Time Trends and Patterns of Reported Egg Consumption in the U.S. by Sociodemographic Characteristics
Abstract
:1. Introduction
2. Materials and Methods
2.1. Survey Design
2.2. Egg Consumption
2.3. Sociodemographic Characteristics
2.4. Statistical Analysis
3. Results
3.1. Time Trends in Egg Consumption by Sociodemographic Group
3.1.1. Trends in the Percentage of Individuals Reporting Consuming Eggs on a Given Day
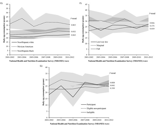
3.1.2. Trends in the Amount of Eggs Consumed Per Day
3.2. Patterns of Reported Egg Consumption by Sociodemographic Group
3.2.1. Odds of Consuming Eggs
3.2.2. Mean and Percentiles of Daily Egg Consumption
4. Discussion
5. Conclusions
Supplementary Materials
Acknowledgments
Author Contributions
Conflicts of Interest
Abbreviations
| FNDDS | Food and Nutrient Database for Dietary Studies |
| NCI | National Cancer Institute |
| NHANES | National Health and Nutrition Examination Survey |
| SNAP | Supplemental Nutrition Assistance Program |
| WWEIA | What We Eat In America |
References
- United Nations Food and Agriculture Organization. Energy and Protein Requirements. Available online: http://www.fao.org/docrep/003/aa040e/AA040E08.htm#ch7.3 (accessed on 16 December 2016).
- Griffin, B.A. Eggs: Good or bad? Proc. Nutr. Soc. 2016, 75, 259–264. [Google Scholar] [CrossRef] [PubMed]
- National Nutrient Database for Standard Reference, Release 28. Nutrient Data Laboratory. US Department of Agriculture, Agricultural Research Service, 2016. Available online: https://ndb.nal.usda.gov/ (accessed on 16 December 2016).
- Abdel-Aal, E.S.M.; Akhtar, H.; Zaheer, K.; Ali, R. Dietary sources of lutein and zeaxanthin carotenoids and their role in eye health. Nutrients 2013, 5, 1169–1185. [Google Scholar] [CrossRef] [PubMed]
- Johnson, E.J. Role of lutein and zeaxanthin in visual and cognitive function throughout the lifespan. Nutr. Rev. 2014, 72, 605–612. [Google Scholar] [CrossRef] [PubMed]
- Andersen, C.J. Bioactive egg components and inflammation. Nutrients 2015, 7, 7889–7913. [Google Scholar] [CrossRef] [PubMed]
- Kim, J.E.; Gordon, S.L.; Ferruzzi, M.G.; Campbell, W.W. Effects of egg consumption on carotenoid absorption from co-consumed, raw vegetables. Am. J. Clin. Nutr. 2015, 102, 75–83. [Google Scholar] [CrossRef] [PubMed]
- Kim, J.E.; Ferruzzi, M.G.; Campbell, W.W. Egg consumption increases vitamin E absorption from co-consumed raw mixed vegetables in healthy young men. J. Nutr. 2016, 146, 2199–2205. [Google Scholar] [CrossRef] [PubMed]
- Fuller, N.R.; Caterson, I.D.; Sainsbury, A.; Denyer, G.; Fong, M.; Gerofi, J.; Baqleh, K.; Williams, K.H.; Lau, N.S.; Markovic, T.P. The effect of a high-egg diet on cardiovascular risk factors in people with type 2 diabetes: The diabetes and egg (DIABEGG) study-a 3-mo randomized controlled trial. Am. J. Clin. Nutr. 2015, 101, 705–713. [Google Scholar] [CrossRef] [PubMed]
- Nicklas, T.A.; O’Neil, C.E.; Fulgoni, V.L. Differing statistical approaches affect the relation between egg consumption, adiposity, and cardiovascular risk factors in adults. J. Nutr. 2015, 145, 170–176. [Google Scholar] [CrossRef] [PubMed]
- Song, W.O.; Kerver, J.M. Nutritional contribution of eggs to American diets. J. Am. Coll. Nutr. 2000, 19, 556S–562S. [Google Scholar] [CrossRef] [PubMed]
- Rehm, C.D.; Peñalvo, J.L.; Afshin, A.; Mozaffarian, D. Dietary intake among US adults, 1999–2012. J. Am. Med. Assoc. 2016, 315, 2542–2553. [Google Scholar] [CrossRef] [PubMed]
- Kant, A.K.; Graubard, B.I. Race-ethnic, family income, and education differentials in nutritional and lipid biomarkers in US children and adolescents: NHANES 2003–2006. Am. J. Clin. Nutr. 2012, 96, 601–612. [Google Scholar] [CrossRef] [PubMed]
- Kirkpatrick, S.I.; Dodd, K.W.; Reedy, J.; Krebs-Smith, S.M. Income and race/ethnicity are associated with adherence to food-based dietary guidance among US adults and children. J. Acad. Nutr. Diet. 2012, 112, 624–635. [Google Scholar] [CrossRef] [PubMed]
- Leung, C.W.; Epel, E.S.; Ritchie, L.D.; Crawford, P.B.; Laraia, B.A. Food insecurity is inversely associated with diet quality of lower-income adults. J. Acad. Nutr. Diet. 2014, 114. [Google Scholar] [CrossRef] [PubMed]
- O'Neil, C.E.; Nicklas, T.A.; Keast, D.R.; Fulgoni, V.L. Ethnic disparities among food sources of energy and nutrients of public health concern and nutrients to limit in adults in the United States: NHANES 2003–2006. Food Nutr. Res. 2014, 58, 11. [Google Scholar] [CrossRef] [PubMed]
- Vega-Lopez, S.; Pignotti, G.A.; Todd, M.; Keller, C. Egg intake and dietary quality among overweight and obese Mexican-American postpartum women. Nutrients 2015, 7, 8402–8412. [Google Scholar] [CrossRef] [PubMed]
- Leung, C.W.; Ding, E.L.; Catalano, P.J.; Villamor, E.; Rimm, E.B.; Willett, W.C. Dietary intake and dietary quality of low-income adults in the Supplemental Nutrition Assistance Program. Am. J. Clin. Nutr. 2012, 96, 977–988. [Google Scholar] [CrossRef] [PubMed]
- US Department of Health and Human Services, Centers for Disease Control and Prevention (CDC). About the National Health and Nutrition Examination Survey. 2017. Available online: www.cdc.gov/nchs/nhanes.htm (accessed on 9 February 2017).
- Moshfegh, A.J.; Rhodes, D.G.; Baer, D.J.; Murayi, T.; Clemens, J.C.; Rumpler, W.V.; Paul, D.R.; Sebastian, R.S.; Kuczynski, K.J.; Ingwersen, L.A.; et al. The US Department of Agriculture Automated Multiple-Pass Method reduces bias in the collection of energy intakes. Am. J. Clin. Nutr. 2008, 88, 324–332. [Google Scholar] [PubMed]
- Carriquiry, A.L. Estimation of usual intake distributions of nutrients and foods. J. Nutr. 2003, 133, 601s–608s. [Google Scholar] [PubMed]
- Subar, A.F.; Dodd, K.W.; Guenther, P.M.; Kipnis, V.; Midthune, D.; McDowell, M.; Tooze, J.A.; Freedman, L.S.; Krebs-Smith, S.M. The food propensity questionnaire: Concept, development, and validation for use as a covariate in a model to estimate usual food intake. J. Am. Diet. Assoc. 2006, 106, 1556–1563. [Google Scholar] [CrossRef] [PubMed]
- Food and Nutrient Database for Dietary Studies. US Department of Agriculture, Agricultural Research Service, 2001–2012. Available online: www.ars.usda.gov/Services/docs.htm?docid=12068 (accessed on 16 December 2016).
- US Census Bureau. How the Census Bureau Measures Poverty. Available online: www.census.gov/topics/income-poverty/poverty/guidance/poverty-measures.html (accessed on 16 December 2016).
- US Department of Agriculture, Food and Nutrition Service. Supplemental Nutrition Assistance Program (SNAP) Eligibility. Available online: http://www.fns.usda.gov/snap/eligibility (accessed on 16 December 2016).
- US Department of Agriculture, Economic Research Service. Food Security in the US. Available online: http://www.ers.usda.gov/topics/food-nutrition-assistance/food-security-in-the-us/survey-tools.aspx#adult (accessed on 16 December 2016).
- US Department of Health and Human Services, National Center for Health Statistics. National Health and Nutrition Examination Survey: Analytic Guidelines, 1999–2010. Available online: https://www.cdc.gov/nchs/nhanes/survey_methods.htm (accessed on 16 December 2016).
- US Department of Health and Human Services, National Center for Health Statistics. National Health and Nutrition Examination Survey: Analytic Guidelines, 2011–2012. Available online: https://www.cdc.gov/nchs/nhanes/survey_methods.htm (accessed on 16 December 2016).
- Klein, R.J.; Schoenborn, C. Age Adjustment Using the 2000 Projected US Population; National Center for Health Statistics: Hyattsville, MD, USA, 2001. Available online: http://www.cdc.gov/nchs/products/hp_pubs.htm (accessed on 9 December 2016).
- Food Patterns Equivalents Database. US Department of Agriculture, Agricultural Research Service, 2001–2014. Available online: https://www.ars.usda.gov/northeast-area/beltsville-md/beltsville-human-nutrition-research-center/food-surveys-research-group/docs/fped-overview/ (accessed on 9 February 2017).
- National Cancer Institute, National Institutes for Health. Usual Dietary Intakes: SAS Macros for Analysis of a Single Dietary Component, Version 2.1. Available online: http://epi.grants.cancer.gov/diet/usualintakes/macros_single.html#ver2 (accessed on 16 December 2016).
- Food Patterns Equivalents Database 2011–2012. Table 14. US Department of Agriculture, Agricultural Research Service, 2014. Available online: www.ars.usda.gov/Services/docs.htm?docid=23871 (accessed on 23 December 2016).
- Cifelli, C.J.; Houchins, J.A.; Demmer, E.; Fulgoni, V.L. Increasing plant based foods or dairy foods differentially affects nutrient intakes: Dietary scenarios using NHANES 2007–2010. Nutrients 2016, 8, 422. [Google Scholar] [CrossRef] [PubMed]
- Miranda, J.M.; Anton, X.; Redondo-Valbuena, C.; Roca-Saavedra, P.; Rodriguez, J.A.; Lamas, A.; Franco, C.M.; Cepeda, A. Egg and egg-derived foods: Effects on human health and use as functional foods. Nutrients 2015, 7, 706–729. [Google Scholar] [CrossRef] [PubMed]
- Alexander, D.D.; Miller, P.E.; Vargas, A.J.; Weed, D.L.; Cohen, S.S. Meta-analysis of egg consumption and risk of coronary heart disease and stroke. J. Am. Coll. Nutr. 2016, 35, 704–716. [Google Scholar] [CrossRef] [PubMed]
- Mozaffarian, D.; Benjamin, E.J.; Go, A.S.; Arnett, D.K.; Blaha, M.J.; Cushman, M.; de Ferranti, S.; Després, J.-P.; Fullerton, H.J.; Howard, V.J.; et al. Heart disease and stroke statistics—2015 update: A report from the American heart association. Circulation 2015, 131. [Google Scholar] [CrossRef]
- Andreyeva, T.; Tripp, A.S.; Schwartz, M.B. Dietary quality of Americans by Supplemental Nutrition Assistance Program participation status: A systematic review. Am. J. Prev. Med. 2015, 49, 594–604. [Google Scholar] [CrossRef] [PubMed]
- Kuhns, A.; Harvey, D. Retail. Egg Price Volatility in 2015 Reflects Farm Conditions; US Department of Agriculture, Economic Research Service: Washington, DC, USA, 2016.
- US Department of Agriculture, Economic Research Service. Consumer Price Index. 2015. Available online: http://www.ers.usda.gov/data-products/food-price-outlook.aspx (accessed on 16 December 2016).
- Andreyeva, T.; Long, M.W.; Brownell, K.D. The impact of food prices on consumption: A systematic review of research on the price elasticity of demand for food. Am. J. Public Health 2010, 100, 216–222. [Google Scholar] [CrossRef] [PubMed]
- McNamara, D.J. The fifty year rehabilitation of the egg. Nutrients 2015, 7, 8716–8722. [Google Scholar] [CrossRef] [PubMed]
- Dietary Guidelines Advisory Committee. Scientific Report of the 2015 Dietary Guidelines Advisory Committee: Advisory Report to the Secretary of Health and Human Services and the Secretary of Agriculture. Part D, Chapter 1; US Department of Health and Human Services: Washington, DC, USA, 2015. Available online: www.health.gov/dietaryguidelines/2015-scientific-report/ (accessed on 16 December 2016).
- US Department of Health and Human Services and US Department of Agriculture. Dietary Guidelines for Americans 2015–2020, Chapter 1; US Department of Health and Human Services: Washington, DC, USA. Available online: http://health.gov/dietaryguidelines/ (accessed on 16 December 2016).
- Imran, M.; Anjum, F.M.; Nadeem, M.; Ahmad, N.; Khan, M.K.; Mushtaq, Z.; Hussain, S. Production of bio-omega-3 eggs through the supplementation of extruded flaxseed meal in hen diet. Lipids Health Dis. 2015, 14, 126. [Google Scholar] [CrossRef] [PubMed]
- Altic, L.; McNulty, H.; Hoey, L.; McAnena, L.; Pentieva, K. Validation of folate-enriched eggs as a functional food for improving folate intake in consumers. Nutrients 2016, 8, 777. [Google Scholar] [CrossRef] [PubMed]
- Sumaiya, S.; Nayak, S.; Baghel, R.P.; Nayak, A.; Malapure, C.D.; Kumar, R. Effect of dietary iodine on production of iodine enriched eggs. Vet. World 2016, 9, 554–558. [Google Scholar] [CrossRef] [PubMed]
- Nimalaratne, C.; Wu, J. Hen egg as an antioxidant food commodity: A review. Nutrients 2015, 7, 8274–8293. [Google Scholar] [CrossRef] [PubMed]
- Djousse, L.; Khawaja, O.A.; Gaziano, J.M. Egg consumption and risk of type 2 diabetes: A meta-analysis of prospective studies. Am. J. Clin. Nutr. 2016, 103, 474–480. [Google Scholar] [CrossRef] [PubMed]
- Rong, Y.; Chen, L.; Zhu, T.; Song, Y.; Yu, M.; Shan, Z.; Sands, A.; Hu, F.B.; Liu, L. Egg consumption and risk of coronary heart disease and stroke: Dose-response meta-analysis of prospective cohort studies. Br. Med. J. 2013, 346, e8539. [Google Scholar] [CrossRef] [PubMed]
- Roark, R.A.; Niederhauser, V.P. Fruit and vegetable intake: Issues with definition and measurement. Public Health Nutr. 2013, 16, 2–7. [Google Scholar] [CrossRef] [PubMed]
- Woodside, J.V.; Young, I.S.; McKinley, M.C. Fruits and vegetables: Measuring intake and encouraging increased consumption. Proc. Nutr. Soc. 2013, 72, 236–245. [Google Scholar] [CrossRef] [PubMed]
- Archer, E.; Hand, G.A.; Blair, S.N. Validity of U.S. Nutritional surveillance: National Health and Nutrition Examination Survey caloric energy intake data, 1971–2010. PLoS ONE 2013, 8, e76632. [Google Scholar] [CrossRef]
- Subar, A.F.; Freedman, L.S.; Tooze, J.A.; Kirkpatrick, S.I.; Boushey, C.; Neuhouser, M.L.; Thompson, F.E.; Potischman, N.; Guenther, P.M.; Tarasuk, V.; et al. Addressing current criticism regarding the value of self-report dietary data. J. Nutr. 2015, 145, 2639–2645. [Google Scholar] [CrossRef] [PubMed]


| Sociodemographic Group | OR (95% CI) |
|---|---|
| Sex | |
| Men | 1.00 |
| Women | 0.82 (0.76–0.88) |
| Age (years) | |
| 20–30 | 1.00 |
| 31–50 | 1.37 (1.23–1.52) |
| 51–70 | 1.66 (1.48–1.86) |
| 71+ | 1.58 (1.40–1.79) |
| Income-to-poverty ratio | |
| >1.85 | 1.00 |
| 1.31–1.85 | 1.09 (0.97–1.23) |
| 0–1.30 | 1.04 (0.95–1.14) |
| Education * | |
| Post-secondary | 1.00 |
| High school or equivalent | 0.98 (0.88–1.08) |
| <High school | 1.03 (0.93–1.13) |
| Race-ethnicity | |
| Non-Hispanic white | 1.00 |
| Mexican-American | 1.79 (1.55–2.05) |
| Non-Hispanic black | 1.33 (1.20–1.46) |
| Food Security * | |
| Full | 1.00 |
| Marginal | 1.08 (0.94–1.24) |
| Low/very low | 0.94 (0.84–1.06) |
| SNAP participation * | |
| Participant | 1.00 |
| Eligible non-participant | 1.06 (0.95–1.17) |
| Ineligible | 0.97 (0.85–1.10) |
| Mean | Median | 10th Percentile | 90th Percentile | p—Mean Difference * | |
|---|---|---|---|---|---|
| Grams/Day ± Standard Error | |||||
| All | 24.1 ± 0.9 | 17.1 ± 0.8 | 4.3 ± 0.8 | 53.3 ± 4.2 | |
| Sex | |||||
| Men | 29.0 ± 1.1 | 21.4 ± 0.9 | 5.6 ± 1.0 | 62.8 ± 5.0 | |
| Women | 19.6 ± 0.8 | 13.9 ± 0.7 | 3.6 ± 0.7 | 43.2 ± 3.6 | <0.01 |
| Age (years) | |||||
| 20–30 | 22.4 ± 1.1 | 15.2 ± 1.0 | 3.7 ± 0.7 | 50.6 ± 4.3 | |
| 31–50 | 25.2 ± 1.2 | 17.9 ± 0.9 | 4.5 ± 0.8 | 55.5 ± 4.8 | 0.26 |
| 51–70 | 25.2 ± 1.1 | 18.4 ± 0.8 | 4.8 ± 0.9 | 54.7 ± 4.4 | 0.22 |
| 71+ | 20.2 ± 0.9 | 14.5 ± 0.8 | 3.7 ± 0.7 | 44.2 ± 3.4 | 0.36 |
| Income-to-poverty ratio | |||||
| >1.85 | 23.7 ± 0.9 | 16.8 ± 0.8 | 4.3 ± 0.8 | 52.2 ± 3.9 | |
| 1.31–1.85 | 24.5 ± 1.2 | 17.5 ± 1.0 | 4.4 ± 0.8 | 54.0 ± 3.9 | 1.00 |
| 0–1.30 | 25.4 ± 1.0 | 18.0 ± 1.1 | 4.5 ± 0.8 | 56.3 ± 3.8 | 0.41 |
| Education | |||||
| Post-secondary | 23.2 ± 1.0 | 16.5 ± 0.8 | 4.2 ± 0.8 | 51.4 ± 4.3 | |
| High school or equivalent | 23.9 ± 1.2 | 16.9 ± 1.1 | 4.2 ± 0.8 | 53.0 ± 4.3 | 1.00 |
| <High school | 27.2 ± 1.2 | 19.8 ± 1.0 | 5.0 ± 0.9 | 59.4 ± 4.5 | 0.02 |
| Race-ethnicity | |||||
| Non-Hispanic white | 23.0 ± 0.9 | 15.6 ± 0.9 | 3.4 ± 0.8 | 52.8 ± 3.9 | |
| Mexican-American | 37.0 ± 1.9 | 28.1 ± 1.7 | 6.8 ± 1.4 | 79.6 ± 5.9 | <0.01 |
| Non-Hispanic black | 27.5 ± 1.0 | 19.8 ± 1.1 | 4.5 ± 1.1 | 61.2 ± 3.9 | <0.01 |
| Food Security | |||||
| Full | 23.6 ± 0.9 | 16.8 ± 0.8 | 4.3 ± 0.8 | 52.0 ± 4.1 | |
| Marginal | 27.1 ± 1.6 | 19.5 ± 1.4 | 4.9 ± 1.0 | 59.7 ± 5.1 | 0.11 |
| Low/very low | 26.0 ± 1.3 | 18.4 ± 1.2 | 4.7 ± 1.0 | 57.2 ± 4.7 | 0.26 |
| SNAP participation | |||||
| Ineligible | 23.8 ± 0.9 | 16.9 ± 0.8 | 4.3 ± 0.8 | 52.6 ± 4.0 | |
| Eligible non-participant | 25.2 ± 1.1 | 17.8 ± 1.0 | 4.4 ± 0.8 | 56.0 ± 4.2 | 0.65 |
| Participant | 25.5 ± 1.5 | 18.0 ± 1.5 | 4.5 ± 0.9 | 56.4 ± 4.7 | 0.66 |
© 2017 by the authors. Licensee MDPI, Basel, Switzerland. This article is an open access article distributed under the terms and conditions of the Creative Commons Attribution (CC BY) license (http://creativecommons.org/licenses/by/4.0/).
Share and Cite
Conrad, Z.; Johnson, L.K.; Roemmich, J.N.; Juan, W.; Jahns, L. Time Trends and Patterns of Reported Egg Consumption in the U.S. by Sociodemographic Characteristics. Nutrients 2017, 9, 333. https://doi.org/10.3390/nu9040333
Conrad Z, Johnson LK, Roemmich JN, Juan W, Jahns L. Time Trends and Patterns of Reported Egg Consumption in the U.S. by Sociodemographic Characteristics. Nutrients. 2017; 9(4):333. https://doi.org/10.3390/nu9040333
Chicago/Turabian StyleConrad, Zach, LuAnn K. Johnson, James N. Roemmich, WenYen Juan, and Lisa Jahns. 2017. "Time Trends and Patterns of Reported Egg Consumption in the U.S. by Sociodemographic Characteristics" Nutrients 9, no. 4: 333. https://doi.org/10.3390/nu9040333
APA StyleConrad, Z., Johnson, L. K., Roemmich, J. N., Juan, W., & Jahns, L. (2017). Time Trends and Patterns of Reported Egg Consumption in the U.S. by Sociodemographic Characteristics. Nutrients, 9(4), 333. https://doi.org/10.3390/nu9040333

