Ergot and Ergot Alkaloids in Cereal Grains Intended for Animal Feeding Collected in Slovenia: Occurrence, Pattern and Correlations
Abstract
1. Introduction
2. Results
2.1. Occurrence of Total Ergot Alkaloids
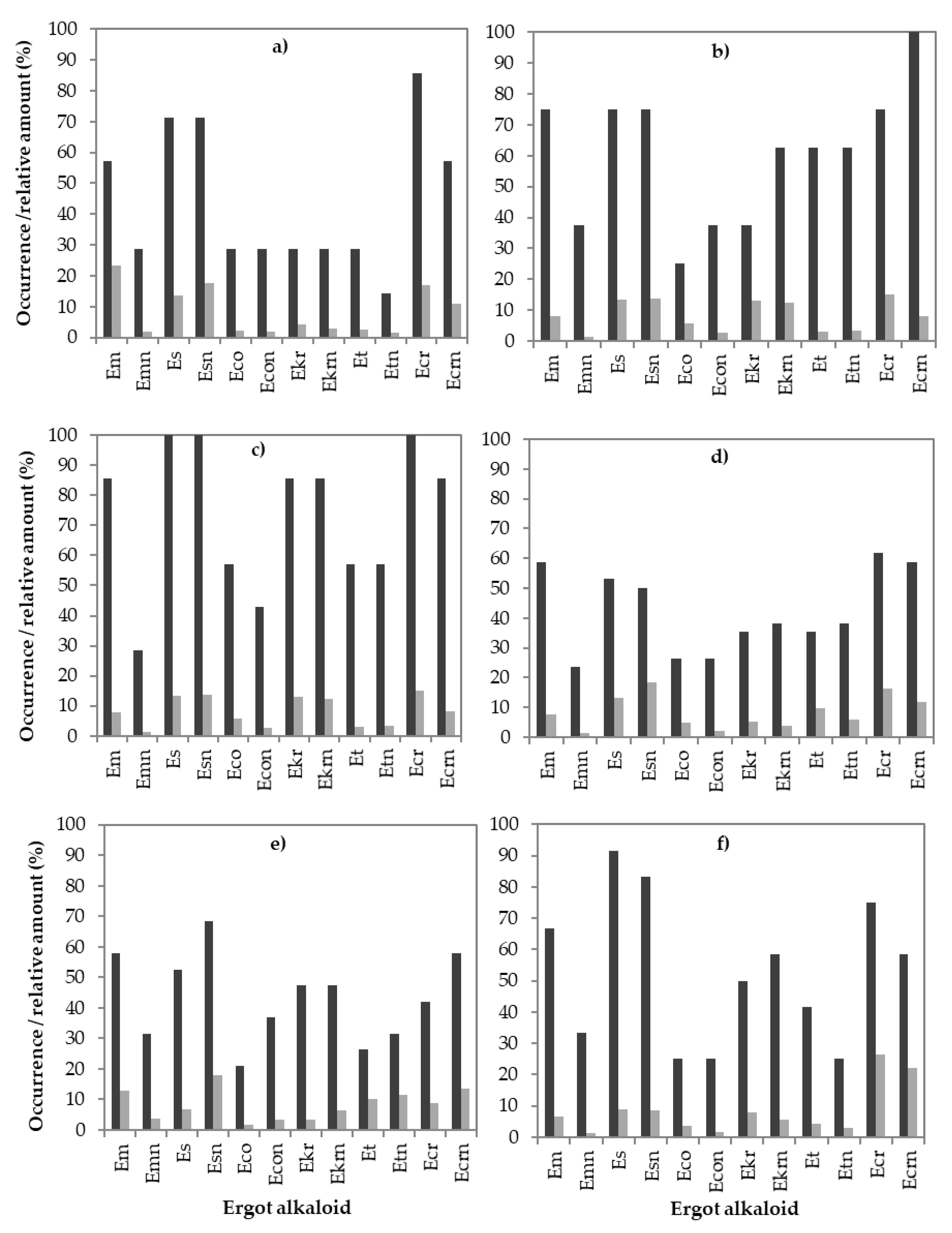
2.2. Co-Occurrence of Ergot Alkaloids
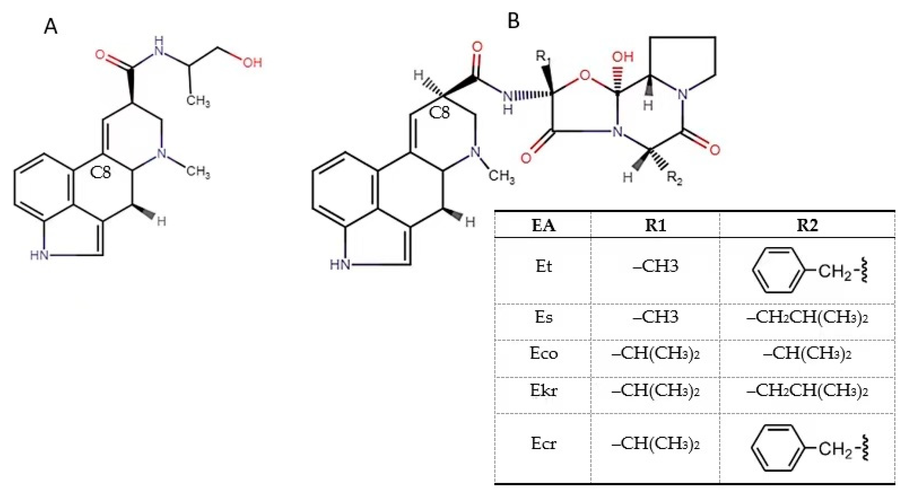
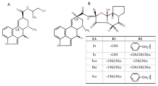
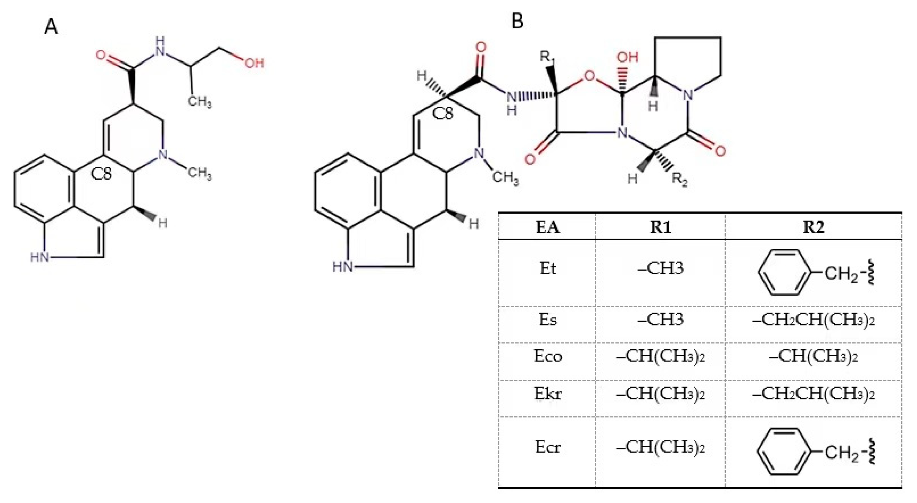
2.3. Individual Ergot Alkaloids
2.4. Ergot (Sclerotia) Content and Analytical Correlation Study
3. Discussion
3.1. Occurrence of Total Ergot Alkaloids
3.2. Co-Occurrence and Individual Ergot Alkaloids
3.3. Sclerotia Mass and Analytical Correlation Study
4. Conclusions
5. Materials and Methods
5.1. Sample Collection
5.2. Standards and Chemicals
5.3. Analytical Procedure
5.4. Method Validation
5.5. Ergot (Sclerotia) Content and Analytical Correlation Study
5.6. Statistical Evaluation
Supplementary Materials
Author Contributions
Funding
Acknowledgments
Conflicts of Interest
References
- European Food Safety Authority (EFSA). Scientific opinion on ergot alkaloids in food and feed. EFSA Panel on Contaminants in the Food Chain (CONTAM). EFSA J. 2012, 10, 2798–2956. [Google Scholar]
- Haarmann, T.; Rolke, Y.; Giesbert, S.; Tudzynski, P. Ergot: From witchcraft to biotechnology. Mol. Plant Pathol. 2009, 10, 563–577. [Google Scholar] [CrossRef] [PubMed]
- Krska, R.; Crews, C. Significance, chemistry and determination of ergot alkaloids: A review. Food Addit. Contam. Part A 2008, 25, 722–731. [Google Scholar] [CrossRef] [PubMed]
- Flieger, M.; Wurst, M.; Shelby, R. Ergot alkaloids—Sources, structures, and analytical methods. Folia Microbiol. 1997, 42, 3–30. [Google Scholar] [CrossRef] [PubMed]
- Buchta, M.; Cvak, L. Ergot alkaloids and other metabolites of the genus Claviceps. In Ergot: The Genus Claviceps; Kren, V., Cvak, L., Eds.; Harwood Academic Publishers: Amsterdam, The Netherlands, 1999; pp. 173–200. [Google Scholar]
- European Commission. Recommendation No 2012/154/EU of 15 March 2012 on the monitoring of the presence of ergot alkaloids in feed and food. Off. J. Eur. Union 2012, 77, 20–21. [Google Scholar]
- European Commission. Directive 2002/32/EC of the European Parliament and of the Council of 7 May 2002 on undesirable substances in animal feed. Off. J. Eur. Union 2002, 140, 10–21. [Google Scholar]
- European Commission. Regulation (EU) No 574/2011of 16 June 2011 amending Annex I to Directive 2002/32/EC of the European Parliament and of the Council as regards maximum levels for nitrite, melamine, Ambrosia spp. and carry-over of certain coccidiostats and histomonostats and consolidating Annexes I and II thereto. Off. J. Eur. Union 2011, 159, 7–24. [Google Scholar]
- Coufal-Majewski, S.; Standford, K.; McAllister, T.; Blakley, B.; McKinnon, J.; Chaves, A.V.; Wang, Y. Impact of cereal ergot in food animal production. Front. Vet. Sci. 2016, 3, 1–13. [Google Scholar] [CrossRef]
- Crews, C. Analysis of ergot alkaloids. Toxins 2015, 7, 2024–2050. [Google Scholar] [CrossRef]
- Ruhland, M.; Tischler, J. Determination of ergot alkaloids in feed by HPLC. Mycotoxin Res. 2008, 24, 73–79. [Google Scholar] [CrossRef]
- Mulder, P.P.J.; Van Raamsdonk, L.W.D.; Van Egmond, H.J.; Van Der Horst, T.; De Jong, J. Ergot Alkaloids and Sclerotia in Animal Feeds. Dutch Survey 2007–2010; Technical Report No. 2012.005; RIKILT, Wageningen UR: Wageningen, The Netherlands, 2012; pp. 1–54. [Google Scholar]
- Malysheva, S.V.; Larionova, D.A.; Di Mavungu, J.D.D.; De Saeger, S. Pattern and distribution of ergot alkaloids in cereals and cereal products from European countries. World Mycotoxin J. 2014, 7, 217–230. [Google Scholar] [CrossRef]
- Orlando, B.; Maumené, C.; Piraux, F. Ergot and ergot alkaloids in French cereals: Occurrence, pattern and agronomic practices for managing the risk. World Mycotoxin J. 2017, 10, 327–337. [Google Scholar] [CrossRef]
- Topi, D.; Strajn, B.J.; Vrtač, K.P.; Kalcher, G.T. Occurrence of ergot alkaloids in wheat from Albania. Food Addit. Contam. Part A 2017, 34, 1333–1343. [Google Scholar] [CrossRef] [PubMed]
- Evans, J.D. Straightforward Statistics for the Behavioral Sciences; Brooks/Cole Publishing: Pacific Grove, CA, USA, 1996. [Google Scholar]
- Wegulo, S.N.; Carlson, M.P. Ergot of small grain cereals and grasses and its health effects on humans and livestock. Ext. Circ. 2011, 1880, 1–7. [Google Scholar]
- Tittlemier, S.A.; Drul, D.; Roscoe, M.; McKendry, T. Occurrence or ergot and ergot alkaloids in western Canadian wheat and other cereals. J. Agric. Food Chem. 2015, 63, 6644–6650. [Google Scholar] [CrossRef]
- Meister, U.; Batt, N. Fusarium toxins and ergot alkaloids in rye of the federal state Brandenburg harvested 2013. In Proceedings of the 36th Mycotoxin Workshop, Göttingen, Germany, 16–18 June 2014; p. 131. [Google Scholar]
- Miedaner, T.; Geiger, H.H. Biology, genetics, and management of ergot (Claviceps spp.) in rye, sorghum, and pearl millet. Toxins 2015, 7, 659–678. [Google Scholar] [CrossRef]
- Grusie, T.; Cowan, V.; Singh, J.; McKinnon, J.; Blakley, B. Correlation and variability between weighing, counting and analytical methods to determine ergot (Claviceps purpurea) contamination of grain. World Mycotoxin J. 2017, 10, 209–218. [Google Scholar] [CrossRef]
- European Commission. Regulation No. 152/2009 of 27 January 2009 laying down the methods of sampling and analysis for the official control of feed. Off. J. Eur. Union 2009, 54, 1–130. [Google Scholar]
- European Commission. Regulation No 691/2013 of 19 July 2013 amending Regulation (EC) No. 152/2009 as regards methods of sampling and analysis. Off. J. Eur. Union 2013, 197, 1–12. [Google Scholar]
- Di Mavungu, J.D.; Larionova, D.; Malysheva, S.V.; Van Peteghem, C.; De Saeger, S. Survey on Ergot Alkaloids in Cereals Intended for Human Consumption and Animal Feeding. Scientific Report to EFSA 2011. Available online: https://efsa.onlinelibrary.wiley.com/doi/abs/10.2903/sp.efsa.2011.EN-214 (accessed on 2 April 2019).
- Kokkonen, M.; Jestoi, M. Determination of ergot alkaloids from grains with UPLC-MS/MS. J. Sep. Sci. 2010, 33, 2322–2327. [Google Scholar] [CrossRef]
- Crews, C.; Anderson, W.A.C.; Rees, G.; Krska, R. Ergot alkaloids in some rye-based UK cereal products. Food Addit. Contam. Part B 2009, 2, 79–85. [Google Scholar] [CrossRef] [PubMed]
- Krska, R.; Stubbings, G.; Macarthur, R.; Crews, C. Simultaneous determination of six major ergot alkaloids and their epimers in cereals and foodstuffs by LC–MS–MS. Anal. Bioanal. Chem. 2008, 391, 563–576. [Google Scholar] [CrossRef] [PubMed]
- Method for the Determination of Ergot (Claviceps purpurea Tul.) in Animal Feedingstuff, IAG-Method A4. 2008. Available online: http://www.iag-micro.org/files/iag-a4_ergot.pdf (accessed on 22 April 2020).
- International Business Machines Corporation. IBM SPSS Statistics for Windows, version 23.0; International Business Machines Corporation: Armonk, NY, USA, 2015; Available online: https://www-01.ibm.com/support/docview.wss?uid=swg21476197 (accessed on 12 March 2019).








| Descriptive Statistics | Wheat | Barley | Triticale | Rye | Spelt | Oat | Total-ines | Total -inines | Total EAs |
|---|---|---|---|---|---|---|---|---|---|
| Number of samples | 206 | 136 | 101 | 35 | 23 | 16 | 517 | 517 | 517 |
| Number of positive samples | 34 | 6 | 13 | 19 | 7 | 8 | 83 | 79 | 87 |
| Incidence of positive samples (%) | 17 | 4 | 13 | 54 | 30 | 50 | 16 | 15 | 17 |
| Min (µg/kg) | 14 | 27 | 14 | 25 | 152 | 84 | 10 | 9.9 | 14 |
| Max (µg/kg) | 4217 | 1177 | 2587 | 4114 | 2682 | 2191 | 2476 | 1849 | 4217 |
| Mean (µg/kg) | 363 | 340 | 417 | 502 | 715 | 594 | 252 | 229 | 448 |
| Median (µg/kg) | 102 | 111 | 152 | 154 | 264 | 359 | 84 | 82 | 154 |
| Combined Results (n = 85) | Sample Group | n | % |
|---|---|---|---|
| Visually positive/chemically positive | A | 11 | 12.9 |
| Visually positive/chemically negative | B | 20 | 23.5 |
| Visually negative/chemically positive | C | 0 | 0.0 |
| Visually negative/chemically negative | D | 54 | 63.5 |
| Country | Year of Sampling | Feed | Number of Samples | Positive Sample Rate (%) | Median (µg/kg) | Max (µg/kg) | LOD/LOQ (µg/kg) | Method of Analysis | Reference |
|---|---|---|---|---|---|---|---|---|---|
| Slovenia | 2014–2017 | Wheat Barley Triticale Rye Spelt Oat | 206 136 101 35 23 16 | 17 4 13 54 30 50 | 102 * 111 * 152 * 154 * 264 * 359 * | 4217 1177 2587 4114 2682 2191 | 3/10 | LC-MS/MS | This study |
| Albania | 2014–2015 | Wheat | 71 | 33.8 | 226.7 * | 975.4 | 3/10 | LC-MS/MS | [15] |
| Germany | 2013 | Rye | 60 | 67 | 237 * | 4850 | – | LC-MS/MS | [19] |
| Canada | 2010–2012 | Wheat Barley Rye | 117 25 1 | – – – | 195 47 – | 666 584 149 | -/2 | LC-MS/MS | [18] |
| Europe | 2009–2012 | Rye Wheat Triticale | 157 137 27 | 52 27 44 | 1 <LOQ <LOQ | 12,340 701 1103 | -/1 | LC-MS/MS | [13] |
| USA | 2011 | Wheat | 10 | 70 | 85 * | 4760 | – | LC-MS/MS | [17] |
| The Netherlands | 2007–2010 | Rye Triticale Wheat Other cereals | 69 45 18 4 | 50.7 33.3 38.9 25.0 | 121 * 63.9 * 56 * 961 * | 1231 297 529 961 | 2/10 | LC-MS/MS | [12] |
| Germany | 2005–2007 | Rye Triticale Wheat Other grains | 15 14 21 14 | 100 93 86 93 | 96 * 25 * 29 * 44 * | 1067 1103 1236 140 | 5/10 | HPLC-FLD | [11] |
| Ergot Alkaloid | Retention Time (min) | Precursor Ion (m/z) | Product Ion 1 (m/z) | Product Ion 2 (m/z) |
|---|---|---|---|---|
| Ergometrine | 4.38 | 326.22 | 223.17 | 208.07 |
| Ergometrinine | 4.74 | 326.20 | 180.18 | 223.16 |
| Ergosine | 6.56 | 548.35 | 208.06 | 268.15 |
| Ergosinine | 6.75 | 548.41 | 223.16 | 277.19 |
| Ergocornine | 7.08 | 562.35 | 208.05 | 268.20 |
| Ergocorninine | 7.51 | 562.35 | 223.09 | 277.18 |
| Ergocryptine | 7.47 | 576.35 | 223.09 | 208.05 |
| Ergocryptinine | 7.99 | 576.35 | 223.09 | 305.17 |
| Ergotamine | 6.97 | 582.35 | 208.04 | 223.08 |
| Ergotaminine | 7.24 | 582.35 | 223.08 | 297.10 |
| Ergocristine | 7.84 | 610.35 | 208.05 | 223.09 |
| Ergocristinine | 8.47 | 610.35 | 305.17 | 223.09 |
Publisher’s Note: MDPI stays neutral with regard to jurisdictional claims in published maps and institutional affiliations. |
© 2020 by the authors. Licensee MDPI, Basel, Switzerland. This article is an open access article distributed under the terms and conditions of the Creative Commons Attribution (CC BY) license (http://creativecommons.org/licenses/by/4.0/).
Share and Cite
Babič, J.; Tavčar-Kalcher, G.; Celar, F.A.; Kos, K.; Červek, M.; Jakovac-Strajn, B. Ergot and Ergot Alkaloids in Cereal Grains Intended for Animal Feeding Collected in Slovenia: Occurrence, Pattern and Correlations. Toxins 2020, 12, 730. https://doi.org/10.3390/toxins12110730
Babič J, Tavčar-Kalcher G, Celar FA, Kos K, Červek M, Jakovac-Strajn B. Ergot and Ergot Alkaloids in Cereal Grains Intended for Animal Feeding Collected in Slovenia: Occurrence, Pattern and Correlations. Toxins. 2020; 12(11):730. https://doi.org/10.3390/toxins12110730
Chicago/Turabian StyleBabič, Janja, Gabrijela Tavčar-Kalcher, Franci Aco Celar, Katarina Kos, Matjaž Červek, and Breda Jakovac-Strajn. 2020. "Ergot and Ergot Alkaloids in Cereal Grains Intended for Animal Feeding Collected in Slovenia: Occurrence, Pattern and Correlations" Toxins 12, no. 11: 730. https://doi.org/10.3390/toxins12110730
APA StyleBabič, J., Tavčar-Kalcher, G., Celar, F. A., Kos, K., Červek, M., & Jakovac-Strajn, B. (2020). Ergot and Ergot Alkaloids in Cereal Grains Intended for Animal Feeding Collected in Slovenia: Occurrence, Pattern and Correlations. Toxins, 12(11), 730. https://doi.org/10.3390/toxins12110730
