Emerging Disparities in Dietary Sodium Intake from Snacking in the US Population
Abstract
:1. Introduction
2. Materials and Methods
2.1. Survey Population
2.2. Snacking Definition
2.3. Dietary Data
2.4. Food Grouping System
2.5. Statistical Analysis
3. Results
3.1. Overall Trends
3.2. Trends by Race-Ethnicity
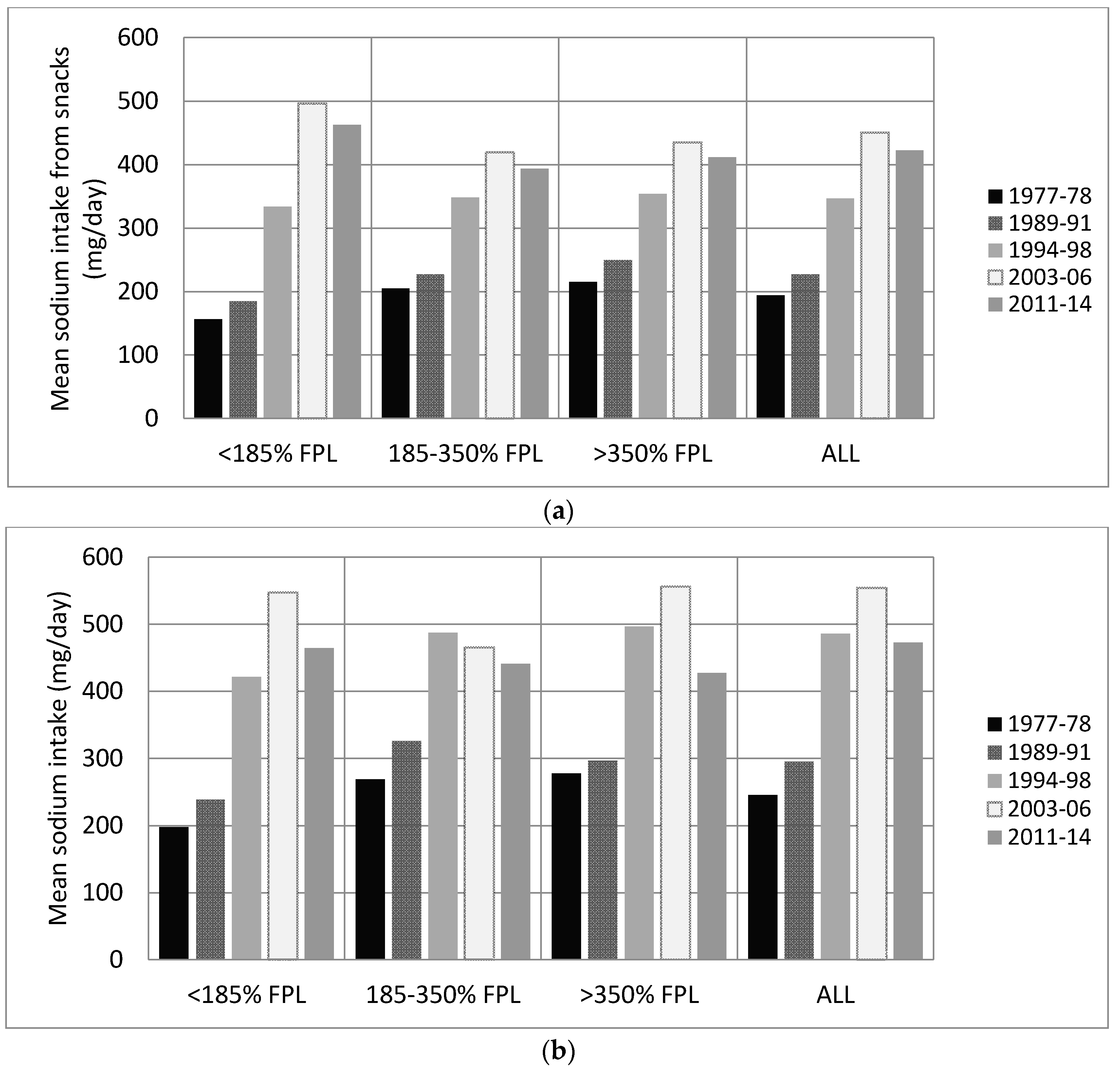
3.3. Trends by Income Level and Education
3.4. Food Sources of Sodium Intake from Snacks
4. Discussion
5. Conclusions
Supplementary Materials
Acknowledgments
Author Contributions
Conflicts of Interest
References
- Aburto, N.J.; Ziolkovska, A.; Hooper, L.; Elliott, P.; Cappuccio, F.P.; Meerpohl, J.J. Effect of lower sodium intake on health: Systematic review and meta-analyses. BMJ 2013, 346, f1326. [Google Scholar] [CrossRef] [PubMed]
- Mozaffarian, D.; Singh, G.M.; Powles, J. Sodium and cardiovascular disease. N. Engl. J. Med. 2014, 371, 2138–2139. [Google Scholar] [PubMed]
- National Heart Lung and Blood Institute. Lifestyle Interventions to Reduce Cardiovascular Risk: Systematic Evidence Review from the Lifestyle Work Group. Available online: https://www.nhlbi.nih.gov/health-pro/guidelines/in-develop/cardiovascular-risk-reduction/lifestyle (accessed on 15 April 2017).
- Institute of Medicine. Sodium Intake in Populations: Assessment of Evidence. Available online: https://www.nap.edu/catalog/18311/sodium-intake-in-populations-assessment-of-evidence (accessed on 15 April 2017).
- Centers for Disease Control and Prevention. Prevalence of hypertension and controlled hypertension—United States, 2005–2008. MMWR 2011, 60, 94–97. [Google Scholar]
- Eckel, R.H.; Jakicic, J.M.; Ard, J.D.; de Jesus, J.M.; Houston Miller, N.; Hubbard, V.S.; Lee, I.M.; Lichtenstein, A.H.; Loria, C.M.; Millen, B.E.; et al. 2013 AHA/ACC guideline on lifestyle management to reduce cardiovascular risk: A report of the American College of Cardiology/American Heart Association task force on practice guidelines. Circulation 2014, 129, S76–S99. [Google Scholar] [CrossRef] [PubMed]
- World Health Organization. Guideline: Sodium Intake for Adults and Children. Available online: http://apps.who.int/iris/bitstream/10665/77985/1/9789241504836_eng.pdf (accessed on 15 April 2017).
- Quader, Z.S.; Zhao, L.; Gillespie, C.; Cogswell, M.E.; Terry, A.L.; Moshfegh, A.; Rhodes, D. Sodium intake among persons aged >/=2 years—United States, 2013–2014. MMWR 2017, 66. [Google Scholar] [CrossRef] [PubMed]
- Drewnowski, A.; Rehm, C.D. Sodium intakes of US children and adults from foods and beverages by location of origin and by specific food source. Nutrients 2013, 5, 1840–1855. [Google Scholar] [CrossRef] [PubMed]
- Mattes, R.D.; Donnelly, D. Relative contributions of dietary sodium sources. J. Am. Coll. Nutr. 1991, 10, 383–393. [Google Scholar] [CrossRef] [PubMed]
- Poti, J.M.; Dunford, E.K.; Popkin, B.M. Sodium reduction in US households’ packaged food and beverage purchases from retail food stores, 2000–2014. JAMA Intern. Med. 2017, in press. [Google Scholar]
- Deaton, A. On death and money: History, facts, and explanations. JAMA 2016, 315, 1703–1705. [Google Scholar] [CrossRef] [PubMed]
- Bleich, S.N.; Wolfson, J.A. Trends in SSBs and snack consumption among children by age, body weight, and race/ethnicity. Obesity 2015, 23, 1039–1046. [Google Scholar] [CrossRef] [PubMed]
- Piernas, C.; Popkin, B.M. Snacking increased among U.S. adults between 1977 and 2006. J. Nutr. 2010, 140, 325–332. [Google Scholar] [CrossRef] [PubMed]
- Hess, J.M.; Jonnalagadda, S.S.; Slavin, J.L. What is a snack, why do we snack, and how can we choose better snacks? A review of the definitions of snacking, motivations to snack, contributions to dietary intake, and recommendations for improvement. Adv. Nutr. 2016, 7, 466–475. [Google Scholar] [CrossRef] [PubMed]
- Lucan, S.C.; Karpyn, A.; Sherman, S. Storing empty calories and chronic disease risk: Snack-food products, nutritive content, and manufacturers in Philadelphia corner stores. J. Urban Health 2010, 87, 394–409. [Google Scholar] [CrossRef] [PubMed]
- Quader, Z.S.; Gillespie, C.; Sliwa, S.A.; Ahuja, J.K.; Burdg, J.P.; Moshfegh, A.; Pehrsson, P.R.; Gunn, J.P.; Mugavero, K.; Cogswell, M.E. Sodium intake among US school-aged children: National Health and Nutrition Examination Survey, 2011–2012. J. Acad. Nutr. Diet. 2017, 117, 39–47. [Google Scholar] [CrossRef] [PubMed]
- Perloff, B.P.; Rizek, R.L.; Haytowitz, D.B.; Reid, P.R. Dietary intake methodology. II. USDA’s Nutrient Data Base for Nationwide Dietary Intake Surveys. J. Nutr. 1990, 120 (Suppl. 11), 1530–1534. [Google Scholar] [PubMed]
- National Health and Nutrition Examination Survey. MEC In-Person Dietary Interviewers Procedures Manual. Available online: https://www.cdc.gov/nchs/data/nhanes/nhanes_03_04/dietary_mec.pdf (accessed on 15 April 2017).
- Slining, M.M.; Mathias, K.C.; Popkin, B.M. Trends in food and beverage sources among US children and adolescents: 1989–2010. J. Acad. Nutr. Diet. 2013, 113, 1683–1694. [Google Scholar] [CrossRef] [PubMed]
- Popkin, B.M.; Haines, P.S.; Siega-Riz, A.M. Dietary patterns and trends in the United States: The UNC-CH approach. Appetite 1999, 32, 8–14. [Google Scholar] [CrossRef] [PubMed]
- Dunford, E.K.; Popkin, B.M. 35 year snacking trends for US children 1977–2012. Pediatr. Obes. 2017, in press. [Google Scholar]
- Mercille, G.; Receveur, O.; Macaulay, A.C. Are snacking patterns associated with risk of overweight among Kahnawake schoolchildren? Public Health Nutr. 2010, 13, 163–171. [Google Scholar] [CrossRef] [PubMed]
- Durao, C.; Severo, M.; Oliveira, A.; Moreira, P.; Guerra, A.; Barros, H.; Lopes, C. Association of maternal characteristics and behaviours with 4-year-old children’s dietary patterns. Matern. Child. Nutr. 2017, 13. [Google Scholar] [CrossRef] [PubMed]
- Fernandez-Alvira, J.M.; Bornhorst, C.; Bammann, K.; Gwozdz, W.; Krogh, V.; Hebestreit, A.; Barba, G.; Reisch, L.; Eiben, G.; Iglesia, I.; et al. Prospective associations between socio-economic status and dietary patterns in European children: The Identification and Prevention of Dietary- and Lifestyle-induced Health Effects in Children and Infants (IDEFICS) Study. Br. J. Nutr. 2015, 113, 517–525. [Google Scholar] [CrossRef] [PubMed]
- Gates, A.; Skinner, K.; Gates, M. The diets of school-aged Aboriginal youths in Canada: A systematic review of the literature. J. Hum. Nutr. Diet. 2015, 28, 246–261. [Google Scholar] [CrossRef] [PubMed]
- Howe, L.D.; Ellison-Loschmann, L.; Pearce, N.; Douwes, J.; Jeffreys, M.; Firestone, R. Ethnic differences in risk factors for obesity in New Zealand infants. J. Epidemiol. Community Health 2015, 69, 516–522. [Google Scholar] [CrossRef] [PubMed]
- Kant, A.K.; Graubard, B.I. 40-year trends in meal and snack eating behaviors of American adults. J. Acad. Nutr. Diet. 2015, 115, 50–63. [Google Scholar] [CrossRef] [PubMed]
- Stern, D.; Poti, J.M.; Ng, S.W.; Robinson, W.R.; Gordon-Larsen, P.; Popkin, B.M. Where people shop is not associated with the nutrient quality of packaged foods for any racial-ethnic group in the United States. Am. J. Clin. Nutr. 2016, 103, 1125–1134. [Google Scholar] [CrossRef] [PubMed]
- Poti, J.M.; Mendez, M.A.; Ng, S.W.; Popkin, B.M. Highly processed and ready-to-eat packaged food and beverage purchases differ by race/ethnicity among US households. J. Nutr. 2016, 146, 1722–1730. [Google Scholar] [CrossRef] [PubMed]
- Masters, M.A.; Stanek Krogstrand, K.L.; Eskridge, K.M.; Albrecht, J.A. Race/ethnicity and income in relation to the home food environment in US youth aged 6 to 19 years. J. Acad. Nutr. Diet. 2014, 114, 1533–1543. [Google Scholar] [CrossRef] [PubMed]
- Delva, J.; O’Malley, P.M.; Johnston, L.D. Racial/ethnic and socioeconomic status differences in overweight and health-related behaviors among American students: National trends 1986–2003. J. Adolesc. Health 2006, 39, 536–545. [Google Scholar] [CrossRef] [PubMed]
- Ford, M.C.; Gordon, N.P.; Howell, A.; Green, C.E.; Greenspan, L.C.; Chandra, M.; Mellor, R.G.; Lo, J.C. Obesity severity, dietary behaviors, and lifestyle risks vary by race/ethnicity and age in a northern California cohort of children with obesity. J. Obes. 2016, 2016, 4287976. [Google Scholar] [CrossRef] [PubMed]
- Centers for Disease Control and Prevention. Differences in prevalence of obesity among black, white, and Hispanic adults—United States, 2006–2008. MMWR Wkly. 2009, 58, 740–744. [Google Scholar]
- Livingstone, M.B.; Robson, P.J.; Wallace, J.M. Issues in dietary intake assessment of children and adolescents. Br. J. Nutr. 2004, 92 (Suppl. 2), S213–S222. [Google Scholar] [CrossRef] [PubMed]
- Schoeller, D.A. Limitations in the assessment of dietary energy intake by self-report. Metabolism 1995, 44, 18–22. [Google Scholar] [CrossRef]
- Heitmann, B.L.; Lissner, L.; Osler, M. Do we eat less fat, or just report so? Int. J. Obes. Relat. Metab. Disord. 2000, 24, 435–442. [Google Scholar] [CrossRef] [PubMed]
- Moshfegh, A.J.; Rhodes, D.G.; Baer, D.J.; Murayi, T.; Clemens, J.C.; Rumpler, W.V.; Paul, D.R.; Sebastian, R.S.; Kuczynski, K.J.; Ingwersen, L.A.; et al. The US Department of Agriculture automated multiple-pass method reduces bias in the collection of energy intakes. Am. J. Clin. Nutr. 2008, 88, 324–332. [Google Scholar] [PubMed]
- US Department of Agriculture. Food and Nutrient Database for Dietary Studies, 2013–14. Available online: https://www.ars.usda.gov/northeast-area/beltsville-md/beltsville-human-nutrition-research-center/food-surveys-research-group/docs/fndds-download-databases/ (accessed on 15 April 2017).
- US Department of Agriculture. USDA National Nutrient Database for Standard Reference. Available online: https://www.ars.usda.gov/northeast-area/beltsville-md/beltsville-human-nutrition-research-center/nutrient-data-laboratory/docs/usda-national-nutrient-database-for-standard-reference/ (accessed on 15 April 2017).
- Popkin, B.M.; Haines, P.S.; Reidy, K.C. Food consumption trends of US women: Patterns and determinants between 1977 and 1985. Am. J. Clin. Nutr. 1989, 49, 1307–1319. [Google Scholar] [PubMed]
- US Department of Health and Human Services. Scientific Report of the 2015 Dietary Guidelines Advisory Committee. Available online: https://health.gov/dietaryguidelines/2015-scientific-report/ (accessed on 16 April 2017).



| 1977–1978 | 1989–1991 | 1994–1998 | 2003–2006 | 2011–2014 | |
|---|---|---|---|---|---|
| Age 2–5 years | |||||
| Snacks, n/day | 1.2 (0.04) 1 | 1.4 (0.08) 1 | 2.3 (0.05) 1 | 3.0 (0.08) | 3.0 (0.08) |
| Per capita mean intake from snacks, mg | 157 (7.3) 1 | 211 (13.7) 1 | 389 (12.2) 2 | 444 (18.8) | 443 (21.4) |
| % snackers | 63 (1.7) 1 | 70 (2.9) 1 | 87 (1.2) | 96 (0.6) | 96 (0.6) |
| Per capita mean intake from snacks, mg (snackers only) | 249 (8.8) 1 | 301 (17.1) 1 | 445 (11.4) | 461 (18.2) | 460 (21.8) |
| Age 6–11 years | |||||
| Snacks, n/day | 1.0 (0.03) 1 | 1.1 (0.07) 1 | 1.8 (0.05) 1 | 2.7 (0.07) | 2.5 (0.06) |
| Per capita mean intake from snacks, mg | 206 (8.9) 1 | 281 (28.1) 1 | 454 (18.5) | 562 (26.6) 1 | 468 (18.8) |
| % snackers | 61 (1.3) 1 | 64 (2.4) 1 | 82 (1.3) 1 | 94 (0.9) | 94 (0.9) |
| Per capita mean intake from snacks, mg (snackers only) | 336 (12.9) 1 | 441 (37.7) | 554 (18.5) 2 | 598 (29) | 498 (20) |
| Age 12–18 years | |||||
| Snacks, n/day | 1.0 (0.03) 1 | 1.1 (0.05) 1 | 1.7 (0.06) | 2.3 (0.05) | 2.1 (0.06) |
| Per capita mean intake from snacks, mg | 314 (12.3) 1 | 367 (35.1) 1 | 575 (41) | 606 (28.7) 1 | 492 (21.2) |
| % snackers | 59 (1.4) 1 | 60 (2.2) 1 | 77 (1.7) 1 | 89 (0.9) | 88 (1.1) |
| Per capita mean intake from snacks, mg (snackers only) | 530 (17) | 609 (53.2) | 748 (40.8) 1 | 678 (29.8) | 561 (24.8) |
| Age 2–18 years | |||||
| Snacks, n/day | 1.1 (0.03) 1 | 1.2 (0.05) | 1.9 (0.04) | 2.6 (0.05) | 2.4 (0.05) |
| Per capita mean intake from snacks, mg | 245 (8.4) 1 | 295 (18.5) 1 | 486 (20.4) | 554 (14.5) 1 | 472 (13.8) |
| % snackers | 61 (1.3) 1 | 64 (1.9) 1 | 81 (1.2) 1 | 93 (0.5) | 92 (0.6) |
| Per capita mean intake from snacks, mg (snackers only) | 405 (11.4) 1 | 460 (23.2) | 598 (19.5) 1 | 599 (14.9) 1 | 514 (15.6) |
| Age 19–29 years | |||||
| Snacks, n/day | 1.1 (0.03) 1 | 1.1 (0.05) 1 | 1.6 (0.04) 1 | 2.2 (0.07) | 2.2 (0.07) |
| Per capita mean intake from snacks, mg | 251 (11.4) 1 | 273 (23.5) 1 | 473 (25.5) | 575 (29.1) 2 | 486 (22.3) |
| % snackers | 59 (1.3) 1 | 61 (1.8) 1 | 72 (1.2) 1 | 87 (1.3) | 87 (1) |
| Per capita mean intake from snacks, mg (snackers only) | 424 (15.4) 1 | 446 (32.7) | 653 (35.5) | 657 (35.1) | 557 (25.6) |
| Age 30–59 years | |||||
| Snacks, n/day | 1.2 (0.04) 1 | 1.3 (0.06) 1 | 1.6 (0.04) 1 | 2.4 (0.05) | 2.5 (0.05) |
| Per capita mean intake from snacks, mg | 196 (7.3) 1 | 238 (10.3) 1 | 345 (12.2) 1 | 466 (17.8) | 440 (15.3) |
| % snackers | 60 (1.3) 1 | 64 (1.6) 1 | 73 (1) 1 | 89 (0.6) | 89 (0.8) |
| Per capita mean intake from snacks, mg (snackers only) | 326 (9.3) 1 | 373 (13.5) | 472 (12.8) | 523 (18.4) | 494 (15) |
| Age 60+ years | |||||
| Snacks, n/day | 0.8 (0.02) 1 | 1.1 (0.05) 1 | 1.3 (0.04) 1 | 2.1 (0.05) | 2.3 (0.07) |
| Per capita mean intake from snacks, mg | 122 (5.9) 1 | 156 (11.3) 1 | 226 (9.2) 1 | 306 (11.7) | 335 (16.4) |
| % snackers | 49 (1.2) 1 | 58 (1.9) 1 | 68 (1.2) 1 | 88 (0.7) | 88 (0.9) |
| Per capita mean intake from snacks, mg (snackers only) | 251 (9.7) 1 | 270 (15.4) | 332 (10.6) | 348 (11.9) | 381 (17.7) |
| Age 19+ years | |||||
| Snacks, n/day | 1.0 (0.03) 1 | 1.2 (0.05) 1 | 1.5 (0.04) 1 | 2.3 (0.04) | 2.4 (0.05) |
| Per capita mean intake from snacks, mg | 194 (5.9) 1 | 227 (9.3) 1 | 347 (10.4) 1 | 450 (14.6) | 423 (12.1) |
| % snackers | 57 (1.1) 1 | 62 (1.4) 1 | 72 (0.9) 1 | 89 (0.6) | 88 (0.6) |
| Per capita mean intake from snacks, mg (snackers only) | 339 (7) 1 | 368 (10.9) | 482 (11.5) | 509 (15.5) | 478 (12.7) |
| Children | Adults | |||||||||
|---|---|---|---|---|---|---|---|---|---|---|
| 1977–1978 | 1989–1991 | 1994–1998 | 2003–2006 | 2011–2014 | 1977–1978 | 1989–1991 | 1994–1998 | 2003–2006 | 2011–2014 | |
| <185% Federal Poverty Level | ||||||||||
| Snacks, n/day | 0.9 (0.04) 1 | 1.2 (0.06) 1 | 1.9 (0.05) | 2.5 (0.07) | 2.3 (0.05) | 0.8 (0.03) 1 | 1 (0.04) 1 | 1.3 (0.04) 1 | 2.1 (0.05) | 2.2 (0.05) |
| Per capita mean intake from snacks, mg | 198 (11.1) 1 | 239 (16.8) 1 | 421 (23.2) | 547 (24.1) 1 | 464 (15.9) | 156 (8.2) 1 | 185 (11.5) 1 | 334 (19.3) 1 | 496 (30) | 463 (19.9) |
| % snackers | 53 (1.9) 1 | 59 (2.1) 1 | 79 (1.5) 1 | 90 (0.7) | 89 (0.7) | 49 (1.5) 1 | 55 (1.7) 1 | 66 (1.2) 1 | 87 (0.7) | 86 (0.8) |
| Per capita mean intake from snacks, mg (snackers only) | 375 (18) 1 | 404 (19.6) 1 | 535 (27.2) | 608 (24.9) 1 | 523 (16.2) | 322 (12.7) 1 | 333 (14.5) 1 | 509 (26.6) | 568 (33.6) | 539 (22.6) |
| 185–350% Federal Poverty Level | ||||||||||
| Snacks, n/day | 1.2 (0.03) 1 | 1.4 (0.09) 1 | 2.2 (0.06) | 2.5 (0.09) | 2.5 (0.08) | 1.1 (0.03) | 1.2 (0.07) 1 | 1.5 (0.04) 1 | 2.2 (0.06) | 2.3 (0.06) |
| Per capita mean intake from snacks, mg | 269 (11.2) 1 | 327 (30.4) 1 | 487 (35) | 465 (23.7) | 441 (25.7) | 205 (6.8) 1 | 227 (15.3) 1 | 348 (17.6) 2 | 419 (19.2) | 394 (21.9) |
| % snackers | 65 (1.2) 1 | 69 (3.4) 1 | 83 (1.4) 1 | 90 (1) | 88 (1.9) | 60 (1.1) 1 | 59 (1.8) 1 | 72 (1.2) 1 | 87 (1.1) | 89 (1.2) |
| Per capita mean intake from snacks, mg (snackers only) | 412 (15.5) 1 | 475 (35.8) | 584 (36.9) | 517 (24.1) | 500 (25.4) | 344 (9.3) 1 | 387 (20.5) 1 | 486 (21.4) | 480 (20.7) | 443 (22.1) |
| >350% Federal Poverty Level | ||||||||||
| Snacks, n/day | 1.2 (0.04) 1 | 1.4 (0.11) 1 | 2.2 (0.05) | 2.7 (0.07) | 2.5 (0.07) | 1.2 (0.04) 1 | 1.4 (0.05) 1 | 1.7 (0.04) 1 | 2.4 (0.06) | 2.6 (0.06) |
| Per capita mean intake from snacks, mg | 278 (14.6) 1 | 297 (26.9) 1 | 497 (23.2) | 556 (25.7) 1 | 427 (25.2) | 215 (7.6) 1 | 251 (13.7) 1 | 354 (13) 2 | 435 (18.7) | 411 (17.7) |
| % snackers | 69 (1.3) 1 | 72 (3) 1 | 86 (1.3) 1 | 94 (0.9) | 94 (0.8) | 62 (1.2) 1 | 67 (1.7) 1 | 76 (1) 1 | 90 (0.8) | 91 (0.8) |
| Per capita mean intake from snacks, mg (snackers only) | 405 (19.2) | 413 (37.6) | 574 (24.9) 1 | 592 (28.1) 1 | 452 (27.2) | 345 (9.7) 1 | 372 (19.3) 1 | 465 (13.7) | 481 (19.2) | 453 (18.7) |
| Less than High School | ||||||||||
| Snacks, n/day | 0.8 (0.04) 1 | 1.0 (0.05) 1 | 1.5 (0.09) | 2.5 (0.1) | 2.4 (0.08) | 0.8 (0.03) 1 | 1.0 (0.04) 1 | 1.1 (0.04) 1 | 2.0 (0.07) | 2.1 (0.07) |
| Per capita mean intake from snacks, mg | 191 (13.6) 1 | 284 (29) 1 | 408 (28.5) | 546 (23.4) 2 | 464 (28.6) | 142 (7.8) 1 | 179 (16.3) 1 | 278 (14.1) 1 | 436 (28) | 409 (21.6) |
| % snackers | 48 (2.2) 1 | 56 (3.1) 1 | 73 (2.4) 1 | 89 (1) | 88 (1.2) | 47 (1.5) 1 | 55 (1.8) 1 | 64 (1.4) 1 | 84 (0.9) | 84 (1.6) |
| Per capita mean intake from snacks, mg (snackers only) | 397 (23.6) | 504 (36.9) | 556 (37.7) | 611 (24.6) 2 | 528 (31.7) | 303 (13.6) 1 | 322 (24.5) 1 | 437 (18.6) | 517 (32.4) | 486 (23.2) |
| High School Diploma | ||||||||||
| Snacks, n/day | 1.0 (0.03) 1 | 1.1 (0.07) 1 | 1.7 (0.06) | 2.6 (0.08) | 2.2 (0.07) | 1.0 (0.03) 1 | 1.2 (0.07) 1 | 1.4 (0.05) 1 | 2.2 (0.06) | 2.1 (0.07) |
| Per capita mean intake from snacks, mg | 248 (10.5) 1 | 267 (27.8) 1 | 485 (33.6) | 540 (27.7) 1 | 434 (20.4) | 196 (8.5) 1 | 240 (16.5) 1 | 347 (17.7) 1 | 486 (34.4) | 431 (25.5) |
| % snackers | 61 (1.5) 1 | 61 (3) 1 | 79 (1.9) 1 | 90 (1.3) | 88 (1.2) | 57 (1.2) 1 | 61 (2) 1 | 70 (1.4) 1 | 88 (0.9) | 86 (1.4) |
| Per capita mean intake from snacks, mg (snackers only) | 407 (16.3) | 439 (36.3) | 614 (33.5) 1 | 598 (27.1) 1 | 492 (21.4) | 345 (11.7) 1 | 392 (22) 1 | 494 (20.9) | 549 (36.3) | 503 (26.4) |
| More than High School | ||||||||||
| Snacks, n/day | 1.3 (0.04) 1 | 1.2 (0.1) 1 | 1.9 (0.05) | 2.6 (0.05) | 2.4 (0.06) | 1.2 (0) 1 | 1.3 (0.1) 1 | 1.7 (0) 1 | 2.2 (0.1) | 2.1 (0.1) |
| Per capita mean intake from snacks, mg | 266 (11.3) 1 | 314 (24.4) 1 | 498 (24.9) | 506 (13.3) 1 | 448 (15.7) | 220.8 (7) 1 | 240 (12) 1 | 367 (12.8) 1 | 439 (13) | 424 (13.3) |
| % snackers | 70 (1.7) 1 | 68 (2.6) 1 | 83 (1.4) 1 | 90 (0.6) | 89 (1.4) | 63.2 (1.3) 1 | 65.6 (1.5) 1 | 75.8 (1.2) 1 | 89.9 (0.7) | 90.5 (0.6) |
| Per capita mean intake from snacks, mg (snackers only) | 390 (13.6) 1 | 463 (30.8) 1 | 594 (23.2) 1 | 548 (14.3) 2 | 491 (17.1) | 349.3 (8.3) 1 | 366 (16.3) 1 | 484 (14.2) | 488 (13.8) | 468 (14) |
| Hispanic | ||||||||||
| Snacks, n/day | 0.9 (0.07) 1 | 1.6 (0.18) 1 | 2.1 (0.06) | 2.6 (0.06) | 2.4 (0.05) | 0.9 (0.06) 1 | 0.9 (0.13) 1 | 1.2 (0.05) 1 | 2.0 (0.06) 1 | 2.3 (0.06) |
| Per capita mean intake from snacks, mg | 187 (18.4) 1 | 334 (98.3) 1 | 419 (26.5) | 534 (27.7) | 469 (19.3) | 153 (16.4) 1 | 222 (63.3) 1 | 286 (19.2) 1 | 386 (25.1) | 403 (12.1) |
| % snackers | 57 (3.1) 1 | 75 (6.4) 1 | 79 (1.8) | 90 (0.9) | 88 (1) | 52 (2.7) 1 | 47 (5.5) 1 | 67 (1.9) 1 | 83 (1.3) 1 | 89 (0.9) |
| Per capita mean intake from snacks, mg (snackers only) | 331 (26.4) 1 | 447 (131.2) 1 | 529 (29) | 590 (28.1) | 530 (19.5) | 292 (28.2) 1 | 472 (122.4) 1 | 424 (26.8) | 462 (27.6) | 455 (15.8) |
| Non-Hispanic White | ||||||||||
| Snacks, n/day | 1.2 (0.03) 1 | 1.3 (0.06) 1 | 2.2 (0.04) | 2.6 (0.06) | 2.5 (0.06) | 1.1 (0.03) 1 | 1.3 (0.06) 1 | 1.6 (0.04) 1 | 2.4 (0.06) | 2.4 (0.06) |
| Per capita mean intake from snacks, mg | 270 (8.7) 1 | 301 (19.8) 1 | 487 (24.6) | 513 (17.4) 1 | 425 (19.5) | 202 (6) 1 | 239 (10.4) 1 | 358 (10.8) 1 | 453 (18.1) | 419 (15.1) |
| % snackers | 66 (1.2) 1 | 68 (2.2) 1 | 85 (1.2) | 92 (0.8) | 92 (0.7) | 60 (1.2) 1 | 64 (1.7) 1 | 74 (1) 1 | 90 (0.6) | 89 (0.8) |
| Per capita mean intake from snacks, mg (snackers only) | 410 (10.5) 2 | 441 (23.7) | 572 (23.3) 1 | 559 (17.2) 1 | 463 (20.6) | 335 (6.8) 1 | 372 (11.5) 1 | 484 (11.7) | 505 (18.7) | 468 (15.3) |
| Non-Hispanic Black | ||||||||||
| Snacks, n/day | 0.6 (0.05) 1 | 1.1 (0.11) 1 | 1.6 (0.06) | 2.3 (0.06) | 2.1 (0.04) | 0.5 (0.04) | 1.0 (0.08) 1 | 1.1 (0.07) 1 | 2.0 (0.04) | 2.2 (0.06) |
| Per capita mean intake from snacks, mg | 131 (12.9) 1 | 260 (45.1) 1 | 411 (26.6) | 552 (22.3) | 498 (27) | 152 (19) 1 | 199 (22) 1 | 311 (25.2) 1 | 541 (30.5) | 528 (27.5) |
| % snackers | 39 (2.9) 1 | 59 (3.8) 1 | 74 (2.2) | 88 (1) | 86 (0.8) | 37 (2.2) 1 | 55 (2.8) 1 | 61 (2.3) 1 | 86 (0.9) | 86 (0.7) |
| Per capita mean intake from snacks, mg (snackers only) | 333 (30.7) 1 | 441 (66) | 556 (30.8) | 626 (23.6) | 580 (29.5) | 415 (44.1) 1 | 360 (41.6) 1 | 514 (32.4) 2 | 633 (31.8) | 616 (31.4) |
© 2017 by the authors. Licensee MDPI, Basel, Switzerland. This article is an open access article distributed under the terms and conditions of the Creative Commons Attribution (CC BY) license (http://creativecommons.org/licenses/by/4.0/).
Share and Cite
Dunford, E.K.; Poti, J.M.; Popkin, B.M. Emerging Disparities in Dietary Sodium Intake from Snacking in the US Population. Nutrients 2017, 9, 610. https://doi.org/10.3390/nu9060610
Dunford EK, Poti JM, Popkin BM. Emerging Disparities in Dietary Sodium Intake from Snacking in the US Population. Nutrients. 2017; 9(6):610. https://doi.org/10.3390/nu9060610
Chicago/Turabian StyleDunford, Elizabeth K., Jennifer M. Poti, and Barry M. Popkin. 2017. "Emerging Disparities in Dietary Sodium Intake from Snacking in the US Population" Nutrients 9, no. 6: 610. https://doi.org/10.3390/nu9060610
APA StyleDunford, E. K., Poti, J. M., & Popkin, B. M. (2017). Emerging Disparities in Dietary Sodium Intake from Snacking in the US Population. Nutrients, 9(6), 610. https://doi.org/10.3390/nu9060610

