins. 2021; 13(6):405. https://doi.org/10.3390/toxins13060405
Chicago/Turabian StyleArruda, Renan Silva, Natália Pessoa Noyma, Leonardo de Magalhães, Marcella Coelho Berjante Mesquita, Éryka Costa de Almeida, Ernani Pinto, Miquel Lürling, and Marcelo Manzi Marinho. 2021. "‘Floc and Sink’ Technique Removes Cyanobacteria and Microcystins from Tropical Reservoir Water" Toxins 13, no. 6: 405. https://doi.org/10.3390/toxins13060405
APA StyleArruda, R. S., Noyma, N. P., de Magalhães, L., Mesquita, M. C. B., de Almeida, É. C., Pinto, E., Lürling, M., & Marinho, M. M. (2021). ‘Floc and Sink’ Technique Removes Cyanobacteria and Microcystins from Tropical Reservoir Water. Toxins, 13(6), 405. https://doi.org/10.3390/toxins13060405

