Research on the Mechanism of Action of a Citrinin and Anti-Citrinin Antibody Based on Mimotope X27
Abstract
1. Introduction
2. Results
2.1. Homologous Modeling and Molecular Docking
2.2. Docking Model Verification
2.3. Alanine Scan
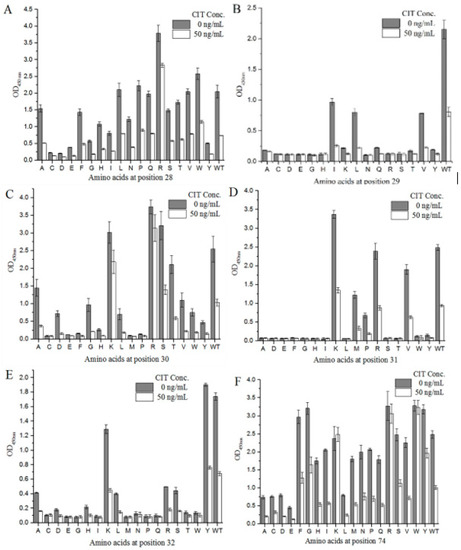
2.4. Generation and Screen of Site-Directed Saturation Mutants
2.5. Establishment of the Standard Curve
3. Discussion
3.1. Constructing a Site-Saturated Mutation Library to Screen Mutants
3.2. Mutant F29V Sensitivity Improvement Mechanism
3.3. Random Combination of Optimal Mutation Sites for T28F, F29V, and N30V
4. Conclusions
5. Materials and Methods
5.1. Bacterial Strains, Plasmids, Libraries, and Helper Phage and Reagents
5.2. Homologous Modeling and Molecular Docking
5.3. Validation of Molecular Docking
5.4. Alanine Scan
5.5. Generation and Screen of Site-Directed Saturation Mutants
5.6. Establishment of Standard Curve
Supplementary Materials
Author Contributions
Funding
Conflicts of Interest
References
- Scott, P.M.; van Walbeek, W.; Kennedy, B.; Anyeti, D. Mycotoxins (ochratoxin A, citrinin, and sterigmatocystin) and toxigenic fungi in grains and other agricultural products. J. Agric. Food Chem. 1972, 20, 1103–1109. [Google Scholar] [CrossRef] [PubMed]
- Tanaka, K.; Sago, Y.; Zheng, Y.; Nakagawa, H.; Kushiro, M. Mycotoxins in rice. Int. Food Microbiol. 2007, 119, 59–66. [Google Scholar] [CrossRef] [PubMed]
- Marley, E.; Brown, P.; Leeman, D.; Donnelly, C. Analysis of Citrinin in Cereals, Red Yeast Rice Dietary Supplement, and Animal Feed by Immunoaffinity Column Cleanup and LC with Fluorescence Detection. J. AOAC Int. 2016, 99, 1025–1031. [Google Scholar] [CrossRef] [PubMed]
- Yang, H.; Wang, X.; Li, Z.; Guo, Q.; Yang, M.; Chen, D.; Wang, C. The Effect of Blue Light on the Production of Citrinin in Monascus purpureus M9 by Regulating the mraox Gene through lncRNA AOANCR. Toxins 2019, 11, 536. [Google Scholar] [CrossRef] [PubMed]
- Pitt, J.I. Biology and ecology of toxigenic penicillium species. In Mycotoxins and Food Safety; DeVries, J.W., Trucksess, M.W., Jackson, L.S., Eds.; Springer: Berlin/Heidelberg, Germany, 2002; Volume 504, pp. 29–41. [Google Scholar]
- Gayathri, L.; Dhivya, R.; Dhanasekaran, D.; Periasamy, V.S.; Alshatwi, A.A.; Akbarsha, M.A. Hepatotoxic effect of ochratoxin A and citrinin, alone and in combination, and protective effect of vitamin E: In vitro study in HepG2 cell. Food Chem. Toxicol. 2015, 83, 151–163. [Google Scholar] [CrossRef] [PubMed]
- Krejci, M.E.; Bretz, N.S.; Koechel, D.A. Citrinin produces acute adverse changes in renal function and ultrastructure in pentobarbital-anesthetized dogs without concomitant reductions in potassium (plasma). Toxicology 1996, 106, 167–177. [Google Scholar] [CrossRef]
- Bouslimi, A.; Bouaziz, C.; Ayed-Boussema, I.; Hassen, W.; Bacha, H. Individual and combined effects of ochratoxin A and citrinin on viability and DNA fragmentation in cultured Vero cells and on chromosome aberrations in mice bone marrow cells. Toxicology 2008, 251, 1–7. [Google Scholar] [CrossRef]
- Mariappan, A.K.; Munusamy, P.; Latheef, S.K.; Singh, S.D.; Dhama, K. Hepato nephropathology associated with inclusion body hepatitis complicated with citrinin mycotoxicosis in a broiler farm. Vet. World 2018, 11, 112–117. [Google Scholar] [CrossRef]
- Keller, J.; Moldenhauer, D.; Byrne, L.; Haase, H.; Resch-Genger, U.; Koch, M. Complexes of the Mycotoxins Citrinin and Ochratoxin A with Aluminum Ions and their Spectroscopic Properties. Toxins 2018, 10, 538. [Google Scholar] [CrossRef]
- Jeswal, P.; Kumar, D. Mycobiota and Natural Incidence of Aflatoxins, Ochratoxin A, and Citrinin in Indian Spices Confirmed by LC-MS/MS. Int. J. Microbiol. 2015, 2015, 242486. [Google Scholar] [CrossRef]
- Fox, M.; Gray, G.; Kavanagh, K.; Lewis, C.; Doyle, S. Detection of Aspergillus fumigatus mycotoxins: Immunogen synthesis and immunoassay development. J. Microbiol. Methods 2004, 56, 221–230. [Google Scholar] [CrossRef] [PubMed][Green Version]
- Zhang, X.; Wang, Z.; Fang, Y.; Sun, R.; Cao, T.; Paudyal, N.; Fang, W.; Song, H. Antibody Microarray Immunoassay for Simultaneous Quantification of Multiple Mycotoxins in Corn Samples. Toxins 2018, 10, 415. [Google Scholar] [CrossRef] [PubMed]
- Burmistrova, N.A.; Rusanova, T.Y.; Yurasov, N.A.; Goryacheva, I.Y.; De Saeger, S. Multi-detection of mycotoxins by membrane based flow-through immunoassay. Food Control 2014, 46, 462–469. [Google Scholar] [CrossRef]
- Knopp, D. Immunoassay development for environmental analysis. Anal. Bioanal. Chem. 2006, 385, 425–427. [Google Scholar] [CrossRef]
- Dong, S.; Gao, M.; Bo, Z.; Guan, L.; Hu, X.; Zhang, H.; Liu, B.; Li, P.; He, K.; Liu, X.; et al. Production and characterization of a single-chain variable fragment antibody from a site-saturation mutagenesis library derived from the anti-Cry1A monoclonal antibody. Int. J. Biol. Macromol. 2020, 149, 60–69. [Google Scholar] [CrossRef]
- Zhang, M.Y.; Shu, Y.U.; Rudolph, D.; Prabakaran, P.; Labrijn, A.F.; Zwick, M.B.; Lal, R.B.; Dimitrov, D.S. Improved breadth and potency of an HIV-1-neutralizing human single-chain antibody by random mutagenesis and sequential antigen panning. J. Mol. Biol. 2004, 335, 209–219. [Google Scholar] [CrossRef]
- Casset, F.; Roux, F.; Mouchet, P.; Bes, C.; Chardes, T.; Granier, C.; Mani, J.C.; Pugniere, M.; Laune, D.; Pau, B.; et al. A peptide mimetic of an anti-CD4 monoclonal antibody by rational design. Biochem. Biophys. Res. Commun. 2003, 307, 198–205. [Google Scholar] [CrossRef]
- Verhaeghe, T.; de Winter, K.; Berland, M.; de Vreese, R.; D’Hooghe, M.; Offmann, B.; Desmet, T. Converting bulk sugars into prebiotics: Semirational design of a transglucosylase with controlled selectivity. Chem. Commun. 2016, 52, 3687–3689. [Google Scholar] [CrossRef]
- Rockah-Shmuel, L.; Toth-Petroczy, A.; Tawfik, D.S. Systematic Mapping of Protein Mutational Space by Prolonged Drift Reveals the Deleterious Effects of Seemingly Neutral Mutations. PLoS Comput. Biol. 2015, 11. [Google Scholar] [CrossRef]
- Ning, J.; Ahmed, S.; Cheng, G.; Chen, T.; Wang, Y.; Peng, D.; Yuan, Z. Analysis of the stability and affinity of BlaR-CTD protein to -lactam antibiotics based on docking and mutagenesis studies. J. Biol. Eng. 2019, 13, 27. [Google Scholar] [CrossRef]
- Qiu, T.; Xiao, H.; Zhang, Q.; Qiu, J.; Yang, Y.; Wu, D.; Cao, Z.; Zhu, R. Proteochemometric Modeling of the Antigen-Antibody Interaction: New Fingerprints for Antigen, Antibody and Epitope-Paratope Interaction. PLoS ONE 2015, 10, e0122416. [Google Scholar] [CrossRef] [PubMed]
- Shu, M.; Xu, Y.; Wang, D.; Liu, X.; Li, Y.; He, Q.; Tu, Z.; Qiu, Y.; Ji, Y.; Wang, X. Anti-idiotypic nanobody: A strategy for development of sensitive and green immunoassay for Fumonisin B-1. Talanta 2015, 143, 388–393. [Google Scholar] [CrossRef] [PubMed]
- Xu, Y.; Xiong, L.; Li, Y.; Xiong, Y.; Tu, Z.; Fu, J.; Chen, B. Anti-idiotypic nanobody as citrinin mimotope from a naive alpaca heavy chain single domain antibody library. Anal. Bioanal. Chem. 2015, 407, 5333–5341. [Google Scholar] [CrossRef] [PubMed]
- Qiu, Y.-L.; He, Q.-H.; Xu, Y.; Bhunia, A.K.; Tu, Z.; Chen, B.; Liu, Y.-Y. Deoxynivalenol-mimic nanobody isolated from a naive phage display nanobody library and its application in immunoassay. Anal. Chim. Acta 2015, 887, 201–208. [Google Scholar] [CrossRef] [PubMed]
- Yang, B.; Lin, S.-J.; Ren, J.-Y.; Liu, T.; Wang, Y.-M.; Li, C.-M.; Xu, W.-W.; He, Y.-W.; Zheng, W.-H.; Zhao, J.; et al. Molecular Docking and Molecular Dynamics (MD) Simulation of Human Anti-Complement Factor H (CFH) Antibody Ab42 and CFH Polypeptide. Int. J. Mol. Sci. 2019, 20, 2568. [Google Scholar] [CrossRef]
- Luo, L.; Luo, Q.; Guo, L.; Lv, M.; Lin, Z.; Geng, J.; Li, X.; Li, Y.; Shen, B.; Qiao, C.; et al. Structure-based affinity maturation of a chimeric anti-ricin antibody C4C13. J. Biomol. Struct. Dyn. 2014, 32, 416–423. [Google Scholar] [CrossRef]
- Zhao, F.; Tian, Y.; Shen, Q.; Liu, R.; Shi, R.; Wang, H.; Yang, Z. A novel nanobody and mimotope based immunoassay for rapid analysis of aflatoxin B1. Talanta 2019, 195, 55–61. [Google Scholar] [CrossRef]
- Xu, Y.; Xiong, L.; Li, Y.; Xiong, Y.; Tu, Z.; Fu, J.; Tang, X. Citrinin detection using phage-displayed anti-idiotypic single-domain antibody for antigen mimicry. Food Chem. 2015, 177, 97–101. [Google Scholar] [CrossRef]
- Huang, W.; Tu, Z.; Ning, Z.; He, Q.; Li, Y. Development of Real-Time Immuno-PCR Based on Phage Displayed an Anti-Idiotypic Nanobody for Quantitative Determination of Citrinin in Monascus. Toxins 2019, 11, 572. [Google Scholar] [CrossRef]
- Yokota, A.; Tsumoto, K.; Shiroishi, M.; Kondo, H.; Kumagai, I. The role of hydrogen bonding via interfacial water molecules in antigen-antibody complexation—The HyHEL-10-HEL interaction. J. Biol. Chem. 2003, 278, 5410–5418. [Google Scholar] [CrossRef]
- Darwish, I.A.; Alzoman, N.Z.; Abuhejail, R.M.; El-Samani, T.E. Synthesis of hapten and preparation of specific polyclonal antibody with high affinity for lenalidomide, the potent drug for treatment of multiple myeloma. Chem. Cent. J. 2012, 6. [Google Scholar] [CrossRef] [PubMed]
- Bordoli, L.; Kiefer, F.; Arnold, K.; Benkert, P.; Battey, J.; Schwede, T. Protein structure homology modeling using SWISS-MODEL workspace. Nat. Protoc. 2009, 4, 1–13. [Google Scholar] [CrossRef] [PubMed]
- Pierce, B.G.; Wiehe, K.; Hwang, H.; Kim, B.-H.; Vreven, T.; Weng, Z. ZDOCK server: Interactive docking prediction of protein-protein complexes and symmetric multimers. Bioinformatics 2014, 30, 1771–1773. [Google Scholar] [CrossRef] [PubMed]
- Cheok, H.S.; Jaworski, J. Phage based screening strategy for identifying enzyme substrates. J. Biol. Chem. 2016, 105, 446–454. [Google Scholar] [CrossRef]






| Numbers | Primers | Sequences (5′→3′) |
|---|---|---|
| 223 | M13-r | AGCGGATAACAATTTCACACAGGA |
| 224 | pHEN-r | GCCCCATTCAGATCCTCTTC |
| 225 | (28-32)A-f | TCTGGACGCGCTgctgctgctgctCCCATGAGCTGGTTCCGCC |
| 226 | (28-32)A-r | CTCATGGGagcagcagcagcagcGCGTCCAGAGCCTGCACAGG |
| 230 | T28A-f | TCTGGACGCgctTTCAATAGGTATCCCATG |
| 231 | T28A-r | CCTATTGAAagcGCGTCCAGAGCCTGCACA |
| 232 | F29A-f | GGACGCACCgctAATAGGTATCCCATGAGC |
| 233 | F29A-r | ATACCTATTagcGGTGCGTCCAGAGCCTGC |
| 234 | N30A-f | CGCACCTTCgctAGGTATCCCATGAGCTGG |
| 235 | N30A-r | GGGATACCTagcGAAGGTGCGTCCAGAGCC |
| 236 | R31A-f | ACCTTCAATgctTATCCCATGAGCTGGTTC |
| 237 | R31A-r | CATGGGATAagcATTGAAGGTGCGTCCAGA |
| 238 | Y32A-f | TTCAATAGGgctCCCATGAGCTGGTTCCGC |
| 239 | Y32A-r | GCTCATGGGagcCCTATTGAAGGTGCGTCC |
| 240 | N74A-f | TCCAGAGACgctGCCAAGAACACGGTGTTT |
| 241 | N74A-r | GTTCTTGGCagcGTCTCTGGAGATGGTGAA |
| 245 | T28ss-f | TCTGGACGCnnkTTCAATAGGTATCCCATG |
| 246 | T28ss-r | CCTATTGAAmnnGCGTCCAGAGCCTGCACA |
| 247 | F29ss-f | GGACGCACCnnkAATAGGTATCCCATGAGC |
| 248 | F29ss-r | ATACCTATTmnnGGTGCGTCCAGAGCCTGC |
| 249 | N30ss-f | CGCACCTTCnnkAGGTATCCCATGAGCTGG |
| 250 | N30ss-r | GGGATACCTmnnGAAGGTGCGTCCAGAGCC |
| 251 | R31ss-f | ACCTTCAATnnkTATCCCATGAGCTGGTTC |
| 252 | R31ss-r | CATGGGATAmnnATTGAAGGTGCGTCCAGA |
| 253 | Y32ss-f | TTCAATAGGnnkCCCATGAGCTGGTTCCGC |
| 254 | Y32ss-r | GCTCATGGGmnnCCTATTGAAGGTGCGTCC |
| 255 | N74ss-f | TCCAGAGACnnkGCCAAGAACACGGTGTTT |
| 256 | N74ss-r | GTTCTTGGCmnnGTCTCTGGAGATGGTGAA |
| Numbers | X27: Anti-CIT ScFv | F29V: Anti-CIT ScFv |
|---|---|---|
| 1 | Thr28:Tyr33 | Thr28:Tyr33 |
| 2 | Ala75:Arg102 | Ala75:Arg102 |
| 3 | Gln1:Asn55 | Gln1:Asn55 |
| 4 | Thr28:Asp52 | Thr28:Asp52 |
| 5 | Arg31:Leu100 | Arg31:Leu100 |
| 6 | Tyr32:Glu59 | Tyr32:Glu59 |
| 7 | Trp53:Ser183 | Trp53:Ser183 |
| 8 | Try106:Asp57 |
© 2020 by the authors. Licensee MDPI, Basel, Switzerland. This article is an open access article distributed under the terms and conditions of the Creative Commons Attribution (CC BY) license (http://creativecommons.org/licenses/by/4.0/).
Share and Cite
Li, Y.; Hu, Y.; Tu, Z.; Ning, Z.; He, Q.; Fu, J. Research on the Mechanism of Action of a Citrinin and Anti-Citrinin Antibody Based on Mimotope X27. Toxins 2020, 12, 655. https://doi.org/10.3390/toxins12100655
Li Y, Hu Y, Tu Z, Ning Z, He Q, Fu J. Research on the Mechanism of Action of a Citrinin and Anti-Citrinin Antibody Based on Mimotope X27. Toxins. 2020; 12(10):655. https://doi.org/10.3390/toxins12100655
Chicago/Turabian StyleLi, Yanping, Yucheng Hu, Zhui Tu, Zhenqiang Ning, Qinghua He, and Jinheng Fu. 2020. "Research on the Mechanism of Action of a Citrinin and Anti-Citrinin Antibody Based on Mimotope X27" Toxins 12, no. 10: 655. https://doi.org/10.3390/toxins12100655
APA StyleLi, Y., Hu, Y., Tu, Z., Ning, Z., He, Q., & Fu, J. (2020). Research on the Mechanism of Action of a Citrinin and Anti-Citrinin Antibody Based on Mimotope X27. Toxins, 12(10), 655. https://doi.org/10.3390/toxins12100655
