Abstract
Food security is a global concern. Fusarium are among the most economically important fungal pathogens because they are ubiquitous, disease management remains a challenge, they produce mycotoxins that affect food and feed safety, and trichothecene mycotoxin production can increase the pathogenicity of some Fusarium species depending on the host species. Although trichothecenes may differ in structure by their patterns of hydroxylation or acetylation, these small changes have a significant impact on toxicity and the biological activity of these compounds. Therefore, detecting and identifying which chemotype is present in a given population are important to predicting the specific toxins that may be produced and, therefore, to evaluating the risk of exposure. Due to the challenges of inducing trichothecene production by Fusarium isolates in vitro for subsequent chemical analysis, PCR assays using gene-specific primers, either singly or in combination, designed against specific genes of the trichothecene gene cluster of multiple species of Fusarium have been developed. The establishment of TRI genotypes that potentially correspond to a specific chemotype requires examination of an information and knowledge pipeline whose critical aspects in sequential order are: (i) understanding the TRI gene cluster organization which differs according to Fusarium species under study; (ii) knowledge of the re-arrangements to the core TRI gene cluster over evolutionary time, which also differs according to Fusarium species; (iii) the functions of the TRI genes in the biosynthesis of trichothecene analogs; and (iv) based on (i)–(iii), selection of appropriate target TRI gene(s) for primer design in PCR amplification for the Fusarium species under study. This review, therefore, explains this pipeline and its connection to utilizing TRI genotypes as a possible proxy to chemotype designation.
Key Contribution:
A careful understanding of the TRI gene cluster information and knowledge pipeline is critical for detection and characterization of trichothecene genes in different species of Fusarium.
1. Introduction
Understanding the complex interactions of how and why Fusarium mycotoxins are produced will provide critical information for developing novel strategies to reduce the incidence and severity of Fusarium diseases and mycotoxin contamination of human food and animal feed. Part of the difficulty in characterizing these mycotoxins lies in the species-specific toxico-kinetics, bioavailability and the mechanisms of action discovered in both in vitro and in vivo studies [1,2,3]. Concerted efforts to mitigate this global threat to food safety caused by mycotoxin-producing Fusarium species are reflected in the cumulative work of over 100 active research laboratories worldwide, some for over 25 years [4,5,6].
Trichothecenes are among the most economically important mycotoxins and have a significant impact on cereal and grain production [7]. Mycotoxin contaminated grains pose a health risk for human consumption, animal feed or malting purposes [5]. In the US, based on a report from the FDA, a conservative estimate of annual loss due to mycotoxin contamination ranges from USD 0.5 million to over USD 1.5 billion from aflatoxin (corn and peanuts), fumonisin (corn), and deoxynivalenol (wheat) [8]. Trichothecenes inhibit protein translation and cause oxidative stress in eukaryotes [9]. In plants, trichothecenes produced by Fusarium pathogens (e.g., DON, DAS and T-2-toxin) cause phytotoxicity and aid in increased pathogenicity in several crop hosts [10,11,12]. More than 200 different trichothecenes and trichothecene derivatives have been isolated [13,14]. Trichothecene structures are highly diverse and complex for two main re6asons: (i) variation in the assembly of the 15-carbon skeleton that comprises the backbone of all sesquiterpenes; and (ii) variation in the functional groups that bind to the core structural scaffold in specific regio- and stereospecific manners [15]. As a result, trichothecenes can be classified into four groups based on the pattern of substitution of tricyclic 12,13-epoxytrichothec-9-ene (EPT) (see the review by McCormick et al. [16]), which results in a scheme of four types: A, B, C and D (Figure 1a–g). Type D trichothecenes have more complex structure due to an additional ring linking the C-4 and C-15 position (e.g., roridin A, verrucarin A and baccharin). This feature makes them macrocyclic (Figure 1h–j). Macrocyclic trichothecenes are considered more toxic than the simpler structured trichothecenes [16]. The most recent BIOMIN World Mycotoxin Survey (https://www.biomin.net/en/biomin-mycotoxin-survey/) [17], which investigates the incidence of six major mycotoxins in the agricultural commodities used for livestock feed from 81 countries worldwide, reported that, singly, deoxynivalenol (DON) was the most abundant mycotoxin worldwide and was found in 81% of all samples, followed by fumonisins, which were found in 71% of samples. Type A trichothecenes, e.g., DAS and T-2 toxin, are considered more cytotoxic than Type B trichothecenes, e.g., DON. Chemotypes of Type B trichothecene-producers have been described for Fusarium species as: chemotype I are DON-producers and/or its acetylated derivatives; and chemotype II are NIV and/or 4-ANIV-producers [18]. The DON chemotype can be further split into chemotype IA, which are 3-ADON-producers, and chemotype IB, which are 15-ADON producers [19].
Figure 1.
Structural diversity and complexity of trichothecene analogs; (a–g) illustrate the simpler trichothecene structures; (h–j) illustrate the more complex macrocyclic structures which are considered to be the more toxic trichothecenes. All figures were retrieved from the open chemistry database, PubChem [https://pubchem.ncbi.nlm.nih.gov/compound/21117948].
One of the major analytical challenges to chemical detection, identification and quantification of trichothecenes is their structural complexity and differing levels of toxin production. PCR-based genotyping of the TRI gene cluster as a molecular approach to chemotype prediction has been proposed for a range of Fusarium species. To meet a research objective to detect TRI gene(s) for the establishment of genotypes that potentially correspond to a specific chemotype, an information and knowledge pipeline must be developed and the critical aspects of this pipeline to be examined in sequential order are: (i) understanding the TRI gene cluster organization which differs according to Fusarium species under study; (ii) knowledge of the re-arrangements to the core TRI gene cluster over evolutionary time, which also differs according to Fusarium species; (iii) the functions of the TRI genes in the biosynthesis of trichothecene analogs; and (iv) based on (i)–(iii), selection of appropriate target TRI gene(s) for primer design in PCR amplification for the Fusarium species under study. This review, therefore, explains this pipeline and its connection to utilizing TRI genotypes as a proxy to chemotype designation.
2. Biosynthetic Gene Clusters
To design molecular tools for detecting genes that are involved in the biosynthesis of secondary metabolites, it is important to understand the arrangement and evolutionary maintenance of those genes that encode proteins of the same metabolic pathway. Genes involved in the synthesis of secondary metabolites are usually arranged in clusters and their expression is co-regulated in fungi [20,21,22]. Mycotoxin genes are expressed as a biosynthetic gene cluster (BGC). A BGC can be defined as a group of two or more genes physically located as a cluster in a specific location in the genome [23]. These BGCs usually consist of genes that encode polyketide synthases (PKS), non-ribosomal peptide synthetases (NRPS), hybrids (PKS-NRPS), terpene cyclases (TCs) and prenyltransferases (PTs) in addition to adjacent genes that assist in regulation of gene expression and in transport of the metabolites [24,25]. There are also genes that encode enzymes that serve to modify the parent structure including acyltransferases, amino transferases, dehydrogenases, reductases, dioxygenases, methyltransferases, monooxygenases, and prenyltransferases [26].
Toxic secondary metabolites, such as trichothecenes, are families of structural or chemical analogs that share a common core structure, but differ in the presence of different functional groups that may be attached to this core structure [21,27]. These structural variations may be determined by the gain, loss or differences in function of specific genes that encode modifying enzymes [26]. BGC families encoding the production of polyketides, as in the case of mycotoxins, evolve in a family-specific manner, and are impacted by internal recombination and physical re-positioning of specific genes within the cluster [23,26]. Comparisons of gene cluster organization governing trichothecene production indicate that this is also the case for Fusarium. The development of different gene cluster arrangements in different species of Fusarium suggest that BGC modifications may confer an evolutionary advantage. This may explain why gene clusters, for the expression of mycotoxins as secondary metabolites, are maintained in the genome [21]. For example, the trichothecene NIV, but not DON, is required for increased aggressiveness of Fusarium on maize but not on wheat [28]. If increased pathogenicity reflects an increased fitness advantage, then chemotype diversity may be maintained as an adaptation to different hosts. Further, synteny of genes encoding proteins of mycotoxin production in fungi may represent: (i) a signature of positive selection for protection against the accumulation of toxic intermediates during biosynthesis; and (ii) the route of evolution of the biosynthetic pathways may have developed as stepwise modifications of toxic intermediates [29].
3. Trichothecene Gene Cluster Structure and Organization
Formulating a strategy to characterize trichothecene genotypes and the possible relationship to an isolate’s chemotype requires knowledge of how trichothecene (TRI) genes are arranged as a BGC. The trichothecene biosynthetic gene (TRI) cluster is one of the most extensively studied secondary metabolite gene clusters in fungi [26]. In F. graminearum and F. sporotrichioides, the trichothecene gene cluster has been identified as a 26-kb length of DNA that consists of three loci: a single-gene TRI101 locus, a two-gene TRI1-TRI16 locus, and a 12-gene core TRI cluster (Figure 2) [30]. Conventional names of each trichothecene biosynthetic gene comprise three uppercase letters (TRI, trichothecene) and a number relating to the gene (e.g., TRI3 and TRI4), according to Fusarium genetic nomenclature [31,26]. These genes function in the biosynthesis, regulation, and transport of mycotoxins across the plasma membrane [16,32]. Brown et al. [33] sequenced 14–16 kb of DNA that flanked the TRI gene core cluster and, although 12 new ORFs in both F. sporotrichioides and F. graminearum species were identified, gene expression and gene deletion studies indicated that these flanking regions were not required for trichothecene biosynthesis, thereby defining the 5′ and 3′ ends of the core TRI gene cluster. Seven genes (TRI8, TRI7, TRI3, TRI4, TRI5, TRI11, and TRI13) encode enzymes that catalyze 10 reactions in the biosynthesis of trichothecene [34]. Protein annotations for TRI genes identified for F. graminearum PH-1 isolate (assembly ASM24013v3) on GenBank and the most recent annotations by Proctor et al. [30] are given in Table 1. The smaller, separate two-gene locus consisting of TRI1 and TRI16 is supposedly non-functional in Fusarium species but reports indicate that they have been relocated to the core TRI gene cluster of F. equiseti [30]. TR101 was also inserted into the core cluster of F. equiseti, which is indicative of gene rearrangement during the course of evolutionary time. Figure 2 illustrates the proposed trichothecene biosynthetic gene cluster of F. sporotrichioides, F. graminearum, and F. equiseti [30,34,35,36,37]. Gene TRI6, which recognizes the “TNAGGCC” motif, and TRI10 encode two transcription factors that serve to regulate transcription of TRI genes [26,38,39]. Both genes, therefore, regulate production of trichothecene mycotoxins [26,37,40]. There were no gene rearrangements as shown by the conserved sequential order of genes and the same direction of each arrowhead (which depicts direction of transcription) for each gene for F. sporotrichioides and F. graminearum. There can be loss of TRI13 gene or loss of TRI7 and TRI13 genes for F. graminearum depending on the isolate [26]. Both genes are considered to be pseudogenes (ΨTRI7 and ΨTRI13) where they have lost the ability to produce a functional protein due to mutation accumulation over evolutionary time [26]. Loss of these genes may affect what type of trichothecene mycotoxin is produced, e.g., loss or disruption of TRI7 and TRI13 results in 3-ADON or 15-ADON mycotoxin production [35,37,41]. The TRI13 gene encodes trichothecene-15-O-acetyltransferase (15-ADON), which is involved in production of NIV-producing chemotypes, and disruption of TRI13 gene results in DON-producing chemotypes [36]. Alexander et al. [42] also reported that differential activity of the esterase enzyme encoded by TRI8 determines the 3-ADON and 15-ADON chemotypes in F. graminearum.
Figure 2.
Comparison of the proposed trichothecene biosynthetic gene cluster of Fusarium sporotrichioides, F. graminearum, and F. equiseti [1,30,34,36,37,43].
Table 1.
Gene functions of the TRI gene cluster based on the genome sequence NC_026475.1: Fusarium graminearum PH-1 isolate (assembly ASM24013v3) and based on GenBank annotations and annotations reported by Proctor et al. [26]. GenBank annotations are largely incomplete [44].
There are no gene rearrangements, as shown by the conserved sequential order of genes and the same direction of each arrowhead for each gene for F. sporotrichioides and F. graminearum, which depicts direction of transcription of each gene. There can be loss of one gene (TRI13) or two genes (TRI7 and TRI13) for F. graminearum (white arrows). Loss of these genes may affect what type of trichothecene mycotoxin is produced, e.g., loss of TRI7 or TRI13 results in 3-ADON or 15-ADON mycotoxin production. In F. equiseti, gain of TRI1 and TRI101 gene and change in relative positions of TRI genes (TRI3, TRI7 and TRI8 are also in the opposite orientation and located at the opposite end of the cluster) results in a different gene organization for this species compared to F. sporotrichioides and F. graminearum. Another difference is the insertion of Gene F, which is located between TRI5 and TRI6 in F. equiseti NRRL 13405. ΨTRI16 indicates TRI16 pseudogene. The red arrows for TRI6 and TRI10 indicate that the orientation, presence of these genes and the location of these genes on the 5′ and 3′ end of TRI5 gene are maintained in the core cluster regardless of species. Genes that flank the TRI gene cluster are not shown.
Traditionally, the chemotype of a fungal species is defined as its profile of natural products or its chemical phenotype i.e., the “chemical expression of a genotype” [45]. Different chemical constituents make up the functional groups to which chemotypes belong. Examples of trichothecene chemotypes are the nivalenol (NIV) - and deoxynivalenol (DON)-producing strains of Fusarium. Chemotypes are usually identified by chemical analysis after the toxin is produced in vitro. Mapping the chemotypes of a given Fusarium population is important for: (i) understanding the epidemiology the population in a given area; (ii) predicting the risk of contamination and subsequent exposure to a certain chemotype; and (iii) developing preventive models to decrease risk. However, incongruence between relative aggressiveness/pathogenicity to a particular host species and chemotype means that chemotype alone should not be the sole characteristic of a given toxicogenic fungal population [46].
A range of factors affect mycotoxin production in vitro either singly or in combination [47], and include nitrogen and carbon nutrient conditions [47], pH and temperature [48,49,50], oxidative stress [51], water potential [52,53], other abiotic stresses [54], and chemotype [51]. As a result, in vitro incubation conditions directly influence mycotoxin production, which can lead to false negative results [44]. For example, F. graminearum sensu stricto produces limited quantities of trichothecenes in liquid media and acetyl derivatives of DON are predominantly produced rather than DON [35,55]. Conversely, field-infected grain test positive for DON with smaller amounts of 3-ADON or 15-ADON [56]. Some isolates simply do not produce any toxin regardless of modifications to laboratory conditions [57]. Lowe et al. [5] described detailed protocols for induction of Type B trichothecene mycotoxins in liquid culture (for small- or large-scale production) in order to detect deoxynivalenol (DON) and its various acetylated derivatives but warns of significant differences among replicates. Challenges in mycotoxin induction for chemical analysis have prompted efforts in genotyping based on the TRI gene cluster towards investigating a possible relationship between genotype and chemotype. Molecular approaches involving the use of PCR-based assays for TRI gene detection and identification with TRI gene-specific primers have been developed [46].
Distinct chemotypes appear to be related to gain or loss of specific genes and specific gene rearrangements and the resultant chemotype may not produce a specific toxin or produce a range of toxins with different toxicological properties. It is suggested that loss or gain or alteration of specific genes, which results in differences in core TRI gene structure, may directly or indirectly influence the production of type A or type B trichothecenes in Fusarium [28,30,35,41,58]. Gain of TRI1 and TRI101, which exist as a separate cluster to the core TRI cluster, enables F. graminearum to produce NIV mycotoxin. Gain of TRI1 and TRI101 genes and a change in relative positions of TRI genes in F. equiseti results in a different gene cluster organization compared to F. sporotrichioides and F. graminearum. Homologs of TRI101 have been identified in trichothecene-producing and non-producing species of Fusarium [59,60].
4. Evolution of TRI Genes and Production of Trichothecene Analogs
Understanding what factors contribute to positive selection pressure that results in retention of certain TRI genes will improve our ability to better mitigate mycotoxin risk and may also explain the observed patterns of mycotoxin gene cluster evolution. Sequence comparisons of this gene cluster suggest that there is conservation of certain TRI genes, in terms of gene order and orientation, throughout evolutionary time while other genes have been lost or gained within the genus [4]. This information is important to selecting which genes of the TRI gene cluster should be useful targets for attempting to correlate genotype and chemotype across isolates of a given Fusarium species or among Fusarium species. Comparative genomics suggest that the major drivers of secondary metabolic gene cluster evolution may be accumulation of interspecies polymorphisms, gain or loss of genes, insertion and deletion events, changes in gene cluster expression, and gene rearrangement within gene clusters which may have resulted in activation of different metabolic pathways to produce specific mycotoxins, structural changes in the metabolites as well as changes in metabolite transport [37,61]. Such gain and loss of genes perhaps reflect changes in selection pressure for a particular biological activity conferred by a specific trichothecene analog. Villani et al. [62] compared TRI gene sequence variation for member species of the Fusarium incarnatum-equiseti species complex (FIESC), which has been implicated in disease of a number of crop hosts including wheat and bell pepper [63,64]. Proctor et al. [26] suggested horizontal gene transfer (HGT) events and/or lineage sorting over evolutionary time as possible contributors to TRI gene cluster divergence among Fusarium.
One of the selection pressures that influence production of trichothecenes by F. graminearum is increased pathogenicity of the fungus depending on the host–pathogen interaction. Isolates of F. graminearum that produce NIV trichothecene mycotoxin are more aggressive to maize host plants but not to wheat [28]. The difference in aggressiveness may reflect different fitness levels as a result of adaptation to host availability and host species, and which consequently, may represent one of the drivers of structural diversification of trichothecenes [26]. In addition, one particular modification to the core trichothecene structure (C4 oxygenation) appears to have been lost, re-acquired, and then lost again over evolutionary time and which contributed to the genetic divergence of the Fusarium TRI gene cluster [26]. This phenomenon may represent variable phenotypic expression as a result of biotic and/or abiotic selection pressure. Proctor et al. [26] also reported that trichothecene structural diversity was not directly attributed to TRI gene duplication and the number of TRI loci among nine fungal genera based on genomic, phylogenetic, and analytical chemistry studies. Other evolutionary processes may be responsible for the structural divergence of trichothecenes produced by these pathogenic fungi. The net effect of the observed TRI gene cluster variation suggests that trichothecene-producers are in a state of “fitness flux” with subsequent alteration of the TRI gene cluster portfolio and chemo-diversity for each population and species, as is the case for a number of other fungal species [61,65]. Comparative studies on TRI gene cluster variability that is conclusively represented by specific chemotypes at the level of the transcriptome and proteome may reveal the evolutionary forces that act upon positive selection mechanisms to enable certain chemotypes to persist in the field, and, consequently, assist in identifying the main factors affecting the quantity and type of mycotoxin contamination in specific crop hosts [66].
5. Using Fusarium TRI Gene Cluster for the Identification of Trichothecene Genotypes
Understanding the TRI gene cluster composition and arrangement among different Fusarium species as well as the subsequent involvement of their encoded proteins in the biosynthesis of different trichothecene analogs have allowed development of a number of PCR-based approaches, using gene-specific primers, as a proxy tool for chemotype prediction [36,46,67,68,69]. However, the use of gene-specific primers can lead to false negative results due to mis-priming or no primer annealing because of indels (insertions/deletions) in the primer annealing sites on template DNA [70,71]. The proposal that presence/absence of a gene in the trichothecene biosynthetic pathway equates to the presence/absence of that secondary metabolite is an over-simplification as synthesis consists of multiple gene products encoded by different genes with multiple gene interactions [71]. Pathways of trichothecene biosynthesis, in terms of the genetics and biochemistry, have been extensively studied in Fusarium (Figure 3a–e). Functional analyses of Fusarium trichothecene genes have revealed a genetic basis for the observed structural diversity of trichothecene analogs [16,27,42,43]. Research into characterizing the relationship between trichothecene genotype and chemotype in Fusarium populations is important for determining population structure, monitoring changes in chemotype as a result of biotic and abiotic influences and, possibly, predicting the ability of isolates to produce trichothecene toxins in planta [72,73,74,75]. Such gene interactions may account for the production of isolate-dependent trichothecenes, significant variation in levels of trichothecene production and, in some cases, simultaneous attenuated production of acetylated versions of DON by the same isolates of F. graminearum [6,75]. There are also reports of trichothecene production that is not characteristic for a certain TRI genotype [44,76].




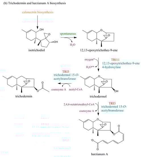
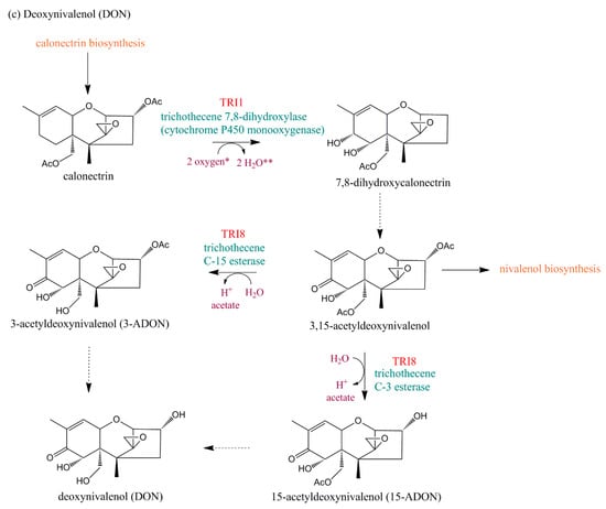
Figure 3.
(a–e) Proposed pathways of trichothecene biosynthesis (pathways were built using ChemBioDraw Ultra software v.12.0). Genes encoding an enzymatic step are identified in red and enzymes that catalyze the reaction are identified in blue. Reactions in which a compound participates as a substrate are indicated in purple. *, a reduced [NADPH-hemoprotein reductase]; **, an oxidized [NADPH-hemoprotein reductase]. Dashed arrows indicate steps for which the gene function remains to be elucidated. Pathways were accessed on the MetaCyc Metabolic Pathway public database, super-pathway of trichothecene biosynthesis [https://biocyc.org/META/NEW-IMAGE?type=PATHWAY&object=PWY-7715&detail-level=1] [77].
5.1. Intra- and Interspecies Variation of TRI Genes at the Nucleotide and Amino Acid Sequence Levels
A BLAST comparison of nucleotide and amino acid sequence similarities for each TRI gene in Fusarium indicated greater sequence variation among species as opposed to variation within species, which may indicate intra-specific conservation and usefulness in the design of gene specific primers in PCR-based assays (Table 2). This comparison included only verified Fusarium sequences as “PopSets” deposited in NCBI’s GenBank and sequences were retained for comparison if the query coverage > 90% (see Table S1). Among the Fusarium species in this study, the lowest nucleotide sequence similarity was found for both TRI4 and TRI14 (75–100%) and the highest nucleotide sequence similarity was found for TRI101 (96–100%). The lowest amino acid sequence similarity was TRI16 (60–100%) and the highest amino acid sequence similarity was TRI11 (90–100%). Comparisons of the nucleotide sequence of the core TRI gene cluster (sequence length = 19277 bases; partial codes for 39 isolates representing 12 different Fusarium species; PopSet: 21429250) were also carried out and the results indicated that sequences, with > 90% query coverage, were 91–100% identical for multiple Fusarium species. Complete core TRI gene cluster sequences for 17 isolates of F. graminearum (GenBank accession numbers MH514940 to MH514957, [78]) were 99–100% identical with 100% query coverage. Sequence identity was reduced to 89% and the query coverage dropped to as low as 15% for species outside of F. graminearum. Table 3 details commonly used primers designed against multiple Fusarium species in other studies.
Table 2.
Comparison of nucleotide and amino acid sequence similarities for each TRI gene.
Table 3.
Commonly used primers designed against specific target genes of the TRI gene cluster for Fusarium.
5.2. Selection of TRI Genes
Based on a comprehensive understanding of the foregoing TRI gene knowledge pipeline, there are a few cases where certain genes of the trichothecene biosynthetic pathway may be suitable for limited gene detection applications by PCR amplification using gene-specific primers. Kimura et al. [68] suggested that TRI genes that may be suitable for studying trichothecene chemotypes (e.g., 4,15-DAS, 3-ADON, and NIV) including those that were inactivated and which resulted in divergence of trichothecene analogs during evolutionary time.
5.2.1. TRI1
Diversification of trichothecene chemotypes in species distant to F. graminearum and F. sporotrichioides results from functional divergence of the monooxygenase enzymes encoded by TRI1 (Figure 3c–e). Further, the relative location of the TRI1 gene in F. graminearum as separate from the main trichothecene gene cluster at a telomere-proximal, which is considered to be a region of high sequence diversity in the genome, compared to the main TRI gene cluster is located at a low diversity genomic position. Rep and Kistler [37] hypothesized that diversification of trichothecenes as T-2 toxin, which differs from NIV and DON chemotype, was potentiated by the change in position of the TRI1 gene near to the telomere. Similar to the cluster itself, TRI1 also exhibits interspecies polymorphisms that appear to reflect chemotype [37]. However, in F. equiseti, the TRI1 gene is relocated to the core TRI gene cluster [30]. It is possible that the sequence variation that occurred within the TRI1 gene prior to relocation followed by its subsequent relocation to the core gene cluster resulted in mutation fixation [37].
High nucleotide and amino acid sequence conservation between genes suggest some usefulness in detecting trichothecene producers [45]. However, isolates within a particular Fusarium species, can share 94% similarity for the same gene. Further, homologs of TRI1 gene can share as little as 85% identity at the amino acid level between species (Table 2). As a result, molecular detection of the TRI1 gene was successful for F. sporotrichioides but not for F. graminearum [45].
5.2.2. TRI5
In a case where genes encode enzymes for reactions occurring at branch points, such genes may be used in trichothecene detection as they are critical to formation of specific end products in the entire biosynthetic pathway [45]. For example, in Fusarium, sequence comparisons and gene function analysis revealed that the TRI5 gene encodes terpene cyclase trichodiene synthase which catalyzes the isomerization of farnesyl pyrophosphate to trichodiene which is the first committed step in trichothecene biosynthesis (Figure 3a) [16,34]. Farnesyl pyrophosphate is a precursor for the synthesis of several different classes of metabolites including sterols, terpenes, terpenoids, dolichols, carotenoids, and ubiquinones (UNIPROT, https://www.uniprot.org/uniprot/P14324). In a survey of Fusarium species, primers specifically designed to target conserved regions of the TRI5 gene consistently amplified a single amplicon of expected size from trichothecene-producing species but not from non-producing species [81]. Niessen and Vogel [84] also used two conserved regions of the TRI5 gene to design primers that targeted 64 species and varieties of Fusarium.
5.2.3. TRI6
TRI6 encodes a transcriptional activator in the core trichothecene biosynthesis gene cluster. TRI6 gene-specific primers designed by Bluhm et al. [85] successfully amplified an expected amplicon for three trichothecene-producing F. culmorum, F. graminearum, and F. sporotrichioides. However, assignment of chemotypes based on TRI6 detection could not be confirmed.
5.2.4. TRI8
Alexander et al. [42] reported that, in Fusarium, 3-ADON and 15-ADON are important chemotypes that differ at the intra-specific and inter-specific levels and confirmed the genetic basis for this difference in chemotype based on TRI8-specific primers for genotype characterization of F. graminearum. TRI8 from 3-ADON-producers catalyzes deacetylation of the 3,15-diacetyldeoxynivalenol intermediate at carbon 15 to give 3-ADON, whereas TRI8 from 15-ADON-producers catalyzes the deacetylation of 3,15-diacetyldeoxynivalenol at carbon 3 to give 15-ADON (Figure 3c–e). The difference lies in sequence variation of the TRI8 gene, which allows differential expression of TRI8 that results in 3-ADON or 15-ADON chemotypes in Fusarium. Comparative analysis of TRI8 gene sequence for 21 Fusarium isolates representing multiple species indicated 89–100% nucleotide sequence identity and 76–100% amino acid sequence identity among species (Table 2). However, intra-specific nucleotide sequence variation for F. graminearum was low at 99–100% identity.
5.2.5. TRI11
TRI11 encodes the enzyme isotrichodermin C-15 hydroxylase (Figure 3a,b). Wang et al. [82] described a multiplex PCR design involving primers that simultaneously target the TRI11 gene sequences from different chemotype-producing F. graminearum sensu lato strains. These primers successfully detected and identified NIV, 3-ADON, and 15-ADON chemotypes using both extracted DNA from fungal isolates and from naturally infected wheat grains. The chemotype-specific DNA pattern reflected the results of chemical analysis for these three trichothecenes. Quarta et al. [80], using TRI11 gene specific primers, confirmed that European isolates of F. culmorum that produce deoxynivalenol belong only to the 3-ADON chemotype. Zhang et al. [74] also reported the development of a PCR-based detection method based on TRI11 sequences that could discriminate among NIV, 3-ADON, and 15-ADON producers belonging to F. asiaticum species. Talas et al. [86,87] also described the relationship between TRI11 genotype and NIV, 3-ADON, and 15-ADON chemotypes among F. graminearum isolates. Comparative analysis of TRI11 gene sequence for 39 Fusarium isolates representing multiple species revealed 89–100% nucleotide sequence identity and 90–100% amino acid sequence identity among species (Table 2). Conversely, inter-species variation at the nucleotide sequence for 33 isolates was low at 94–100% identity and even lower for the amino acid sequence at 98–100%. This may explain the usefulness of species-specific primers designed to target conserved regions of this TRI11 gene.
5.2.6. TRI12
Kulik et al. [44] recently reported on the utility of the TRI12 gene for the identification of trichothecene genotypes through next generation sequence (NGS) comparisons in addition to barcode analyses. This approach required generation of whole genome libraries followed by assembly and annotation of TRI12 sequences. Sequence comparisons revealed polymorphisms in the TRI12 gene of F. graminearum that appear to contribute to variation at the inter-species level rather than at the intra-species level. A comparison of intra-species nucleotide sequence variation for TRI12 gene was very low at 99–100% identity (Table 2). Sequence polymorphisms that border this gene appear to be related to specific chemotypes which make these regions relevant for the development of degenerate primers in PCR-based detection.
The TRI12 gene was also used for development of qPCR tools for the detection and quantification of NIV, 3-ADON, and 15-ADON producers in single wheat seeds [44]. Nielsen et al. [69] also used qPCR to quantify the same three chemotypes among different seed sets and 378 different grain samples (wheat, barley, triticale, rye and oat) from Denmark. These qPCR data also suggested a historical shift in Fusarium species composition in this region.
5.2.7. TRI13
In trichothecene biosynthesis, the gene TRI13 encodes a cytochrome oxidase that catalyzes oxygenation of deoxynivalenol (DON) to produce nivalenol (NIV) (Figure 3d,e). Fusarium isolates with a functional TRI13 can produce both DON and NIV, whereas isolates that carry the ΨTRI13 pseudogene produce DON but not NIV. There are deletions that span large areas of the coding regions of the ΨTRI13 gene of F. graminearum. These deletions result in a non-functional TRI13 gene. Using allele-nonspecific primers that target these regions generate PCR amplification results in PCR products that differ by 276 bp [71]. Kim et al. [88] reported on a strong and significant correlation between TRI13 genotype and DON and NIV production among 163 trichothecene-producing strains of F. graminearum from Korea and the United States.
Molecular discrimination between DON-producing and NIV-producing strains of F. graminearum from Nepal was described by Desjardins et al. [71]. For detection of chemically confirmed DON producers, PCR primers that anneal to sites at the ends of the gene are more reliable than primers that bind closer to the indels [83,88]. Reliability of this PCR-based approach is affected by inability of primers to anneal to complementary regions of target sites due to polymorphisms. For example, the ΨTRI13 gene sequence of F. graminearum isolates from Nepal is polymorphic at this region [83]. Waalwijk et al. [89] also designed TRI13 gene-specific primers that were able to differentiate between DON and NIV chemotype based on amplicon length difference. However, the TRI13 gene length polymorphism approach was unable to identify 15-ADON-producers of F. graminearum sensu stricto [90]. Non-functional pseudogenes accumulate sequence variability at a faster rate when compared to functional genes; thus, suspected TRI13 genotypes require further validation. Comparison of four different Fusarium species revealed 92–100% nucleotide sequence similarity and 76–100% amino acid sequence identity among Fusarium species (Table 2).
5.2.8. TRI3 and TRI6 in Combination
A multiplex PCR assay was developed for simultaneous identification of the species and 3-ADON, 15-ADON and NIV trichothecene chemotypes for F. asiaticum and F. graminearum sensu stricto in Japan, based on three pairs of primers designed to target the TRI6 gene region and one pair of primers designed to target the TRI3 gene [91]. Other Fusarium species including F. acuminatum, F. avenaceum, F. culmorum, F. equiseti, and F. poae tested in this study did not produce the expected PCR product for these primers.
5.2.9. TRI7 and TRI13 in Combination
Genes TRI7 and TRI13 are key to the production of NIV trichothecene in sequential conversion steps from 3,15-acetyldeoxynivalenol to 3,15-diacetylnivalenol (3,15-diANIV) and then to 3,4,15-diANIV (Figure 3d,e) [16,41,66,83,92]. Lee et al. [66] reported on amplicon length difference between NIV and DON chemotype after gene-specific PCR amplification of the TRI7 gene. Both TRI7 and TRI13 genes encode enzymes in NIV-producing isolates, while in DON-producers, multiple mutations result in an inability to produce NIV [36,83]. Chandler et al. [83] reported on the development of PCR assays based on these two genes which accurately indicate a DON or NIV chemotype in F. graminearum, F. culmorum and F. cerealis and proposed that this data can be used to estimate the risk of trichothecene contamination. Starkey et al. [93] method proved to be effective on F. culmorum and F. cerealis based on a multiplex PCR assay to detect both TRI7 and TRI13 genes simultaneously. Mugrabi de Kuppler et al. [75] also described characterizing the TRI7 and TRI13 genotype as DON and NIV chemotypes using gene-specific primers for F. graminearum isolates from Germany; however, there was discordance with respect to the quantity of trichothecene produced and quantified by LC-MSMS analysis.
5.2.10. TRI3 and TRI12 in Combination
Wei et al. [79] reported on PCR assays based on the TRI3 gene (Figure 3a,b) and on the TRI12 gene [58,89]. These primers target trichothecene B-producing Fusarium species and the size of the amplicon is indicative of the chemotype of the isolate (Table 3). A combination of both genes either singly or in multiplex PCR should be congruent for both TRI3 and TRI12 genes. TRI3 and TRI12 are located toward the 5′ and 3′ end of the TRI gene cluster and appear to be conserved among certain species of Fusarium. Combined PCR genotyping of TRI3–TRI12 polymorphisms has been touted as the most robust assay for correlating trichothecene chemotypes [46].
6. Molecular Detection of mRNA Does Not Generally Predict its Protein Level
Real-time PCR using TaqMan® gene expression assays for detection and quantification of mRNA transcribed from TRI12 genes have been described [68,69]. A key assumption in studying mRNA expression is that the ratio of mRNA levels to protein levels remains constant across tissues for any given gene, i.e., the correlation is positive in systems existing in a steady state [94]. However, Fortelny et al. [95] debunked this proposal to predict protein abundance using “the median ratio of protein to mRNA levels as a proxy of the gene-specific translation rate constant” and reported that the proposed correlations significantly overestimate the accuracy of per-gene predictions. During highly dynamic conditions, such as during stress response, post-transcriptional, translational, post-translational processes, resource allocation and “buffering” mechanisms at the protein level can attenuate the production of mRNA. Living cells are hardly under steady state conditions. Liu et al. [96] concluded that transcript levels by themselves are inadequate in predicting production and/or levels of proteins in many scenarios, and thus cannot be used to explain genotype–phenotype relationships without additional verification.
7. Conclusion and Future Prospects
Establishing a direct nexus between TRI genotype, chemotype and toxicity of different classes of trichothecenes is not straightforward and validation of PCR assays should be carried out by chemical analysis of trichothecenes produced by each isolate. Regardless of the TRI genotype, TRI chemotype verification remains the purview of chemical analysis due to discordance at the intra- and interspecific levels and gene interactions, in addition to other factors. Nevertheless, these genotype, chemotype and toxicity characteristics should be studied in tandem to better understand TRI gene evolution, in addition to the risk of contamination and exposure by mycotoxin-producing Fusarium species. Identifying the evolutionary mechanisms that resulted in sorting, rearrangement and consolidation of TRI genes into the core gene cluster for some Fusarium species, and the possible exploitation of the complex mechanisms that regulate mycotoxin biosynthesis can assist in developing multi-tiered approaches for disease management. To date, the TRI gene cluster has been the primary target in developing molecular tools for detection and identification of genotypes and the potential corresponding chemotypes. This strategy has been successful for some TRI genes and for some Fusarium species but not others, and for some isolates of a particular species within a specific geographical region but not others [46]. Additionally, climate change has a significant impact on the emergence of toxigenic fungi and the induction of mycotoxin production depending on the fungal species [97,98,99]. For example, changing climatic conditions has caused fluctuations in the mycotoxin-producing populations of Fusarium species infecting wheat in Europe and resulted in increased infection and mycotoxin contamination by F. graminearum in Central and Northern Europe [100]. This can have potential geographical and temporal trichothecene genotype shifts in this region. Nielsen et al. [69] also reported on a possible chemotype–history relationship based on climate change. These effects are monitored as part of the MYCORED PROJECT (http://www.mycored.eu/) [101] which is a European-driven multinational framework detailing specific targets and objectives for 10 work packages whose objectives include developing novel integrated strategies to reduce contamination by mycotoxins of major concern in economically important food and feed chains. Work package No. 6 (WP6) “Advanced technologies for diagnostics, quantitative detection and novel approaches to control toxigenic fungi”, which focuses on studying “the toxigenic fungal biodiversity by using the developed molecular methods to monitor mycotoxin risks”, has been led by Dr. Antonio Moretti since 2009. Comparison of TRI gene and amino acid sequences from correctly identified Fusarium species will also reveal polymorphism “hot spots”, the types of polymorphisms and regions of nucleotide conservation in the core TRI gene cluster. Whole genome sequencing and functional genomics will explain expression and regulation of TRI genes by focusing on gene transcription, translation and protein–protein interactions under different environmental conditions and for different Fusarium species.
Supplementary Materials
The following are available online at http://www.mdpi.com/2072-6651/11/1/36/s1, Table S1: Hyperlinks to all PopSet data available in GenBank and that were used to determine intra- and interspecific trichothecene gene variation among different Fusarium species.
Author Contributions
R.T.V.—Literature review, writing and revision of manuscript; A.C.R.—Pathways construction in ChemBioDraw Ultra v.12.0, literature review and revision of manuscript; S.N.R.—Literature review, writing and revision of manuscript.
Funding
This research was funded by The University of the West Indies, St. Augustine, Campus Research and Publications Fund, grant number CRP.3.MAR16.12.
Acknowledgments
The authors recognize the wealth of information pertaining to Fusarium mycotoxins, not all of which could have been cited in this review. We wish to thank the reviewers for critically assessing this paper in view of the scope of the information presented.
Conflicts of Interest
The authors declare no conflict of interest.
References
- Moretti, A.; Susca, A.; Mulé, G.; Logrieco, A.; Proctor, R. Molecular biodiversity of mycotoxigenic fungi that threaten food safety. Int. J. Food Microbiol. 2013, 167, 57–66. [Google Scholar] [CrossRef]
- Moretti, A.; Panzarini, G.; Somma, S.; Campagna, C.; Ravaglia, S.; Logrieco, A.F.; Solfrizzo, M. Systemic growth of F. graminearum in wheat plants and related accumulation of deoxynivalenol. Toxins 2014, 6, 1308–1324. [Google Scholar] [CrossRef] [PubMed]
- Bertero, A.; Moretti, A.; Spicer, L.; Caloni, F. Fusarium Molds and Mycotoxins: Potential Species-Specific Effects. Toxins 2018, 10, 244. [Google Scholar] [CrossRef] [PubMed]
- Desjardins, A.E. From yellow rain to green wheat: 25 years of trichothecene biosynthesis research. J. Agric. Food Chem. 2009, 57, 4478–4484. [Google Scholar] [CrossRef] [PubMed]
- Lowe, R.; Jubault, M.; Canning, G.; Urban, M.; Hammond-Kosack, K.E. The induction of mycotoxins by trichothecene producing Fusarium species. In Plant Fungal Pathogens; Springer: Berlin, Germany, 2012; pp. 439–455. [Google Scholar]
- Pasquali, M.; Beyer, M.; Logrieco, A.; Audenaert, K.; Balmas, V.; Basler, R.; Boutigny, A.-L.; Chrpova, J.; Czembor, E.; Gagkaeva, T.; et al. A European database of Fusarium graminearum and F. culmorum trichothecene genotypes. Front. Microbiol. 2016, 7, 406. [Google Scholar] [CrossRef]
- Dean, R.; Van Kan, J.A.; Pretorius, Z.A.; Hammond-Kosack, K.E.; Di Pietro, A.; Spanu, P.D.; Rudd, J.J.; Dickman, M.; Kahmann, R.; Ellis, J. The Top 10 fungal pathogens in molecular plant pathology. Mol. Plant Pathol. 2012, 13, 414–430. [Google Scholar] [CrossRef] [PubMed]
- Cardwell, K.F.; Desjardins, A.; Henry, S.H.; Munkvold, G.; Robens, J. Mycotoxins: The Cost of Achieving Food Security and Food Quality. APS Features 2001. [Google Scholar] [CrossRef]
- Ueno, Y. The toxicology of mycotoxins. Crit. Rev. Toxicol. 1985, 14, 99–132. [Google Scholar] [CrossRef]
- Desjardins, A.; Hohn, T.; McCormick, S.P. Effect of gene disruption of trichodiene synthase on the virulence of Gibberella pulicaris. Mol. Plant-Microbe Int. 1992, 5, 214–222. [Google Scholar] [CrossRef]
- Desjardins, A.; Proctor, R.; McCormick, S.; Hohn, T. Reduced virulence of trichothecene antibiotic-nonproducing mutants of Gibberella zeae in wheat field tests. Fusarium Head Scab: Global Status and Future Prospects. In Proceedings of the Workshop, El Batan, Mexico, 13–17 October 1996. [Google Scholar]
- Cuzick, A.; Urban, M.; Hammond-Kosack, K. Fusarium graminearum gene deletion mutants map1 and tri5 reveal similarities and differences in the pathogenicity requirements to cause disease on Arabidopsis and wheat floral tissue. New Phytol. 2008, 177, 990–1000. [Google Scholar] [CrossRef]
- Eriksen, G.S. Fusarium Toxins in Cereals: A Risk Assessment; Nordic Council of Ministers: Copenhagen, Denmark, 1998.
- Eriksen, G.S.; Pettersson, H. Toxicological evaluation of trichothecenes in animal feed. Anim. Feed Sci. Technol. 2004, 114, 205–239. [Google Scholar] [CrossRef]
- Chappell, J.; Coates, R.M. Sesquiterpenes. In Comprehensive Natural Products II, Chemistry and Biology, 1st ed.; Mander, L., Liu, H.-W.B., Eds.; Elsevier Science and Technology: Oxford, UK, 2010; Volume 1, pp. 609–641. [Google Scholar]
- McCormick, S.P.; Stanley, A.M.; Stover, N.A.; Alexander, N.J. Trichothecenes: From simple to complex mycotoxins. Toxins 2011, 3, 802–814. [Google Scholar] [CrossRef] [PubMed]
- BIOMIN. BIOMIN Mycotoxin Survey. Available online: https://www.biomin.net/en/biomin-mycotoxin-survey/ (accessed on 16 November 2018).
- Sydenham, E.W.; Shephard, G.S.; Thiel, P.G.; Marasas, W.F.; Stockenstrom, S. Fumonisin contamination of commercial corn-based human foodstuffs. J. Agric. Food Chem. 1991, 39, 2014–2018. [Google Scholar] [CrossRef]
- Miller, J.D.; Greenhalgh, R.; Wang, Y.; Lu, M. Trichothecene chemotypes of three Fusarium species. Mycologia 1991. [Google Scholar] [CrossRef]
- Keller, N.P.; Hohn, T.M. Metabolic pathway gene clusters in filamentous fungi. Fungal Genet. Biol. 1997, 21, 17–29. [Google Scholar] [CrossRef] [PubMed]
- Keller, N.P.; Turner, G.; Bennett, J.W. Fungal secondary metabolism: From biochemistry to genomics. Nat. Rev. Microbiol. 2005, 3, 937. [Google Scholar] [CrossRef]
- Brown, D.W.; Lee, S.-H.; Kim, L.-H.; Ryu, J.-G.; Lee, S.; Seo, Y.; Kim, Y.H.; Busman, M.; Yun, S.-H.; Proctor, R.H. Identification of a 12-gene fusaric acid biosynthetic gene cluster in Fusarium species through comparative and functional genomics. Mol. Plant-Microbe Int. 2015, 28, 319–332. [Google Scholar] [CrossRef]
- Medema, M.H.; Cimermancic, P.; Sali, A.; Takano, E.; Fischbach, M.A. A systematic computational analysis of biosynthetic gene cluster evolution: Lessons for engineering biosynthesis. PLoS Comp. Biol. 2014, 10, 1–12. [Google Scholar] [CrossRef]
- Inglis, D.O.; Binkley, J.; Skrzypek, M.S.; Arnaud, M.B.; Cerqueira, G.C.; Shah, P.; Wymore, F.; Wortman, J.R.; Sherlock, G. Comprehensive annotation of secondary metabolite biosynthetic genes and gene clusters of Aspergillus nidulans, A. fumigatus, A. niger and A. oryzae. BMC Microbiol. 2013, 13, 91. [Google Scholar] [CrossRef]
- Lazarus, C.; Williams, K.; Bailey, A. Reconstructing fungal natural product biosynthetic pathways. Nat. Prod. Rep. 2014, 31, 1339–1347. [Google Scholar] [CrossRef]
- Proctor, R.H.; McCormick, S.P.; Kim, H.-S.; Cardoza, R.E.; Stanley, A.M.; Lindo, L.; Kelly, A.; Brown, D.W.; Lee, T.; Vaughan, M.M. Evolution of structural diversity of trichothecenes, a family of toxins produced by plant pathogenic and entomopathogenic fungi. PLoS Pathog. 2018, 14, e1006946. [Google Scholar] [CrossRef] [PubMed]
- Alexander, N.J.; Proctor, R.H.; McCormick, S.P. Genes, gene clusters, and biosynthesis of trichothecenes and fumonisins in Fusarium. Toxin Rev. 2009, 28, 198–215. [Google Scholar] [CrossRef]
- Maier, F.J.; Miedaner, T.; Hadeler, B.; Felk, A.; Salomon, S.; Lemmens, M.; Kassner, H.; Schaefer, W. Involvement of trichothecenes in fusarioses of wheat, barley and maize evaluated by gene disruption of the trichodiene synthase (Tri5) gene in three field isolates of different chemotype and virulence. Mol. Plant Pathol. 2006, 7, 449–461. [Google Scholar] [CrossRef] [PubMed]
- McGary, K.L.; Slot, J.C.; Rokas, A. Physical linkage of metabolic genes in fungi is an adaptation against the accumulation of toxic intermediate compounds. Proc. Nat. Acad. Sci. USA 2013, 110, 11481–11486. [Google Scholar] [CrossRef] [PubMed]
- Proctor, R.H.; McCormick, S.P.; Alexander, N.J.; Desjardins, A.E. Evidence that a secondary metabolic biosynthetic gene cluster has grown by gene relocation during evolution of the filamentous fungus Fusarium. Mol. Microbiol. 2009, 74, 1128–1142. [Google Scholar] [CrossRef] [PubMed]
- Yoder, O.; Valent, B.; Chumley, F. Genetic nomenclature and practice for plant pathogenic fungi. Phytopathology 1986, 76, 383–385. [Google Scholar] [CrossRef]
- McCormick, S.P.; Alexander, N.J.; Proctor, R.H. Trichothecene triangle: Toxins, genes, and plant disease. In Phytochemicals, Plant Growth, and the Environment; Springer: Berlin, Germany, 2013; pp. 1–17. [Google Scholar]
- Brown, D.W.; Dyer, R.B.; McCormick, S.P.; Kendra, D.F.; Plattner, R.D. Functional demarcation of the Fusarium core trichothecene gene cluster. Fungal Genet. Biol. 2004, 41, 454–462. [Google Scholar] [CrossRef]
- Cardoza, R.; Malmierca, M.; Hermosa, M.; Alexander, N.; McCormick, S.; Proctor, R.; Tijerino, A.; Rumbero, A.; Monte, E.; Gutiérrez, S. Identification of loci and functional characterization of trichothecene biosynthetic genes in the filamentous fungus Trichoderma. Appl. Environ. Microbiol. 2011, 4867–4877. [Google Scholar] [CrossRef]
- Kimura, M.; Tokai, T.; O’Donnell, K.; Ward, T.J.; Fujimura, M.; Hamamoto, H.; Shibata, T.; Yamaguchi, I. The trichothecene biosynthesis gene cluster of Fusarium graminearum F15 contains a limited number of essential pathway genes and expressed non-essential genes. FEBS Lett. 2003, 539, 105–110. [Google Scholar] [CrossRef]
- Lee, T.; Han, Y.-K.; Kim, K.-H.; Yun, S.-H.; Lee, Y.-W. Tri13 and Tri7 determine deoxynivalenol-and nivalenol-producing chemotypes of Gibberella zeae. Appl. Environ. Microbiol. 2002, 68, 2148–2154. [Google Scholar] [CrossRef]
- Rep, M.; Kistler, H.C. The genomic organization of plant pathogenicity in Fusarium species. Curr. Opin. Plant Biol. 2010, 13, 420–426. [Google Scholar] [CrossRef]
- Seong, K.-Y.; Zhao, X.; Xu, J.-R.; Güldener, U.; Kistler, H.C. Conidial germination in the filamentous fungus Fusarium graminearum. Fungal Genet. Biol. 2008, 45, 389–399. [Google Scholar] [CrossRef] [PubMed]
- Nasmith, C.G.; Walkowiak, S.; Wang, L.; Leung, W.W.; Gong, Y.; Johnston, A.; Harris, L.J.; Guttman, D.S.; Subramaniam, R. Tri6 is a global transcription regulator in the phytopathogen Fusarium graminearum. PLoS Pathog. 2011, 7, e1002266. [Google Scholar] [CrossRef] [PubMed]
- Guo, L.; Ma, L.-J. Fusarium graminearum genomics and beyond. In Genomics of Plant-Associated Fungi: Monocot Pathogens; Springer: Berlin/Heidelberg, Germany, 2014; pp. 103–122. [Google Scholar]
- Brown, D.W.; McCormick, S.P.; Alexander, N.J.; Proctor, R.H.; Desjardins, A.E. A genetic and biochemical approach to study trichothecene diversity in Fusarium sporotrichioides and Fusarium graminearum. Fungal Genet. Biol. 2001, 32, 121–133. [Google Scholar] [CrossRef] [PubMed]
- Alexander, N.J.; McCormick, S.P.; Waalwijk, C.; Van Der Lee, T.; Proctor, R.H. The genetic basis for 3-ADON and 15-ADON trichothecene chemotypes in Fusarium. Fungal Genet. Biol. 2011, 48, 485–495. [Google Scholar] [CrossRef] [PubMed]
- Kimura, M.; Kaneko, I.; Komiyama, M.; Takatsuki, A.; Koshino, H.; Yoneyama, K.; Yamaguchi, I. Trichothecene 3-O-acetyltransferase protects both the producing organism and transformed yeast from related mycotoxins cloning and characterization of Tri101. J. Biol. Chem. 1998, 273, 1654–1661. [Google Scholar] [CrossRef] [PubMed]
- Kulik, T.; Abarenkov, K.; Buśko, M.; Bilska, K.; van Diepeningen, A.D.; Ostrowska-Kołodziejczak, A.; Krawczyk, K.; Brankovics, B.; Stenglein, S.; Sawicki, J. ToxGen: An improved reference database for the identification of type B-trichothecene genotypes in Fusarium. Peer J. 2017, 5, 1–19. [Google Scholar] [CrossRef] [PubMed]
- Desjardins, A.E. Natural product chemistry meets genetics: When is a genotype a chemotype? J. Agric. Food Chem. 2008, 56, 7587–7592. [Google Scholar] [CrossRef]
- Pasquali, M.; Migheli, Q. Genetic approaches to chemotype determination in type B-trichothecene producing Fusaria. Int. J. Food Microbiol. 2014, 189, 164–182. [Google Scholar] [CrossRef]
- Miller, J.; Taylor, A.; Greenhalgh, R. Production of deoxynivalenol and related compounds in liquid culture by Fusarium graminearum. Can. J. Microbiol. 1983, 29, 1171–1178. [Google Scholar] [CrossRef]
- Jiao, F.; Kawakami, A.; Nakajima, T. Effects of different carbon sources on trichothecene production and Tri gene expression by Fusarium graminearum in liquid culture. FEMS Microbiol. Lett. 2008, 285, 212–219. [Google Scholar] [CrossRef] [PubMed]
- Gardiner, D.M.; Waring, P.; Howlett, B.J. The epipolythiodioxopiperazine (ETP) class of fungal toxins: Distribution, mode of action, functions and biosynthesis. Microbiology 2005, 151, 1021–1032. [Google Scholar] [CrossRef]
- Gardiner, D.M.; Kazan, K.; Manners, J.M. Nutrient profiling reveals potent inducers of trichothecene biosynthesis in Fusarium graminearum. Fungal Genet. Biol. 2009, 46, 604–613. [Google Scholar] [CrossRef] [PubMed]
- Ponts, N.; Couedelo, L.; Pinson-Gadais, L.; Verdal-Bonnin, M.-N.; Barreau, C.; Richard-Forget, F. Fusarium response to oxidative stress by H2O2 is trichothecene chemotype-dependent. FEMS Microbiol. Lett. 2009, 293, 255–262. [Google Scholar] [CrossRef] [PubMed]
- Hope, R.; Aldred, D.; Magan, N. Comparison of environmental profiles for growth and deoxynivalenol production by Fusarium culmorum and F. graminearum on wheat grain. Lett. Appl. Microbiol. 2005, 40, 295–300. [Google Scholar] [CrossRef] [PubMed]
- Ramirez, M.L.; Chulze, S.; Magan, N. Temperature and water activity effects on growth and temporal deoxynivalenol production by two Argentinean strains of Fusarium graminearum on irradiated wheat grain. Int. J. Food Microbiol. 2006, 106, 291–296. [Google Scholar] [CrossRef] [PubMed]
- Schmidt-Heydt, M.; Magan, N.; Geisen, R. Stress induction of mycotoxin biosynthesis genes by abiotic factors. FEMS Microbiol. Lett. 2008, 284, 142–149. [Google Scholar] [CrossRef]
- Pestka, J.J.; El-Bahrawy, A.; Hart, L.P. Deoxynivalenol and 15-monoacetyl deoxynivalenol production by Fusarium graminearum R6576 in liquid media. Mycopathologia 1985, 91, 23–28. [Google Scholar] [CrossRef]
- Audenaert, K.; Vanheule, A.; Höfte, M.; Haesaert, G. Deoxynivalenol: A major player in the multifaceted response of Fusarium to its environment. Toxins 2013, 6, 1–19. [Google Scholar] [CrossRef]
- Tan, D.C.; Flematti, G.R.; Ghisalberti, E.L.; Sivasithamparam, K.; Chakraborty, S.; Obanor, F.; Jayasena, K.; Barbetti, M.J. Mycotoxins produced by Fusarium spp. associated with Fusarium head blight of wheat in Western Australia. Mycotoxin Res. 2012, 28, 89–96. [Google Scholar] [CrossRef]
- Ward, T.J.; Bielawski, J.P.; Kistler, H.C.; Sullivan, E.; O’Donnell, K. Ancestral polymorphism and adaptive evolution in the trichothecene mycotoxin gene cluster of phytopathogenic Fusarium. Proc. Nat. Acad. Sci. USA 2002, 99, 9278–9283. [Google Scholar] [CrossRef] [PubMed]
- Tokai, T.; Fujimura, M.; Inoue, H.; Aoki, T.; Ohta, K.; Shibata, T.; Yamaguchi, I.; Kimura, M. Concordant evolution of trichothecene 3-O-acetyltransferase and an rDNA species phylogeny of trichothecene-producing and non-producing fusaria and other ascomycetous fungi. Microbiology 2005, 151, 509–519. [Google Scholar] [CrossRef] [PubMed]
- Khatibi, P.A.; Newmister, S.A.; Rayment, I.; McCormick, S.P.; Alexander, N.J.; Schmale, D.G. Bioprospecting for trichothecene 3-O-acetyltransferases in the fungal genus Fusarium yields functional enzymes with different abilities to modify the mycotoxin deoxynivalenol. Appl. Environ. Microbiol. 2011, 77, 1162–1170. [Google Scholar] [CrossRef]
- Lind, A.L.; Wisecaver, J.H.; Lameiras, C.; Wiemann, P.; Palmer, J.M.; Keller, N.P.; Rodrigues, F.; Goldman, G.H.; Rokas, A. Drivers of genetic diversity in secondary metabolic gene clusters within a fungal species. PLoS Biol. 2017, 15, e2003583. [Google Scholar] [CrossRef] [PubMed]
- Villani, A.; Moretti, A.; De Saeger, S.; Han, Z.; Di Mavungu, J.D.; Soares, C.M.; Proctor, R.H.; Venâncio, A.; Lima, N.; Stea, G. A polyphasic approach for characterization of a collection of cereal isolates of the Fusarium incarnatum-equiseti species complex. Int. J. Food Microbiol. 2016, 234, 24–35. [Google Scholar] [CrossRef] [PubMed]
- Castellá, G.; Cabañes, F. Phylogenetic diversity of Fusarium incarnatum-equiseti species complex isolated from Spanish wheat. Antonie Van Leeuwenhoek 2014, 106, 309–317. [Google Scholar] [CrossRef] [PubMed]
- Ramdial, H.; Hosein, F.; Rampersad, S.N. First report of Fusarium incarnatum associated with fruit disease of bell peppers in Trinidad. Plant Dis. 2016, 100, 526. [Google Scholar] [CrossRef]
- Wisecaver, J.H.; Rokas, A. Fungal metabolic gene clusters-caravans traveling across genomes and environments. Front. Microbiol. 2015, 6, 161. [Google Scholar] [CrossRef]
- Lee, T.; Oh, D.-W.; Kim, H.-S.; Lee, J.; Kim, Y.-H.; Yun, S.-H.; Lee, Y.-W. Identification of deoxynivalenol-and nivalenol-producing chemotypes of Gibberella zeae by using PCR. Appl. Environ. Microbiol. 2001, 67, 2966–2972. [Google Scholar] [CrossRef]
- Ward, T.J.; Clear, R.M.; Rooney, A.P.; O’Donnell, K.; Gaba, D.; Patrick, S.; Starkey, D.E.; Gilbert, J.; Geiser, D.M.; Nowicki, T.W. An adaptive evolutionary shift in Fusarium head blight pathogen populations is driving the rapid spread of more toxigenic Fusarium graminearum in North America. Fungal Genet. Biol. 2008, 45, 473–484. [Google Scholar] [CrossRef]
- Kulik, T. Development of TaqMan assays for 3ADON, 15ADON and NIV Fusarium genotypes based on Tri12 gene. Cereal Res. Comm. 2011, 39, 200–214. [Google Scholar] [CrossRef]
- Nielsen, L.K.; Jensen, J.D.; Rodríguez, A.; Jørgensen, L.; Justesen, A. TRI12 based quantitative real-time PCR assays reveal the distribution of trichothecene genotypes of F. graminearum and F. culmorum isolates in Danish small grain cereals. Int. J. Food Microbiol. 2012, 157, 384–392. [Google Scholar] [CrossRef] [PubMed]
- Wang, J.-H.; Li, H.-P.; Qu, B.; Zhang, J.-B.; Huang, T.; Chen, F.-F.; Liao, Y.-C. Development of a generic PCR detection of 3-acetyldeoxynivalenol-, 15-acetyldeoxynivalenol-and nivalenol-chemotypes of Fusarium graminearum clade. Int. J. Mol. Sci. 2008, 9, 2495–2504. [Google Scholar] [CrossRef] [PubMed]
- Desjardins, A.E.; Busman, M.; Manandhar, G.; Jarosz, A.M.; Manandhar, H.K.; Proctor, R.H. Gibberella ear rot of maize (Zea mays) in Nepal: Distribution of the mycotoxins nivalenol and deoxynivalenol in naturally and experimentally infected maize. J. Agric. Food Chem. 2008, 56, 5428–5436. [Google Scholar] [CrossRef] [PubMed]
- Kimura, M.; Tokai, T.; Takahashi-Ando, N.; Ohsato, S.; Fujimura, M. Molecular and genetic studies of Fusarium trichothecene biosynthesis: Pathways, genes, and evolution. Biosci. Biotechnol. Biochem. 2007, 71, 2105–2123. [Google Scholar] [CrossRef] [PubMed]
- Pasquali, M.; Giraud, F.; Brochot, C.; Cocco, E.; Hoffmann, L.; Bohn, T. Genetic Fusarium chemotyping as a useful tool for predicting nivalenol contamination in winter wheat. Int. J. Food Microbiol. 2010, 137, 246–253. [Google Scholar] [CrossRef] [PubMed]
- Zhang, H.; Zhang, Z.; Van der Lee, T.; Chen, W.; Xu, J.; Xu, J.; Yang, L.; Yu, D.; Waalwijk, C.; Feng, J. Population genetic analyses of Fusarium asiaticum populations from barley suggest a recent shift favoring 3ADON producers in southern China. Phytopathology 2010, 100, 328–336. [Google Scholar] [CrossRef]
- Mugrabi de Kuppler, A.; Steiner, U.; Sulyok, M.; Krska, R.; Oerke, E.-C. Genotyping and phenotyping of Fusarium graminearum isolates from Germany related to their mycotoxin biosynthesis. Int. J. Food Microbiol. 2011, 151, 78–86. [Google Scholar] [CrossRef]
- Castañares, E.; Albuquerque, D.R.; Dinolfo, M.I.; Pinto, V.F.; Patriarca, A.; Stenglein, S.A. Trichothecene genotypes and production profiles of Fusarium graminearum isolates obtained from barley cultivated in Argentina. Int. J. Food Microbiol. 2014, 179, 57–63. [Google Scholar] [CrossRef]
- Caspi, R.; Altman, T.; Billington, R.; Dreher, K.; Foerster, H.; Fulcher, C.A.; Holland, T.A.; Keseler, I.M.; Kothari, A.; Kubo, A.; et al. The metacyc database of metabolic pathways and enzymes and the biocyc collection of pathway/genome databases. Nucleic Acids Res. 2014, 42, D459–D471. [Google Scholar] [CrossRef]
- Bilska, K.; Jurczak, S.; Kulik, T.; Ropelewska, E.; Olszewski, J.; Żelechowski, M.; Zapotoczny, P. Species composition and trichothecene genotype profiling of Fusarium field isolates recovered from wheat in Poland. Toxins 2018, 10, 325. [Google Scholar] [CrossRef]
- Wei, S.; van der Lee, T.; Verstappen, E.; van Gent, M.; Waalwijk, C. Targeting Trichothecene Biosynthetic Genes. In Mycotoxigenic Fungi: Methods and Protocols; Antonio, M., Antonia, S., Eds.; Springer Science and Business Media: Berlin, Germany, 2017; Volume 1542, pp. 173–189. [Google Scholar]
- Quarta, A.; Mita, G.; Haidukowski, M.; Santino, A.; Mule, G.; Visconti, A. Assessment of trichothecene chemotypes of Fusarium culmorum occurring in Europe. Food Addit. Contam. 2005, 22, 309–315. [Google Scholar] [CrossRef] [PubMed]
- Edwards, S.; Pirgozliev, S.; Hare, M.; Jenkinson, P. Quantification of trichothecene-producing Fusarium species in harvested grain by competitive PCR to determine efficacies of fungicides against Fusarium head blight of winter wheat. Appl. Environ. Microbiol. 2001, 67, 1575–1580. [Google Scholar] [CrossRef]
- Wang, J.-H.; Zhang, J.-B.; Chen, F.-F.; Li, H.-P.; Ndoye, M.; Liao, Y.-C. A multiplex PCR assay for genetic chemotyping of toxigenic Fusarium graminearum and wheat grains for 3-acetyldeoxynivalenol, 15-acetyldeoxynivalenol and nivalenol mycotoxins. J. Food Agric. Environ 2012, 10, 505–511. [Google Scholar]
- Chandler, E.A.; Simpson, D.R.; Thomsett, M.A.; Nicholson, P. Development of PCR assays to Tri7 and Tri13 trichothecene biosynthetic genes, and characterisation of chemotypes of Fusarium graminearum, Fusarium culmorum and Fusarium cerealis. Physiol. Mol. Plant Pathol. 2003, 62, 355–367. [Google Scholar] [CrossRef]
- Niessen, M.L.; Vogel, R.F. Group Specific PCR-detection of potential trichothecene-producing Fusarium-species in pure cultures and cereal samples. Syst. Appl. Microbiol. 1998, 21, 618–631. [Google Scholar] [CrossRef]
- Bluhm, B.; Flaherty, J.; Cousin, M.; Woloshuk, C. Multiplex polymerase chain reaction assay for the differential detection of trichothecene-and fumonisin-producing species of Fusarium in cornmeal. J. Food Prot. 2002, 65, 1955–1961. [Google Scholar] [CrossRef]
- Talas, F.; Parzies, H.K.; Miedaner, T. Diversity in genetic structure and chemotype composition of Fusarium graminearum sensu stricto populations causing wheat head blight in individual fields in Germany. Eur. J. Plant Pathol. 2011, 131, 39–48. [Google Scholar] [CrossRef]
- Talas, F.; Kalih, R.; Miedaner, T. Within-field variation of Fusarium graminearum isolates for aggressiveness and deoxynivalenol production in wheat head blight. Phytopathology 2012, 102, 128–134. [Google Scholar] [CrossRef]
- Kim, H.-S.; Lee, T.; Dawlatana, M.; Yun, S.-H.; Lee, Y.-W. Polymorphism of trichothecene biosynthesis genes in deoxynivalenol-and nivalenol-producing Fusarium graminearum isolates. Mycol. Res. 2003, 107, 190–197. [Google Scholar] [CrossRef]
- Waalwijk, C.; Kohl, J.; De Vries, I.; Van Der Lee, T. Fusarium in Winter Tarwe (in 2007 en 2008); Plant Research International: Wageningen, The Netherlands, 2009; Volume 272, pp. 1–36. [Google Scholar]
- Pasquali, M.; Beyer, M.; Bohn, T.; Hoffmann, L. Comparative analysis of genetic chemotyping methods for Fusarium: Tri13 polymorphism does not discriminate between 3-and 15-acetylated deoxynivalenol chemotypes in Fusarium graminearum. J. Phytopathol. 2011, 159, 700–704. [Google Scholar] [CrossRef]
- Suzuki, F.; Koba, A.; Nakajima, T. Simultaneous identification of species and trichothecene chemotypes of Fusarium asiaticum and F. graminearum sensu stricto by multiplex PCR. J. Gen. Plant Pathol. 2010, 76, 31–36. [Google Scholar] [CrossRef]
- Brown, D.W.; McCormick, S.P.; Alexander, N.J.; Proctor, R.H.; Desjardins, A.E. Inactivation of a cytochrome P-450 is a determinant of trichothecene diversity in Fusarium species. Fungal Genet. Biol. 2002, 36, 224–233. [Google Scholar] [CrossRef]
- Starkey, D.E.; Ward, T.J.; Aoki, T.; Gale, L.R.; Kistler, H.C.; Geiser, D.M.; Suga, H.; Toth, B.; Varga, J.; O’Donnell, K. Global molecular surveillance reveals novel Fusarium head blight species and trichothecene toxin diversity. Fungal Genet. Biol. 2007, 44, 1191–1204. [Google Scholar] [CrossRef]
- Wilhelm, M.; Schlegl, J.; Hahne, H.; Gholami, A.M.; Lieberenz, M.; Savitski, M.M.; Ziegler, E.; Butzmann, L.; Gessulat, S.; Marx, H. Mass-spectrometry-based draft of the human proteome. Nature 2014, 509, 582. [Google Scholar] [CrossRef] [PubMed]
- Fortelny, N.; Overall, C.M.; Pavlidis, P.; Cohen Freue, G.V.C. Can we predict protein from mRNA levels? Nature 2017, 547, 19–20. [Google Scholar] [CrossRef] [PubMed]
- Liu, Y.; Beyer, A.; Aebersold, R. On the dependency of cellular protein levels on mRNA abundance. Cell 2016, 165, 535–550. [Google Scholar] [CrossRef] [PubMed]
- Marroquín-Cardona, A.; Johnson, N.; Phillips, T.; Hayes, A. Mycotoxins in a changing global environment—A review. Food Chem. Toxicol. 2014, 69, 220–230. [Google Scholar] [CrossRef] [PubMed]
- Pasquali, M.; Cocco, E.; Guignard, C.; Hoffmann, L. The effect of agmatine on trichothecene type B and zearalenone production in Fusarium graminearum, F. culmorum and F. poae. Peer J. 2016, 4, 1–11. [Google Scholar] [CrossRef]
- Medina, A.; Akbar, A.; Baazeem, A.; Rodriguez, A.; Magan, N. Climate change, food security and mycotoxins: Do we know enough? Fungal Biol. Rev. 2017, 31, 143–154. [Google Scholar] [CrossRef]
- Moretti, A.; Pascale, M.; Logrieco, A.F. Mycotoxin risks under a climate change scenario in Europe. Trends Food Sci. Technol. 2018. [Google Scholar] [CrossRef]
- ISPA CNR Institute of Sciences of Food Production. MYCORED PROJECT. Available online: http://www.mycored.eu/ (accessed on 16 November 2018).
© 2019 by the authors. Licensee MDPI, Basel, Switzerland. This article is an open access article distributed under the terms and conditions of the Creative Commons Attribution (CC BY) license (http://creativecommons.org/licenses/by/4.0/).