Relevance of Morning and Evening Energy and Macronutrient Intake during Childhood for Body Composition in Early Adolescence
Abstract
:1. Introduction
2. Methods
2.1. DONALD Study
2.2. Nutritional Data
2.3. Anthropometric Data
2.4. Familial Characteristics
2.5. Definition of Morning and Evening
2.6. Study Sample
2.7. Statistical Analysis
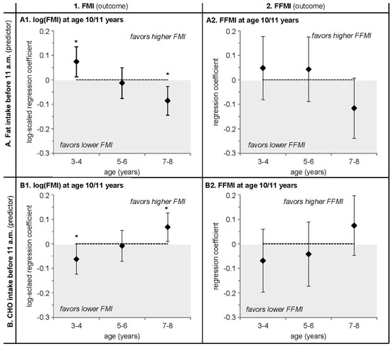
3. Results
3.1. Explorative Analysis
3.2. In-Depth Analysis
4. Discussion
5. Conclusions
Supplementary Materials
Acknowledgments
Author Contributions
Conflicts of Interest
References
- Hughes, A.R.; Sherriff, A.; Lawlor, D.A.; Ness, A.R.; Reilly, J.J. Incidence of obesity during childhood and adolescence in a large contemporary cohort. Prev. Med. 2011, 52, 300–304. [Google Scholar] [CrossRef] [PubMed]
- Fryar, C.D.; Carroll, M.D.; Ogden, C.L. Prevalence of Obesity among Children and Adolescents: United States, Trends 1963–1965 through 2009–2010. 2012. Available online: http://www.cdc.gov/nchs/data/hestat/obesity_child_09_10/obesity_child_09_10.pdf (accessed on 6 November 2015). [Google Scholar]
- Kurth, B.-M.; Schaffrath Rosario, A. Die Verbreitung von Ubergewicht und Adipositas bei Kindern und Jugendlichen in Deutschland. Ergebnisse des bundesweiten Kinder- und Jugendgesundheitssurveys (KiGGS). Bundesgesundheitsblatt Gesundheitsforschung Gesundheitsschutz 2007, 50, 736–743. [Google Scholar] [CrossRef] [PubMed]
- Nader, P.R.; O’Brien, M.; Houts, R.; Bradley, R.; Belsky, J.; Crosnoe, R.; Friedman, S.; Mei, Z.; Susman, E.J. Identifying risk for obesity in early childhood. Pediatrics 2006, 118, e594–e601. [Google Scholar] [CrossRef] [PubMed]
- Scheer, F.A.J.L.; Hilton, M.F.; Mantzoros, C.S.; Shea, S.A. Adverse metabolic and cardiovascular consequences of circadian misalignment. Proc. Natl. Acad. Sci. USA 2009, 106, 4453–4458. [Google Scholar] [CrossRef] [PubMed]
- Szosland, D. Shift work and metabolic syndrome, diabetes mellitus and ischaemic heart disease. Int. J. Occup. Med. Environ. Health 2010, 23, 287–291. [Google Scholar] [CrossRef] [PubMed]
- Garaulet, M.; Madrid, J.A. Chronobiological aspects of nutrition, metabolic syndrome and obesity. Adv. Drug Deliv. Rev. 2010, 62, 967–978. [Google Scholar] [CrossRef] [PubMed]
- Scheer, F.A.J.L.; Morris, C.J.; Shea, S.A. The internal circadian clock increases hunger and appetite in the evening independent of food intake and other behaviors. Obesity 2013, 21, 421–423. [Google Scholar] [CrossRef] [PubMed]
- Kroke, A.; Manz, F.; Kersting, M.; Remer, T.; Sichert-Hellert, W.; Alexy, U.; Lentze, M.J. The DONALD Study. History, current status and future perspectives. Eur. J. Nutr. 2004, 43, 45–54. [Google Scholar] [CrossRef] [PubMed]
- Sichert-Hellert, W.; Kersting, M.; Chahda, C.; Schäfer, R.; Kroke, A. German food composition database for dietary evaluations in children and adolescents. J. Food Compos. Anal. 2007, 20, 63–70. [Google Scholar] [CrossRef]
- Deurenberg, P.; Pieters, J.J.; Hautvast, J.G. The assessment of the body fat percentage by skinfold thickness measurements in childhood and young adolescence. Br. J. Nutr. 1990, 63, 293–303. [Google Scholar] [CrossRef] [PubMed]
- Slaughter, M.H.; Lohman, T.G.; Boileau, R.A.; Horswill, C.A.; Stillman, R.J.; Van Loan, M.D.; Bemben, D.A. Skinfold equations for estimation of body fatness in children and youth. Hum. Biol. 1988, 60, 709–723. [Google Scholar] [PubMed]
- Sichert-Hellert, W.; Kersting, M.; Schoch, G. Underreporting of energy intake in 1 to 18 years old German children and adolescents. Zeitschrift fur Ernahrungswissenschaft 1998, 37, 242–251. [Google Scholar] [CrossRef] [PubMed]
- Cole, T.J. Modeling postnatal exposures and their interactions with birth size. J. Nutr. 2004, 134, 201–204. [Google Scholar] [PubMed]
- Willett, W.C.; Howe, G.R.; Kushi, L.H. Adjustment for total energy intake in epidemiologic studies. Am. J. Clin. Nutr. 1997, 65, 1220–1231. [Google Scholar]
- Maldonado, G.; Greenland, S. Simulation study of confounder-selection strategies. Am. J. Epidemiol. 1993, 138, 923–936. [Google Scholar] [PubMed]
- Kirkwood, B.R.; Sterne, J.A.C. Essential Medical Statistics, 2nd ed.; Blackwell Science: Malden, MA, USA, 2003; pp. 315–342. [Google Scholar]
- Victora, C.G.; Huttly, S.R.; Fuchs, S.C.; Olinto, M.T. The role of conceptual frameworks in epidemiological analysis: A hierarchical approach. Int. J. Epidemiol. 1997, 26, 224–227. [Google Scholar] [CrossRef] [PubMed]
- Cole, T.J.; Bellizzi, M.C.; Flegal, K.M.; Dietz, W.H. Establishing a standard definition for child overweight and obesity worldwide: International survey. BMJ 2000, 320, 1240–1243. [Google Scholar] [CrossRef] [PubMed]
- McCarthy, H.D.; Cole, T.J.; Fry, T.; Jebb, S.A.; Prentice, A.M. Body fat reference curves for children. Int. J. Obes. 2006, 30, 598–602. [Google Scholar] [CrossRef] [PubMed]
- De Stavola, B.L.; Nitsch, D.; dos Santos Silva, I.; McCormack, V.; Hardy, R.; Mann, V.; Cole, T.J.; Morton, S.; Leon, D.A. Statistical issues in life course epidemiology. Am. J. Epidemiol. 2006, 163, 84–96. [Google Scholar] [CrossRef] [PubMed]
- Chandler-Laney, P.C.; Morrison, S.A.; Goree, L.L.T.; Ellis, A.C.; Casazza, K.; Desmond, R.; Gower, B.A. Return of hunger following a relatively high carbohydrate breakfast is associated with earlier recorded glucose peak and nadir. Appetite 2014, 80, 236–241. [Google Scholar] [CrossRef] [PubMed]
- Ludwig, D.S.; Majzoub, J.A.; Al-Zahrani, A.; Dallal, G.E.; Blanco, I.; Roberts, S.B. High glycemic index foods, overeating, and obesity. Pediatrics 1999, 103, E26. [Google Scholar] [CrossRef] [PubMed]
- Warren, J.M.; Henry, C.; Jeya, K.; Simonite, V. Low glycemic index breakfasts and reduced food intake in preadolescent children. Pediatrics 2003, 112, e414. [Google Scholar] [CrossRef] [PubMed]
- Morgan, L.M.; Aspostolakou, F.; Wright, J.; Gama, R. Diurnal variations in peripheral insulin resistance and plasma non-esterified fatty acid concentrations: A possible link? Ann. Clin. Biochem. 1999, 36, 447–450. [Google Scholar] [CrossRef] [PubMed]
- Morris, C.J.; Yang, J.N.; Garcia, J.I.; Myers, S.; Bozzi, I.; Wang, W.; Buxton, O.M.; Shea, S.A.; Scheer, F.A.J.L. Endogenous circadian system and circadian misalignment impact glucose tolerance via separate mechanisms in humans. Proc. Natl. Acad. Sci. USA 2015, 112, E2225–E2234. [Google Scholar] [CrossRef] [PubMed]
- Goran, M.I.; Gower, B.A. Longitudinal study on pubertal insulin resistance. Diabetes 2001, 50, 2444–2450. [Google Scholar] [CrossRef] [PubMed]
- Jeffery, A.N.; Metcalf, B.S.; Hosking, J.; Streeter, A.J.; Voss, L.D.; Wilkin, T.J. Age before stage: Insulin resistance rises before the onset of puberty: A 9-year longitudinal study (EarlyBird 26). Diabetes Care 2012, 35, 536–541. [Google Scholar] [CrossRef] [PubMed]
- Bolli, G.B.; Gerich, J.E. The “dawn phenomenon”—A common occurrence in both non-insulin-dependent and insulin-dependent diabetes mellitus. N. Engl. J. Med. 1984, 310, 746–750. [Google Scholar] [CrossRef] [PubMed]
- Schmidt, M.I.; Lin, Q.X.; Gwynne, J.T.; Jacobs, S. Fasting early morning rise in peripheral insulin: Evidence of the dawn phenomenon in nondiabetes. Diabetes Care 1984, 7, 32–35. [Google Scholar] [CrossRef] [PubMed]
- Marin, G.; Rose, S.R.; Kibarian, M.; Barnes, K.; Cassorla, F. Absence of dawn phenomenon in normal children and adolescents. Diabetes Care 1988, 11, 393–396. [Google Scholar] [CrossRef] [PubMed]
- Arslanian, S.; Ohki, Y.; Becker, D.J.; Drash, A.L. Demonstration of a dawn phenomenon in normal adolescents. Hormone Res. 1990, 34, 27–32. [Google Scholar] [CrossRef] [PubMed]
- Moran, A.; Jacobs, D.R.; Steinberger, J.; Cohen, P.; Hong, C.-P.; Prineas, R.; Sinaiko, A.R. Association between the insulin resistance of puberty and the insulin-like growth factor-I/growth hormone axis. J. Clin. Endocrinol. Metab. 2002, 87, 4817–4820. [Google Scholar] [CrossRef] [PubMed]
- Roenneberg, T.; Allebrandt, K.V.; Merrow, M.; Vetter, C. Social jetlag and obesity. Curr. Biol. 2012, 22, 939–943. [Google Scholar] [CrossRef] [PubMed]
- Roenneberg, T.; Kuehnle, T.; Pramstaller, P.P.; Ricken, J.; Havel, M.; Guth, A.; Merrow, M. A marker for the end of adolescence. Curr. Biol. 2004, 14, R1038–R1039. [Google Scholar] [CrossRef] [PubMed]
- Cairns, A.; Harsh, J. Changes in sleep duration, timing, and quality as children transition to kindergarten. Behav. Sleep Med. 2014, 12, 507–516. [Google Scholar] [CrossRef] [PubMed]
- Werner, H.; LeBourgeois, M.K.; Geiger, A.; Jenni, O.G. Assessment of chronotype in four- to eleven-year-old children: Reliability and validity of the Children’s Chronotype Questionnaire (CCTQ). Chronobiol. Int. 2009, 26, 992–1014. [Google Scholar] [CrossRef] [PubMed]
- He, F.; Bixler, E.O.; Liao, J.; Berg, A.; Imamura Kawasawa, Y.; Fernandez-Mendoza, J.; Vgontzas, A.N.; Liao, D. Habitual sleep variability, mediated by nutrition intake, is associated with abdominal obesity in adolescents. Sleep Med. 2015, 16, 1489–1494. [Google Scholar] [CrossRef] [PubMed]
- Kjeldsen, J.S.; Hjorth, M.F.; Andersen, R.; Michaelsen, K.F.; Tetens, I.; Astrup, A.; Chaput, J.-P.; Sjödin, A. Short sleep duration and large variability in sleep duration are independently associated with dietary risk factors for obesity in Danish school children. Int. J. Obes. 2014, 38, 32–39. [Google Scholar] [CrossRef] [PubMed]
- Morris, C.J.; Garcia, J.I.; Myers, S.; Yang, J.N.; Trienekens, N.; Scheer, F.A.J.L. The human circadian system has a dominating role in causing the morning/evening difference in diet-induced thermogenesis. Obesity 2015, 23, 2053–2058. [Google Scholar] [CrossRef] [PubMed]
- De Castro, J.M. The time of day of food intake influences overall intake in humans. J. Nutr. 2004, 134, 104–111. [Google Scholar] [PubMed]
- Cecil, J.E.; Palmer, C.N.A.; Wrieden, W.; Murrie, I.; Bolton-Smith, C.; Watt, P.; Wallis, D.J.; Hetherington, M.M. Energy intakes of children after preloads: Adjustment, not compensation. Am. J. Clin. Nutr. 2005, 82, 302–308. [Google Scholar] [PubMed]
- Birch, L.L.; Deysher, M. Caloric compensation and sensory specific satiety: Evidence for self regulation of food intake by young children. Appetite 1986, 7, 323–331. [Google Scholar] [PubMed]
- Moreno, L.A.; Joyanes, M.; Mesana, M.I.; González-Gross, M.; Gil, C.M.; Sarría, A.; Gutierrez, A.; Garaulet, M.; Perez-Prieto, R.; Bueno, M.; et al. Harmonization of anthropometric measurements for a multicenter nutrition survey in Spanish adolescents. Nutrition 2003, 19, 481–486. [Google Scholar] [CrossRef]
- Vicente-Rodríguez, G.; Rey-López, J.P.; Mesana, M.I.; Poortvliet, E.; Ortega, F.B.; Polito, A.; Nagy, E.; Widhalm, K.; Sjöström, M.; Moreno, L.A. Reliability and intermethod agreement for body fat assessment among two field and two laboratory methods in adolescents. Obesity 2012, 20, 221–228. [Google Scholar] [CrossRef] [PubMed]

| Variable | Explorative Analysis Sample |
|---|---|
| Sex (♀ n (%)) | 182 (48.9) |
| Early life factors | |
| Birth year | 1992 (1987; 1996) |
| Appropriate for gestational age (n (%)) | 285 (76.6) |
| Fully breastfed (n (%) ≥ 4 months) 1 | 223 (60.1) |
| Puberty marker | |
| Age at takeoff (ATO, years) | 9.7 (8.7; 10.5) |
| Socio-economic status | |
| Maternal overweight, ≥25 kg/m2, (n (%)) 1 | 110 (29.7) |
| Maternal educational status, ≥12 years of schooling, (n (%)) | 223 (60.0) |
| Smoking in the household (n (%)) | 86 (23.1) |
| Body composition at age 10/11 years (Outcome) 2 | |
| BMI (kg/m2) | 17.6 (16.1; 19.5) |
| ♀ | 17.5 (16.0; 19.6) |
| ♂ | 17.7 (16.2; 19.3) |
| FMI (kg/m2) | 3.1 (2.3; 4.6) |
| ♀ | 3.5 (2.5; 4.8) |
| ♂ | 2.9 (2.0; 4.3) |
| FFMI (kg/m2) | 14.3 (13.5; 14.9) |
| ♀ | 14.0 (13.2; 14.6) |
| ♂ | 14.5 (13.8; 15.2) |
| Overweight (n (%)) 3 | 60 (16.1) |
| ♀ | 30 (16.5) |
| ♂ | 30 (15.8) |
| Excessive body fatness (n (%)) 4 | 78 (20.1) |
| ♀ | 33 (18.1) |
| ♂ | 45 (23.7) |
| Exposure | Time Period 1 (Age 2.5 Years–<4.5 Years) | Time Period 2 (Age 4.5 Years–<6.5 Years) | Time Period 3 (Age 6.5 Years–<8.5 Years) | p for Trend 3 |
|---|---|---|---|---|
| Daily energy intake (MJ) | 4.7 (4.3; 5.3) | 5.7 (5.2; 6.3) | 6.6 (5.9; 7.3) | <0.001 |
| Daily energy intake (kcal) | 1132 (1023; 1254) | 1364 (1236; 1501) | 1564.8 (1409.3; 1735.9) | <0.001 |
| Fat (E% 1) | 37.0 (33.5; 39.7) | 36.2 (33.2; 39.1) | 35.3 (32.9; 38.2) | 0.002 |
| Carbohydrates (E% 1) | 50.2 (46.7; 54.2) | 51.0 (48.1; 54.4) | 52.0 (48.7; 54.7) | 0.001 |
| Protein (E% 1) | 12.8 (11.6; 13.9) | 12.6 (11.3; 13.6) | 12.6 (11.6; 13.8) | 0.055 |
| Energy intake before 11 a.m. (kcal) | 347.0 (295.5; 405.2) | 379.0 (309.4; 451.2) | 438.9 (369.7; 534.0) | <0.001 |
| Energy intake before 11 a.m. (E% 1) | 30.9 (26.7; 34.8) | 27.5 (23.7; 32.9) | 28.3 (24.3; 33.1) | <0.001 |
| Fat (E% 2) | 35.9 (30.9; 40.2) | 34.9 (29.9; 39.7) | 33.1 (28.9; 37.7) | <0.001 |
| Carbohydrates (E% 2) | 50.9 (46.3; 57.0) | 52.6 (47.6; 58.1) | 54.7 (49.6; 58.7) | <0.001 |
| Protein (E% 2) | 12.8 (11.2; 14.6) | 12.3 (10.8; 13.9) | 12.4 (10.9; 14.1) | 0.013 |
| Energy intake after 6 p.m. (kcal) | 259.6 (199.2; 315.3) | 334.5 (275.1; 403.5) | 417.0 (332.4; 490.2) | <0.001 |
| Energy intake after 6 p.m. (E% 1) | 22.6 (17.7; 26.9) | 24.6 (20.8; 29.0) | 26.2 (22.4; 30.2) | <0.001 |
| Fat (E% 2) | 40.8 (34.8; 46.5) | 39.2 (34.0; 45.0) | 37.4 (32.6; 41.8) | <0.001 |
| Carbohydrates (E% 2) | 43.7 (37.4; 51.3) | 46.4 (40.1; 52.8) | 48.4 (43.2; 54.0) | <0.001 |
| Protein (E% 2) | 14.2 (12.1; 16.1) | 14.0 (12.2; 15.8) | 14.0 (12.0; 15.7) | 0.361 |
| Predicted FMI Means in Tertiles of Corresponding Exposures 1 (Fat, CHO, ΔFat, ΔCHO) | %Difference T1–T3 2 | p for Trend 3 | |||
|---|---|---|---|---|---|
| Low Intake or Decrease in Intake (T1) | Average Intake or Constant Intake (T2) | High Intake or Increase in Intake (T3) | |||
| At age 3/4 years | |||||
| Fat (%E of breakfast 4) | |||||
| Median intake (25th; 75th) | 28.30 (25.24; 30.70) | 36.17 (34.65; 37.53) | 42.26 (40.08; 45;07) | +49.3% | <0.0001 |
| Model 1 5 | 3.21 (2.90–3.55) | 3.33 (3.01–3.68) | 3.39 (3.06–3.74) | +5.6% | 0.49 |
| Model 2 6 | 3.25 (2.98–3.55) | 3.25 (3.09–3.68) | 3.30 (3.03–3.60) | +1.5% | 0.93 |
| CHO (%E of breakfast 4) | |||||
| Median intake (25th; 75th) | 44.16 (40.53; 46.74) | 50.91 (49.64; 52.14) | 59.63 (56.95; 62.89) | +35.0% | <0.0001 |
| Model 1 5 | 3.36 (3.04–3.72) | 3.39 (3.07–3.75) | 3.18 (2.87–3.51) | −5.4% | 0.25 |
| Model 2 6 | 3.26 (2.99–3.56) | 3.39 (3.11–3.70) | 3.27 (2.99–3.57) | −0.3% | 0.80 |
| At age 7/8 years | |||||
| Fat (%E of breakfast 4) | |||||
| Median intake (25th; 75th) | 27.38 (25.07; 29.37) | 33.20 (32.05; 34.58) | 40.16 (38.01; 43.40) | +46.7% | <0.0001 |
| Model 1 5 | 3.67 (3.33–4.06) | 3.21 (2.90–3.54) | 3.07 (2.78–3.39) | −16.4% | 0.02 |
| Model 2 6 | 3.48 (3.28–3.69) | 3.30 (3.12–3.50) | 3.15 (2.97–3.34) | −9.5% | 0.01 |
| CHO (%E of breakfast 4) | |||||
| Median intake (25th; 75th) | 45.78 (41.76; 49.30) | 54.23 (52.02; 56.45) | 60.25 (58.21; 63.06) | +31.6% | <0.0001 |
| Model 1 5 | 3.14 (2.84–3.47) | 3.30 (2.99–3.65) | 3.49 (3.16–3.85) | +11.1% | 0.14 |
| Model 2 6 | 3.15 (2.97–3.33) | 3.23 (3.05–3.42) | 3.56 (3.36–3.77) | +13.0% | 0.01 |
| Change (Δ) between age 3/4 years and age 7/8 years | |||||
| ΔFat (Δ%E of breakfast 4) | |||||
| Median Δ intake (25th; 75th) | −9.02 (−12.54; −6.72) | −1.81 (−3.73; 0.17) | 5.14 (2.67; 8.57) | +157.0% | <0.0001 |
| Model 1 5 | 3.60 (3.26–3.98) | 3.25 (2.95–3.59) | 3.09 (2.80–3.41) | −14.2% | 0.01 |
| Model 2 6 | 3.55 (3.26–3.87) | 3.25 (2.98–3.54) | 3.14 (2.88–3.43) | −11.6% | 0.02 |
| ΔCHO (Δ%E of breakfast 4) | |||||
| Median Δ intake (25th; 75th) | −6.02 (−10.41; −2.8) | 2.53 (−0.38; 3.87) | 10.28 (8.25; 13.20) | −270.8% | <0.0001 |
| Model 1 5 | 3.13 (2.83–3.46) | 3.22 (2.92–3.56) | 3.59 (3.25–3.97) | +14.7% | 0.02 |
| Model 2 6 | 3.24 (2.97–3.54) | 3.20 (2.93–3.49) | 3.49 (3.20–3.81) | +7.7% | 0.05 |
© 2016 by the authors; licensee MDPI, Basel, Switzerland. This article is an open access article distributed under the terms and conditions of the Creative Commons Attribution (CC-BY) license (http://creativecommons.org/licenses/by/4.0/).
Share and Cite
Diederichs, T.; Roßbach, S.; Herder, C.; Alexy, U.; Buyken, A.E. Relevance of Morning and Evening Energy and Macronutrient Intake during Childhood for Body Composition in Early Adolescence. Nutrients 2016, 8, 716. https://doi.org/10.3390/nu8110716
Diederichs T, Roßbach S, Herder C, Alexy U, Buyken AE. Relevance of Morning and Evening Energy and Macronutrient Intake during Childhood for Body Composition in Early Adolescence. Nutrients. 2016; 8(11):716. https://doi.org/10.3390/nu8110716
Chicago/Turabian StyleDiederichs, Tanja, Sarah Roßbach, Christian Herder, Ute Alexy, and Anette E. Buyken. 2016. "Relevance of Morning and Evening Energy and Macronutrient Intake during Childhood for Body Composition in Early Adolescence" Nutrients 8, no. 11: 716. https://doi.org/10.3390/nu8110716
APA StyleDiederichs, T., Roßbach, S., Herder, C., Alexy, U., & Buyken, A. E. (2016). Relevance of Morning and Evening Energy and Macronutrient Intake during Childhood for Body Composition in Early Adolescence. Nutrients, 8(11), 716. https://doi.org/10.3390/nu8110716

