Abstract
Mycotoxins are toxic fungal secondary metabolites that pose a major threat to the safety of food and feed. Mycotoxins are usually converted into less toxic or non-toxic metabolites through biotransformation that are often made by living organisms as well as the isolated enzymes. The conversions mainly include hydroxylation, oxidation, hydrogenation, de-epoxidation, methylation, glycosylation and glucuronidation, esterification, hydrolysis, sulfation, demethylation and deamination. Biotransformations of some notorious mycotoxins such as alfatoxins, alternariol, citrinin, fomannoxin, ochratoxins, patulin, trichothecenes and zearalenone analogues are reviewed in detail. The recent development and applications of mycotoxins detoxification through biotransformation are also discussed.
Keywords:
fungi; mycotoxins; phytotoxins; detoxification; biotransformation; living organisms; enzymes; food safety and feed safety Key Contribution:
This review provides insight into detoxification of mycotoxins through biotransformation which should be a strategy for the management of mycotoxins in foods and feeds.
1. Introduction
Mycotoxins are toxic secondary metabolites produced by fungi mainly belonging to the genera of Alternaria, Aspergillus, Fusarium and Penicillium. Mycotoxins may infer serious risks such as carcinogenic, teratogenic, mutagenic and immunosuppressive effects on animal and human health, and lead to economic loses. Several detoxification strategies, including physical [1,2], chemical [3] and biotransformation [4,5,6,7,8] approaches, have been reported. Chemical strageties use acids, bases, oxidizing agents and aldehydes to modify the structure of mycotoxins, which has led to increased public concerns over the chemical residues in food and feed [9,10]. Some physical strategies such as the application of adsorption agents presented no sufficient effect against mycotoxins [11]. Although physical and chemical methods for mycotoxin detoxification met with varying degrees of success, limited efficacy and losses of important nutrients still hamper their applications in food industries [11]. In contrast, biotransformation methods, which have high specificity, produce harmless products, and even lead to complete detoxification under mild and environmentally friendly conditions, have been recognized as the promising solution for decontamination of mycotoxins [6,11]. Living organisms including bacteria, fungi, plants and animals, as well as the isolated enzymes, have been used for biotransformation. They are able to metabolize, destroy or deactivate mycotoxins into stable, less toxic or even nontoxic products [12].
To our knowledge, no detailed review has focused on detoxification of mycotoxins through biotransformation though a series of reviews on the detoxification of certain mycotoxins have been published over the last 20 years [4,5,7,8,13,14,15,16,17,18,19]. Furthermore, significant advances in the knowledge on detoxification of mycotoxins by biotransformation have been achieved recently. This mini-review mainly presents detoxification of mycotoxins through biotransformation of bacteria, fungi, plants and animals, as well as the isolated enzymes, with specific attentions to the reaction types, and detoxifications of some important mycotoxins.
2. Reaction Types of Mycotoxin Biotransformation
The reaction types involved in the mycotoxin biotransformations are summarized according to the classes of chemical reactions as follows: (i) hydroxylation; (ii) oxido-reduction between alcohols and ketones; (iii) hydrogenation of the carbon-carbon double bond; (iv) de-epoxidation; (v) methylation; (vi) glycosylation and glucuronidation; (vii) esterification; (viii) hydrolysis; (ix) sulfation; (x) demethylation; (xi) deamination; and (xii) miscellaneous reactions. The substrates, products, bioconversion systems including organisms or enzymes participating in the biotransformations of mycotoxins are summarized in Table 1, Table 2, Table 3, Table 4, Table 5, Table 6, Table 7, Table 8, Table 9, Table 10, Table 11, Table 12 and Table 13. The corresponding conversion reactions are shown in Figures S1–S76 (see Supplementary Materials).
Table 1.
Hydroxylation of mycotoxins.
Table 2.
Oxido-reduction between alcohols and ketones of mycotoxins.
Table 3.
Reduction of the carbon-carbon double bond of mycotoxins.
Table 4.
De-epoxidation of mycotoxins.
Table 5.
Other oxido-reductions of mycotoxins.
Table 6.
Methylation of mycotoxins.
Table 7.
Glycosylation and glucuronidation of mycotoxins.
Table 8.
Esterification of mycotoxins.
Table 9.
Hydrolysis of mycotoxins.
Table 10.
Sulfation of mycotoxins.
Table 11.
Demethylation of mycotoxins.
Table 12.
Deamination of mycotoxins.
Table 13.
Miscellaneous biotransformation of mycotoxins.
2.1. Hydroxylation
Hydroxylation of mycotoxins is a biotransformation process that introduces a hydroxyl group (-OH) into the molecule (Table 1). Regio- and stereoselective introduction of hydroxyl groups at the various positions of the molecule are often facilitated by the enzymes called hydroxylases. Hydroxylation often increases the polarity of mycotoxins, and reduce their toxicity.
Aflatoxin B1 (AFB1, 1) was converted to either aflatoxin M1 (AFM1, 2) (Figure S1) by channel catfish liver [20] or aflatoxin Q1 (AFQ1, 3) by rat liver microsomal cytochrome P450p [21]. AFB1 (1) was also simultaneously hydroxylated to AFM1 (2) and AFQ1 (3) by hepatic microsomal mixed-function oxidase from the rhesus monkey [22]. Similarly, aflatoxin B2 (AFB2, 4) was simultaneously converted to aflatoxin M2 (AFM2, 5) and aflatoxin Q2 (AFQ2, 6) by animal liver microsomes (Figure S2) [14].
Both alternariol (AOH, 7) and alternariol 9-O-methyl ether (AME, 8) are the main mycotoxins produced by the fungi from the genus Alternaria. The monohydroxylated products of AOH (7) and AME (8) were identified as 2-hydroxy AOH (9), 4-hydroxy AOH (10), 8-hydroxy AOH (11) and 10-hydroxy AOH (12), 2-hydroxy AME (13), 4-hydroxy AME (14), 8-hydroxy AME (15) and 10-hydroxy AME (16), when AOH (7) and AME (8) were, respectively, incubated with the microsomes from rat, human and porcine livers (Figures S3 and S4) [23].
Destruxin B (17) is a phytotoxin produced by the phytopathogenic fungus Alternaria brassicae. Destruxin B (17) can be detoxified into hydroxydestruxin B (18) by the hydroxylase from cruciferous plants such as Brassica napus (Figure S5). It was considered as an important detoxification step made by the host plant [24,25].
Fusaric acid (FA, 19), also called 5-butylpicolinic acid, is a host non-specific phytotoxin produced by the fungi from the genus Fusarium [26]. FA (19) was converted to 8-hydroxyfusaric acid (20) with hydroxylation by the fungus Mucor rouxii (Figure S6) [27].
Ochratoxin A (OTA, 21) consists of a chlorinated dihydroisocoumarin linked through a 7-carboxyl group to L-phenylalanine by an amide bond. OTA (21) was hydroxylated into 7-carboxy-(2′-hydroxy-1-phenylalanine-amide)-5-chloro-8-hydroxy-3,4-dihydro-3R- methylisocoumarin (22) and a dihydrodiol derivative (23) by a Gram-negative bacterium Phenylobacterium immobile (Figure S7) [28].
(4R)-4-Hydroxyochratoxin A (24), or 4-hydroxyochratoxin A, was isolated from the urine of rats after injection with OTA (21), which indicated that OTA (21) was converted to (4R)-4-hydroxyochratoxin A (24) (Figure S8) [29].
OTA (21) was hydroxylated into (4R)-4-hydroxyochratoxin A (24) and (4S)-4-hydroxyochratoxin A (25) as well as 10-hydroxyochratoxin A (26) by rabbit liver microsomes (Figure S9) [30,31].
When ochratoxin B (OTB, 27) was incubated with horse radish peroxidase (HPR), the high level of the hydroquinone metabolite of ochratoxin (OTHQ, 28) was produced (Figure S10). It indicated that the hydroquinone redox couple played a significant role in OTB-mediated toxicity [32].
Sterigmatocystin (STC, 29) was found to be produced by more than 30 fungal species, particularly by Aspergillus species such as A. flavus, A. parasiticus, A. versicolor and A. nidulans [33]. STC (29) has an aflatoxin-like structure including a furofuran ring system. Like AFB1 (1), STC (29) is a liver carcinogen and forms DNA adducts after metabolic activation to an eposide at the furofuran ring. Incubation of STC (29) with the hepatic microsomes of humans and rats, 9-hydroxy-STC (30) via hydroxylation of STC (29) aromatic ring was formed (Figure S11) [34].
T-2 toxin (31) was principally produced by different Fusarium species, detected in many crops including oats, wheat and barley. Enzyme CYP3A37 hydrolyzed the conversion of T-2 toxin (31) to 19-OH T-2 toxin (or called 3′-OH T-2 toxin, 32) by chicken CYP3A37 reconstituted with NAPH-cytochrome P450 reductase (CPR) and cytochrome b5 produced by Escherichia coli (Figure S12) [35]. In addition, the heterologously expressed CYP1A5 in HeLa cells also metabolized T-2 toxin (31) into 19-OH T-2 toxin (32) by the 19-hydroxylation of isovaleryl group [36]. 19-Hydroxy T-2 toxin (32) has been found to be more toxic than T-2 toxin (31). Therefore, it will be more toxic to the body when T-2 toxin (31) is transformed to 19-OH T-2 toxin (32) in humans and animals [37].
Zearalenone (ZEN, 33) was converted into (5S)-5-hydroxy ZEN (34) with hydroxylation of the aliphatic ring of ZEN (33) by the fungus Cunninghamella bainieri (Figure S13) [38]. By using reference compounds and ZEN (33) labeled with deuterium at specific positions, evidence was provided for the preferential hydroxylation of ZEN (33) at C-8 and, to a lesser extent, at C-5, C-9 and C-10 with rat liver microsomes. The stereochemistry of the aliphatic hydroxylation products of ZEN (33) needs to be further studied [39]. In addition, ZEN (33) was converted into two monohydroxylated metabolites namely 13-hydroxy-ZEN (35) and 15-hydroxy-ZEN (36) with aromatic hydroxylation by human hepatic (liver) microsomes (Figure S14) [40].
2.2. Oxido-Reduction between Alcohols and Ketones
Oxido-reduction between alcohols and ketones of mycotoxins include: (i) oxidation of the hydroxyl group and (ii) reduction of the carbonyl group (Table 2).
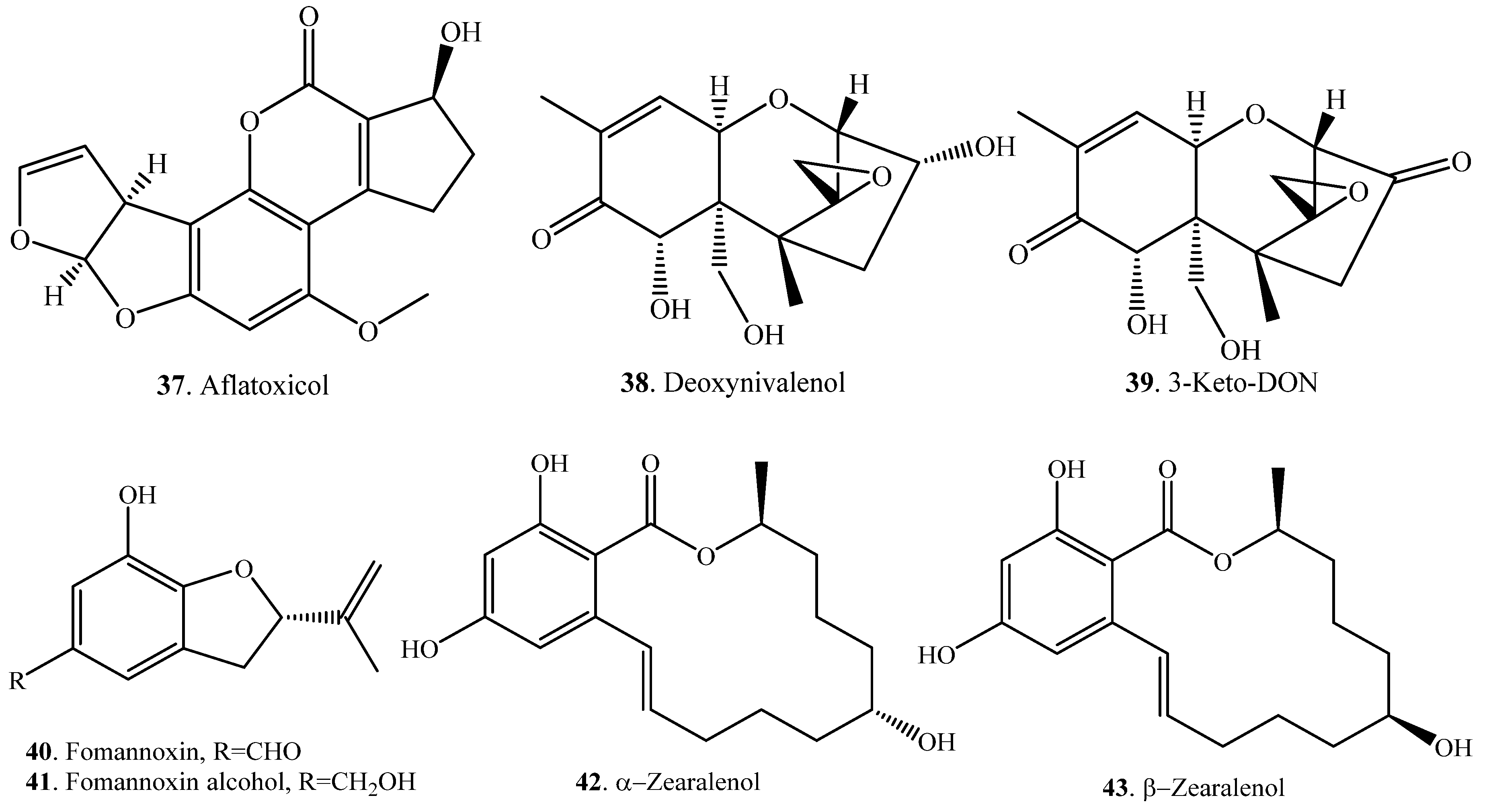
Aflatoxin B1 (AFB1, 1) was converted into alflatoxicol (37) through reduction of the keto group to the hydroxyl group by several fungi such as Eurotium herbariorum, Rhizopus sp. and non-aflatoxin-producing Aspergillus flavus (Figure S15) [41].
A dehydrogenase responsible for the selective oxidation of deoxynivalenol (DON, 38) at C-3 position by converting DON (38) to 3-keto-DON (39) was revealed from the bacterium Devosia sp. (Figure S16) [42].
Fomannoxin (40) is a benzohydrofuran phytotoxin that was produced by the forest pathogen Heterobasidion annosum during the infection process [43]. When fomannoxin (40) was added in the cell cultures of Pinus sylvestris, the phytotoxin was transformed into the non-toxic formannoxin alcohol (41) (Figure S17) [44].
Zearalonone (ZEN, 33) was transformed to both α-zearalenol (α-ZEL, 42) and β-zearalenol (β-ZEL, 43) with reduction by the fungi Candida tropicalis (Figure S18) [45], Saccharomyces cerevisae [46], Torulaspora delbruckii [46] and Zygosaccharomyces rouxii [46]. In contrast, only α-ZEL (42) was transformed from ZEA by Pichia fermentans and several yeast strains of the genera Candida, Hansenula, Brettanomyces, Schizosaccharornyces and Saccharomycopsis [46], as well as Rhizopus sp. and Aspergillus sp. [47].
2.3. Hydrogenation of the Carbon-Carbon Double Bond
Hydrogenation of the carbon-carbon double bond of mycotoxins means the reduction of a C-C double bond through biotransformation (Table 3). Aflatoxin B1 (AFB1, 1) was converted to AFB2 (4) with hydrogenation by the fungus Penicillium raistrickii (Figure S19) [14]. Zearalenone (ZEN, 33) was transformed to zearalanone (ZAN, 44) with reduction of the carbon-carbon bond in ovine (Figure S20) [49].
2.4. De-Epoxidation
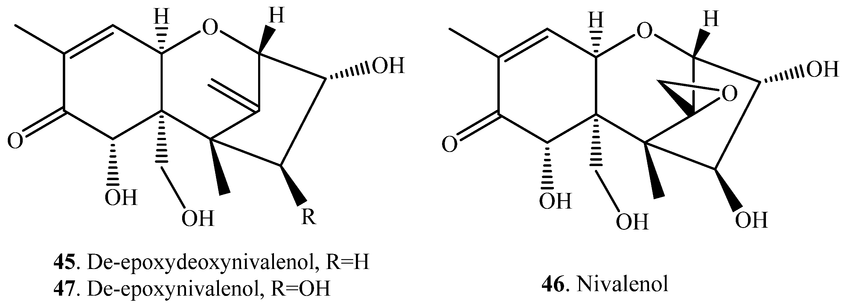
De-epoxidation of mycotoxins is commonly found in trichothecene analogues (Table 4) [50,51]. Trichothecene toxicity depends heavily upon the epoxide moiety of the molecule, and opening the epoxide ring dramatically reduces the toxicity [52].
Deoxynivalenol (DON, 38) was converted to deepoxydeoxynivalenol (DOM, 45) with de-epoxidation by Eubacterium sp. DSM11798 (Figure S21) [50].
Nivalenol (NIV, 46) belongs to group B trichothecenes. NIV (46) was converted to de-epoxynivalenol (de-epoxy-NIV, 47) with de-epoxidation by the bacterium Eubacterium sp. BBSH 797 (Figure S22) [51]. Similarly, after the male Wistar rats were orally administered with NIV (46), a metabolite was isolated from rat feces and identified as de-epoxy-NIV (47), namely 3,4,7,15-tetrahydroxytrichothec-8,12-dien-8-one (Figure S22) [53].
2.5. Other Oxido-Reductions
Other oxido-reductions of mycotoxins include epoxidation, oxidation of alcohols to acids, reduction of acids to alcohols, and multi-step oxido-reductions (Table 5). Aflatoxin B1 (AFB1, 1) was catalyzed into AFB1-8,9-epoxide (48) by channel catfish liver microsomes (Figure S23) [20]. AFB1 (1) was also transformed to AFB1-8,9-dihydrodiol (49) by the fungus Phanerochaete sordia (Figure S24) [54].
Two Alternaria toxins with a perylene quinone structure, altertoxin II (ATX II, 50) and stemphyltoxin III (STTX III, 51) were reduced to alcohols in human colon Caco-2 cells, resulting in the formation of altertoxin I (ATX I, 52) and alteichin (ALTCH, 53), respectively (Figure S25). ATX II (50) was also reduced to ATX I (52) in other human tumor cell lines such as HCT 116, HepG2 and V79 [55].
Botrydial (54) was converted to dihydrobotrydial (55) and secobotrytrienediol (56) with a few oxido-reductions by the fungus Botrytis cinerea (Figure S26) [56].
Citrinin (CTN/CIT, 57) is a polyketide nephrotoxic mycotoxin commonly present as a natural hazardous contaminant both in food and feed world wide. It was first isolated from the fungus Penicillium citrinum [8]. Dihydrocitrinone (DH-CTN, 58) was detected as the main metabolite of CTN (57) (Figure S27) in the urine of rats [57] and humans [58]. CTN (57) induced a concentration-dependent increase in micronucleus frequencies at concentrations ≥30 μM, wheas DH-CTN (58) showed no genotoxic effect up to 300 μM. Thus, conversion of CTN (57) to DH-CTN (58) in humans can be regarded as a detoxification step [58].
Fomannoxin (40) is a phytotoxic dihydrobenzofuran produced by the fungi from genus Heterobasidion (Fomes) [43]. Fomannoxin (40) was added to the cultures of rhizosphere-associated Streptomyces sp. AcH 505, it was converted into different products by oxido-reduction, most of products retained phytotoxic activity. These products included fomannoxin alcohol (41), fomannoxin acid (59), fomannoxin amide (60), 2,3-dihydro-2-(2′-hydroxyisopropanyl)-5-benzofurancarboxylic acid (MFA-1, 61), 2,3-dihydro-3-hydroxyl-2-isopropenyl-5-benzofurancarboxylic acid or 3-hydroxyl-fomannoxin acid (MFA-2, 62) and 2,3-dihydro-2-(1′,2′-dihydroxyisopropanyl)-5-benzofurancarboxylic acid (DFA, 63) (Figure S28) [48].
Fusaric acid (FA, 19) was reduced to fusarinol (64), also called 5-butyl-2-pyridinemethanol, by the fungus Aspergillus tubingensis (Figure S29) [59]. Fusarinol (64) was significantly less phytotoxic than fusaric acid (19). In fusarinol (64), the acid has been reduced to an alcohol group. The reduced phytotoxicity of fusarinol (64) indicates the importance of the carboxylic acid in the toxic function of FA (19). The fungus A. tubingensis provides a novel detoxification mechanism against FA (19), which may be utilized to control Fusarium wilt [59].
The marine yeast Kodameae ohmeri was found to transform patulin (PAT, 65) into E-ascladiol (66) and Z-ascladiol (67) through reduction (Figure S30). High transformation rate was at a temperature of 35 °C and pH between 3 and 6 that indicated the potential application of K. ohmeri for PAT (65) detoxification of the contaminated products [60]. E-ascladiol (66) and Z-ascladiol (67) have been found to exhibit no signs of toxicity towards human cell lines derived from the intestinal tract, kidney, liver and immune system, which demonstrates that PAT (65) detoxification strategies leading to the accumulation of ascladiols should be approaches to limit the PAT (65) risk [61]. When PAT (65) was added in the cell cultures or cell-free supernatant of Lactobacillus plantarum, it was transformed to E-ascladiol (66) and Z-ascladiol (67), which were further transformed into hydroascladiol (68) over a 4-week cell-free incubation at 4 °C (Figure S31) [62].
2.6. Methylation
Methylation of myctoxins was observed on the hydroxyl groups. The transformation was catalyzed by O-methyltransferase (Table 6).
Alternariol (AOH, 7) was converted into alternariol 9-O-methyl ether (AME, 8) by methylation through an alternariol O-methyltranferase. The methyl donor was S-adenosyl-L-methionine (SAM) (Figure S32) [63].
Zearalenone (ZEN, 33) was converted into zearalenone 16-methyl ether (69) and zearalenone 14,16-bis (methyl ether) (70) by the fungus Cunninghamella bainieri (Figure S33). Zearalenone 16-methyl ether (69) showed similar estrogenic activity compared with the parent compound ZEN (33). However, zearalenone 14,16-bis (methyl ether) (70) exhibited inactive estrogenic effect [38].
2.7. Glycosylation and Glucuronidation
Glycosylation/glucuronidation of mycotoxins is the process by which a glucose or glucuronic acid is covalently attached to a hydroxyl group (Table 7). Glycosylation/glucuronidation often increases the polarity of mycotoxins, and reduce their toxicity. Many glycosyltransferases of mycotoxins are present in plants. A UDP-glucosyltransferase involved in the detoxification of deoxynivalenol was revealed from rice (Oryza sativa) [65].
Alternariol (AOH, 7) could be glycosylated into 3-O-β-d-glucopyranosyl AOH (71), 9-O-β-d-glucopyranosyl AOH (72), 9-O-β-d-glucopyranosyl (1→6)-β-d-glucopyranosyl AOH (73) by suspension cultured cells of Nicotiana tabacum (Figure S34) [66]. The suspension cultured cells of N. tabacum had also the ability to transform alternariol 9-O-methyl ether (AME, 8) into 3-O-β-d-glucopyranosyl AME (74) and 7-O-β-d-glucopyranosyl AME (75) through glycosylation (Figure S35) [66]. In addition, both AOH (7) and AME (8) were metabolized to their corresponding sulfate conjugates in cultures of Alternaria alternata. The sulfates such as AOH 3-sulfate (76), AOH 9-sulfate (77) and AME 3-sulfate (78) were subsequently conjugated to their sulfoglucosides AOH 3-sulfate-9-O-glucoside (79), AOH 9-sulfate-3-O-glucoside (80) and AME 3-sulfate-7-O-glucoside (81) in either tomato tissues or tobacco cultured cells (Figure S36) [67].
Curvularin (82) is a macrocyclic lactone produced by a number of fungi from the genera Curvularia, Penicillium and Alternaria, and have been reported to possess a variety of biological activities including phytotoxicity [68]. Curvularin (82) was converted into curvularin 11-O-β-d-glucopyranoside (83) and curvularin 4′-O-methyl-11-O-β-d-glucopyranoside (84) with glycosylation and methylglycosylation through the the fungus Beauveria bassiana (Figure S37) [69].
Deoxynivalenol (DON, 38) is the main trichothecene toxin produced by the Fusarium species and a relevant virulence factor in Fusarium head blight (FHB) disease of cereal crops. Trichothecene toxins inhibited eukaryotic protein synthesis and elicited a wide range of pathophysiological effects in humans and animals. DON (38) could be glycosylated to DON 3-O-β-d-glucoside (D3G, 85), which was a masked mycotoxin, by a recombinant UDP-glucosyltranferase from rice (Figure S38) [70]. DON (38), deepoxy-deoxynivalenol (DOM, 45), iso-deoxynivalenol (iso-DON, 86) and iso-deepoxy-deoxynivalenol (iso-DOM, 87) were respectively transformed to a series of glucuronides (88–97) by glucuronidation through rat liver microsomes (RLM) or human liver microsomes (HLM) (Figures S39–S42) [71,72].
Both 15-monoacetoxyscirpenol (15-MAS, 98) and 4,15-diacetoxyscirpenol (4,15-DAS, 99) were produced by the fungi from the genus Fusarium such as F. sporotrichioides and F. poae [73]. In corn plants, both 15-MAS (98) and 4,15-DAS (99) were, respectively, transformed to 15-MAS 3-glucoside (100) and 4,15-DAS 3-glucoside (101), which were called masked mycotoxins. The structures of transformed products (99 and 100) were deduced on the basis of accurate mass measurements of characteristic ions and fragmentation patterns by using high-resolution liquid chromatography–Orbitrap mass spectrometric analysis. Although their absolute structures were not clarified, 3-OH glucosylation appeared to be the most probable (Figure S43) [74,75]. As the authors used Fusarium sp. infected corn material, it is not clear whether the corn plant or the fungus itself produced the glucosides just like formation of MAS glucoside [76] as well as the glucosides of HT-2 and MAS [77] produced by Fusarium species.
4,15-Diacetoxyscirpenol (4,15-DAS, 99) was transformed to 4,15-DAS 3-glucuronide (102) with glucuronidation in rats (Figure S44) [78].
Hydroxydestruxin B (103) was glycosylated into glucosyl hydroxydestruxin B (104) in cruciferous plants such as Brassica napus (Figure S45) [24]. Fungal phytotoxin detoxification should be a resistance mechanism of crucifers against pathogens [25].
T-2 toxin (31) was converted into T-2 toxin 3-O-α-d-glucoside (105) with glycosylation by the fungi Blastobotrys muscicola and B. robertii (Figure S46) [79]. In animal tissures, T-2 toxin (31) was transformed to T-2 toxin-3-O-β-d-glucuronide (T-2 GlcA, 106) by UDP glucuronyl transferase (UDPGT) released from rat liver microsomes (Figure S47) [80].
Zearalenone (ZEN, 33) was glycosylated into zearalenone 14-O-glucoside (ZEN 14-O-Glc, 107) by Arabidopsis UDP-glucosyltransferases expressed in Saccharomyces cerevisiae (Figure S48) [81]. Similarly, ZEN (33) was converted to ZEN 14-O-Glc (107) with glycosylation by the fungi Mucor vainieri and Thamnidium elegans [82]. ZEN (33) was simultaneously glycosylated into ZEN 14-O-Glc (107) and zearalenone 16-O-glucoside (ZEN 16-O-Glc, 108) by a barley UDP-glucosyltransferase expressed in Saccharomyces cerevisiae (Figure S49) [83]. The monoglucosides (i.e., ZEN 14-O-Glc and ZEN 16-O-Glc) could be further transformed to ZEN 14,16-di-glucoside (109) by the recombinant barley glucosyltransferase (Figure S50) [84].
2.8. Esterification
Esterification of mycotoxins is a reaction to form ester mainly from alcohols and carboxylic acids (Table 8). Ochratoxin A (OTA, 21) was converted to OTA methyl ester (110) by the cell cultures of wheat and maize (Figure S51) [31].
T-2 toxin (31) was converted to 3-acetyl T-2 toxin (111) with acetylation by bovine rumen fluid in vitro (Figure S52) [85].
2.9. Hydrolysis
Both ester and amide bonds of mycotoxins were widely investigated for hydrolysis (Table 9) [79,80,86,87]. A crude cell-free extract from cultures of Fusairum sp. strain C37410-90 possessed significant esterase activity and hydrolyzed the 3-acetyl deoxynivalenol (3-acetyl DON, 112) to DON (38) (Figure S53) [88]. This de-acetylation was also found in the fungus Sphaerodes mycoparasitica incubated with 3-acetyl DON (112) [87].
4,15-Diacetoxyscirpenol (4,15-DAS, 99) is a potent mycotoxin produced by some Fusarium species. 4,15-DAS (99) was hydrolyzed to either 4-monoacetoxyscirpenol (4-MAS, 113) or 15-monoacetoxyscirpenol (15-MAS, 98), and the final product was scirpentriol (SCP, 114) with deacetylation in rats (Figure S54) [78].
Fumunisin B1 (FB1, 115) was transformed to the hydrolyzed FB1 namely aminopentol 1 (AP1, 116), with hydrolysis by the fungus Exophiala spinifera 2141.10 (Figure S55) [89]. FB1 (115) was also converted to AP1 (116) either with the enzyme from the bacterium Sphingopyxis sp. MTA144 [90] or with carboxylesterase FumD [91].
Fusarenon-X (FX, 117) was hydrolyzed into nivalenol (NIV, 46) via deacetylation in mice [92] and goat (Capra hircus) [93] excreted mainly in urine (Figure S56). The liver and kidney are the organs responsible for the conversion of FX (117) to NIV (46).
The crude lipase from Aspergillus niger was screened to degrade ochratoxin A (OTA, 21) to nontoxic OTα (118) and L-β-phenylalanine (119) (Figure S57) among 23 commercial hydrolases [94]. Other active enzymes having the same conversion included protease A, prolyve PAC and pancreatin [95], as well as carboxypeptidase A [96]. In addition, OTA (21) was found to be hydrolyzed to OTα (118) and L-β-phenylalanine (119) by Aspergillus niger [97] and Bacillus amyloliquefaciens [98].
OTA (21) was converted into a lactone-opened ochratoxin A (OP-OTA, 120), which was named N-[3-carboxy-5-chloro-2-hydroxy-4-(2-hydroxypropyl) benzoyl]-L-phenylalanine (Figure S58) [99]. OP-OTA (120) was tested to be more toxic than the parent molecule which indicated that the lactone ring was not considered to be responsible for the toxic activity of OTA (21) [16].
Ochratoxin C (OTC, 121), which was also called OTA ethyl ester, was hydrolyzed into OTA (21) by deacetylation in rats after oral and intravenous administration (Figure S59). The very fast conversion of OTC (121) into OTA (21) is a possible explanation of the similar toxicity of ocratoxins A (21) and C (121) to animals and humans [100].
T-2 toxin (31) was selectively hydrolyzed at C-4 by the bacterium Eubacterium BBSH 797, giving rise to HT-2 toxin (122) as the only metabolite (Figure S60) [86]. The previous study on the metabolism of T-2 toxin (31) in livers of rabbits, rats, guinea pigs and mice also showed that T-2 toxin (31) was only hydrolyzed at C-4 to HT-2 toxin (122) by deacetylation [101].
In the rat liver and intestines, T-2 toxin (31) was first hydrolyzed into HT-2 toxin (122), which was further converted to 15-acety-tetraol (123), which was finally transformed to T-2 tetraol (124) with hydrolyzation (Figure S61) [102].
In addition, T-2 toxin (31) was selectively hydrolyzed at C-8 resulting in the removal of isovaleryl group by the fungus Blastobotrys capitulate to neosolaniol (125) (Figure S62) [79].
2.10. Sulfation
Sulfation of mycotoxins is the sulfotransferase-catalyzed conjugation of a sulfo group on a hydroxyl group (Table 10). Both deoxynivalenol (DON, 38) and zearalenone (ZEN, 33) were converted to their corresponding sulfates DON 3-sulfate (126) and ZEN 14-sulfate (127) (Figure S63) by the fungus Sphaerodes mycoparasitica [87]. ZEN (33) was also found to be converted to ZEN 14-sulfate (127) by pigs [103]. Both DON 3-sulfate (126) and ZEN 14-sulfate (127) were less toxic than DON (38) and ZEN (33), respectively [87].
2.11. Demethylation
Demethylation of mycotoxins is the process resulting in the removal of a methyl group from a molecule (Table 11). A common way of mycotoxin demethylation is replacement of a methoxyl group by a hydroxyl group. Alternariol 9-O-methyl ether (AME, 8) was converted to alternariol (AOH, 7) with demethylation by the homogenate of porcine liver in the presence of NADPH (Figure S64) [104].
Aflatoxin B1 (AFB1, 1) was converted to aflatoxin P1 (AFP1, 128) with demethylation by the enzyme CYP321A1 from corn earworm Helicoverpa zea (Figure S65). AFP1 (128) was more polar and less toxic than AFB1 (1) [105].
2.12. Deamination
Deamination of mycotoxins is the removal of an amino group from a molecule catalyzed by the deaminase (Table 12). Fumonisin B4 (FB4, 129) was transformed into fumonisins La4 (Fla4, 130) and Py4 (FPy4, 131) through oxidative deamination by Aspergillus sp. (Figure S66) [106]. Using a duckweed (Lemna minor) bioassay, both Fla4 (130) and FPy4, (131) were significantly less toxic in comparision to the fumonisin B mycotoxins. This demonstrated that Aspergillus fungi have the ability to produce enzymes that could be used for fumonisin detoxification [106].
Hydrolyzed fumonisin B1 (HFB1, 116), which was also named as aminopentol 1 (AP1), was converted into 2-keto HFB1 (132) or namely 2-keto AP1 through oxidative deamination by the fungus Exophiala spinifera (Figure S67) [107].
2.13. Miscellaneous Reactions
Many other types of biotransformation of mycotoxins have also been reported, such as epimerization, epoxidation, dehydrogenation, dechlorination and their multi-step conversions (Table 13).
Aflatoxin B1 (AFB1, 1) was converted to dihydrohydroxyaflatoxin B1 (133), which was also named as aflatoxin B2a (AFB2a), via reduction and oxidation by Pleurotus ostreatus GHBBF10 (Figure S68) [108].
AFB1 (1) was detoxified to aflatoxin D1 (AFD1, 134), aflatoxin D2 (AFD2, 135) and aflatoxin D3 (AFD3, 136) through hydrolysis, decarboxylation, and oxidation-reduction by Pseudomonas putida, which was isolated from sugarcane (Figure S69). The conversion mechanism from AFB1 (1) to AFD1 (134) was also entirely elucidated [109]. Cytotoxicity study clearly implied that AFD1 (134) was non-toxic, and both AFD2 (135) and AFD3 (136) were much less toxic by comparing with AFB1 (1) [110].
Alternariol (AOH, 7) was transformed to 3-O-(6-O-malonyl-β-d-glucopyranosyl) AOH (137) and 9-O-(6-O-malonyl-β-d-glucopyranosyl) AOH (138) through glycosylation and esterification by the cell cultures of Nicotiana tabacum (Figure S70) [66]. Similarly, alternariol 9-O-methyl ether (AME, 8) was also transformed to 3-O-(4-O-malonyl-β-d-glucopyranosyl) AME (139) and 3-O-(6-O-malonyl-β-d-glucopyranosyl) AME (140) with glycosylation and esterificationby by the suspension cell cultures of Nicotiana tabacum (Figure S71) [66]
Botrydial (54) was converted into botryenedial (141) with dehydration by the fungus Botrytis cinerea (Figure S72). Botryenedial (141) was less phytotoxic than botrydial (54) [56].
Citrinin (CTN, 57) was first identified as an antibiotic. It was also considered as a mycotoxin to damage DNA. CTN (57) was converted to decarboxycitrinin (142) with decarboxylation by the bacterium Moraxella sp. MB1 (Figure S73) [111]. Decarboxycitrinin (142) was also the product of heat treatment of CTN (57), and retained antibiotic activity, but was not toxic to mice [112].
Deoxynivalenol (DON, 38) was converted into 3-epi-deoxynivalenol (143) (Figure S74) with epimerization by Nocardioides sp. WSN05-2 [113], and Devosia sp. [114]. It was known that DON (38) epimerization proceeded through the formation of 3-keto-DON (39) intermediate to convert to 3-epi-deoxynivalenol (143) by a two-step biocatalysis [115].
When deoxynivalenol (DON, 38) was incubated with rat liver microsomes (RLM), the isomer iso-DON (86) was formed with isomerization [71]. Iso-DON (86), which was less toxic than DON (38), was also found to be converted from DON (38) under harsh condition non-enzymatically [116]. Other transformed products included iso-DON-3-GlcA (92), iso-DON-8-GlcA (93) and DON-8,15-hemiketal-8-GlcA (144) (Figures S75 and S76) [71]. When deepoxy-deoxynivalenol (DOM, 45) was incubated with RLM, iso-DOM (87), iso-DOM-3-GlcA (95) and iso-DOM-8-GlcA (96) were transformed with isomerization and glucuronization (Figure S77) [71].
When fomannoxin (40) was added in the cell cultures of Pinus sylvestris, formannoxin (40) was transformed into the non-toxic fomannoxin acid (59), which was further glycosylated to fomannoxin acid β-glucoside (145) with time prolonging (Figure S78) [44].
Degradation transformation of fumonisin B1 (115) comprises at least two enzymatic steps, an initial hydrolysis (deesterification reaction) to form aminopentol 1 (AP1, 116), followed by deamination of AP1 (116) to form 2-keto AP1 (132). Two recombinant enzymes carboxylesterase and aminotransferase from the bacterium Sphingopyxis sp. were expressed heterologously. Carboxylesterase catalyzed fumonisin B1 (115) to AP1 (116) with deesterification (Figure S79). Aminotransferase catalyzed AP1 (116) to 2-keto AP1 (132) with deamination in the presence of pyruvate and pyridoxal phosphate [90].
Ochratoxin (OTA, 21) was hydroxylated into (4R)-4-hydroxyochratoxin A (24) and (4S)-4-hydroxyochratoxin A (25), which were further glycosylated and esterified, respectively, by the cell cultures of wheat and maize to (4R)-4-hydroxyochratoxin A methyl ester (146), (4S)-4-hydroxyochratoxin A methyl ester (147), (4R)-4-hydroxyochratoxin A 4-O-β-d-glucoside (148) and (4S)-4-hydroxyochratoxin A 4-O-β-d-glucoside (149) (Figure S80) [31]. OTA (21) was dechlorinated into ochratoxin B (OTB, 27) in the renal microsomes of rabbits pretreated with phenobarbital (PB). OTB (27) was less toxic than OTA (21) (Figure S81) [117].
Patulin (PAT, 65) was transformed to desoxypatulinic acid (DPA, 150) with multi-step reactions (Figure S82) by the fungi Rhodotorula kratochvilovae [118] and Rhodosporidium paludigenum [119]. Conversion of PAT (65) to the less toxic desoxypatulinic acid (150) was considered a detoxification process [120].
Zearalenone (ZEN, 33) was transformed to α-zearalenol (42), β-zearalenol (43), α-zearalanol (151), β-zearalanol (152) and zearalanone (44) with multi-step oxido-reductions in human body (Figure S83) [121]. In addition, ZEN (33) was converted to hydrolyzed ZEN (155) through hydrolysis, and then to decarboxylated hydrolyzed ZEN (156) through spontaneous decarboxylation by Bacillus pumilus (Figure S84) [122]. Similar biotransformation of ZEN (33) was also observed by using a lactonase named ZHD101 from Clonostachys rosea [123,124].
3. Detoxification of Important Mycotoxins by Biotransformation
3.1. Detoxification of Aflatoxins
Aflatoxins (AFs) are a group of furanocoumarin mycotoxins mainly produced by Aspergillus species. They are threats to human and animal health, and are classified by the International Agency for Research on Cancer (IARC) as group 1 carcinogens [7,14,125,126]. The furofuran ring of AFs has been recognized as responsible for the toxic and carcinogenic activity upon metabolic activation of the C8-C9 double bond to 8-9 epoxide [7]. The epoxidation is a crucial reaction for carcinogenicity of AFs, since it allows the binding to N7-guanine and the subsequent G to T transversions in the DNA molecule [127]. Activated AFs are also able to form Schiff bases with cellular and microsomal proteins (via methionine, histidine and lysine), thus leading to acute toxicity [128]. The lactone ring also plays a role in AFs toxicity and carcinogenicity. DNA alkylation depends upon both difuranocumarin and lactone moieties of AFs [129].
Many studies have focused on the detoxification of aflatoxins [130]. However, only a few studies detected the converted products and analyzed their toxicity. Two main detoxification pathways, which are modifications of the difuran ring and coumarin structure of AFs, have been investigated. Some reviews on the detoxification of aflatoxins through biotransformation have been available [12,131,132,133,134].
Among the isolated AFs, aflatoxin B1 (AFB1, 1) is not only the compound with the highest content, but also the most toxic. It is responsible for liver cancer in animals. Microbial degradation of AFB1 (1) has been well reviewed [130]. For the AFB1 (1), biotransformation pathways mainly include epoxidation of the carbon-carbon double bond of the furan ring, hydroxylation of the difuran ring, demethylation of methoxy group of aromatic ring, reduction of carbonyl group of cyclopentenone and C3 hydroxylation of cyclopentenone [131,134]. Among them, the reduction of carbonyl group in pantan cycle to hydroxyl group by several fungal species (Figure S15) [41], and multi-step oxidation-reduction reactions of AFB1 (1) to AFD1 (134), AFD2 (135) and AFD3 (136) by Pseudomonas putida (Figure S69) [109] were effective reactions for detoxification. The main transformation pathways of AFB1 (1) are as follows.
(i) Reduction of the carbonyl group: the carbonyl group in pantan cylcle of AFB1 (1) was reduced to hydroxyl group. AFB1 (1) was converted into alflatoxicol (37) by several fungi [41]. Aflatoxicol (37) was 18 times less toxic than AFB1 (1) [130].
(ii) Epoxidation: AFB1 (1) was catalyzed into AFB1-8,9-epoxide (48), which was more toxic than AFB1 (1) [130].
(iii) Hydroxylation: AFB1 (1) was hydroxylated to AFM1 (2) and AFQ1 (3) by hepatic microsomal mixed-function oxidase from the rhesus monkey [22]. AFB1 (1) was catalyzed to AFQ1 (3) by rat liver microsomal cytochrome P450p. Furthermore, treatment of male rats with pregnenolone-16α-carbonitrile resulted in a 16-fold increase in the formation of AFQ1 (3) [21].
(iv) Reduction and oxidation: AFB1 (1) was converted to AFB2a (133), which was also called dihydrohydroxyaflatoxin B1, by Pleurotus ostreatus GHBBF10. AFB2a (133) was 200 times less toxic than AFB1 (1) [108].
(v) Demethylation: AFB1 (1) was converted to AFP1 (128) with demethylation by the enzyme CYP321A1 from corn earworm Helicoverpa zea. AFP1 (128) was more polar and less toxic than AFB1 (1) [105].
(vi) Multi-step reactions including hydrolysis, decarboxylation and oxidation-reduction: AFB1 (1) was transformed to structurally different AFD1 (134), AFD2 (135) and AFD3 (136) with hydrolysis, decarboxylation and oxidation-reduction by Pseudomonas putida. The converted products were nontoxic or much less toxic than AFB1 (1) towards HeLa cells [109,110].
3.2. Detoxification of Alternaria Toxins
Alternaria species produce several groups of mycotoxins to cause plant diseases as well as to pose human and animal health problem. Alternaria mycotoxins mainly include alternariol (AOH, 7), alternariol 9-methyl ether (AME, 8), altenuisol, altenuene, tenuazonic acid, altertoxin II (50), stemphyltoxin III (51), tentoxin and AAL-toxins. Both AOH (7) and AME (8), which belong to dibenzo-α-pyranones, are main mycotoxins [135]. They have been considered to cause esophageal cancer [136], as well as to exhibit mutagenicity and genotoxicity [137,138]. The main detoxification reactions of Alternaria toxins were glycosylation and glucuronidation by plants [66,67]. The transformation pathways of Alternaria toxins are as follows.
(i) Glycosylation: AOH (7) could be glycosylated into 3-O-β-glucopyranosyl AOH (71), 9-O-β-glucopyranosyl AOH (72), 9-O-β-glucopyranosyl (1→6)-β-d-glucopyranosyl AOH (73) by the suspension cultured cells of Nicotiana tabacum [66]. The suspension cultured cells of N. tabacum had also the ability to transform AME (8) into 3-O-β-d-glucopyranosyl AME (74) and 7-O-β-d-glucopyranosyl AME (75) through glycosylation [66]. Both the glucosides of AOH (7) and AME (8) could be further esterified into the malonyl acylation products by N. tabacum cultured cells [66]. Furthermore, the sulfate conjugates of AOH (7) and AME (8) were converted into their sulfoglucosides such as AOH 3-sulfate-9-O-glucosie (79), AOH 9-sulfate-3-O-glucoside (80) and AME 3-sulfate-7-O-glucoside (81) by tobacco suspension cells or ex planta tomato tissues [67].
(ii) Hydroxylation: Both AOH (7) and AME (8) can be hydroxylated to their monohydroxy products by the microsomes from rat, human, and porcine liver [23].
(iii) Reduction: Both altertoxin II (50) and stemphyltoxin III (51) with a perylene quinone structure were reduced to alcohols in human colon Caco-2 cells, resulting in the formation of altertoxin I (52) and alteichin (53), respectively. Altertoxin II (50) was also reduced to alcohol in other human cell lines such as HCT 116, HepG2 and V79 [55].
(iv) Methylation: AOH (7) was converted into AME (8) through an alternariol O-methyltranferase [63].
(v) Demethylation: AME (8) was demethylated into AOH (7) by the homogenate of porcine liver in the presence of NADPH [104].
3.3. Detoxification of Citrinin
Citrinin (CTN/CIT, 57) is a mycotoxin produced by the fungi from genera Monascus, Aspergillus and Penicillium, which contaminate plant seeds and other foods. CTN (57) is known as a hepata-nephrotoxinc mycotoxin with immunotoxic and carcinogenic properties [8]. The main transformation pathways of CTN (57) are as follows.
(i) Decarboxylation: CTN (57) was converted to decarboxycitrinin (142) by the bacterium Moraxella sp. MB1 [111].
(ii) Oxido-reduction: CTN (57) was transformed to dihydrocitrinone (58) in the urine of rats [57] and humans [58].
3.4. Detoxification of Fomannoxin
Fomannoxin (40) is a fungal benzohydrofuran aldehyde phytotoxin, which was produced by the forest pathogenic basidiomycete Heterobasidion annosum during the infection process [43]. Fomannoxin (40) showed growth-inhibiting effects on callus and suspension cultures of conifer cells [44]. The most effective detoxification for fomannoxin (40) was reduction by the cultured cells of Pinus sylvestris (Figure S17) [44]. The main transformation pathways of fomannoxin (40) are as follows.
(i) Reduction: when fomannoxin (40) was added in the cell cultures of Pinus sylvestris, formannoxin was transformed into the non-toxic formannoxin alcohol (41) [44].
(ii) Reduction and esterification: the transformed formannoxin alcohol (41) from fomannoxin (40) by the cell cultures of P. sylvestris was further converted to fomannoxin acid β-glucoside (145) with time prolonging [44].
(iii) Oxido-reduction: fomannoxin (40) was converted into different products such as fomannoxin alcohol (41), fomannoxinn acid (60), MFA-1 (61), MFA-2 (62), and DFA (63) through oxido-reduction by rhizosphere-associated Streptomyces sp. AcH 505. Most of the products retained phytotoxic activity [48].
3.5. Detoxification of Fumonisins
Fumonisins are mainly produced by Fusarium verticillinoids and F. proliferatum, and are structurally similar to sphingolipid long-chain bases such as sphinganine and sphingosine [17]. Fumonisin B1 (FB1, 115) is the most prevalent fumonisin and holds the highest risk for human and animal nutrition among FBs. They contaminate corn and its processed foods [139]. This feature is tightly related to their toxicity mechanism through the inhibition of the sphingolipid biosynthesis in animals, plants, and yeasts [140,141]. A wide variety of diseases in animals such as liver cancer in rats, equine leukoencephalomalacia and porcine pulmonary edema have been associated with fumonisins [142]. They may cause neural tube defects in some maize-consuming populations [143].
Detoxification of fumonisins through biotransformation mainly include hydrolysis with loss of two tricarballylic side-chains by carboxylesterase, and deamination by aminotransferase [90]. The main transformation pathways of fumonisins are as follows.
(i) Hydrolysis: FB1 (115) was hydrolyzed into aminopentol 1 (AP1, 116) with deesterification reaction by the fungus Exophiala spinifera 2141.10 [89]. FB1 (115) was also catalyzed by the recombinant carboxylesterase from the bacterium Sphingopyxis sp. [90].
(ii) Hydrolysis and deamination: FB1 (115) was hydrolyzed by carboxylesterase with loss of two tricarballylic acid (TCA) groups, followed by deamination by aminotransferase in the presence of pyruvate and pyridoxal phosphate [90].
(iii) Oxidative deamination: fumonisn B4 (FB4, 129) was transformed into fumonisins La4 (Fla4, 130) and Py4 (FPy4, 131) through oxidative deamination by Aspergillus sp. Nonaminated Fla4 (130) and FPy4 (131) was significantly less toxic in comparison to the fumonisin B mycotoxins, which provided new insight into the mechanism of fumonisin toxicity [106].
3.6. Detoxification of Ochratoxins
Ochratoxins (OTs) are a group of mycotoxins as the carcinogenic substances to humans sharing an isocoumarin moiety substituted with: (i) a phenylalanine group including ochratoxin A (OTA, 21), 10-hydroxyl-OTA (26), and OTB (27); (ii) a phenylalanine ester group including OTC (121), OTA methylester, OTB methyl ester and OTB ethyl ester; and (iii) a hydroxyl group including ochratoxin α (OTα, 118) and OTβ. Among them, OTA (21) is the most hazardous mycotoxin which has been categorized as a carcinogenic of group 2B to humans [16]. Furthermore, OTA (21) showed a number of toxic effects to animals where the most prominent one was nephrotoxicity [144]. OTA (21) can be produced by various Aspergillus and Penicillium species. The most effective detoxification for OTA (21) was hydrolysis with transformed products as OTα (118) and phenylalanine (119) by several bacterial and fungal species (Figure S57) [94,95,96,97,98,145,146,147]. The main transformation pathways of OTs are as follows [16].
(i) Hydrolysis: hydrolysis of OTs include degradations of amide and ester bonds. OTA (21) could be hydrolyzed into OTα (118) and phenylalanine (Phe, 119) by bacteria such as Bacillus amyloliquefaciens [98], Alcaligenes faecalis [145] and Brevibacterium sp. [146], as well as fungi such as Aspergillus niger [97] and A. tubingensis [147]. OTA (21) was further hydrolyzed into OTα (118) by carboxypeptidase produced by bacteria and fungi [94]. OTC (121) was also named as ochratoxin A ethyl ester which was converted into OTA (21) by deacetylation in rats after oral and intravenous administration [100]. OTA (21) was converted into a lactone-opened ochratoxin A (OP-OTA, 120), which was named N-[3-carboxy-5-chloro-2-hydroxy-4-(2-hydroxypropyl) benzoyl]-L-phenylalanine [99].
(ii) Hydroxylation: hydroxylation of OTA (21) usually occurs at its C-4, C-5, C-8′, C-9′ and C-10 positons. Hydroxylation as an inactivation pathway in animal is catalyzed by CYP 450. OTA (21) was hydroxylated into 4R-hydroxyochratoxin A in the urine of rats after injection with OTA (21) [29]. OTA (21) was hydroxylated into 7-carboxy-(2′-hydroxy-1-phenylalanine-amide)-5-chloro-8-hydroxy-3,4-dihydro-3R-methylisocoumarin (22) and a dihydrodiol derivative (23) by a Gram-negative bacterium Phenylobacterium immobile [28].
(iii) Hydroxylation and glycosylation or esterification: OTA (21) was hydroxylated into (4R)-4-hydroxyochratoxin A (24) and (4S)-4-hydroxyochratoxin A (25), which were further glycosylated or esterificated by the cell cultures of wheat and maize [31].
(iv) Esterification: OTA (21) was catalyzed to OTA methyl ester (110) by the cell cultures of wheat and maize [31].
(v) Dechlorination: OTA (21) was dechlorinated into OTB (27) in the renal microsomes of rabbits pretreated with phenobarbital (PB) [117].
3.7. Detoxification of Patulin
Patulin (PAT, 65), a polyketide lactone, exhibits genotoxic, mutagenic, carcinogenic, teratogenic and cytotoxic properties for humans and animals as well as plants [148,149]. PAT (65) can be produced by various fungal species belonging the genera Penicillium, Aspergillus and Byssochlamys, and particularly, Penicillium expansum is considered as the major producer of PAT (65), which is causative agent of the blue mold disease of stored apples [150]. Detoxification of PAT (65) through biotransformation by using yeast, bacteria and fungi have been shown good results, and it seems to be attractive since it works under mild and environment-friendly conditions [149,151]. If furan or the pyran ring of PAT (65) was destroyed, the transformed products became less or non toxic (Figures S30, S31 and S82). The main transformation pathways of PAT (65) are as follows.
(i) Oxido-reduction: when PAT (65) was added in the cell cultures or cell-free supernatant of Lactobacillus plantarum, it was transformed to E-ascladiol (66) and Z-ascladiol (67). The ascladiol isomers were then further transformed over a 4-week cell-free incubation (4 °C) into the metabolite hydroascladiol (68) [62].
(ii) Multi-step biotransformations: PAT (65) was converted into desoxypatulinic acid (DPA, 150), which was less cytotoxic than PAT (65) to in vitro human lymphocytes, by the yeast Rhodotorula kratochvilovae LS11 [118,120], and fungus Rhodosporidium paludigenum [119]. Isotopic labeling experiments revealed that DPA (150) derived from PAT (65) through hydrolysis of the γ-lactone ring and subsequent enzymatic modifications by reductase and dehydratase [118]. For PAT (65) conversion into E/Z-ascladiols (66 and 67) and DPA (150), other reported microorganisms included fungi such as Kodameae ohmeri [60], Pichia caribbica [152], Rhodotorula mucilaginosa JM19 [153], Saccharomyces cerevisiae [154] and Sporobolomyces sp. IAM 13,481 [155], as well as bacteria such as Lactobacillus plantarum [62].
3.8. Detoxification of Trichothecenes
Trichothecenes are mainly produced by the fungi from the genus of Fusarium. Other minor trichothecenes producing species are from the genera of Cephalosporium, Myrothecium, Stachybotrys, Trichoderma and Trichothecium [156,157,158]. Trichothecenes are commonly found in contaminated cereals, particularly in wheat, barley, oats and maize [15].
Trichothecenes are chemically tricyclic sesquiterpenoids, characterized by a double bond at the C-9 and C-10 position, an epoxy functional group at the C-12 and C-13 position and variable numbers of hydroxyl and acetoxy groups. Trichothecenes can be divided into four types (i.e., types A-D) according to characteristic functional groups [159]. Among them, types A and B are of more concern to humans due to their broad and highly toxicity. Data about their natural occurrence in foods are mostly limited to HT-2 toxin (122), T-2 toxin (31), DON (38), 3-acetyl DON (112), 15-acetyl DON, 4,15-DAS (99) and nivalenol (NIV, 46) due to their high toxicity and prevalent occurrence. DON (38) may be the most commonly occurring trichothecene in nature. T-2 toxin (31) does not occur as much as DON (38), but its toxicity is higher than that of DON (38) [156,160].
The double bond between C-9 and C-10, the 12, 13-epoxide ring, and hydroxyl group at C-3 have been considered as the toxicity of trichothecenes in eukaryotic organisms [161]. Removal of these groups results in a complete loss of toxicity [159]. Common toxicity effects of the trichothecenes in humans and animals include diarrhea, vomiting, feed refusal, growth retardation, immunosuppression, reduced ovarian functions/reproductive disorders and even death [162]. At the molecular level, trichothecenes bind to the ribosome, induce a ribotoxic stress leading to the activation of MAP kinases, cellular cell-cycle arrest and apoptosis [160].
Detoxification of trichothecenes via various biotransformation pathways mainly include oxygenation [163], de-epoxidation at the C-12 and C-13 positions [50,164], epimerization of hydroxyl group at C-3 position [113], glycosylation of hydroxyl groups [79] and hydrolysis of acetoxy groups [79,86]. Biotransformation systems include several bacteria and fungi along with their isolated enzymes. The main transformation pathways of trichothecenes are as follows.
(i) Glycosylation or glucuronidation: Glycosylation of C-3 hydroxy group by plant glycosyltransferase enzymes can convert trichothecenes into less toxic glycosides [65,70]. DON (38) was transformed to different mono-O-glucuronides by glucuronidation through animal liver microsomes [71]. Similarly, T-2 toxin (31) was transformed to T-2 toxin 3-O-β-d- glucuronide (106) by UDP glucuronyl transferase (UDPGT) released from rat liver microsomes [80]. In humans and animals, DON (38) is dominantly excreted as a glucuronide [165].
(ii) Epimerization: DON (38) was converted to 3-epi-deoxynivalenol (143) with epimerization by the bacterium Nocardioides sp. WSN05-2 [113].
(iii) De-epoxidation: transformation of DON (38) with de-epoxidaton at the C-12 and C-13 positions by Eubacterium sp. DSM 11798. The converted product was de-epoxydeoxynivalenol (DOM, 45) [50].
(iv) Hydrolysis: T-2 toxin (31) was hydrolyzed either into HT-2 toxin (122) by the bacterium Eubacterium sp. BBSH 797 [86] or into neosolaniol (125) by the fungus Blastobotrys capitulate [79].
3.9. Detoxification of Zearalenone Analogues
Zearalenone (ZEN, 33) is a macrocyclic phenolic β-resorcyclic acid lactone. It mainly produced by fungi belonging to the genus Fusarium such as F. graminaearum and F. culmorum. It possesses estrogenic activity in pigs, cattle and sheep [166]. Moreover, alcohol metabolites, such as α-zearalenol (42) and β-zearalenol (43) of ZEN, are also estrogenic and the effects of ZEN (33) and related metabolites on animal reproductive function have been reported [166,167]. ZEN (33) also damages the liver and kidneys and reduces immune function which leads to cytotoxicity and immunotoxicity [12]. The possible pathways available for ZEN (33) biotransformation relate mainly to the hydrolysis of the lactone ring, reduction of the ketonic carbonyl group, modification of the hydroxyl groups (i.e., sulfation and glycosylation), and reduction of the carbon-carbon double bond. The main transformation pathways of ZEN analogues are as follows.
(i) Hydrolysis: ZEN (33) was transformed to decarboxylated hydrolyzed ZEN, namely 1-(3,5-dihydroxyphenyl)- 6′-hydroxy-l’- undecen-l0′- one (154), at degradation rate of 95.7% by Bacillus pumilus ES-21 [122] or purified lactonase [123].
(ii) Reduction of the carbon-carbon double bond: ZEN (33) was transformed to zearalanone (44) with reduction of the carbon-carbon bond in ovine [49].
(iii) Reduction of the ketonic carbonyl group: ZEN (33) was converted to α-zearalenol (42) and β-zearalenol (43) with reduction of the keto group by the fungi Rhizopus sp. and Aspergillus sp. [47] and Candida tropicalis [46].
(iv) Multi-step oxido-reductions: ZEN (33) was transformed to α-zearalenol (42), β-zearalenol (43), zearalanone (44), α-zearalanol (151), β-zearalanol (152) and with multi-step oxido-reductions in human body [121].
(v) Sulfation: ZEN (33) was converted to ZEN 14-sulfate (127) by the fungus Sphaerodes mycoparasitica [87].
(vi) Methylation: ZEN (33) was converted to ZEN 16-methyl ether (69) and ZEN 14,16-bis (methyl ether) (70) by the fungus Cunninghamella bainieri. ZEN 14,16-bis (methyl ether) (70) showed an inactive estrogenic effect [38].
(vii) Glycosylation: ZEN (33) was converted to zearalenone-14-O-glucoside (107) by Arabidopsis UDP-glucosyltransferases expressed in Saccharomyces cerevisiae [81]. ZEN (33) was also glycosylated into zearalenone 14-O-β-glucoside (107) and zearalenone 16-O-β-glucoside (108) by a barley UDP-glucosyltransferase [83]. The products 107 and 108 of glycosylated ZEN showed nontoxic activity [38].
4. Conclusions and Future Perspectives
This review described detoxification of mycotoxins through biotransformation by using bacteria, fungi, plants and animals, as well as the isolated enzymes. As can be seen from the examples given in this review that both organisms and the isolated enzymes possess considerable biochemical potentials to convert mycotoxins. The recently-reported examples, coupled with the emergence of some efficient commercialized biological/enzymatic agents, highlight the promise of this approach to address the safety of animal feed and human food [11,168,169].
The reaction types and stereochemistry of conversion depend on the functional groups in the molecular structures of mycotoxins together with the specific enzymes provided by the organisms. Detoxification through biotransformation is now an important strategy to eliminate mycotoxins from food and feed. Indeed, not all converted products are nontoxic. Some converted products are still toxic or even more toxic [170,171]. Some mycotoxins are converted into the masked forms such as ZEN 14-O-glucoside (107) and ZEN 16-O-glucoside (108), which can be accumulated in organisms and cannot be eliminated [81,172,173]. Through the studies of structure-activity relationship (SAR), the essential functional groups for toxicitiy of mycotoxins have been clarified [7,161,174]. This should be the focus of the research on mycotoxin biotransformation for detoxification in the coming years.
Bacteria and fungi that can transform mycotoxins to less toxic or nontoxic products serve as a source of enzymes that can be used to decontaminate agricultural commodities or used as feed additives. More and more degradation enzymes of mycotoxins have been purified and identified from microorganisms [7,175]. The corresponding genes have been cloned and expressed in the engineered microorganisms. Both purified enzymes and engineered strains have potential applications for mycotoxin degradation in food and feed industry. Some genes that control the detoxifications of mycotoxins, such as the genes of trichothecene acetyltransferase (TRI101) [176] and the zearalenone lactonohydrolase (zhd101) [177], have been cloned and expressed in plants to limit pre-harvest contamination of crops.
In plants, sequential hydroxylation, glycosylation and demethylation of fungal phytotoxins can avoid plant cell death and overcome the fungal invader [24]. Detoxification of fungal phytotoxins through biotransformation by plants should be an important plant defensive mechanism against fungal pathogens [25].
Many other mycotoxins such as beauvericin [178,179], enniatins [180], ustiloxins [181], ustilaginoidins [182,183,184,185], sorbicillinoids [186,187] and mycotoxins from mushrooms have not been studied for their detoxification through biotransformation. Although the structures of some converted products from mycotoxins were elucidated, their toxicity to animals and humans are not clear.
In short, detoxification of mycotoxins through biotransformation provides a reliable reference strategy for the management of mycotoxins in foods and feeds. It will help us to better understand the fate of mycotoxins in animals and humans, as well as to provide basic information for the risk assessment of mycotoxins for food and feed safety. Further investigations, especially the development of methods to utilize the multi-reaction processes as well as to clone and express the genes of detoxification enzymes in organisms, will be necessary for the detoxification of mycotoxins through biotransformation.
Supplementary Materials
The following are available online at https://www.mdpi.com/2072-6651/12/2/121/s1, Figure S1. Transformation of aflatoxin B1 (1) by hepatic microsomal mixed-function oxidase of rhesus monkey, Figure S2. Transformation of aflatoxin B2 (4) with hydroxylation by animal liver microsomes, Figure S3. Transformation of alternariol (7) with hydroxylation by the microsomes from rat, human and porcine livers, Figure S4. Transformation of alternariol 9-O-methyl ether (8) with hydroxylation by the microsomes from rat, human and porcine livers, Figure S5. Transformation of destruxin B (17) with hydroxylation by crucifers such as Brassica napus, Figure S6. Transformation of fusaric acid (19) with hydroxylation by Mucor rouxii, Figure S7. Transformation of ochratoxin A (21) with hydroxylation by Phenylobacterium immobile, Figure S8. Transformation of ochratoxin A (21) with hydroxylation by rat liver microsomes, Figure S9. Transformation of ochratoxin A (21) with hydroxylation by rabbit liver microsomes, Figure S10. Transformation of ochratoxin B (27) with hydroxylation by horse radish peroxidase, Figure S11. Transformation of sterigmatocystin (29) with hydroxylation by human and rat hepatic microsomes, Figure S12. Transformation of T-2 toxin (31) with hydroxylation by chicken CYP3A37, Figure S13. Transformation of zearalenone (33) with hydroxylation by Cunninghamella bainieri, Figure S14. Transformation of zearalenone (33) with hydroxylation by human liver microsomes, Figure S15. Transformation of aflatoxin B1 (1) with reduction by several fungi, Figure S16. Transformation of deoxynivalenol (38) with oxidation by Devosia sp., Figure S17. Transformation of fomannoxin (40) with reduction by cell cultures of Pinus sylvestris, Figure S18. Transformation of zearalenone (33) with reduction by Candida tropicalis, Figure S19. Transformation of aflatoxin B1 (1) with reduction by the fungus Penicillium raistrickii, Figure S20. Transformation of zearalenone (33) with reduction in ovine, Figure S21. Transformation of deoxynivalenol (38) with de-epoxidaton by Eubacterium sp. DSM 11798, Figure S22. Transformation of nivalenol (46) with de-epoxidation by the bacterium Eubacterium sp. BBSH 797 and Wistar rats, Figure S23. Transformation of aflatoxin B1 (1) with oxidation by channel catafish microsomes, Figure S24. Transformation of aflatoxin B1 (1) with oxidation by Phanerochaete sordida YK-624, Figure S25. Transformation of altertoxin II (50) and stemphyltoxin III (51) with reduction by mammalian cells, Figure S26. Transformation of botrydial (54) with oxido-reductions by Botrytis cinereal, Figure S27. Transformation of citrinin (57) with oxido-reduction in the urine of rats and humans, Figure S28. Transformation of fomannoxin (40) with oxido-reduction by rhizosphere-associated Streptomyces sp. AcH 505, Figure S29. Transformation of fusaric acid (19) with reduction by Aspergillus tubingensis, Figure S30. Transformation of patulin (65) with reduction by the yeast Kodameae ohmeri, Figure S31. Transformation of patulin (65) with reduction by the bacterium Lactobacillus plantarum, Figure S32. Transformation of alternariol (7) with methylation by O-methyltransferase, Figure S33. Transformation of zearalenone (33) with methylation by Cunninghamella bainieri, Figure S34. Transformation of alternariol (7) with glycosylation by suspension cell cultures of Nicotiana batacum, Figure S35. Transformation of alternariol 9-O-methyl ether (8) with glycosylation by suspension cell cultures of Nicotiana batacum, Figure S36. Transformation of alternariol 3-sulfate (76), alternariol 9-sulfate (77), and alternariol 9-O-methyl ether 3-sulfate (78) by tomato tissues and cultured tobacco cells, Figure S37. Transformation of curvularin (82) with glycosylation or methylglycosylation by Beauveria bassiana, Figure S38. Transformation of deoxynivalenol (38) with glycosylation by a recombinant UDP-glucosyltransferase from rice, Figure S39. Transformation of deoxynivalenol (DON, 38) with glucuronidation by rat and human liver microsomes, Figure S40. Transformation of deepoxy-deoxynivalenol (DOM, 45) with glucuronidation by rat and humam liver microsomes, Figure S41. Transformation of iso-deoxynivalenol (iso-DON, 86) with glucuronidation by rat and human liver microsomes, Figure S42. Transformation of iso-deepoxy-deoxynivalenol (iso-DOM, 87) with glucuronidation by rat and humam liver microsomes, Figure S43. Transformation of 15-monoacetoxyscirpenol (98) and 4,15-diacetoxyscirpenol (99) with glycosylation respectively by corn plants, Figure S44. Transformation of 4,15-diacetoxyscirpenol (99) with glucuronidation in rats, Figure S45. Transformation of hydroxydestruxin B (103) with glycosylation by crucifers such as Brassica napus, Figure S46. Transformation of T-2 toxin (31) with glycosylation by Blastobotrys muscicola and B. robertii, Figure S47. Transformation of T-2 toxin (31) with glucuronidation by rat liver microsomes, Figure S48. Transformation of zeralenone (33) by Arabidopsis UDP-glucosyltransferases expressed in Saccharomyces cerevisiae, Figure S49. Transformation of zeralenone (33) by barley UDP-glucosyltransferases expressed in Saccharomyces cerevisiae, Figure S50. Transformation of zeralenone 14-O-glucoside (107) and zeralenone 16-O-glucoside (108) by the recombinant barley glucosyltransferases, Figure S51. Transformation of ochratoxin A (21) with esterification by the cell cultures of wheat and maize, Figure S52. Transformation of T-2 toxin (31) with esterification (acetylation) by Pleurotus ostreatus, Figure S53. Transformation of 3-acetyl-deoxynivalenol (112) with hydrolysis (deacetylation) by cell-free extract of Fusarium sp., Figure S54. Transformation of 4,15-diacetoxyscirpenol (99) with hydrolysis (deacetylation) in rats, Figure S55. Transformation of fumonisin B1 (115) with hydrolysis by the enzyme from Sphingopyxis sp. MTA144, Figure S56. Transformation of fusarenon-X (117) with hydrolysis (deacetylation) in animal liver, Figure S57. Transformation of ochratoxin A (21) with hydrolysis by enzymes, Figure S58. Transformation of ochratoxin A (21) with hydrolysis in rats, Figure S59. Transformation of ochratoxin C (121) with hydrolysis in rats, Figure S60. Transformation of T-2 toxin (31) with deacetylation by Eubacterium sp. 797, Figure S61. Transformation of T-2 toxin (31) with multi-step hydrolysis in rat liver and intestines, Figure S62. Transformation of T-2 toxin (31) with deesterification by the fungus Blastobotrys capitulate, Figure S63. Both deoxynivalenol (DON, 38) and zearalenone (ZEN, 33) were converted to their corresponding sulfates DON 3-sulfate (126) and ZEN 14-sulfate (127) by the fungus Sphaerodes mycoparasitica. ZEN (33) was converted to ZEN 14-sulfate (127) by pigs, Figure S64. Transformation of alternariol 9-O-methylether (AME, 8) with demethylation by the homogenate of porcine liver in the presence of NADPH, Figure S65. Transformation of aflatoxin B1 (1) with demethylation by CYP21A1 in Helicoverpa zea, Figure S66. Transformation of fumonisin B4 (129) with oxidative deamination by Aspergillus sp, Figure S67. Transformation of aminopentol 1 (AP1, 116) with oxidative deamination by Exophiala spinifera, Figure S68. Transformation of aflatoxin B1 (1) with reduction and oxidation by Pleurotus ostreatus GHBBF10, Figure S69. Transformation of aflatoxin B1 (1) with hydrolysis, decarboxylation and oxidation-reduction by Pseudomonas putida, Figure S70. Transformation of alternariol (7) through glycosylation and esterification by suspension cell cultures of Nicotiana batacum, Figure S71. Transformation of alternariol 9-O-methyl ether (8) through glycosylation and esterification by suspension cell cultures of Nicotiana batacum, Figure S72. Transformation of botrydial (54) with dehydration by Botrytis cinereal, Figure S73. Transformation of citrinin (57) with decarboxylation by Moraxella sp. MB1, Figure S74. Transformation of deoxynivalenol (38) with epimerization by Nocardioies sp. WSN05-2, Figure S75. Transformation of deoxynivalenol (DON, 38) with oxidation and glucuronidation by rate liver microsomes, Figure S76. Transformation of deoxynivalenol (DON, 38) with isomerization and glucuronidation by rate liver microsomes, Figure S77. Transformation of deepoxy-deoxynivalenol (DOM, 45) with isomerization and glucuronidation by rate liver microsomes, Figure S78. Transformation of fomannoxin (40) with oxidation and glycosylation by cell cultures of Pinus sylvestris, Figure S79. Transformation of fumonisin B1 (115) with hydrolysis and deamination by the recombinant enzymes from the bacterium Sphingopyxis sp. MTA144, Figure S80. Transformation of ochratoxin A (21) with hydroxylation further esterification or glycosylation by the cell cultures of wheat and maize, Figure S81. Transformation of ochratoxin A (21) with dechlorination in the renal microsomes, Figure S82. Transformation of patulin (65) with hydrolysis, reduction and dehydration by Rhodotorla kratochvilovae, Figure S83. Transformation of zearalenone (33) with multi-step oxido-reductions in human body, Figure S84. Transformation of zearalenone (33) with hydrolysis and decarboxylation by Bacillus pumilus.
Author Contributions
Conceptualization, L.Z. and Y.L.; Writing—original draft prepation, P.L., L.Z., R.S. and R.Y.; Writing—review and editing, D.L. and M.W. All authors have read and agreed to the published version of the manuscript.
Funding
This work was financially supported by the grants from the National Key R&D Program of China (2017YFC1600905) and the National Natural Science Foundation of China (31471729).
Conflicts of Interest
The authors declare no conflict of interest.
References
- Var, I.; Kabak, B.; Erginkaya, Z. Reduction in ochratoxin A levels in white wine, following treatment with activated carbon and sodium bentonite. Food Control 2008, 19, 592–598. [Google Scholar] [CrossRef]
- Diao, E.; Li, X.; Zhang, Z.; Ma, W.; Ji, N.; Dong, H. Ultraviolet irradiation detoxification of aflatoxins: A review. Trends Food Sci. Technol. 2015, 42, 64–69. [Google Scholar] [CrossRef]
- Freitas-Silva, O.; Venancio, A. Ozone applications to prevent and degrade mycotoxin: A review. Drug Metab. Rev. 2010, 42, 612–620. [Google Scholar] [CrossRef] [PubMed]
- McCormick, S.P. Microbial detoxification of mycotoxins. J. Chem. Ecol. 2013, 39, 907–918. [Google Scholar] [CrossRef] [PubMed]
- Hathout, A.S.; Aly, S.E. Biological detoxification of mycotoxins: A review. Ann. Microbiol. 2014, 64, 905–919. [Google Scholar] [CrossRef]
- Ji, C.; Fan, Y.; Zhao, L. Review on biological degradation of mycotoxins. Anim. Nutr. 2016, 2, 127–133. [Google Scholar] [CrossRef]
- Loi, M.; Fanelli, F.; Liuzzi, V.C.; Logrieco, A.F.; Mule, G. Mycotoxin biotransformation by native and commercial enzymes: Present and future perspectives. Toxins 2017, 9, 111. [Google Scholar] [CrossRef]
- Taheur, F.B.; Kouidhi, B.; Al Qurashi, Y.M.A.; Salah-Abbes, J.B.; Chaieb, K. Review: Biotechnology of mycotoxins detoxification using microorganisms and enzymes. Toxicon 2019, 160, 12–22. [Google Scholar] [CrossRef]
- He, J.; Zhou, T.; Young, J.C.; Boland, G.J.; Scott, P.M. Chemical and biological transformations for detoxification of trichothecene mycotoxins in human and animal food chains: A review. Trends Food Sci. Technol. 2010, 21, 67–76. [Google Scholar] [CrossRef]
- Zhu, Y.; Hassan, Y.I.; Watts, C.; Zhou, T. Innovative technologies for the mitigation of mycotoxins in animal feed and ingredients—A review of recent patents. Anim. Feed Sci. Technol. 2016, 216, 19–29. [Google Scholar] [CrossRef]
- Zhu, Y.; Hassan, Y.I.; Lepp, D.; Shao, S.; Zhou, T. Strategies and methodologies for developing microbial detoxification systems to mitigate mycotoxins. Toxins 2017, 9, 130. [Google Scholar] [CrossRef] [PubMed]
- Wang, N.; Wu, W.; Pan, J.; Long, M. Detoxification strategies for zearalenone using microorganism: A review. Microorgansims 2019, 7, 208. [Google Scholar] [CrossRef] [PubMed]
- Karlovsky, P. Biological detoxification of fungal toxins and its use in plant breeding, feed and food production. Nat. Toxins 1999, 7, 1–23. [Google Scholar] [CrossRef]
- Wu, Q.; Jezkova, A.; Yuan, Z.; Pavlikova, L.; Dohnal, V.; Kuca, K. Biological degradation of aflatoxins. Drug Metab. Dev. 2009, 41, 1–7. [Google Scholar] [CrossRef]
- Wu, Q.; Dohnal, V.; Huang, L.; Kuca, K.; Yuan, Z. Metabolic pathways of trichothecenes. Drug Metab. Rev. 2010, 42, 250–267. [Google Scholar] [CrossRef]
- Wu, Q.; Dohnal, V.; Huang, L.; Kuca, K.; Wang, X.; Chen, G.; Yuan, Z. Metabolic pathways of ochratoxin A. Curr. Drug Metab. 2011, 12, 1–10. [Google Scholar] [CrossRef]
- Vanhoutte, I.; Audenaert, K.; De Gelder, L. Biodegradation of mycotoxins: Tales from known and unexplored worlds. Front. Microbiol. 2016, 7, 561. [Google Scholar] [CrossRef]
- Peng, Z.; Chen, L.; Zhu, Y.; Huang, Y.; Hu, X.; Wu, Q.; Nussler, A.K.; Liu, L.; Yang, W. Current major degradation methods for aflatoxins: A review. Trends Food Sci. Technol. 2018, 80, 155–166. [Google Scholar] [CrossRef]
- Bryla, M.; Waskiewicz, A.; Ksieniewicz-Wozniak, E.; Szymczyk, K.; Jedrzejczak, R. Modified Fusarium mycotoxins and their products-metabolism, occurrence, and toxicity: An updated review. Molecules 2018, 23, 963. [Google Scholar] [CrossRef]
- Gallagher, E.P.; Eaton, D.L. In vitro biotransformation of aflatoxin B1 (AFB1) in channel catfish liver. Toxicol. Appl. Pharmacol. 1995, 132, 82–90. [Google Scholar] [CrossRef]
- Halvorson, M.R.; Safe, S.H.; Parkinson, A.; Phillips, T.D. Aflatoxin B1 hydroxylation by the pregnenolone-16α-carbonitrile-inducible form of rat liver microsomal cytochrome P-450. Carcinogenesis 1988, 9, 2103–2108. [Google Scholar] [CrossRef] [PubMed]
- Krieger, R.I.; Salhab, A.S.; Dalezios, J.I.; Hseh, D.P.H. Aflatoxin B1 hydroxylation by hepatic microsomal preparations from the rhesus money. Food Cosmet. Toxicol. 1975, 13, 211–219. [Google Scholar] [CrossRef]
- Pfeiffer, E.; Schebb, N.H.; Podlech, J.; Metzler, M. Novel oxidative in vitro metabolites of the mycotoxins alternariaol and alternariol methyl ether. Mol. Nutr. Food Res. 2007, 51, 307–316. [Google Scholar] [CrossRef] [PubMed]
- Pedras, M.S.C.; Zaharia, I.L.; Gai, Y.; Zhou, Y.; Ward, D.E. In planta sequential hydroxylation and glycosylation of a fungal phytotoxin: Avoiding cell death and overcoming the fungal invader. Proc. Nat. Acad. Sci. USA 2001, 98, 747–752. [Google Scholar] [CrossRef]
- Pedras, M.S.C.; Khallaf, I. Molecular interactions of the phytotoxins destruxin B and sirodesmin PL with crucifers and cereals: Metabolism and elicitation of plant defenses. Phytochemistry 2012, 77, 129–139. [Google Scholar] [CrossRef] [PubMed]
- Wang, H.; Ng, T.B. Pharmacological activities of fusaric acid (5-butylpicolinic acid). Life Sci. 1999, 65, 849–856. [Google Scholar] [CrossRef]
- Crutcher, F.K.; Puckhaber, L.S.; Bell, A.A.; Liu, J.; Duke, S.E.; Stipanovic, R.D.; Nichols, R.L. Detoxification of fusaric acid by the soil microbe Mucor rouxii. J. Agric. Food Chem. 2017, 65, 4989–4992. [Google Scholar] [CrossRef]
- Wegst, W.; Lingens, F. Bacterial degradation of ochratoxin A. FEMS Microbiol. Lett. 1983, 17, 341–344. [Google Scholar] [CrossRef]
- Stormer, F.C.; Pedersen, J.I. Formation of 4-hydroxyochratoxin A from ochratoxin A by rat liver microsomes. Appl. Environ. Microbiol. 1980, 39, 971–975. [Google Scholar] [CrossRef]
- Stormer, F.C.; Storen, O.; Hansen, C.E.; Pedersen, J.I.; Aasen, A.J. Formation of (4R)- and (4S)-4-hydroxyochratoxin A and 10-hydroxyochratoxin A from ochratoxin A by rabbit liver microsomes. Appl. Environ. Microbiol. 1983, 45, 1183–1187. [Google Scholar] [CrossRef]
- Ruhland, M.; Engelhardt, G.; Wallnofer, P.R.; Schafer, W. Transformation of the mycotoxin ochratoxin A in wheat and maize cell suspension cultures. Naturwissenschaften 1994, 81, 453–454. [Google Scholar] [CrossRef] [PubMed]
- Mally, A.; Zepnik, H.; Wanek, P.; Eder, E.; Dingley, K.; Ihmels, H.; Volkel, W.; Dekant, W. Ochratoxin A: Lack of formation of covalent DNA adducts. Chem. Res. Toxicol. 2004, 17, 234–242. [Google Scholar] [CrossRef]
- Nieto, C.H.D.; Granero, A.M.; Zon, M.A.; Fernandez, H. Sterigmatocystin: A mycotoxin to be seriously considered. Food Chem. Toxicol. 2018, 118, 460–470. [Google Scholar] [CrossRef] [PubMed]
- Pfeiffer, E.; Fleck, S.C.; Metzler, M. Catechol formation: A novel pathway in the metabolism of sterigmatocystin and 11-methoxysterigmatocystin. Chem. Res. Toxicol. 2014, 27, 2093–2099. [Google Scholar] [CrossRef] [PubMed]
- Yuan, Y.; Zhou, X.; Yang, J.; Li, M.; Qiu, X. T-2 toxin is hydroxylated by chicken CYP3A37. Food Chem. Toxicol. 2013, 62, 622–627. [Google Scholar] [CrossRef]
- Shang, S.; Jiang, J.; Deng, Y. Chicken cytochrome P4501A5 is the key enzyme for metabolizing T-2 toxin to 3′OH-T-2. Int. J. Mol. Sci. 2013, 14, 10809–10818. [Google Scholar] [CrossRef]
- Yoshizawa, T.; Sakamoto, T.; Okamoto, K. In vitro formation of 3′-hydroxy T-2 and 3′-hydroxy HT-2 toxins from T-2 toxin by liver homogenates from mice and monkeys. Appl. Environ. Microbiol. 1984, 47, 130–134. [Google Scholar] [CrossRef]
- El-Sharkawy, S.H.; Abul-Hajj, Y.J. Microbial transformation of zearalenone. 2. Reduction, hydroxylation, and methylation products. J. Org. Chem. 1988, 53, 515–519. [Google Scholar] [CrossRef]
- Hildebrand, A.A.; Pfeiffer, E.; Rapp, A.; Metzler, M. Hydroxylation of the mycotoxin zearalenone at aliphatic positions: Novel mammalian metabolites. Mycotoxin Res. 2012, 28, 1–8. [Google Scholar] [CrossRef]
- Pfeiffer, E.; Hildebrand, A.; Damm, G.; Rapp, A.; Cramer, B.; Uumpf, H.-U.; Metzler, M. Aromatic hydroxylation is a major metabolic pathway of the mycotoxin zearalenone in vitro. Mol. Nutr. Food Res. 2009, 53, 1123–1133. [Google Scholar] [CrossRef]
- Nakazato, M.; Morozumi, S.; Saito, K.; Fujinuma, K.; Nishima, T.; Kasai, N. Interconversion of aflatoxin B1 and aflatoxicol by several fungi. Appl. Environ. Microbiol. 1990, 56, 1465–1470. [Google Scholar] [CrossRef] [PubMed]
- Carere, J.; Hassan, Y.I.; Lepp, D.; Zhou, T. The enzymatic detoxification of the mycotoxin deoxynivalenol: Identification of DepA from the DON Epimerization pathway. Microb. Biotechnol. 2018, 11, 1106–1111. [Google Scholar] [CrossRef] [PubMed]
- Heslin, M.C.; Stuart, M.R.; Murchu, P.O.; Donnelly, D.M.X. Fomannoxin, a phytotoxic metabolite of Fomes annosus: In vitro production, host toxicity and isolation from naturally infected Sitka spruce heartwood. Eur. J. For. Pathol. 1983, 13, 11–23. [Google Scholar] [CrossRef]
- Zweimuller, M.; Antus, S.; Kovacs, T.; Sonnenbichler, J. Biotransformation of the fungal toxin formannoxin by conifer cell cultures. Biol. Chem. 1997, 378, 915–921. [Google Scholar] [CrossRef] [PubMed]
- Palyusik, M.; Hagler, W.M.; Horvath, L.; Microcha, C.J. Biotransformation of zearalenone to zearalenol by Candida tropicalis. Acta Vet. Acad. Sci. Hugaricae 1980, 28, 159–166. [Google Scholar]
- Boswald, C.; Engelhardt, G.; Vogel, H.; Wallnofer, P.R. Metabolism of the Fusarium mycotoxins zearalenone and deoxynivalenol by yeast strains of technological relevance. Nat. Toxins 1995, 3, 138–144. [Google Scholar] [CrossRef]
- Brodehl, A.; Moller, A.; Kunte, H.-J.; Koch, M.; Maul, R. Biotransformation of the mycotoxin zearalenone by fungi of the genera Rhizopus and Aspergillus. FEMS Microbiol. Lett. 2014, 359, 124–130. [Google Scholar] [CrossRef]
- Horlacher, N.; Nachtigall, J.; Schulz, D.; Sussmuth, R.D.; Hampp, R.; Fiedler, H.-P.; Schrey, S.D. Biotransformation of the fungal phytotoxin fomannoxin by soil streptomycetes. J. Chem. Ecol. 2013, 39, 931–941. [Google Scholar] [CrossRef]
- Miles, C.O.; Erasmuson, A.F.; Wilkins, A.L.; Towers, N.R.; Smith, B.L.; Garthwaite, I.; Scahill, B.G.; Hansen, R.P. Ovine metabolism of zearalenone to α-zearalanol (zeranol). J. Agric. Food Chem. 1996, 44, 3244–3250. [Google Scholar] [CrossRef]
- Binder, J.; Horvath, E.M.; Schatzmayr, G.; Ellend, N.; Danner, H.; Krska, R.; Braun, R. Screening for deoxynivalenol-detoxifying anaerobic rumen microorganisms. Cereal Res. Commun. 1997, 25, 343–346. [Google Scholar] [CrossRef]
- Fuchs, E.; Binder, E.M.; Heidler, D.; Krska, R. Characterisation of metabolites after the microbial degradation of A- and B-trichothecenes by BBSH797. Mycotoxin Res. 2000, 16, 66–69. [Google Scholar] [CrossRef] [PubMed]
- Zhou, T.; He, J.; Gong, J. Microbial transformation of trichothecene mycotoxins. World Mycotoxin J. 2008, 1, 23–30. [Google Scholar] [CrossRef]
- Onji, Y.; Dohi, Y.; Aoki, Y.; Moriyama, T.; Nagami, H.; Uno, M.; Tanaka, T.; Yamazoe, Y. Deepoxynivalenol: A new metabolite of nivalenol found in the excreta of orally administered rats. J. Agric. Food Chem. 1989, 37, 478–481. [Google Scholar] [CrossRef]
- Wang, J.; Ogata, M.; Hirai, H.; Kawagishi, H. Detoxification of aflatoxin B1 by manganese peroxidase from the white-rot fungus Phanerochaete sordida YK-624. FEMS Microbiol. Lett. 2011, 314, 164–169. [Google Scholar] [CrossRef] [PubMed]
- Fleck, S.C.; Pfeiffer, E.; Podlech, J.; Metzler, M. Epoxide reduction to an alcohol: A novel metabolic pathway for perylene quinone-type Alternaria mycotoxins in mammalian cells. Chem. Res. Toxicol. 2014, 27, 247–253. [Google Scholar] [CrossRef] [PubMed]
- Daoubi, M.; Duran-Patron, R.; Hernandez-Galan, R.; Benharref, A.; Hanson, J.R.; Collado, I.G. The role of botrydienediol in the biodegradation of the sesquiterpenoids phytotoxin botrydial by Botrytis cinerea. Tetrahedron 2006, 62, 8256–8261. [Google Scholar] [CrossRef]
- Dunn, B.B.; Stack, M.E.; Park, D.L.; Joshi, A.; Friedman, L.; King, R.L. Isolation and identification of dihydrocitrinone, a urinary metabolite of citrinin in rats. J. Toxicol. Environ. Health 1983, 12, 283–289. [Google Scholar] [CrossRef]
- Follmann, W.; Behm, C.; Degen, G.H. Toxicity of the mycotoxin citrinin and its metabolite dihydrocitrinoine and of mixtures of citrinin and ochratoxin A in vitro. Arch. Toxicol. 2014, 88, 1097–1107. [Google Scholar] [CrossRef]
- Crutcher, F.K.; Liu, J.; Puckhaber, L.S.; Stipanovic, R.D.; Duke, S.E.; Bell, A.A.; Williams, H.J.; Nichols, R.L. Conversion of fusaric acid to fusarinol by Aspergillus tubingensis: A detoxification reaction. J. Chem. Ecol. 2014, 40, 84–89. [Google Scholar] [CrossRef]
- Dong, X.; Jiang, W.; Li, C.; Ma, N.; Xu, Y.; Meng, X. Patulin biodegradation by marine yeast Kodameae ohmeri. Food Addit. Contam. A 2015, 32, 352–360. [Google Scholar]
- Tannous, J.; Snini, S.P.; El Khoury, R.; Canlet, C.; Pinton, P.; Lippi, Y.; Alassane-Kpembi, I.; Gauthier, T.; El Khoury, A.; Atoui, A.; et al. Patulin transformation products and last intermediates in its biosynthetic pathway, E- and Z-ascladiol, are not toxic to human cells. Arch. Toxicol. 2016, 91, 2455–2467. [Google Scholar] [CrossRef] [PubMed]
- Hawar, S.; Vevers, W.; Karieb, S.; Ali, B.K.; Billington, R.; Beal, J. Biotransformation of patulin to hydroascladiol by Lactobacillus plantarum. Food Control 2013, 34, 502–508. [Google Scholar] [CrossRef]
- Stinson, E.E.; Moreau, R.A. Partial purification and some properties of an alternariol-O-methyltransferase from Alternaria tenuis. Phytochemistry 1986, 25, 2721–2724. [Google Scholar]
- Hiltunen, M.; Soderhall, K. Inhibition of polyketide synthesis in Alternaria alternata by the fatty acid synthesis inhibitor cerulenin. Appl. Environ. Microbiol. 1992, 58, 1043–1045. [Google Scholar] [CrossRef] [PubMed]
- Wetterhorn, K.M.; Newmister, S.A.; Caniza, R.K.; Busman, M.; McCormick, S.P.; Berthiller, F.; Adam, G.; Rayment, I. Crystal structure of Os79 (Os04g0206600) from Oryza sativa: A UDP-glucosyltransferase involved in the detoxification of deoxynivalenol. Biochemistry 2016, 55, 6175–6186. [Google Scholar] [CrossRef] [PubMed]
- Hildebrand, A.A.; Kohn, B.N.; Pfeiffer, E.; Wefers, D.; Metzler, M.; Bunzel, M. Conjugation of the mycotoxins alternariol and alternariol monomethyl ether in tobacco suspension cells. J. Agric. Food Chem. 2015, 63, 4728–4736. [Google Scholar] [CrossRef] [PubMed]
- Soukup, S.T.; Kohn, B.N.; Pfeiffer, E.; Geisen, R.; Metzler, M.; Bunzel, M.; Kulling, S.E. Sulfoglucosides as novel modified forms of the mycotoxins alternariol and alternariol monomethyl ether. J. Agric. Food Chem. 2016, 64, 8892–8901. [Google Scholar] [CrossRef]
- Meepagala, K.M.; Johnson, R.D.; Duke, S.O. Curvularin and dehydrocurvularin as phytotoxic constituents from Curvularia intermedia infecting Pandaus amryllifolius. J. Agric. Chem. Environ. 2016, 5, 12–22. [Google Scholar]
- Zhan, J.; Gunatilak, A.A.L. Microbial transformation of curvularin. J. Nat. Prod. 2005, 68, 1271–1273. [Google Scholar] [CrossRef]
- Michlmayr, H.; Malachova, A.; Varga, E.; Kleinova, J.; Lemmens, M.; Newmister, S.; Rayment, I.; Berthiller, F.; Adam, G. Biochemical characterization of a recombinant UDP-glucosltransferase from rice and enzymatic production of deoxynivalenol-3-O-β-d-glucoside. Toxins 2015, 7, 2685–2700. [Google Scholar] [CrossRef]
- Schwartz-Zimmermann, H.E.; Hametner, C.; Nagl, V.; Fiby, I.; Macheiner, L.; Winkler, J.; Danicke, S.; Clark, E.; Pestka, J.J.; Berthiller, F. Glucuronidation of deoxynivalenol (DON) by different animal species: Identification of iso-DON glucuronides and iso-deepoxy-DON glucuronides as novel DON metabolites in pigs, rats, mice, and cows. Arch. Toxcol. 2017, 91, 3857–3872. [Google Scholar] [CrossRef] [PubMed]
- Schwartz-Zimmermann, H.E.; Hametner, C.; Nagl, V.; Fiby, I.; Macheiner, L.; Winkler, J.; Danicke, S.; Clark, E.; Pestka, J.J.; Berthiller, F. Correction to: Glucuronidation of deoxynivalenol (DON) by different animal species: Identification of iso-DON glucuronides and iso-deepoxy-DON glucuronides as novel DON metabolites in pigs, rats, mice, and cows. Arch. Toxcol. 2018, 92, 3245–3246. [Google Scholar] [CrossRef] [PubMed]
- Schollenberger, M.; Muller, H.-M.; Liebscher, M.; Schlecker, C.; Berger, M.; Hermann, W. Accumulation kinetics of three scirpentriol-based toxins in oats inoculated in vitro with isolates of Fusairum sporotrichioides and Fusarium poae. Toxins 2011, 3, 442–452. [Google Scholar] [CrossRef] [PubMed]
- Nakagawa, H.; Sakamoto, S.; Sago, Y.; Kushiro, M.; Nagashima, H. Detection of masked mycotoxins derived from type A trichothecenes in corn by high-resolution LC-Orbitrap mass spectrometer. Food Addit. Contam. A 2013, 30, 1407–1414. [Google Scholar] [CrossRef]
- Nakagawa, H. Research on mycotoxin glucosides (masked mycotoxins). JSM Mycotoxins 2016, 66, 21–25. [Google Scholar] [CrossRef]
- Gorst-Allman, C.P.; Steyn, P.S.; Vleggaar, R.; Rabie, C.J. Structure elucidation of a novel trichothecene glycoside using 1H and 13C nuclear magnetic resonance spectroscopy. J. Chem. Soc. Perkin Trans. 1 1985, 1985, 1553–1555. [Google Scholar] [CrossRef]
- Busan, M.; Poling, S.M.; Maragos, C.M. Observation of T-2 toxin and HT-2 toxin glucosides from Fusarium sporotrichioides by liquid chromatography coupled to tandem mass spectrometry (LC-MS/MS). Toxins 2011, 3, 1554–1568. [Google Scholar] [CrossRef]
- Roush, W.R.; Marletta, M.A.; Russo-Rodriguez, S.; Recchia, J. Trichotecene metabolism studies: Isolation and structure determination of 15-acetyl-3α-(1′β-d-glucopyranosiduronyl)-scirpen-3,4β,15-triol. J. Am. Chem. Soc. 1985, 107, 3354–3355. [Google Scholar] [CrossRef]
- McCormick, S.P.; Price, N.P.J.; Kurtzman, C.P. Glucosylation and other biotransformations of T-2 toxin by yeasts of the Trichomonascus Clade. Appl. Environ. Microbiol. 2012, 78, 8694–8702. [Google Scholar] [CrossRef] [PubMed]
- Wang, X.; Wang, Y.; Wang, Y.; Sun, L.; Gooneratne, R. Preparation of T-2-glucoronide with rat hepatic microsomes and its use along with T-2 for activation of the JAK/STAT signaling pathway in RAW264.7 cells. J. Agric. Food Chem. 2017, 65, 4811–4818. [Google Scholar] [CrossRef] [PubMed]
- Poppenberger, B.; Berthiller, F.; Bachmann, H.; Lucyshyn, D.; Peterbauer, C.; Mitterbauer, R.; Schuhmacher, R.; Krska, R.; Glossl, J.; Adam, G. Heterologous expression of Arabidopsis UDP-glucosyltransferases in Saccharomyces cerevisiae for production of zearalenone-4-O-glucoside. Appl. Environ. Microbiol. 2006, 72, 4404–4410. [Google Scholar] [CrossRef] [PubMed]
- El-Sharkawy, S.H.; Abul-Hajj, Y.J. Microbial transformation of zearalenone. 1. Formation of zearalenone-4-O-β-glucoside. J. Nat. Prod. 1987, 50, 520–521. [Google Scholar] [CrossRef]
- Paris, M.P.K.; Schweiger, W.; Hametner, C.; Stuckler, R.; Muehlbauer, G.J.; Varga, E.; Krska, R.; Berthiller, F.; Adam, G. Zearalenone-16-O-glucoside: A new masked mycotoxin. J. Agric. Food Chem. 2014, 62, 1181–1189. [Google Scholar] [CrossRef] [PubMed]
- Michlayr, H.; Varga, E.; Lupi, F.; Malachova, A.; Hametner, C.; Berthiller, F.; Adam, G. Synthesis of mono- and di-glucosides of zearalenone and α/β-zearalenol by recombinant barley glucosyltransferase HvUGT14077. Toxins 2017, 9, 58. [Google Scholar] [CrossRef] [PubMed]
- Munger, C.E.; Ivie, G.W.; Christopher, R.J.; Hammock, B.D.; Phillips, T.D. Acetylation/deacetylation reactions of T-2, acetyl T-2, HT-2, and acetyl HT-2 toxins in bovine rumen fluid in vitro. J. Agric. Food Chem. 1987, 35, 354–358. [Google Scholar] [CrossRef]
- Fuchs, E.; Binder, E.M.; Heiler, D.; Krska, R. Structural characterization of metabolites after the microbial degradation of type A trichothecenes by the bacterial strain BBSH 797. Food Addi. Contam. 2002, 19, 379–386. [Google Scholar] [CrossRef]
- Kim, S.H.; Vujanovic, V. Biodegradation and biodetoxification of Fusarium mycotoxins by Sphaerodes mycoparasitica. AMB Expr. 2017, 7, 145. [Google Scholar] [CrossRef]
- Udell, M.N.; Dewick, P.M. Metabolic conversions of trichothecene mycotoxins: De-esterification reactions using cell-free extracts of Fusarium. Z. Naturforsch. C 1989, 44, 660–668. [Google Scholar] [CrossRef]
- Duvick, J.; Rood, T.; Maddox, J.; Gilliam, J. Detoxification of mycotoxins in planta as a strategy for improving grain quality and disease resistance: Identification of fumonisin-degrading microbes from maize. Dev. Plant Pathol. 1998, 13, 369–381. [Google Scholar]
- Heinl, S.; Hartinger, D.; Thamhesl, M.; Vekiru, E.; Krska, R.; Schatzmayr, G.; Moll, W.-D.; Grabherr, R. Degradation of fumonisin B1 by the consecutive action of two bacterial enzymes. J. Biotechnol. 2010, 145, 120–129. [Google Scholar] [CrossRef]
- Hartinger, D.; Schwartz, H.; Hametner, C.; Schatzmayr, G.; Haltrich, D.; Moll, W.-D. Enzyme characteristics of aminotransferase FumI of Sphingopyxis sp. MTA144 for deamination of hydrolyzed fumonisin B1. Appl. Microbiol. Biotechnol. 2011, 91, 757–768. [Google Scholar] [CrossRef] [PubMed]
- Poapolathep, A.; Singhasem, S.; Noonpugdee, C.; Sugita-Konishi, Y.; Doi, K.; Kumagai, S. The fate and transmission of fusarenon-X (FX), a trichothecene mycotoxin in mice. Toxicol. Appl. Pharmacol. 2004, 197, 367. [Google Scholar]
- Phruksawan, W.; Poapolathep, S.; Giorgi, M.; Imsilp, K.; Sakulthaew, C.; Owen, H.; Poapolathep, A. Toxicokinetic profile of fusarenon-X and its metabolite nivalenol in the goat (Capra hircus). Toxicon 2018, 153, 78–84. [Google Scholar] [CrossRef] [PubMed]
- Stander, M.A.; Bornscheuer, U.T.; Henke, E.; Steyn, P.S. Screening of commercial hydrolases for the degradation of ochratoxin A. J. Agric. Food Chem. 2000, 48, 5736–5739. [Google Scholar] [CrossRef]
- Abrunhosa, L.; Santos, L.; Verancio, A. Degradation of ochratoxin by proteases and by a crude enzyme of Aspergillus niger. Food Biotechnol. 2006, 20, 231–240. [Google Scholar] [CrossRef]
- Pitout, M.J. The hydrolysis of ochratoxin A by some proteolytic enzymes. Biochem. Pharmacol. 1969, 18, 485–491. [Google Scholar] [CrossRef]
- Varga, J.; Rigo, K.; Teren, J. Degradation of ochratoxin A by Aspergillus species. Int. J. Food Microbiol. 2000, 59, 1–7. [Google Scholar] [CrossRef]
- Chang, X.; Wu, Z.; Wu, S.; Dai, Y.; Sun, C. Degradation of ochratoxin A by Bacillus amyloliquefaciens ASAG1. Food Addit. Contam. A 2015, 32, 564–571. [Google Scholar] [CrossRef]
- Li, S.; Marquardt, R.R.; Frohlich, A.A.; Vitti, T.G.; Crow, G. Pharmacokinetics of ochratoxin A and its metabolites in rats. Toxicol. Appl. Pharmacol. 1997, 145, 82–90. [Google Scholar] [CrossRef]
- Fuchs, R.; Hult, K.; Peraica, M.; Razica, R.; Plestina, R. Conversion of ochratoxin C into ochratoxin A in vivo. Appl. Environ. Microbiol. 1984, 48, 41–42. [Google Scholar] [CrossRef]
- Ohta, M.; Ishii, K.; Ueno, Y. Metabolism of trichothecene mycotoxins I. J. Biochem. 1977, 82, 1591–1598. [Google Scholar] [CrossRef] [PubMed]
- Yoshizawa, T.; Swanson, S.P.; Mirocha, C.J. In vitro metabolism of T-2 toxin in rats. Appl. Environ. Microbiol. 1980, 40, 901–906. [Google Scholar] [CrossRef] [PubMed]
- Catteuw, A.; Broekaert, N.; De Baere, S.; Lauwers, M.; Gasthuys, E.; Huybrechts, B.; Callebaut, A.; Ivanova, L.; Uhlig, S.; De Boevre, M.; et al. Insights into in vivo absolute oral bioavailability, biotransformation, and toxicokinetics of zearalenone, α-zearalenol, β-zearalenol, zearalenone-14-glucosdie, and zearalenone-14-sulfate in pigs. J. Agric. Food Chem. 2019, 67, 3448–3458. [Google Scholar] [CrossRef] [PubMed]
- Olsen, M.; Visconti, A. Metabolism of alternariol monomethylether by porcine liver and intestinal mucosa in vitro. Toxicol. In Vitro 1988, 2, 27–29. [Google Scholar] [CrossRef]
- Niu, G.; Wen, Z.; Rupasinghe, S.G.; Zeng, R.S.; Berenbaum, M.R.; Schuler, M.A. Aflatoxin B1 detoxification by CYP321A1 in Helicomverpa zea. Arch. Insect biochem. Physiol. 2008, 69, 32–45. [Google Scholar] [CrossRef]
- Burgess, K.M.N.; Renaud, J.B.; McDowell, T.; Sumarah, M.W. Mechanistic insight into the biosynthesis and detoxification of fumonisin mycotoxins. ACS Chem. Biol. 2016, 11, 2618–2625. [Google Scholar] [CrossRef]
- Blackwell, B.A.; Gilliam, J.T.; Savard, M.E.; Miller, D.; Duvick, J.P. Oxidative deamination of hydrolyzed fumonisin B1 (AP1) by cultures of Exophiala spinifera. Nat. Toxins 1999, 7, 31–38. [Google Scholar] [CrossRef]
- Das, A.; Bhattacharya, S.; Palaniswamy, M.; Angayarkanni, J. Biodegradation of aflatoxin B1 incontaminated rice straw by Pleurotus ostreatus MTCC142 and Pleurotus ostreatus GHBBF10 in the presence of metal salts and surfactants. World J. Microbiol. Biotechnol. 2014, 30, 2315–2324. [Google Scholar] [CrossRef]
- Eshelli, M.; Harvey, L.; Edrada-Ebel, R.; McNeil, B. Metabolomics of the bio-degradation process of aflatoxin B1 by actinomycetes at an initial pH of 6.0. Toxins 2015, 7, 439–456. [Google Scholar] [CrossRef]
- Samuel, M.S.; Sivaramakrishna, A.; Mehta, A. Degradation and detoxification of aflatoxin B1 by Pseudomonas putida. Int. Biodeterior. Biodegr. 2014, 86, 202–209. [Google Scholar] [CrossRef]
- Devi, P.; Naik, C.G.; Rodrigues, C. Biotransformation of citrinin to decarboxycitrinin using an organic solvent-tolerant marine bacterium, Moraxella sp. MB1. Mar. Biotechnol. 2006, 8, 129–138. [Google Scholar] [CrossRef]
- Jackson, L.K.; Ciegler, A. Production and analysis of citrinin in corn. Appl. Environ. Microbiol. 1978, 36, 408–411. [Google Scholar] [CrossRef]
- Ikunaga, Y.; Sato, I.; Grond, S.; Numaziri, N.; Yoshida, S.; Yamaya, H.; Hiradate, S.; Hasegawa, M.; Toshima, H.; Koitabashi, M. Nocardioides sp. strain WSN05-2, isolated from a wheat field, degrades deoxynivalenol, producing the novel intermediate 3-epi-deoxynivalenol. Appl. Microbiol. Biotechnol. 2011, 89, 419–427. [Google Scholar] [CrossRef]
- Hassan, Y.I.; Zhou, T. Addressing the mycotoxin deoxynivalenol contamination with soil-derive bacterial and enzymatic transformations targeting the C3 carbon. World Mycotoxin J. 2018, 11, 101–111. [Google Scholar] [CrossRef]
- Hassan, Y.; He, J.W.; Perilla, N.; Tang, K.J.; Karlovsky, P.; Zhou, T. The enzymatic epimerization of deoxynivalenol by Devosia mutans proceeds through the formation of 3-keto-DON intermediate. Sci. Rep. 2017, 7, 1–11. [Google Scholar] [CrossRef]
- Stadler, D.; Lambertini, F.; Bueschl, C.; Wiesenberger, G.; Hametner, C.; Shwartz-Zimmermann, H.; Hellinger, R.; Sulyok, M.; Lemmens, M.; Schuhmacher, R.; et al. Untargeted LC-MS based 13C labelling provides a full mass balance of deoxynivalenol and its degradation products formed during baking of crackers, biscuits and bread. Food Chem. 2019, 279, 303–311. [Google Scholar] [CrossRef]
- Adlouni, C.E.; Pinelli, E.; Azemar, B.; Zaoui, D.; Beaune, P.; Pfohl-Leszkowicz, A. Phenobarbital increases DNA adduct and metabolites formed by ochratoxin A: Role of CYP 2C9 and microsomal glutathione-S-transferase. Environ. Mol. Mutagen. 2000, 35, 123–131. [Google Scholar] [CrossRef]
- Pinedo, C.; Wright, S.A.I.; Collado, I.G.; Goss, R.J.M.; Castoria, R.; Hrelia, P.; Maffei, F.; Duran-Patron, R. Isotopic labeling studies reveal the patulin detoxification pathway by the biocontrol yeast Rhodotorula kratochvilovae LS11. J. Nat. Prod. 2018, 81, 2692–2699. [Google Scholar] [CrossRef]
- Zhu, R.; Feusner, K.; Wu, T.; Yan, F.; Karlovsky, P.; Zheng, X. Detoxification of mycotoxin patulin by the yeast Rhodosporidium paludigenum. Food Chem. 2015, 179, 1–5. [Google Scholar] [CrossRef]
- Castoria, R.; Mannina, L.; Duran-Patron, R.; Maffei, F.; Sobolev, A.P.; De Felice, D.V.; Pinedo-Rivilla, C.; Ritieni, A.; Ferracane, R.; Wright, S.A.I. Conversion of the mycotoxin patulin to the less toxic desoxypatulinic acid by the biocontrol yeast Rhodosporidium kratochvilovae strain LS11. J. Agric. Food Chem. 2011, 59, 11571–11578. [Google Scholar] [CrossRef]
- Belhassen, H.; Jimenez-Diaz, I.; Ghali, R.; Ghorbel, H.; Molina-Molina, J.M. Validation of a UHPLC-MS/MS method for quantification of zearaenone, α-zearalenol, β-zearalenol, α-zearalanol, β-zearalanol and zearalanone in human urine. J. Chromatogr. B 2014, 962, 68–74. [Google Scholar] [CrossRef] [PubMed]
- Wang, G.; Yu, M.; Dong, F.; Shi, J.; Xu, J. Esterase activity inspired selection and characterization of zearalenone degrading bacteria Bacillus pumilus ES-21. Food Control 2017, 77, 57–64. [Google Scholar] [CrossRef]
- Xu, Z.; Liu, W.; Chen, C.-C.; Li, Q.; Huang, J.-W.; Ko, T.-P.; Liu, G.; Liu, W.; Peng, W.; Cheng, Y.-S.; et al. Enhanced α-zearlenol hydrolyzing activity of a mycoestrogen-detoxifying lactonase by structure-based engineering. ACS Catal. 2016, 6, 7657–7663. [Google Scholar] [CrossRef]
- Fruhauf, S.; Novak, B.; Nagl, V.; Hackl, M.; Hartinger, D.; Rainer, V.; Labudova, S.; Adam, G.; Aleschko, M.; Moll, W.-D.; et al. Biotransformation of the mycotoxin zearalenone to its metabolites hydrolyzed zearalenone (HZEN) and decarboxylated hydrolyzed zearaleneone (DHEN) diminishes its estrogenicity in vitro and in vivo. Toxins 2019, 11, 481. [Google Scholar] [CrossRef] [PubMed]
- Bennett, J.W.; Klich, M. Mycotoxins. Clin. Microbiol. Rev. 2003, 16, 497–516. [Google Scholar] [CrossRef] [PubMed]
- Samuel, M.S.; Aiko, V.; Panda, P.; Metha, A. Aflatoxin B1 occurrence, biosynthesis and its degradation. J. Pure Appl. Microbiol. 2013, 7, 965–971. [Google Scholar]
- Essigmann, J.M.; Croy, R.G.; Nadzan, A.M.; Busby, W.F.; Reinhold, V.N.; Buchi, G.; Wogan, G.N. Structural identification of the major DNA adduct formed by aflatoxin B1 in vitro. Proc. Nat. Acad. Sci. USA 1977, 74, 1870–1874. [Google Scholar] [CrossRef]
- Eaton, D.L.; Gallagher, E.P. Mechanisms of aflatoxin carcinogenesis. Annu. Rev. Pharmacol. Toxicol. 1994, 34, 135–172. [Google Scholar] [CrossRef]
- Schroeder, T.U.; Zweifel, P.; Sagelsdorff, U.; Friederich, J.; Luthy, C.; Schlatter, J. Ammoniation of aflatoxin-containing corn: Distribution, in vivo covalent deoxyribonucleic acid binding, and mutagenicity of reaction products. Agric. Food Chem. 1985, 33, 311–316. [Google Scholar] [CrossRef]
- Verheecke, C.; Liboz, T.; Mathieu, F. Microbial degradation of aflatoxin B1: Current status and future advances. Int. J. Food Microbiol. 2016, 237, 1–9. [Google Scholar] [CrossRef]
- Singh, V.P. Aflatoxin biotransformations: Biodetoxification aspects. Prog. Ind. Microbiol. 1995, 32, 51–63. [Google Scholar]
- Mishra, H.N.; Das, C. A review on biological control and metabolism of aflatoxin. Crit. Rev. Food Sci. Nutr. 2003, 43, 245–264. [Google Scholar] [CrossRef] [PubMed]
- Adebo, O.A.; Njobeh, P.B.; Gbashi, S.; Nwinyi, O.C.; Mavumengwana, V. Review on microbial degradation of aflatoxins. Crit. Rev. Food Sci. Nutr. 2017, 57, 3208–3217. [Google Scholar] [CrossRef] [PubMed]
- Rushing, B.R.; Selim, M.I. Aflatoxin B1: A review on metabolism, toxicity, occurrence in food, occupational exposure, and detoxification methods. Food Chem. Toxicol. 2019, 124, 81–100. [Google Scholar] [CrossRef] [PubMed]
- Lou, J.; Fu, L.; Peng, Y.; Zhou, L. Metabolites from Alternaria fungi and their bioactivities. Molecules 2013, 18, 5891–5935. [Google Scholar] [CrossRef]
- Liu, G.T.; Qian, Y.Z.; Zhang, P.; Dong, Z.M.; Shi, Z.Y.; Zhen, Y.Z.; Miao, J.; Xu, Y.M. Relationships between Alternaria alternata and oeophageal cancer. IARC Sci. Publ. 1991, 105, 258–262. [Google Scholar]
- Brugger, E.-M.; Wagner, J.; Schumacher, D.M.; Koch, K.; Podlech, J.; Metzler, M.; Lehmann, L. Mutagenicity of the mycotoxin alternariol in cultured mammalian cells. Toxicol. Lett. 2006, 164, 221–230. [Google Scholar] [CrossRef]
- Lehmann, L.; Wagner, J.; Metzler, M. Estrogenic and clastogenic potential of the mycotoxin alternariol in cultured mammalian cells. Food Chem. Toxicol. 2006, 44, 398–408. [Google Scholar] [CrossRef]
- Ponce-Garcia, N.; Serna-Saldivar, S.O.; Garcia-Lara, S. Fumonisins and their analogues in contaminated corn and its processed foods—A review. Food Addit. Contam. A 2018, 35, 2183–2203. [Google Scholar] [CrossRef]
- Soriano, J.M.; Gonzalez, L.; Catala, A.I. Mechanism of action of sphingolipids and their metabolites in the toxicity of fumonisin B1. Progr. Lipid Res. 2005, 44, 345–356. [Google Scholar] [CrossRef]
- Lumsangkul, C.; Chiang, H.; Lo, N.-W.; Fan, Y.-K.; Ju, J.-C. Developmental toxicity of mycototoxin fumonisin B1 in animal embryogenesis: An overview. Toxins 2019, 11, 114. [Google Scholar] [CrossRef]
- Voss, K.A.; Smith, G.W.; Haschek, W.M. Fumonisins: Toxicokinetics, mechanism of action and toxicity. Anim. Feed Sci. Technol. 2007, 137, 299–325. [Google Scholar] [CrossRef]
- Jestoi, M. Emerging Fusarium-mycotoxins fusaproliferin, beauvericin, enniatins, and moniliformin-a review. Crit. Rev. Food Sci. Nutr. 2008, 48, 21–49. [Google Scholar] [CrossRef]
- Krogh, P. Role of chratoxin in disease causation. Food Chem. Toxicol. 1992, 30, 213–224. [Google Scholar] [CrossRef]
- Zhang, H.H.; Wang, Y.; Zhao, C.; Wang, J.; Zhang, X.L. Biodegradation of ochratoxin A by Alcaligenes faecalis isolated from soil. J. Appl. Microbiol. 2017, 123, 661–668. [Google Scholar] [CrossRef]
- Rodriguez, H.; Reveron, I.; Doria, F.; Costantini, A.; De Las Rivas, B.; Munoz, R.; Garcia-Moruno, E. Degradation of ochratoxin A by Brevibacterium species. J. Agric. Food Chem. 2011, 59, 10755–10760. [Google Scholar] [CrossRef]
- Cho, S.M.; Jeong, S.E.; Lee, K.R.; Sudhani, H.P.K.; Kim, M.; Hong, S.-Y.; Chung, S.H. Biodegradation of ochratoxin A by Aspergillus tubingensis isolated form meju. J. Microbiol. Biotechnol. 2016, 26, 1687–1695. [Google Scholar] [CrossRef]
- Glaser, N.; Stopper, H. Paulin: Mechanism of genotoxicity. Food Chem. Toxicol. 2012, 50, 1796–1801. [Google Scholar] [CrossRef]
- Sajid, M.; Mehmood, S.; Yuan, Y.; Yue, T. Mycotoxin patulin in food matrices: Occurrence and its biological degradation strategies. Drug Metab. Rev. 2019, 51, 105–120. [Google Scholar] [CrossRef]
- Saleh, I.; Goktepe, I. The characteristics, occurrence, and toxicological effects of patulin. Food Chem. Toxicol. 2019, 129, 301–311. [Google Scholar] [CrossRef]
- Diao, E.; Hou, H.; Hu, W.; Dong, H.; Li, X. Removing and detoxifying methods of patulin: A review. Trends Food Sci. Technol. 2018, 81, 139–145. [Google Scholar] [CrossRef]
- Zheng, X.; Li, Y.; Zhang, H.; Apaliya, M.T.; Zhang, X.; Zhao, L.; Jiang, Z.; Yang, Q.; Gu, X. Identification and toxicological analysis of products of patulin degradation by Pichia caribbica. Biol. Control 2018, 123, 127–136. [Google Scholar] [CrossRef]
- Li, X.; Tang, H.; Yang, C.; Meng, X.; Liu, B. Detoxification of mycotoxin patulin by the yeast Rhodotorula mucilaginosa. Food Control 2019, 96, 47–52. [Google Scholar] [CrossRef]
- Moss, M.; Long, M. Fate of patulin in the presence of the yeast Saccharomyces cerevisiae. Food Addit. Contam. 2002, 19, 387–399. [Google Scholar] [CrossRef]
- Ianiri, G.; Idnurm, A.; Wright, S.A.; Duran-Patron, R.; Mannina, L.; Ferracane, R.; Ritieni, A.; Castoria, R. Searching for genes responsible for patulin degradation in abiocontrol yeast provides insight into the basis for resistance to this mycotoxin. Appl. Environ. Microbiol. 2013, 79, 3101–3115. [Google Scholar] [CrossRef]
- Sudakin, D.L. Trichoghecenes in the environment: Relevance to human health. Toxicol. Lett. 2003, 143, 97–107. [Google Scholar] [CrossRef]
- Kimura, M.; Tokai, T.; Takahashi-Ando, N.; Ohsato, S.; Fujimura, M. Molecular and genetic studies of Fusarium trichothecene biosynthesis: Pathways, genes, and evolution. Biosci. Biotechnol. Biochem. 2007, 71, 2105–2123. [Google Scholar] [CrossRef]
- Li, Y.; Wang, Z.; Beier, R.C.; Shen, J.Z.; DeSmet, D.; De Saeger, S.; Zhang, S. T-2 toxin, a trichothecene mycotoxin: Review of toxicity, metabolism, and analytical methods. J. Agric. Food Chem. 2011, 59, 3441–3453. [Google Scholar] [CrossRef]
- Wu, Q.; Dohnal, V.; Kuca, K.; Yuan, Z. Trichothecenes: Structure-toxic activity relationships. Curr. Drug Metab. 2013, 14, 641–660. [Google Scholar] [CrossRef]
- Payros, D.; Alassane-Kpembi, I.; Pierron, A.; Loiseau, N.; Pinton, P.; Oswald, I.P. Toxicology of deoxynivalenol and its acetylated and modified forms. Arch. Toxicol. 2016, 90, 2931–2957. [Google Scholar] [CrossRef]
- Karlovsky, P. Biological detoxification of the mycotoxin deoxynivalenol and its use in genetically engineered crops and feed additives. Appl. Microbiol. Biotechnol. 2011, 91, 491–504. [Google Scholar] [CrossRef] [PubMed]
- Pestka, J.J. Deoxynivalenol: Mechanisms of action, human exposure, and toxicological relevance. Arch. Toxicol. 2010, 84, 663–679. [Google Scholar] [CrossRef]
- Baldwin, N.C.P.; Bycroft, B.W.; Dewick, P.M. Metabolic conversions of trichothecene mycotoxins: Biotransformation of 3-acetyldeoynivalenol into fusarenon-X. Z. Naturforsch. C 1986, 41, 845–850. [Google Scholar] [CrossRef] [PubMed]
- Islam, R.; Zhou, T.; Young, J.C.; Goodwin, P.H.; Pauls, K.P. Aerobic and anaerobic de-epoxidation of mycotoxin deoxynivalenol by bacteria originating from agricultural soil. World J. Microbiol. Biotechnol. 2012, 28, 7–13. [Google Scholar] [CrossRef] [PubMed]
- Turner, P.C.; Hopton, R.P.; White, K.L.M.; Fisher, J.; Cade, J.E.; Wild, C.P. Assessment of deoxynivalenol metabolite profiles in UK adults. Food Chem. Toxicol. 2011, 49, 132–135. [Google Scholar] [CrossRef] [PubMed]
- Zinedine, A.; Soriano, J.M.; Molto, J.C.; Mañes, J. Review on the toxicity, occurrence, metabolism, detoxification, regulations and intake of zearalenone: An oestrogenic mycotoxin. Food Chem. Toxicol. 2007, 45, 1–18. [Google Scholar] [CrossRef]
- Dai, M.; Jiang, S.; Yuan, X.; Yang, W.; Yang, Z.; Huang, L. Effects of zearalenone-diet on expression of ghrelin and PCNA genes in ovaries of post-weaning piglets. Anim. Reprod. Sci. 2016, 168, 126–137. [Google Scholar] [CrossRef]
- Lee, J.T.; Jessen, K.A.; Beltran, R.; Starkl, V.; Schatzmayr, G.; Borutova, R.; Caldwell, D.J. Effects of mycotoxin-contaminated diets and deactivating compound in laying hens: 2. Effects on white shell egg quality and characteristics. Poult. Sci. 2012, 91, 2096–2104. [Google Scholar] [CrossRef]
- Masching, S.; Naehrer, K.; Schwartz-Zimmermann, H.E.; Sarandan, M.; Schaumberger, S.; Dohnal, I.; Nagl, V.; Schatzmayr, D. Gastrointestinal degradation of fumonisin B1 by carboxylesterase fumD prevents fumonisin induced alteration of sphingolipid metabolism in turkey and swine. Toxins 2016, 8, 84. [Google Scholar] [CrossRef]
- Karabulut, S.; Paytakov, G.; Leszczynski, J. Reduction of alftoxin B1 to afatoxicol: A comprehensive DFT study provides clues to its toxicity. J. Sci. Food Agric. 2014, 94, 3134–3140. [Google Scholar] [CrossRef]
- Hahn, I.; Kunz-Vekiru, E.; Twarzek, M.; Grajewski, J.; Krska, R.; Berthiller, F. Aerobic and anaerobic in vitro testing of feed additives claiming to detoxify deoxynivalenol and zearalenone. Food Addit. Contam. Part A 2015, 32, 922–933. [Google Scholar] [CrossRef] [PubMed]
- Berthiller, F.; Crews, C.; Dall’Asta, C.; Saeger, S.D.; Haesaert, G.; Karlovsky, P.; Oswald, I.P.; Seefelder, W.; Speijiers, G.; Stroka, J. Masked mycotoxins: A review. Mol. Nutr. Food Res. 2013, 57, 165–186. [Google Scholar] [CrossRef] [PubMed]
- Rolli, E.; Righetti, L.; Galaverna, G.; Suman, M.; Dall’Asta, C.; Bruni, R. Zearalenone uptake and biotransformation in micropropgated Triticum durum Desf. plants: A xenobolomic approach. J. Agric. Food Chem. 2018, 66, 1523–1532. [Google Scholar] [CrossRef]
- Meena, M.; Samal, S. Alternaria host-specific (HSTs) toxins: An overview of chemical characterization, target sites, regulation and their toxic effects. Toxicol. Rep. 2019, 6, 745–758. [Google Scholar] [CrossRef] [PubMed]
- Xie, Y.; Wang, W.; Zhang, S. Purification and identification of an aflatoxin B1 degradation enzyme form Pantoea sp. T6. Toxicon 2019, 157, 35–42. [Google Scholar] [CrossRef] [PubMed]
- Alexander, N.J. The TRI101 story: Engineering wheat and barley to resist Fusarium head blight. World Mycotoxin J. 2008, 1, 31–37. [Google Scholar] [CrossRef]
- Igawa, T.; Takahashi-Ando, N.; Ochiai, N.; Ohsato, S.; Shimizu, T.; Kudo, T.; Yamaguchi, I.; Kimura, M. Reduced contamination by the Fusarium mycotoxin zearalenone in maize kernels through genetic modification with a detoxification gene. Appl. Environ. Microbiol. 2007, 73, 1622–1629. [Google Scholar] [CrossRef]
- Xu, L.; Liu, Y.; Zhou, L.; Wu, J. Enhanced beauvericin production with in situ adsorption in mycelial liquid culture of Fusarium redolens Dzf2. Process Biochem. 2009, 44, 1063–1067. [Google Scholar] [CrossRef]
- Xu, L.; Wang, J.; Zhao, J.; Li, P.; Shan, T.; Wang, J.; Li, X.; Zhou, L. Beauvericin from the endophytic fungus, Fusarium redolens, isolated from Dioscorea zingiberensis and its antibacterial activity. Nat. Prod. Commun. 2010, 5, 811–814. [Google Scholar] [CrossRef]
- Firakova, S.; Proksa, B.; Sturdikova, M. Biosynthesis and biological activity of enniatins. Pharmazie 2007, 62, 563–568. [Google Scholar]
- Wang, X.; Wang, J.; Lai, D.; Wang, W.; Dai, J.; Zhou, L.; Liu, Y. Ustiloxin G, a new cyclopeptide mycotoxin from rice false smut balls. Toxins 2017, 9, 54. [Google Scholar] [CrossRef] [PubMed]
- Lu, S.; Sun, W.; Meng, J.; Wang, A.; Wang, X.; Tian, J.; Fu, X.; Dai, J.; Liu, Y.; Lai, D.; et al. Bioactive bis-naphtho-γ-pyrones from rice false smut pathogen Ustilaginoidea virens. J. Agric. Food Chem. 2015, 63, 3501–3508. [Google Scholar] [CrossRef] [PubMed]
- Sun, W.; Wang, A.; Xu, D.; Wang, W.; Meng, J.; Dai, J.; Liu, Y.; Lai, D.; Zhou, L. New ustilaginoidins from rice false smut balls caused by Villosiclava virens and their phytotoxic and cytotoxic activities. J. Agric. Food Chem. 2017, 65, 5151–5160. [Google Scholar] [CrossRef] [PubMed]
- Lai, D.; Meng, J.; Xu, D.; Zhang, X.; Liang, Y.; Han, Y.; Jiang, C.; Liu, H.; Wang, C.; Zhou, L.; et al. Determination of the absolute configurations of the stereogenic centers of ustilaginoidins by studying the biosynthetic monomers from a gene knockout mutant of Villosiclava virens. Sci. Rep. 2019, 9, 1855. [Google Scholar] [CrossRef]
- Meng, J.; Zhao, S.; Dang, P.; Zhou, Z.; Lai, D.; Zhou, L. Ustilaginoidin M1, a new bis-naphtho-γ-pyrone from the fungus Villosiclava virens. Nat. Prod. Res. 2019. [Google Scholar] [CrossRef] [PubMed]
- Lai, D.; Meng, J.; Zhang, X.; Xu, D.; Dai, J.; Zhou, L. Ustilobisorbicillinol A, a cytotoxic sorbyl-containing aromatic polyketide from Ustilaginoidea virens. Org. Lett. 2019, 21, 1311–1314. [Google Scholar] [CrossRef]
- Meng, J.; Gu, G.; Dang, P.; Zhang, X.; Wang, W.; Dai, J.; Liu, Y.; Lai, D.; Zhou, L. Sorbicillinoids from the fungus Ustilaginoidea virens and their phytotoxic, cytotoxic, and antimicrobial activities. Front. Chem. 2019, 7, 435. [Google Scholar] [CrossRef]
© 2020 by the authors. Licensee MDPI, Basel, Switzerland. This article is an open access article distributed under the terms and conditions of the Creative Commons Attribution (CC BY) license (http://creativecommons.org/licenses/by/4.0/).


















