Aptamer-Based Fluorometric Ochratoxin A Assay Based on Photoinduced Electron Transfer
Abstract
1. Introduction
2. Results and Discussion
2.1. Principle of OTA Detection
2.2. Feasibility of the Proposed Method
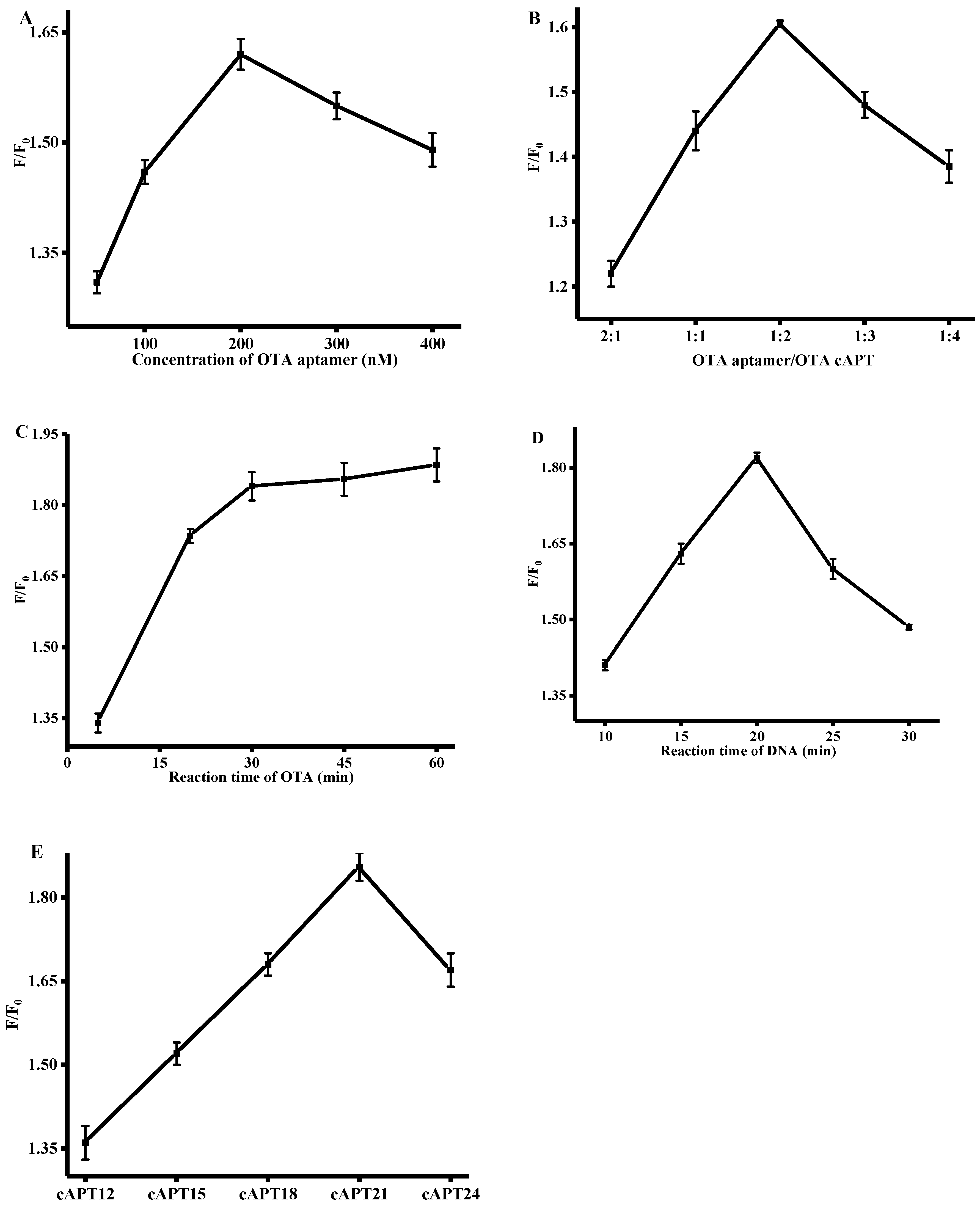
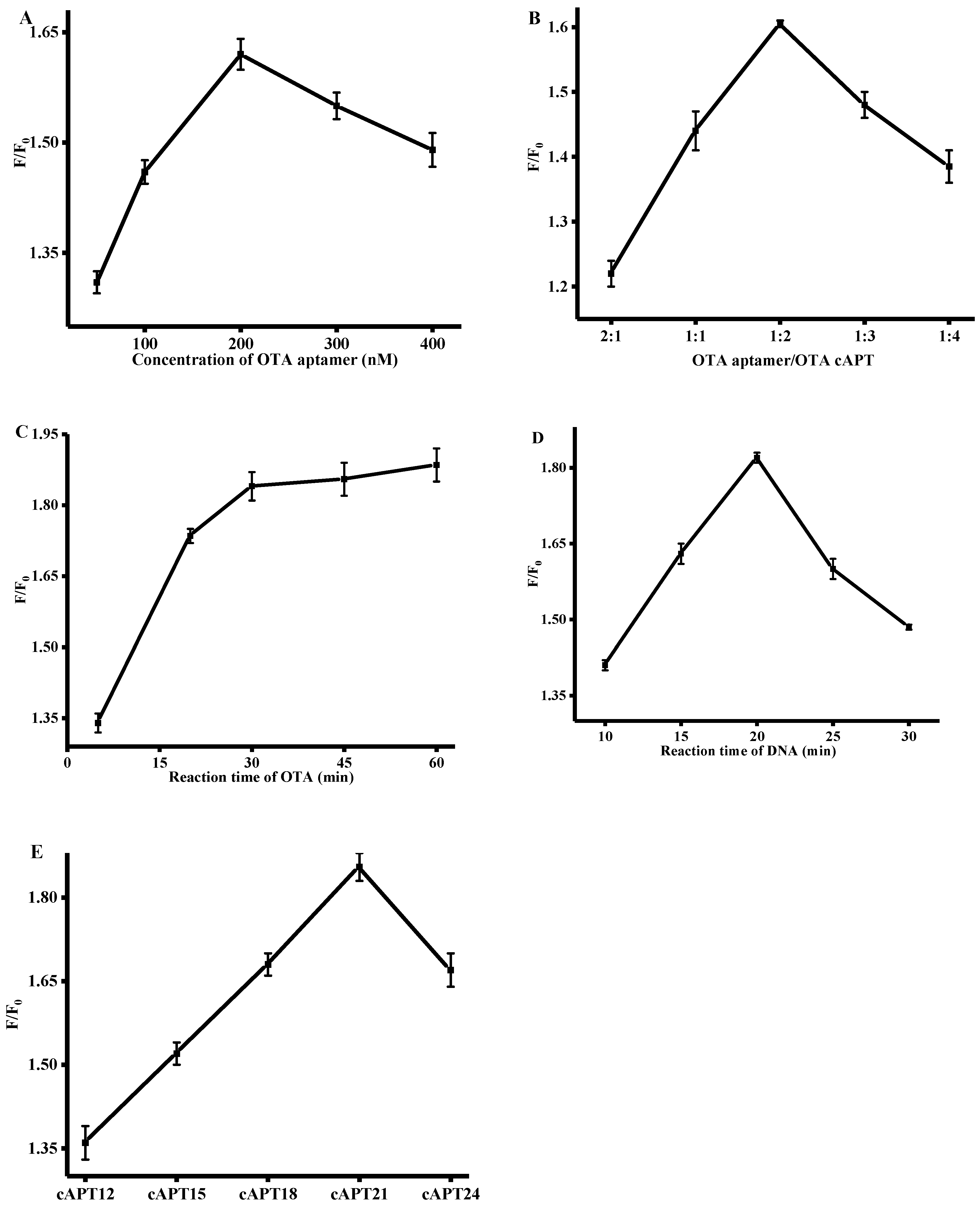
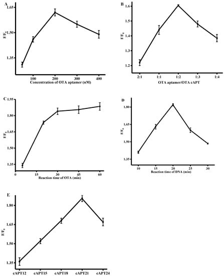
2.3. Optimization of Assay Conditions
2.4. Quantitative Detection of OTA
2.5. Selectivity of OTA Assay
2.6. Detection of OTA in Red Wine Samples
3. Conclusions
4. Materials and Methods
4.1. Reagents
4.2. Apparatus
4.3. Optimization of Reaction Conditions
4.4. Detection of OTA by Fluorescence
4.5. Selectivity Assay
4.6. Assay of Real Samples
Author Contributions
Funding
Acknowledgments
Conflicts of Interest
References
- Vanderme, K.J.; Steyn, P.S.; Fourie, L.; Scott, D.B.; Theron, J.J. Ochratoxin A, a toxic metabolite produced by Aspergillus ochraceus with. Nature 1965, 205, 1112–1113. [Google Scholar]
- Covarelli, L.; Beccari, G.; Marini, A.; Tosi, L. A review on the occurrence and control of ochratoxigenic fungal species and ochratoxin a in dehydrated grapes, non-fortified dessert wines and dried vine fruit in the mediterranean area. Food Control 2012, 21, 347–356. [Google Scholar] [CrossRef]
- Jodra, A.; Hervas, M.; Lopez, M.A.; Escarpa, A. Disposable electrochemical magneto immunosensor for simultaneous simplified calibration and determination of Ochratoxin a in coffee samples. Sens. Actuators B Chem. 2015, 221, 777–783. [Google Scholar] [CrossRef]
- Chen, J.; Fang, Z.; Liu, J.; Zeng, L. A simple and rapid biosensor for ochratoxin A based on a structure-switching signaling aptamer. Food Control 2012, 25, 555–560. [Google Scholar] [CrossRef]
- Zhang, Z.; Gan, F.; Xue, H.; Liu, Y.; Huang, D.; Khan, A.Z.; Chen, X.; Huang, K. Nephropathy and hepatopathy in weaned piglets provoked by natural ochratoxin A and involved mechanisms. Exp. Toxicol. Pathol. 2015, 68, 205–213. [Google Scholar] [CrossRef] [PubMed]
- Gaag, B.V.D.; Spath, S.; Dietrich, H.; Stigter, E.; Boonzaaijer, G.; Osenbruggen, T.V.; Koopal, K. Biosensors and multiple mycotoxin analysis. Food Control 2003, 14, 251–254. [Google Scholar] [CrossRef]
- Olsson, J.; Börjesson, T.; Lundstedt, T.; chnürer, J. Detection and quantification of ochratoxin A and deoxynivalenol in barley grains by GC-MS and electronic nose. Int. J. Food Microbiol. 2002, 72, 203–214. [Google Scholar] [CrossRef]
- Reinsch, M.; Töpfer, A.; Lehmann, A.; Nehls, I.; Panne, U. Determination of ochratoxin A in beer by LC-MS/MS ion trap detection. Food Chem. 2007, 100, 312–317. [Google Scholar] [CrossRef]
- Santos, E.; Varga, E. Immunoaffinity column clean-up and thin layer chromatography for determination of ochratoxin A in green coffee. Food Addit. Contam. 2002, 19, 447–458. [Google Scholar] [CrossRef]
- Tessini, C.; Mardones, C.; Baer, D.V.; Vega, M.; Herlitz, E.; Saelzer, R.; Silva, J.; Torres, O. Alternatives for sample pre-treatment and HPLC determination of ochratoxin A in red wine using fluorescence detection. Anal. Chim. Acta 2010, 660, 119–126. [Google Scholar] [CrossRef]
- Flajs, D.; Domijan, A.M.; Ivic, D.; Cvjetkovic, B.; Peraica, M. ELISA and HPLC analysis of ochratoxin A in red wines of Croatia. Food Control 2009, 20, 590–592. [Google Scholar] [CrossRef]
- Yu, F.Y.; Chi, T.F.; Liu, B.H.; Su, C.C. Development of a Sensitive Enzyme-Linked Immunosorbent Assay for the Determination of Ochratoxin A. J. Agric. Food Chem. 2005, 53, 6947–6953. [Google Scholar] [CrossRef] [PubMed]
- Zamfir, L.G.; Geana, I.; Bourigua, S.; Rotariu, L.; Bala, C.; Errachid, A.; Jaffrezic-Renault, N. Highly sensitive label-free immunosensor for ochratoxin A based on functionalized magnetic nanoparticles and EIS/SPR detection. Sens. Actuators B Chem. 2011, 59, 178–184. [Google Scholar]
- Klussmann, S. The Aptamer Handbook, Functional Oligonucleotides and Their Applications; Vch. Verlagsgesellschaft Mbh.: Berlin, Germany, 2006; pp. 363–416. [Google Scholar]
- Tombelli, S.; Minunni, M.; Mascini, M. Analytical applications of aptamers. Biosens. Bioelectron. 2005, 20, 2424–2434. [Google Scholar] [CrossRef]
- Wu, K.; Ma, C.; Zhao, H.; He, H.L.; Chen, H.C. Label-Free G-Quadruplex Aptamer Fluorescence Assay for Ochratoxin A Using a Thioflavin T Probe. Toxins 2018, 10, 198. [Google Scholar] [CrossRef] [PubMed]
- Wu, K.; Ma, C.; Deng, Z.; Fang, N.; Tang, Z.; Zhu, X.; Wang, K. Label-free and nicking enzyme-assisted fluorescence signal amplification for RNase H analysis based on a G-quadruplexe/thioflavin T complex. Talanta 2018, 182, 142–147. [Google Scholar] [CrossRef]
- Liu, H.S.; Ma, C.B.; Feng, N.; Chen, H.C.; He, H.L.; Wang, K.M.; Wang, J. A facile label-free G-quadruplex based fluorescent aptasensor method for rapid detection of ATP. Spectrochim. Acta A 2017, 175, 164–167. [Google Scholar] [CrossRef] [PubMed]
- Lu, S.; Wang, S.; Zhao, J.; Sun, J.; Yang, X. Fluorescence Light-Up Biosensor for MicroRNA Based on the Distance-Dependent Photoinduced Electron Transfer. Anal. Chem. 2017, 89, 8429–8436. [Google Scholar] [CrossRef]
- Tan, W.; Donovan, M.J.; Jiang, J. Aptamers from Cell-Based Selection for Bioanalytical Applications. Chem. Rev. 2013, 113, 2842–2862. [Google Scholar] [CrossRef]
- Khusbu, F.Y.; Zhou, X.; Chen, H.C.; Ma, C.B.; Wang, K.M. Thioflavin T as a fluorescence probe for biosensing applications. Trends Anal. Chem. 2018, 109, 1–18. [Google Scholar] [CrossRef]
- Xia, X.; He, Q.; Dong, Y.; Deng, R.; Li, J. Aptamer-based homogeneous analysis for food control. Curr. Anal. Chem. 2018, 14, 1–9. [Google Scholar] [CrossRef]
- Wu, K.; Ma, C.; Zhao, H.; Chen, M.; Deng, Z. Sensitive aptamer-based fluorescene assay for ochratoxin A based on RNase H signal amplification. Food Chem. 2019, 277, 273–278. [Google Scholar] [CrossRef] [PubMed]
- Xia, X.; Wang, H.; Yang, H.; Deng, S.; Deng, R.; Dong, Y.; He, Q. Dual-terminal stemmed aptamer beacon for label-free detection of aflatoxin B1 in broad bean paste and peanut oil via aggregation-induced emission. J. Agric. Food Chem. 2018, 66, 12431–12438. [Google Scholar] [CrossRef] [PubMed]
- Badie Bostan, H.; Danesh, N.M.; Karimi, G.; Ramezani, M.; Mousavi Shaegh, S.A.; Youssefi, K.; Charbgoo, F.; Abnous, K.; Taghdisi, S.M. Ultrasensitive detection of ochratoxin A using aptasensors. Biosens. Bioelectron. 2017, 98, 168–179. [Google Scholar] [CrossRef] [PubMed]
- Jiang, C.; Lan, L.; Yao, Y.; Zhao, F.; Ping, J. Recent progress in application of nanomateiral-enabled biosensors for ochratoxin A detection. Trends Anal Chem. 2018, 102, 236–249. [Google Scholar] [CrossRef]
- Lv, L.; Li, D.H.; Cui, C.B.; Zhao, Y.Y.; Guo, Z.J. Nuclease-aided target recycling signal amplification strategy for ochratoxin a monitoring. Biosens. Bioelectron. 2017, 87, 136–141. [Google Scholar] [CrossRef] [PubMed]
- Ma, C.B.; Wu, K.F.; Zhao, H.; Liu, H.S.; Wang, K.M.; Xia, K. Fluorometric aptamer-based determination of ochratoxin A based on the use of graphene oxide and RNase H-aided amplification. Microchim. Acta 2018, 185, 347. [Google Scholar] [CrossRef] [PubMed]
- Liu, H.S.; Ma, L.B.; Ma, C.B.; Du, J.Y.; Wang, M.L.; Wang, K.M. Quencher-Free Fluorescence Method for the Detection of Mercury(II) Based on Polymerase-Aided Photoinduced Electron Transfer Strategy. Sensors 2016, 16, 1945. [Google Scholar] [CrossRef]
- Wang, W.H.; Jin, Y.; Zhao, Y.; Yue, X.F.; Zhang, C.X. Single-labeled hairpin probe for highly specific and sensitive detection of lead (II) based on the fluorescence quenching of deoxyguanosine and G-quartet. Biosens. Bioelectron. 2013, 41, 137–142. [Google Scholar] [CrossRef]
- Wang, Y.; Yang, L.; Wang, Y.; Liu, W.; Li, B.; Jin, Y. A sensitive and real-time assay of restriction endonuclease activityand inhibition based on photo-induced electron transfer. Sens. Actuators B 2017, 252, 477–482. [Google Scholar]
- Cruzaguado, J.A.; Penner, G. Determination of ochratoxin a with a DNA aptamer. J. Agric. Food Chem. 2008, 56, 10456–10461. [Google Scholar] [CrossRef] [PubMed]
- Yin, X.; Wang, S.; Liu, X.; He, C.; Tang, Y.; Li, Q.; Dong, Y. Aptamer-based colorimetric biosensing of ochratoxin a in fortified white grape wine sample using unmodified gold nanoparticles. Anal. Sci. 2017, 26, 2724–2727. [Google Scholar] [CrossRef] [PubMed]
- Yu, X.H.; Lin, Y.H.; Wang, X.S.; Xu, L.J.; Wang, Z.W.; Fu, F.F. Exonuclease-assisted multicolor aptasensor for visual detection of ochratoxin A based on G-quadruplex-hemin DNAzyme-mediated etching of gold nanorod. Microchim. Acta 2018, 185, 259–267. [Google Scholar] [CrossRef] [PubMed]
- Song, C.X.; Hong, W.W.; Zhang, X.Y.; Lu, Y. Label-free and sensitive detection of ochratoxin a based on dsDNA-templated copper nanoparticles and exonuclease-catalyzed target recycling amplification. Analyst 2018, 143, 1829–1834. [Google Scholar] [CrossRef] [PubMed]





| Method | LOD (nM) | Dynamic Range (nM) | Reference |
|---|---|---|---|
| Colorimetric | 20 | 20–625 | [33] |
| Colorimetric | 10 | 10–200 | [34] |
| Electrochemical | 0.31 | 0.31–6.25 | [13] |
| Fluorescent | 9.8 | 10–100 | [27] |
| Fluorescent | 12.5 | 0–250 | [35] |
| Fluorescent | 2 | 2–200 | [4] |
| Fluorescent | 1.3 | 3–300 | This work |
| Sample Number | Added (nM) | Detected (nM) | Recovery (%) |
|---|---|---|---|
| 1 | 30 | 31.45 ± 2.35 | 104.8 |
| 2 | 80 | 75.05 ± 5.51 | 93.8 |
| 3 | 150 | 138.26 ± 1.84 | 92.2 |
| 4 | 200 | 223.14 ± 1.47 | 111.6 |
| DNA Probe | Sequences (5′-3′) |
|---|---|
| OTA aptamer | GATCGGGTGTGGGTGGCGTAAAGGGAGCATCGGACA |
| cAPT12 | CCA CAC CCG ATC GGGG |
| cAPT15 | CACCCACACCCGATCGGGG |
| cAPT18 | CGCCACCCACACCCGATCGGGG |
| cAPT21 | TTACGCCACCCACACCCGATCGGGG |
| cAPT24 | CCTTTACGCCACCCACACCCGATCGGGG |
© 2019 by the authors. Licensee MDPI, Basel, Switzerland. This article is an open access article distributed under the terms and conditions of the Creative Commons Attribution (CC BY) license (http://creativecommons.org/licenses/by/4.0/).
Share and Cite
Zhao, H.; Xiang, X.; Chen, M.; Ma, C. Aptamer-Based Fluorometric Ochratoxin A Assay Based on Photoinduced Electron Transfer. Toxins 2019, 11, 65. https://doi.org/10.3390/toxins11020065
Zhao H, Xiang X, Chen M, Ma C. Aptamer-Based Fluorometric Ochratoxin A Assay Based on Photoinduced Electron Transfer. Toxins. 2019; 11(2):65. https://doi.org/10.3390/toxins11020065
Chicago/Turabian StyleZhao, Han, Xinying Xiang, Mingjian Chen, and Changbei Ma. 2019. "Aptamer-Based Fluorometric Ochratoxin A Assay Based on Photoinduced Electron Transfer" Toxins 11, no. 2: 65. https://doi.org/10.3390/toxins11020065
APA StyleZhao, H., Xiang, X., Chen, M., & Ma, C. (2019). Aptamer-Based Fluorometric Ochratoxin A Assay Based on Photoinduced Electron Transfer. Toxins, 11(2), 65. https://doi.org/10.3390/toxins11020065
