Keeping Lagocephalus sceleratus off the Table: Sources of Variation in the Quantity of TTX, TTX Analogues, and Risk of Tetrodotoxication
Abstract
:1. Introduction
2. Results
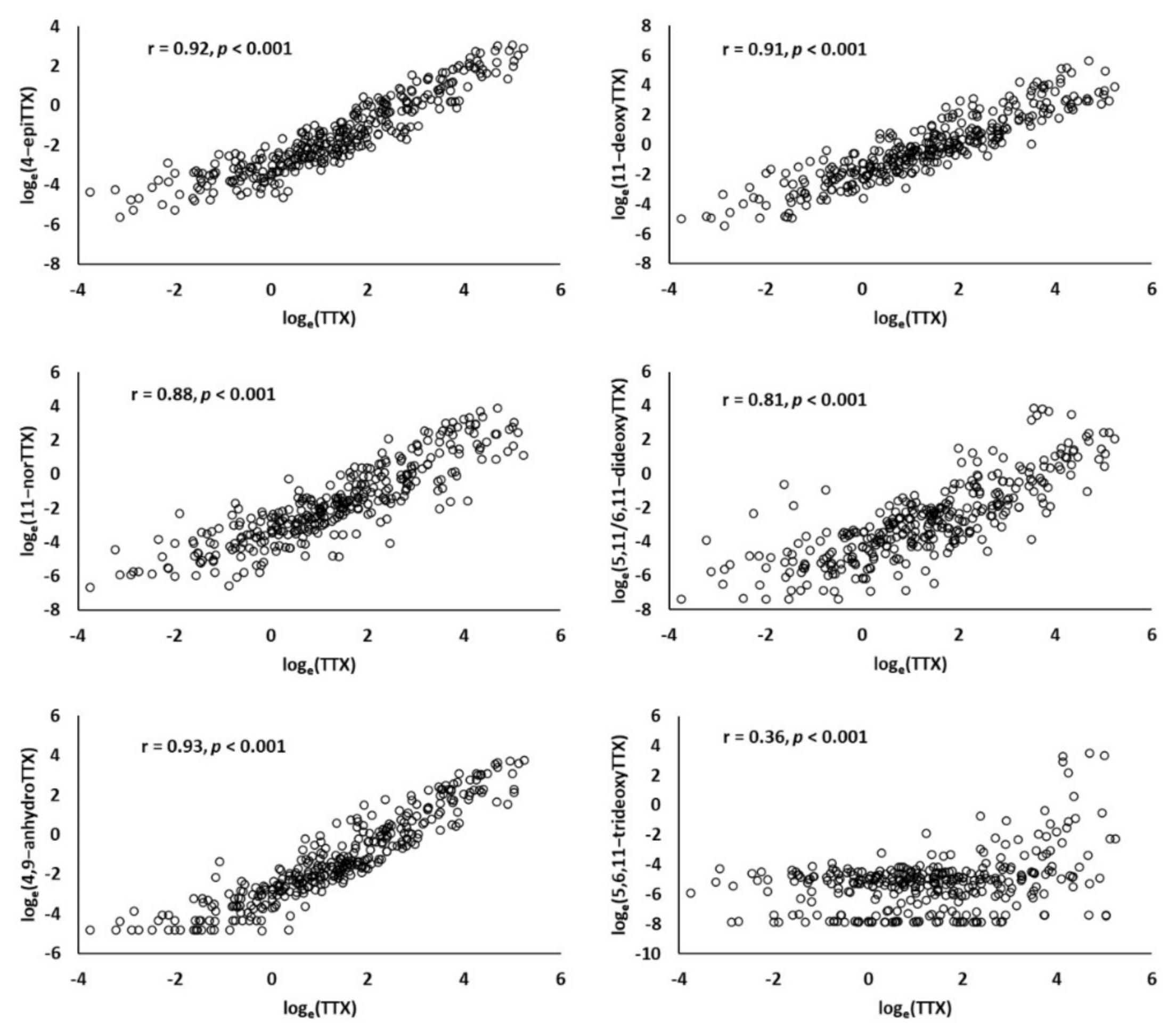
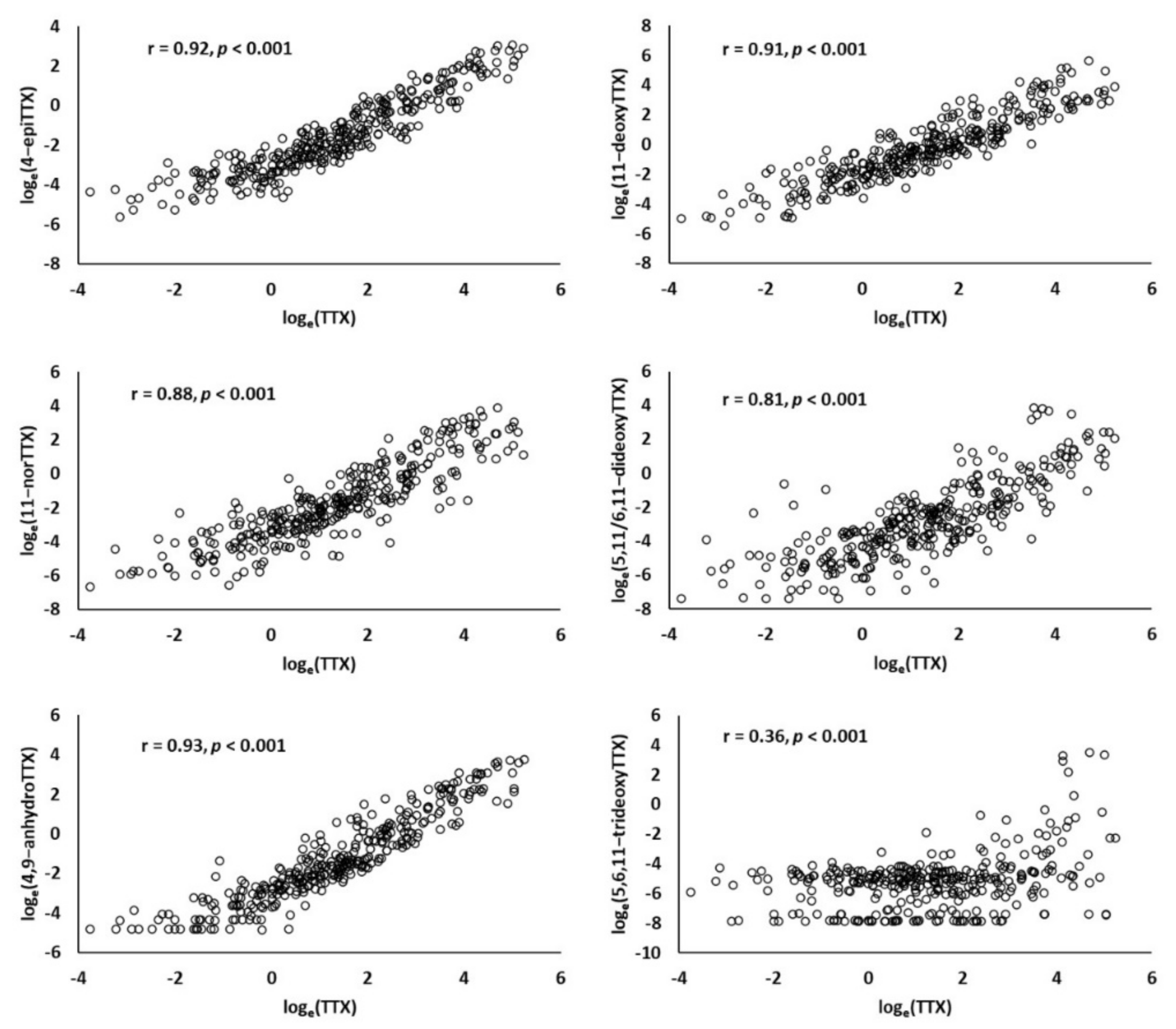
2.1. TTX and TTX Analogues Levels in L. sceleratus Tissues
2.2. General Linear Models (GLMs) for TTX and TTX Analogues
2.3. Tetrodotoxication Risk
3. Discussion
3.1. TTX and TTX Analogues Levels in L. sceleratus Tissues: Comparisons with Other Studies
3.2. Sources of Variation in TTX Levels
3.3. TTX Analogues
3.4. Tetrodotoxication Risk
4. Conclusions
5. Materials and Methods
5.1. Fish Collection and Measurements
5.2. Analysis of TTX and Its Analogues
5.2.1. Chemicals and Reagents
5.2.2. Tissue Sample Collection
5.2.3. Extraction of TTX and Its Analogues
5.2.4. LC-MS/MS Analysis
5.2.5. Quality Control and Assurance
5.2.6. Statistical Analysis
loge (SIZE)
Supplementary Materials
Author Contributions
Funding
Institutional Review Board Statement
Informed Consent Statement
Data Availability Statement
Acknowledgments
Conflicts of Interest
References
- Knutsen, H.K.; Alexander, J.; Barregård, L.; Bignami, M.; Brüschweiler, B.; Ceccatelli, S.; Cottrill, B.; Dinovi, M.; Edler, L.; Grasl-Kraupp, B.; et al. Risks for public health related to the presence of tetrodotoxin (TTX) and TTX analogues in marine bivalves and gastropods. EFSA J. 2017, 15, 1–65. [Google Scholar]
- Dettbarn, W.D. Mechanism of Action of Tetrodotoxin (TTX) and Saxitoxin (STX). In Neuropoissons; Simpson, L.L., Ed.; Plenum Press: New York, NY, USA, 1971; pp. 169–186. [Google Scholar]
- Noguchi, T.; Arakawa, O. Tetrodotoxin-Distribution and accumulation in aquatic organisms, and cases of human intoxication. Mar. Drugs 2008, 6, 220–242. [Google Scholar] [CrossRef] [PubMed] [Green Version]
- Ritson-Williams, R.; Yotsu-Yamashita, M.; Paul, V.J. Ecological functions of tetrodotoxin in a deadly polyclad flatworm. PNAS 2006, 103, 3176–3179. [Google Scholar] [CrossRef] [PubMed] [Green Version]
- Saito, T.; Noguchi, T.; Harada, T.; Murata, O.; Hashimoto, K. Tetrodotoxin as a Biological Defense Agent for Puffers. Nippon Suisan Gakkai Shi 1985, 51, 1175–1180. [Google Scholar] [CrossRef]
- Sheumack, D.; Howden, M.; Spence, I.; Quinn, R. Maculotoxin: A neurotoxin from the venom glands of the octopus Hapalochlaena maculosa identified as tetrodotoxin. Science 1978, 199, 188–189. [Google Scholar] [CrossRef] [PubMed]
- Matsumura, K. Tetrodotoxin as a pheromone. Nature 1995, 378, 563–564. [Google Scholar] [CrossRef] [PubMed]
- Hanifin, C.T.; Brodie, E.D., III; Brodie, E.D., Jr. Tetrodotoxin levels in eggs of rough-skin newt, Taricha granulosa, are correlated with female toxicity. J. Chem. Ecol. 2003, 29, 1729–1739. [Google Scholar] [CrossRef]
- Noguchi, T.; Arakawa, O.; Takatani, T. TTX accumulation in pufferfish. Comp. Biochem. Physiol. D 1 2006, 1, 145–152. [Google Scholar] [CrossRef]
- Khora, S.S.; Isa, J.; Yasumoto, T. Toxicity of Puffers from Okinawa, Japan. Nippon Suisan Gakkai Shi 1991, 57, 163–167. [Google Scholar] [CrossRef]
- Hwang, D.F.; Noguchi, T.; Arakawa, O.; Abe, T.; Hashimoto, K. Toxicological Studies on Several Species of Puffer in Taiwan. Nippon Suisan Gakkai Shi 1988, 54, 2001–2008. [Google Scholar] [CrossRef] [Green Version]
- Hwang, D.F.; Kao, C.Y.; Yang, H.C.; Jeng, S.S.; Noguchi, T.; Hashimoto, K. Toxicity of Puffer in Taiwan. Nippon Suisan Gakkai Shi 1992, 58, 1541–1547. [Google Scholar] [CrossRef]
- Chulanetra, M.; Sookrung, N.; Srimanote, P.; Indrawattana, N.; Thanongsaksrikul, J.; Sakolvaree, Y.; Chongsa-Nguan, M.; Kurazono, H.; Chaicumpa, W. Toxic Marine Puffer Fish in Thailand Seas and Tetrodotoxin They Contained. Toxins 2011, 3, 1249–1262. [Google Scholar] [CrossRef] [Green Version]
- Guardone, L.; Maneschi, A.; Meucci, V.; Gasperetti, L.; Nucera, D.; Armani, A. A Global Retrospective Study on Human Cases of Tetrodotoxin (TTX) Poisoning after Seafood Consumption. Food Rev. Int. 2020, 36, 645–667. [Google Scholar] [CrossRef]
- Yotsu-Yamashita, M. Chemistry of puffer fish toxin. J. Toxicol. Toxin Rev. 2001, 20, 51–66. [Google Scholar] [CrossRef]
- Yotsu-Yamashita, M.; Abe, Y.; Kudo, Y.; Ritson-Williams, R.; Paul, V.J.; Konoki, K.; Cho, Y.; Adachi, M.; Imazu, T.; Nishikawa, T.; et al. First identification of 5,11-dideoxytetrodotoxin in marine animals, and characterization of major fragment ions of tetrodotoxin and its analogs by high resolution ESI-MS/MS. Mar. Drugs 2013, 11, 2799–2813. [Google Scholar] [CrossRef] [Green Version]
- Yasumoto, T.; Yotsu-Yamashita, M. Chemical and etiological studies on tetrodotoxin and its analogs. J. Toxicol. Toxin Rev. 1996, 15, 81–90. [Google Scholar] [CrossRef]
- Shida, Y.; Arakawa, O.; Onoue, Y.; Noguchi, T. LC/MS of Marine Toxin-1. In Proceedings of the 46th Annual Conference on Mass Spectrometry, Takasaki, Japan, 13–15 May 1998; Mass Spectrometry Society of Japan: Tokyo, Japan, 1998; p. 137. [Google Scholar]
- Kawabata, T. Puffer toxin. In The Manual for the Methods of Food Sanitation Tests; Environmental Health Bureau, Japan Food Hygienic Association: Tokyo, Japan, 1978; Volume 2, p. 232. [Google Scholar]
- Asakawa, M.; Shida, Y.; Miyazawa, K.; Noguchi, T. Instrumental Analysis of Tetrodotoxin. In Chromatography-The Most Versatile Method of Chemical Analysis; Calderon, L.A., Ed.; InTech Open: Rijeka, Croatia, 2012; pp. 245–270. [Google Scholar]
- Streftaris, N.; Zenetos, A. Alien marine species in the Mediterranean-the 100 ‘worst invasives’ and their impact. Mediterr. Mar. Sci. 2006, 7, 87–118. [Google Scholar] [CrossRef] [Green Version]
- Akyol, O.; Ünal, V.; Ceyhan, T.; Bilecenoglou, M. First confirmed record of Lagocephalus sceleratus (Gmelin, 1789) in the Mediterranean Sea. J. Fish Biol. 2005, 66, 1183–1186. [Google Scholar] [CrossRef]
- Regulation 853/2004/EC, 25/6/2004. Regulation (EC) No 853/2004 of the European Parliament and of the Council of 29 April 2004 Laying Down Specific Hygiene Rules for Food of Animal Origin; L226; Regulation (EC): Brussels, Belgium, 2004; pp. 22–82. [Google Scholar]
- Regulation 854/2004/EC, 25/6/2004. Regulation (EC) No 854/2004 of the European Parliament and of the Council of 29 April 2004 Laying Down Specific Hygiene Rules for the Organization of Official Controls on Products of Animal Origin Intended for Human Consumption; L226; Regulation (EC): Brussels, Belgium, 2004; pp. 22–82. [Google Scholar]
- Farrag, M.M.S. Fisheries and Biological Studies on Lessepsian Pufferfish, Lagocephalus sceleratus (Gmelin, 1789) (Family: Tetraodontidae) in the Egyptian Mediterranean Waters. PhD Thesis, Faculty of Science, Al-Azhar University, Assuit, Egypt, 2014. [Google Scholar]
- Bilecenoğlu, M.; Kaya, M.; Akalin, S. Range expansion of silverstripe blaasop, Lagocephalus sceleratus (Gmelin, 1789), to the northern Aegean Sea. Aquat. Invasions 2012, 1, 289–291. [Google Scholar] [CrossRef]
- Bentur, Y.; Ashkar, J.; Lurie, Y.; Levy, Y.; Azzam, Z.S.; Litmanovich, M.; Golik, M.; Gurevych, B.; Golani, D.; Eisenman, A. Lessepsian migration and tetrodotoxin poisoning due to Lagocephalus sceleratus in the eastern Mediterranean. Toxicon 2008, 52, 964–968. [Google Scholar] [CrossRef]
- Chamandi, S.C.; Kallab, K.; Mattar, H.; Nader, E. Human poisoning after ingestion of puffer fish caught from Mediterranean Sea. Middle East J. Anesthesiol. 2009, 20, 285–288. [Google Scholar] [PubMed]
- Kheifets, J.; Rozhavsky, B.; Girsh Solomonovich, Z.; Marianna, R.; Soroksky, A. Severe Tetrodotoxin Poisoning after Consumption of Lagocephalus sceleratus (Pufferfish, Fugu) Fished in Mediterranean Sea, Treated with Cholinesterase Inhibitor. Case Rep. Crit. Care 2012, 2012, 782507:1–782507:3. [Google Scholar]
- Souissi, J.B.; Rifi, M.; Ghanem, R.; Ghozzi, L.; Boughedir, W.; Azzurro, E. Lagocephalus sceleratus (Gmelin, 1789) expands through the African coasts towards the Western Mediterranean Sea: A call for awareness. Manag. Biol. Invasions 2014, 5, 357–362. [Google Scholar] [CrossRef] [Green Version]
- Ünal, V.; Bodur, H.G. Impacts of pufferfish on human activities in Turkey, Eastern Mediterranean: Special emphasize on L. sceleratus. In Engaging Marine Scientists and Fishers to Share Knowledge and Perceptions–Early Lessons; Briand, F., Ed.; CIESM Workshop Monograph N° 50: Paris, France, 2018; pp. 149–164. [Google Scholar]
- Halim, Y.; Rizkalla, S. Aliens in Egyptian Mediterranean waters. A check-list of Erythrean fish with new records. Mediterr. Mar. Sci. 2011, 12, 479–490. [Google Scholar] [CrossRef] [Green Version]
- Nader, M.; Indray, S.; Boustany, L. The Puffer Fish Lagocephalus sceleratus (Gmelin, 1789) in the Eastern Mediterranean. In East Med Technical Documents 2012; GCP/INT/041/EC–GRE–ITA; FAO: Rome, Italy, 2012. [Google Scholar]
- Katikou, P.; Georgantelis, D.; Sinouris, N.; Petsi, A.; Fotaras, T. First report on toxicity assessment of the Lessepsian migrant pufferfish Lagocephalus sceleratus (Gmelin, 1789) from European waters (Aegean Sea, Greece). Toxicon 2009, 54, 50–55. [Google Scholar] [CrossRef]
- Rodríguez, P.; Alfonso, A.; Otero, P.; Katikou, P.; Georgantelis, D.; Botana, L.M. Liquid chromatography-mass spectrometry method to detect Tetrodotoxin and Its analogues in the puffer fish Lagocephalus sceleratus (Gmelin, 1789) from European waters. Food Chem. 2012, 132, 1103–1111. [Google Scholar] [CrossRef]
- Bane, V.; Brosnan, B.; Barnes, P.; Lehane, M.; Furey, A. High-resolution mass spectrometry analysis of tetrodotoxin (TTX) and its analogues in puffer fish and shellfish. Food Addit. Contam. Part A Chem. Anal. Control. Expo. Risk Assess. 2016, 33, 1468–1489. [Google Scholar] [CrossRef]
- Kosker, A.R.; Özogul, F.; Durmus, M.; Ucar, Y.; Ayas, D.; Regenstein, J.M.; Özogul, Y. Tetrodotoxin levels in pufferfish (Lagocephalus sceleratus) caught in the Northeastern Mediterranean Sea. Food Chem. 2016, 210, 332–337. [Google Scholar] [CrossRef]
- Kosker, A.R.; Özogul, F.; Ayas, D.; Durmus, M.; Ucar, Y.; Regenstein, J.M.; Özogul, Y. Tetrodotoxin levels of three pufferfish species (Lagocephalus sp.) caught in the North-Eastern Mediterranean sea. Chemosphere 2019, 219, 95–99. [Google Scholar] [CrossRef]
- Acar, C.; Ishizaki, S.; Nagashima, Y. Toxicity of the Lessepsian pufferfish Lagocephalus sceleratus from eastern Mediterranean coasts of Turkey and species identification by rapid PCR amplification. Eur. Food Res. Technol. 2017, 243, 49–57. [Google Scholar] [CrossRef]
- Rambla-Alegre, M.; Reverté, L.; del Río, V.; de la Iglesia, P.; Palacios, O.; Flores, C.; Caixach, J.; Campbell, K.; Elliott, C.T.; Izquierdo-Muñoz, A.; et al. Evaluation of tetrodotoxins in puffer fish caught along the Mediterranean coast of Spain. Toxin profile of Lagocephalus sceleratus. Environ. Res. 2017, 158, 1–6. [Google Scholar] [CrossRef] [Green Version]
- Leonardo, S.; Kiparissis, S.; Rambla-Alegre, M.; Almarza, S.; Roque, A.; Andree, K.B.; Christidis, A.; Flores, C.; Caixach, J.; Campbell, K.; et al. Detection of tetrodotoxins in juvenile pufferfish Lagocephalus sceleratus (Gmelin, 1789) from the North Aegean Sea (Greece) by an electrochemical magnetic bead-based immunosensing tool. Food Chem. 2019, 290, 255–262. [Google Scholar] [CrossRef] [Green Version]
- Akbora, H.D.; Kunter, İ.; Erçetïn, T.; Elagöz, A.M.; Çïçek, B.A. Determination of tetrodotoxin (TTX) levels in various tissues of the silver cheeked puffer fish (Lagocephalus sceleratus (Gmelin, 1789)) in Northern Cyprus Sea (Eastern Mediterranean). Toxicon 2020, 175, 1–6. [Google Scholar] [CrossRef]
- Endo, R. Toxicological studies on puffer fishes: Comparison of toxicities on the various species. J. Toxicol. Sci. 1984, 9 (Suppl. S1), 1–11. [Google Scholar] [CrossRef]
- Ikeda, K.; Emoto, Y.; Tatsuno, R.; Wang, J.J.; Ngy, L.; Taniyama, S.; Takatani, T.; Arakawa, O. Maturation-associated changes in toxicity of the pufferfish Takifugu poecilonotus. Toxicon 2010, 55, 289–297. [Google Scholar] [CrossRef] [Green Version]
- Kosker, A.R.; Özogul, F.; Durmus, M.; Ucar, Y.; Šimat, D.A.V.; Özogul, Y. First report on TTX levels of the yellow spotted pufferfish (Torquigener flavimaculosus) in the Mediterranean Sea. Toxicon 2018, 148, 101–106. [Google Scholar] [CrossRef]
- Reverté, L.; de la Iglesia, P.; del Rio, V.; Campbell, K.; Elliot, C.T.; Kawatsu, K.; Katikou, P.; Diogène, J.; Campàs, M. Detection of Tetrodotoxins in Puffer Fish by a Self-Assembled Monolayer-Based Immunoassay and Comparison with Surface Plasmon Resonance, LC-MS/MS, and Mouse Bioassay. Anal. Chem. 2015, 87, 10839–10847. [Google Scholar] [CrossRef]
- Reverté, L.; Rambla-Alegre, M.; Leonardo, S.; Bellés, C.; Campbell, K.; Elliot, C.T.; Gerssen, A.; Klijnstra, M.D.; Diogène, J.; Campàs, M. Development and validation of a maleimide-based enzyme-linked immunosorbent assay for the detection of tetrodotoxin in oysters and mussels. Talanta 2018, 176, 659–666. [Google Scholar] [CrossRef] [Green Version]
- Zhong, Q.P.; Huang, A.C.; Wang, B.; Dong, X. Development of direct competitive ELISA kit for the direction of tetrodotoxin using HRP labeled antigen. Adv. Mat. Res. 2011, 236–238, 2820–2824. [Google Scholar]
- Diener, M.; Christian, B.; Ahmed, M.S.; Luckas, B. Determination of tetrodotoxin and its analogs in the puffer fish Takifugu oblongus from Bangladesh by hydrophilic interaction chromatography and mass-spectrometric detection. Anal. Bioanal. Chem. 2007, 389, 1997–2002. [Google Scholar] [CrossRef]
- Jang, J.H.; Lee, J.S.; Yotsu-Yamashita, M. LC/MS analysis of tetrodotoxin and its deoxy analogs in the marine puffer fish Fugu niphobles from the southern coast of Korea, and in the brackish water puffer fishes Tetraodon nigroviridis and Tetraodon biocellatus from Southeast Asia. Mar. Drugs 2010, 8, 1049–1058. [Google Scholar] [CrossRef]
- Kudo, Y.; Yasumoto, T.; Konoki, K.; Cho, Y.; Yotsu-Yamashita, M. Isolation and structural determination of the first 8-epi-type tetrodotoxin analogs from the newt, Cynops ensicauda popei, and comparison of tetrodotoxin analogs profiles of this newt and the puffer fish, Fugu poecilonotus. Mar. Drugs 2012, 10, 655–667. [Google Scholar] [CrossRef] [Green Version]
- Nunez-Vazquez, E.J.; Yotsu-Yamashita, M.; Sierra-Beltran, A.P.; Yasumoto, T.; Ochoa, J.L. Toxicities and distribution of tetrodotoxin in the tissues of puffer fish found in the coast of the Baja California Peninsula, Mexico. Toxicon 2000, 38, 729–734. [Google Scholar] [CrossRef]
- Hwang, D.F.; Noguchi, T. Tetrodotoxin Poisoning. Adv. Food Nutr. Res. 2007, 52, 141–236. [Google Scholar]
- Noguchi, T.; Onuki, K.; Arakawa, O. Tetrodotoxin Poisoning Due to Pufferfish and Gastropods, and Their Intoxication Mechanism. ISRN Toxicol. 2011, 2011, 276939:1–276939:10. [Google Scholar] [CrossRef] [Green Version]
- Itoi, S.; Yoshikawa, S.; Asahina, K.; Suzuki, M.; Ishizuka, K.; Takimoto, N.; Mitsuoka, R.; Yokoyama, N.; Detake, A.; Takayanagi, C.; et al. Larval pufferfish protected by maternal tetrodotoxin. Toxicon 2014, 78, 35–40. [Google Scholar] [CrossRef] [Green Version]
- Sabrah, M.M.; El-Ganainy, A.A.; Zaky, M.A. Biology and Toxicity of the Pufferfish Lagocephalus sceleratus (Gmelin, 1789) from the Gulf of Suez. Egypt. J. Aquat. Res. 2006, 32, 283–297. [Google Scholar]
- Arakawa, O.; Hwang, D.F.; Taniyama, S.; Takatani, T. Toxins of Pufferfish That Cause Human Intoxications. In Coastal Environmental and Ecosystem Issues of the East China Sea; Ishimatsu, A., Lie, H.J., Eds.; Terrapub and Nagasaki University: Tokyo, Japan, 2010; pp. 227–244. [Google Scholar]
- Peristeraki, P.; Lazarakis, G.; Tserpes, G. First results on the maturity of the lessepsian migrant Lagocephalus sceleratus (Gmelin 1789) in the eastern Mediterranean Sea. Rapp. Comm. Int. Mer Médit. 2010, 39, 628. [Google Scholar]
- Rousou, M.; Ganias, K.; Kletou, D.; Loucaides, A.; Tsinganis, M. Maturity of the pufferfish Lagocephalus sceleratus in the southeastern Mediterranean Sea. Sex. Early Dev. Aquat. Org. 2014, 1, 35–44. [Google Scholar] [CrossRef] [Green Version]
- El-Sayed, M.; Yacout, G.A.; El-Samra, M.; Ali, A.; Kotb, S.M. Toxicity of the Red Sea pufferfish Pleuranacanthus sceleratus ‘El-Karad’. Ecotoxicol. Environ. Saf. 2003, 56, 367–372. [Google Scholar] [CrossRef]
- Noguchi, T.; Jeon, J.K.; Arakawa, O.; Sugita, H.; Deguchi, Y.; Shida, Y.; Hashimoto, K. Occurrence of Tetrodotoxin and Anhydrotetrodotoxin in Vibrio sp. Isolated from the Intestines of a Xanthid Crab, Atergatis floridus. J. Biochem. 1986, 99, 311–314. [Google Scholar] [CrossRef] [PubMed]
- Noguchi, T.; Hwang, D.F.; Arakawa, O.; Sugita, H.; Hashimoto, K. Vibrio alginolyticus, a tetrodotoxin-producing bacterium, in the intestines of the fish Fugu vermicularis vermicularis. Mar. Biol. 1987, 94, 625–630. [Google Scholar] [CrossRef]
- Yasumoto, T.; Yasumura, D.; Yotsu, M.; Michishita, T.; Endo, A.; Kotaki, Y. Bacterial Production of Tetrodotoxin and Anhydrotetrodotoxin. Agric. Biol. Chem. 1986, 50, 793–795. [Google Scholar]
- Narita, H.; Matsubara, S.; Miwa, N.; Akahane, S.; Murakami, M.; Goto, T.; Nara, M.; Noguchi, T.; Saito, T.; Shida, Y.; et al. Vibrio alginolyticus, a TTX-producing Bacterium Isolated from the Starfish Astropecten polyacanthus. Nippon Suisan Gakkai Shi 1987, 53, 617–621. [Google Scholar] [CrossRef]
- Simidu, U.; Noguchi, T.; Hwang, D.F.; Shida, Y.; Hashimoto, K. Marine Bacteria Which Produce Tetrodotoxin. Appl. Environ. Microbiol. 1987, 53, 1714–1715. [Google Scholar] [CrossRef] [Green Version]
- Vlamis, A.; Katikou, P.; Rodriguez, I.; Rey, V.; Alfonso, A.; Papazachariou, A.; Zacharaki, T.; Botana, A.M.; Botana, L.M. First detection of tetrodotoxin in greek shellfish by UPLC-MS/MS potentially linked to the presence of the dinoflagellate. Prorocentrum Minim. Toxins 2015, 7, 1779–1807. [Google Scholar] [CrossRef] [Green Version]
- Tsimenides, N.; Tserpes, G.; Machias, A.; Kallianiotis, A. Distribution of fishes on the Cretan shelf. J. Fish Biol. 1991, 39, 661–672. [Google Scholar] [CrossRef]
- Bosc, E.; Bricaud, A.; Antoine, D. Seasonal and interannual variability in algal biomass and primary production in the Mediterranean Sea, as derived from 4 years of SeaWiFs observations. Glob. Biochem. Cycles 2004, 18, GB1005. [Google Scholar] [CrossRef] [Green Version]
- Auawithoothij, W.; Noomhorm, A. Shewanella putrefaciens, a major microbial species related to tetrodotoxin (TTX)-accumulation of puffer fish Lagocephalus lunaris. J. Appl. Microbiol. 2012, 113, 459–465. [Google Scholar] [CrossRef]
- Kono, M.; Matsui, T.; Fur ukawa, K.; Takase, T.; Yamamori, K.; Kaneda, H.; Aoki, D.; Jang, J.H.; Yotsu-Yamashita, K. Examination of transformation among tetrodotoxin and its analogs in the living culturd juvenile puffer fish, kusafugu, Fugu nipholbes by intramuscular administration. Toxicon 2008, 52, 714–720. [Google Scholar] [CrossRef]
- Nakamura, M.; Yasumoto, T. Tetrodotoxin Derivatives in Puffer Fish. Toxicon 1985, 23, 271–276. [Google Scholar] [CrossRef]
- Jang, J.; Yotsu-Yamashita, M. Distribution of tetrodotoxin, saxitoxin, and their analogs among tissues of the puffer fish Fugu pardalis. Toxicon 2006, 48, 980–987. [Google Scholar] [CrossRef]
- Jal, S.; Khora, S.S. An overview on the origin and production of tetrodotoxin, a potent neurotoxin. J. Appl. Microbiol. 2015, 119, 907–916. [Google Scholar] [CrossRef]
- Stergiou, K.I.; Christou, E.D.; Georgopoulos, D.; Zenetos, A.; Souvermetzoglou, C. The Hellenic Seas: Physics, Chemistry Biology and Fisheries. Oceanogr. Mar. Biol. 1997, 35, 415–538. [Google Scholar]
- Peristeraki, P.; Tserpes, G.; Biyakis, S.; Kostopoulou, V.; Anezaki, E.; Vala, E. Observations on the expansion pattern of the invasive Lagocephalus sceleratus around Crete: Interactions with coastal fisheries. In Proceedings of the MARBIGEN Conference, Heraklion, Greece, 7–9 October 2013; p. 49. [Google Scholar]
- Peristeraki, P.; Skarvelis, K.; Giannakaki, A.; Tambakakis, K.; Tserpes, G. Preliminary results on the abundance of alien species in the coastal fisheries of Crete. In Proceedings of the 11th Panhellenic Symposium on Oceanography and Fisheries, Mytilene, Greece, 13–17 May 2015; pp. 149–152. [Google Scholar]
- Kiparissis, S.; Peristeraki, P.; Tambakakis, K.; Kosoglou, I.; Doudoumis, V.; Batargias, C. Range expansion of a restricted lesseptian: Westbound expansion breakthrough of Lagocephalus spadiceus (Richardson, 1844) (Actinopterygii: Tetraodontidae). Bioinvasions Rec. 2018, 7, 197–203. [Google Scholar] [CrossRef]
- Follesa, M.C.; Carbonara, P. Atlas of the Maturity Stages of Mediterranean Fishery Resources. In Studies and Reviews No. 99; FAO: Rome, Italy, 2019. [Google Scholar]
- Hites, R.A. Correcting for censored environmental measurements. Environ. Sci. Technol. 2019, 53, 11059–11060. [Google Scholar] [CrossRef] [Green Version]
- Zarr, J.H. Biostatistical Analysis, 4th ed.; Prentice Hall: Upper Saddle River, NJ, USA, 1999. [Google Scholar]
- Chambers, J.M. Linear Models. In Chapter 4 of Statistical Models in S; Chambers, J.M., Hastie, T.J., Eds.; Wadsworth & Brooks: Cole, CA, USA, 1992. [Google Scholar]
- Horie, M.; Kobayashi, S.; Shimizu, N.; Nakazawa, H. Determination of tetrodotoxin in puffer-fish by liquid chromatography-electrospray ionization mass spectrometry. Analyst 2002, 127, 755–759. [Google Scholar] [CrossRef]
- Yu, C.F. A Comprehensive Study of the Hong Kong Pufferfishes and Their Toxins. Ph.D. Thesis, Hong Kong Polytechnic University, Hong Kong, 2003. [Google Scholar]
- McCullagh, P.; Nelder, J.A. Generalized Linear Models, 2nd ed.; Chapman and Hall/CRC: London, UK, 1989. [Google Scholar]
- R Core Team. R: A Language and Environment for Statistical Computing; R Foundation for Statistical Computing: Vienna, Austria, 2020; Available online: https://www.R-project.org/ (accessed on 28 October 2021).
- Agresti, A. An Introduction to Categorical Data Analysis, 2nd ed.; John Wiley & Sons: New York, NY, USA, 2007. [Google Scholar]





| Toxins | % Detection Rate in Samples | Tissue | |||
|---|---|---|---|---|---|
| Gonads | Liver | Muscle | Skin | ||
| TTX | 100% | 39.85 ± 45.45 (0.30–189.03) | 12.18 ± 19.79 (0.04–104.41) | 3.76 ± 4.59 (0.02–20.72) | 3.87 ± 3.75 (0.12–18.59) |
| 4-epiTTX | 100% | 3.05 ± 4.71 (0.01–21.59) | 1.68 ± 3.29 (ND–15.75) | 0.15 ± 0.26 (0.01–1.26) | 0.36 ± 0.61 (0.01–4.68) |
| 11-norTTX-6-ol | 100% | 5.26 ± 8.58 (0.01–47.79) | 2.21 ± 5.88 (0.003–39.72) | 0.34 ± 0.80 (0.001–5.35) | 0.27 ± 0.46 (0.001–2.32) |
| 4.9-anhydroTTX | 90% | 6.15 ± 9.66 (ND–43.10) | 3.09 ± 6.08 (ND–34.63) | 0.15 ± 0.20 (ND–1.13) | 0.31 ± 0.39 (ND–1.98) |
| 11-deoxyTTX | 100% | 19.23 ± 40.62 (0.02–281.86) | 8.87 ± 26.32 (0.01–176.55) | 1.38 ± 3.40 (0.004–21.98) | 1.49 ± 2.83 (0.02–18.84) |
| 5,6,11-trideoxyTTX | 79% | 1.46 ± 5.85 (ND–32.67) | 0.02 ± 0.05 (ND–0.33) | 0.005 ± 0.04 (ND–0.02) | 0.02 ± 0.06 (ND–0.47) |
| 5,11/6,11-dideoxyTTX | 96% | 2.79 ± 8.01 (ND–46.61) | 1.52 ± 6.21 (ND–40.00) | 0.11 ± 0.47 (ND–3.82) | 0.29 ± 0.70 (ND–4.52) |
| Total Toxins | 77.80 ± 98.73 (0.43–535.78) | 29.56 ± 59.92 (0.09–312.95) | 5.89 ± 8.49 (0.05–41.47) | 6.59 ± 7.35 (0.17–35.05) | |
| Effect | F | η2 | adj. r2 |
|---|---|---|---|
| TISSUE | 49.11 *** | 0.24 | 0.46 |
| AREA | 61.87 *** | 0.14 | |
| SEX | 23.83 *** | 0.04 | |
| MATURITY | 3.66 ** | 0.03 | |
| loge(SIZE) | 3.84 ns | ||
| SEASON | 1.66 ns |
| Effect | 4-epiTTX/TTX | 11-norTTX-6-ol/TTX | 4,9-anhydroTTX/TTX | 11-deoxyTTX/TTX | 5,11/6,11-dideoxyTTX/TTX | |||||
|---|---|---|---|---|---|---|---|---|---|---|
| F | η2 | F | η2 | F | η2 | F | η2 | F | η2 | |
| TISSUE | 27.02 *** | 0.17 | 2.41 ns | 47.59 *** | 0.29 | 3.53 * | 0.03 | 15.78 *** | 0.11 | |
| AREA | 0.05 ns | 11.46 *** | 0.06 | 4.36 * | 0.01 | 2.86 ns | 1.66 ns | |||
| SEX | 9.15 ** | 0.04 | 18.41 *** | 0.07 | 12.62 ** | 0.03 | 4.91 * | 0.03 | 5.14 * | 0.03 |
| MATURITY | 14.21 *** | 0.12 | 8.35 *** | 0.08 | 2.25 ns | 10.71 *** | 0.11 | 9.93 *** | 0.09 | |
| adj. r2 | 0.31 | 0.21 | 0.34 | 0.17 | 0.23 | |||||
| Effect | Residuals d.f. | Residual Deviance | p |
|---|---|---|---|
| AREA | 81 | 97.40 | <0.001 |
| SEASON | 78 | 95.22 | 0.510 |
| MATURITY | 74 | 90.12 | 0.253 |
| SEX | 73 | 89.90 | 0.697 |
| SIZE | 72 | 88.32 | 0.210 |
| % of total deviance explained | 23.17 |
| Region | Number of Specimens | Gonads | Liver | Intestine | Skin | Muscle | Analysis Method * | Reference |
|---|---|---|---|---|---|---|---|---|
| Aegean Sea | 43 | 0.47–46.30 | <0.32–44.15 | <0.32–37.60 | <0.32–1.40 | <0.32–3.47 | LC-ESI-CID-MS/MS | [35] |
| Aegean Sea | 1–3 | 0.42–1.73 | 6.17 | 0.39–0.41 | 0.36–0.43 | LC-MS using LTQ-Orbitrap XL | [36] | |
| Northwestern Mediterranean | 16 | 0.43–52.07 | ND–46.18 | 0.07–7.15 | 0.13–3.43 | ND–2.83 | LC-MS | [37] |
| Northeastern Mediterranean | 80 | 0.69–35.60 | 0.89–21.10 | 0.79–12.5 | 2.20–11.80 | 0.70–5.12 | Q-TOF LC-MS | [38] |
| Eastern Mediterranean | 20 | 0.17–80.00 | 0.12–25.4 | 0.13–48.8 | 0.10–3.30 | 0.07–3.42 | LC-MS | [39] |
| Western Mediterranean | 1 | 25.95 | 3.08 | 1.65 | 1.01 | LC-MS | [40] | |
| Western Mediterranean | 1 | 25.22 | 5.36 | 2.08 | 0.98 | LC-HRMS | [40] | |
| Western Mediterranean | 1 | 33.55 | 28.30 | 3.50 | 2.53 | mELISA | [40] | |
| North Aegean Sea | 2 | 2.59–2.78 | 1.39–2.88 | Electrochemical MB-based immunosensing tool | [41] | |||
| North Aegean Sea | 2 | 1.19–1.24 | 0.48–2.08 | LC-HRMS | [41] | |||
| North Aegean Sea | 2 | 2.77–3.18 | 1.52–2.33 | mELISA | [41] | |||
| Northern Cyprus Sea | 16 | 0.32–12.87 | 0.11–13.48 | 0.29–11.74 | 0.16–6.54 | 0.21–8.32 | dcELISA | [42] |
| Cretan and Libyan Sea | 83 | 39.85 ± 45.45 (0.30–189.03) | 12.18 ± 19.79 (0.04–104.41) | 3.87 ± 3.75 (0.12–18.59) | 3.76 ± 4.59 (0.02–20.72) | LC-MS | This study |
| Season | Sex | Number | TL (mm) |
|---|---|---|---|
| Winter | ![]() | 13 | 296 (174–553) |
![]() | 11 | 247 (149–493) | |
| Spring | ![]() | 16 | 532 (226–709) |
![]() | 10 | 556 (443–716) | |
| Summer | ![]() | 7 | 513 (450–590) |
![]() | 10 | 522 (312–702) | |
| Autumn | ![]() | 7 | 429 (270–566) |
![]() | 9 | 412 (247–541) |
| Compound | Retention Time (min) | Precursor Ion (m/z) | Fragmentor | Quantifier | Qualifier | ||||
|---|---|---|---|---|---|---|---|---|---|
| Product Ion (m/z) | Collision Energy | Cell Accelerator Voltage | Product Ion (m/z) | Collision Energy | Cell Accelerator Voltage | ||||
| TTX | 5.585 | 320 | 100 | 302 | 24 | 2 | 162 | 36 | 2 |
| 4-epiTTX | 5.384 | 320 | 100 | 302 | 24 | 2 | 162 | 36 | 2 |
| 11-norTTX-6-ol -R, -S | 5.187 | 290 | 100 | 272 | 28 | 2 | 162 | 32 | 2 |
| 4,9-anhydroTTX | 4.934 | 302 | 100 | 162 | 38 | 2 | 284 | 22 | 2 |
| 256 | 26 | 2 | |||||||
| 11-deoxyTTX | 4.908 | 304 | 100 | 286 | 26 | 2 | 162 | 38 | 2 |
| 176 | 36 | 2 | |||||||
| 5,11/6,11-dideoxyTTX | 4.518 | 288 | 100 | 270 | 32 | 2 | 162 | 36 | 2 |
| 5,6,11-trideoxyTTX | 3.413 | 272 | 100 | 254 | 22 | 2 | 162 | 44 | 2 |
| Methyl-glucamine (I.S.) | 4.889 | 196 | 85 | 178 | 11 | 3 | 74.1 | 15 | 6 |
Publisher’s Note: MDPI stays neutral with regard to jurisdictional claims in published maps and institutional affiliations. |
© 2021 by the authors. Licensee MDPI, Basel, Switzerland. This article is an open access article distributed under the terms and conditions of the Creative Commons Attribution (CC BY) license (https://creativecommons.org/licenses/by/4.0/).
Share and Cite
Christidis, G.; Mandalakis, M.; Anastasiou, T.I.; Tserpes, G.; Peristeraki, P.; Somarakis, S. Keeping Lagocephalus sceleratus off the Table: Sources of Variation in the Quantity of TTX, TTX Analogues, and Risk of Tetrodotoxication. Toxins 2021, 13, 896. https://doi.org/10.3390/toxins13120896
Christidis G, Mandalakis M, Anastasiou TI, Tserpes G, Peristeraki P, Somarakis S. Keeping Lagocephalus sceleratus off the Table: Sources of Variation in the Quantity of TTX, TTX Analogues, and Risk of Tetrodotoxication. Toxins. 2021; 13(12):896. https://doi.org/10.3390/toxins13120896
Chicago/Turabian StyleChristidis, Georgios, Manolis Mandalakis, Thekla I. Anastasiou, George Tserpes, Panagiota Peristeraki, and Stylianos Somarakis. 2021. "Keeping Lagocephalus sceleratus off the Table: Sources of Variation in the Quantity of TTX, TTX Analogues, and Risk of Tetrodotoxication" Toxins 13, no. 12: 896. https://doi.org/10.3390/toxins13120896
APA StyleChristidis, G., Mandalakis, M., Anastasiou, T. I., Tserpes, G., Peristeraki, P., & Somarakis, S. (2021). Keeping Lagocephalus sceleratus off the Table: Sources of Variation in the Quantity of TTX, TTX Analogues, and Risk of Tetrodotoxication. Toxins, 13(12), 896. https://doi.org/10.3390/toxins13120896









