Weak Satiety Responsiveness Is a Reliable Trait Associated with Hedonic Risk Factors for Overeating among Women
Abstract
:1. Introduction
2. Materials and Methods
2.1. Participants
2.2. Design
2.3. Measures
2.3.1. Resting Metabolic Rate
2.3.2. Anthropometrics and Body Composition
2.3.3. Subjective Appetite Sensations
2.3.4. Satiety Quotient
2.3.5. Test Foods
Fixed Energy Breakfasts
| Condition | Mean (SD) | Range |
|---|---|---|
| 20% | 258.8 (29.9) | 209.8–328.6 |
| 25% | 318.3 (34.5) | 265.0–402.2 |
| 30% | 392.6 (40.8) | 334.0–494.2 |
| 35% | 467.0 (47.6) | 403.0–586.2 |
Ad Libitum Lunch
2.3.6. Food Reward: Explicit Liking and Implicit Wanting for Food
2.3.7. Psychometric Questionnaires
Control of Eating Questionnaire
Three Factor Eating Questionnaire
2.4. Procedure
2.5. Data Analyses
3. Results
3.1. Overall Sample Characteristics
| Mean (SD) | Range | |
|---|---|---|
| Age (years) | 28.0 (10.6) | 20–54 |
| BMI (kg/m2) | 23.1 (2.9) | 18.8–29.1 |
| Waist (cm) | 77.2 (8.1) | 66.0–102.0 |
| Body weight (kg) | 62.7 (9.1) | 46.3–84.7 |
| Fat mass (kg) | 19.6 (5.5) | 10.8–32.3 |
| Fat free mass (kg) | 43.1 (5.2) | 34.0–55.0 |
| Body fat (%) | 30.9 (5.2) | 22.6–41.8 |
| TFEQ Restraint | 9.9 (5.4) | 3–20 |
| TFEQ Disinhibition | 7.2 (3.2) | 0–12 |
| TFEQ Hunger | 6.5 (3.4) | 0–12 |
3.2. Validity of the Satiety Quotient as a Marker of Susceptibility
3.3. Characterisation of Satiety Phenotypes
| Low Satiety Phenotype (n = 9) | High Satiety Phenotype (n = 9) | Uncategorised (n = 12) | |
|---|---|---|---|
| Average SQ (mm/kcal) 1 | 6.3 (2.2) *** | 18.5 (4.4) *** | 11.4 (2.0) |
| Average baseline hunger (mm) 1 | 48.9 (15.9) *** | 78.9 (10.7) *** | 57.6 (14.9) |
| Average baseline desire to eat (mm) 1 | 48.8 (16.2) *** | 78.3 (11.0) *** | 56.4 (16.6) |
| Average baseline prospective consumption (mm) 1 | 42.7 (14.1) *** | 66.3 (10.8) *** | 47.3 (13.5) |
| Average baseline fullness (mm) 1 | 28.7 (10.8) | 16.8 (12.4) | 26.0 (13.5) |
| Age (years) | 24.8 (9.1) | 26.4 (10.2) | 31.6 (11.6) |
| BMI (kg/m2) | 24.6 (2.6) | 22.7 (3.1) | 22.4 (2.9) |
| Waist (cm) | 80.9 (9.7) | 74.4 (7.0) | 76.4 (7.2) |
| Fat mass (kg) | 21.5 (5.6) | 19.1 (5.4) | 18.5 (5.5) |
| Fat free mass (kg) | 45.8 (6.8) | 40.5 (4.2) | 43.1 (3.6) |
| Body fat (%) | 31.7 (4.4) | 31.7 (5.4) | 29.6 (5.7) |
| Resting metabolic rate (kcal) | 1397.7 (185.0) * | 1228.0 (116.8) * | 1260.9 (104.1) |
| TFEQ Restraint | 9.5 (5.8) | 10.1 (6.4) | 9.9 (4.8) |
| TFEQ Disinhibition | 8.8 (2.2) * | 5.1 (3.1) * | 8.0 (3.2) |
| TFEQ Hunger | 6.5 (3.2) | 6.2 (3.7) | 6.6 (3.7) |
3.4. Subjective Appetite Sensations
3.5. Ad libitum Energy Intake

3.6. Food Reward
3.6.1. Explicit Liking Fat Appeal Bias
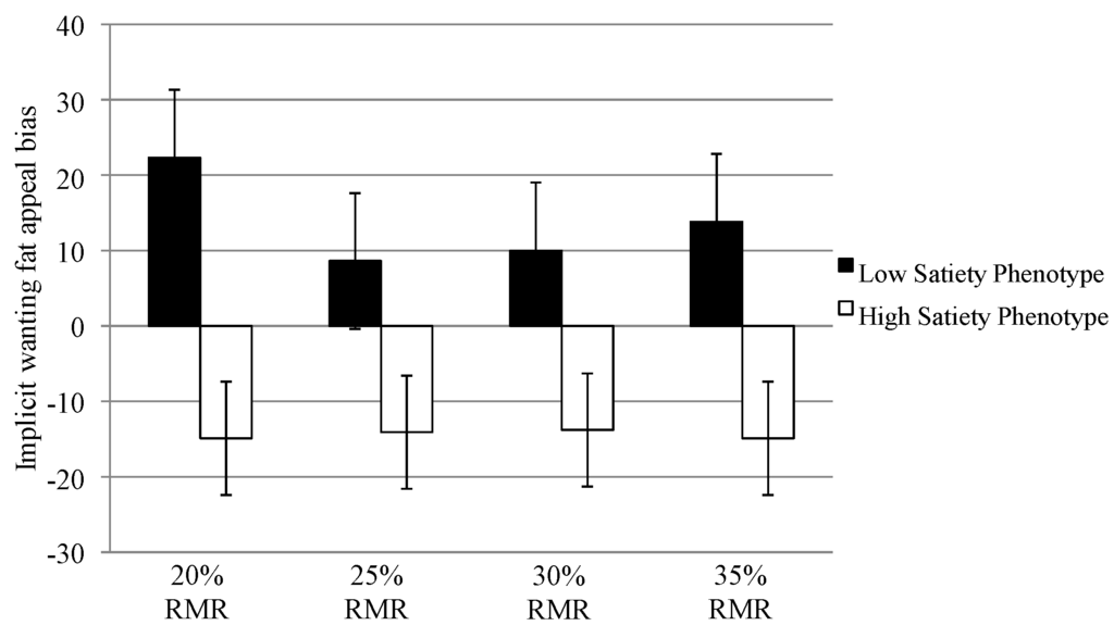
3.6.2. Implicit Wanting Fat Appeal Bias


3.7. Craving for Food (CoEQ)
4. Discussion
5. Conclusions
Acknowledgments
Author Contributions
Conflicts of Interest
Appendix

References
- Dalton, M.; Finlayson, G.; Esdaile, E.; King, N. Appetite, satiety, and food reward in obese individuals: A behavioral phenotype approach. Curr. Nutr. Rep. 2013, 2, 207–215. [Google Scholar] [CrossRef]
- Blundell, J.E.; Finlayson, G. Is susceptibility to weight gain characterized by homeostatic or hedonic risk factors for overconsumption? Physiol. Behav. 2004, 82, 21–25. [Google Scholar] [CrossRef] [PubMed]
- Blundell, J.E.; Gillett, A. Control of food intake in the obese. Obes. Res. 2001, 9, 263S–270S. [Google Scholar] [CrossRef] [PubMed]
- Drapeau, V.; Hetherington, M.; Tremblay, A. Impact of eating and lifestyle behaviors on body weight: Beyond energy value. In Handbook of Behavior, Food and Nutrition; Springer: New York, NY, USA, 2011; pp. 693–706. [Google Scholar]
- Barkeling, B.; King, N.A.; Näslund, E.; Blundell, J.E. Characterization of obese individuals who claim to detect no relationship between their eating pattern and sensations of hunger or fullness. Int. J. Obes. 2007, 31, 435–439. [Google Scholar] [CrossRef] [PubMed]
- Bryant, E.J.; King, N.A.; Blundell, J.E. Disinhibition: Its effects on appetite and weight regulation. Obes. Rev. 2008, 9, 409–419. [Google Scholar] [CrossRef] [PubMed]
- Blundell, J.E.; Stubbs, R.J.; Golding, C.; Croden, F.; Alam, R.; Whybrow, S.; le Noury, J.; Lawton, C.L. Resistance and susceptibility to weight gain: Individual variability in response to a high-fat diet. Physiol. Behav. 2005, 86, 614–622. [Google Scholar] [CrossRef] [PubMed]
- Drapeau, V.; Blundell, J.; Therrien, F.; Lawton, C.; Richard, D.; Tremblay, A. Appetite sensations as a marker of overall intake. Br. J. Nutr. 2005, 93, 273–280. [Google Scholar] [CrossRef] [PubMed]
- Drapeau, V.; King, N.; Hetherington, M.; Doucet, E.; Blundell, J.; Tremblay, A. Appetite sensations and satiety quotient: Predictors of energy intake and weight loss. Appetite 2007, 48, 159–166. [Google Scholar]
- Drapeau, V.; Blundell, J.; Gallant, A.; Arguin, H.; Després, J.P.; Lamarche, B.; Tremblay, A. Behavioural and metabolic characterisation of the low satiety phenotype. Appetite 2013, 70, 67–72. [Google Scholar]
- Green, S.; Delargy, H.; Joanes, D.; Blundell, J. A satiety quotient: A formulation to assess the satiating effect of food. Appetite 1997, 29, 291–304. [Google Scholar] [CrossRef] [PubMed]
- Yeomans, M.R.; Weinberg, L.; James, S. Effects of palatability and learned satiety on energy density influences on breakfast intake in humans. Physiol. Behav. 2005, 86, 487–499. [Google Scholar]
- McNeil, J.; Prudʼhomme, D.; Strychar, I.; Rabasa-Lhoret, R.; Brochu, M.; Lavoie, J.; Doucet, É. Satiety quotient linked to food intake and changes in anthropometry during menopause: A MONET Study. Climacteric 2014, 17, 449–455. [Google Scholar] [CrossRef] [PubMed]
- Chapman, I.; Parker, B.; Doran, S.; Feinle-Bisset, C.; Wishart, J.; Strobel, S.; Wang, Y.; Burns, C.; Lush, C.; Weyer, C. Effect of pramlintide on satiety and food intake in obese subjects and subjects with type 2 diabetes. Diabetologia 2005, 48, 838–848. [Google Scholar] [CrossRef] [PubMed]
- Gibbons, C.; Caudwell, P.; Finlayson, G.; King, N.; Blundell, J.E. Validation of a new hand-held electronic data capture method for continuous monitoring of subjective appetite sensations. Int. J. Behav. Nutr. Phys. Act. 2011, 8, 57. [Google Scholar] [CrossRef] [PubMed]
- Stubbs, R.J.; Hughes, D.A.; Johnstone, A.M.; Rowley, E.; Reid, C.; Elia, M.; Stratton, R.; Delargy, H.; King, N.; Blundell, J.E. The use of visual analogue scales to assess motivation to eat in human subjects: A review of their reliability and validity with an evaluation of new hand-held computerized systems for temporal tracking of appetite ratings. Br. J. Nutr. 2000, 84, 405–415. [Google Scholar] [CrossRef] [PubMed]
- Dalton, M.; Finlayson, G. Psychobiological examination of liking and wanting for fat and sweet taste in trait binge eating females. Physiol. Behav. 2014, 136, 128–134. [Google Scholar] [CrossRef] [PubMed]
- Finlayson, G.; King, N.A.; Blundell, J.E. The role of implicit wanting in relation to explicit liking and wanting for food: Implications for appetite control. Appetite 2008, 50, 120–127. [Google Scholar] [CrossRef]
- Hill, A.J.; Weaver, C.F.; Blundell, J.E. Food craving, dietary restraint and mood. Appetite 1991, 17, 187–197. [Google Scholar] [CrossRef]
- Dalton, M.; Finlayson, G.; Hill, A.; Blundell, J. Preliminary validation and principal components analysis of the Control of Eating Questionnaire (CoEQ) for the experience of food craving. Eur. J. Clin. Nutr. 2015. [Google Scholar] [CrossRef] [PubMed]
- Stunkard, A.J.; Messick, S. The three-factor eating questionnaire to measure dietary restraint, disinhibition and hunger. J. Psychosom. Res. 1985, 29, 71–83. [Google Scholar] [CrossRef]
- Chambers, L.; Yeomans, M.R. Individual differences in satiety response to carbohydrate and fat. Predictions from the Three Factor Eating Questionnaire (TFEQ). Appetite 2011, 56, 316–323. [Google Scholar] [CrossRef] [PubMed]
- Ouwens, M.A.; van Strien, T.; van der Staak, C.P.F. Tendency toward overeating and restraint as predictors of food consumption. Appetite 2003, 40, 291–298. [Google Scholar] [CrossRef]
- Carr, K.; Lin, H.; Fletcher, K.D.; Epstein, L.H. Food reinforcement, dietary disinhibition and weight gain in nonobese adults. Obesity 2013, 22, 254–259. [Google Scholar] [CrossRef] [PubMed]
- Finlayson, G.; Cecil, J.; Higgs, S.; Hill, A.J.; Hetherington, M. Susceptibility to weight gain. Eating behaviour traits and physical activity as predictors of weight gain during the first year of university. Appetite 2012, 58, 1091–1098. [Google Scholar] [CrossRef] [PubMed]
- Finlayson, G.; Bordes, I.; Griffioen-Roose, S.; de Graaf, C.; Blundell, J.E. Susceptibility to overeating affects the impact of savory or sweet drinks on satiation, reward, and food intake in nonobese women. J. Nutr. 2012, 142, 125–130. [Google Scholar] [CrossRef] [PubMed]
- Cornier, M.A.; Grunwald, G.K.; Johnson, S.L.; Bessesen, D.H. Effects of short-term overfeeding on hunger, satiety, and energy intake in thin and reduced-obese individuals. Appetite 2004, 43, 253–259. [Google Scholar] [CrossRef] [PubMed]
- Edholm, O.; Fletcher, J.; Widdowson, E.M.; McCance, R. The energy expenditure and food intake of individual men. Br. J. Nutr. 1995, 9, 286–300. [Google Scholar] [CrossRef]
- Blundell, J.E.; Caudwell, P.; Gibbons, C.; Hopkins, M.; Naslund, E.; King, N.A.; Finlayson, G. Body composition and appetite: Fat-free mass (but not fat mass or BMI) is positively associated with self-determined meal size and daily energy intake in humans. Br. J. Nutr. 2012, 107, 445–449. [Google Scholar] [CrossRef] [PubMed]
- Blundell, J.E.; Caudwell, P.; Gibbons, C.; Hopkins, M.; Naslund, E.; King, N.; Finlayson, G. Role of resting metabolic rate and energy expenditure in hunger and appetite control: A new formulation. Dis. Models Mech. 2012, 5, 608–613. [Google Scholar] [CrossRef] [PubMed]
- Weise, C.; Hohenadel, M.; Krakoff, J.; Votruba, S. Body composition and energy expenditure predict ad-libitum food and macronutrient intake in humans. Int. J. Obes. 2014, 38, 243–251. [Google Scholar] [CrossRef] [PubMed]
- Finlayson, G.; Caudwell, P.; Gibbons, C.; Hopkins, M.; King, N.A.; Blundell, J.E. Low fat loss response after medium-term supervised exercise in obese is associated with exercise-induced increase in food reward. J. Obes. 2011. [Google Scholar] [CrossRef] [PubMed]
- Dalton, M.; Blundell, J.; Finlayson, G. Examination of food reward and energy intake under laboratory and free-living conditions in a trait binge eating subtype of obesity. Front. Psychol. 2013, 4, 757. [Google Scholar] [CrossRef] [PubMed]
- Saelens, B.E.; Epstein, L.H. Reinforcing value of food in obese and non-obese women. Appetite 1996, 27, 41–50. [Google Scholar] [CrossRef] [PubMed]
- Finlayson, G.; Bryant, E.; Blundell, J.E.; King, N.A. Acute compensatory eating following exercise is associated with implicit hedonic wanting for food. Physiol. Behav. 2009, 97, 62–67. [Google Scholar] [CrossRef]
- Dalton, M. Biopsychological Investigation of Hedonic Processes in Individuals Susceptible to Overeating: Role of Liking and Wanting in Trait Binge Eating. Ph.D. Thesis, University of Leeds, Leeds, UK, 2013. [Google Scholar]
- Franken, I.H.; Muris, P. Individual differences in reward sensitivity are related to food craving and relative body weight in healthy women. Appetite 2005, 45, 198–201. [Google Scholar] [CrossRef] [PubMed]
- White, M.A.; Whisenhunt, B.L.; Williamson, D.A.; Greenway, F.L.; Netemeyer, R.G. Development and validation of the food—Craving inventory. Obes. Res. 2002, 10, 107–114. [Google Scholar] [CrossRef]
- Poortvliet, P.C.; Bérubé-Parent, S.; Drapeau, V.; Lamarche, B.; Blundell, J.E.; Tremblay, A. Effects of a healthy meal course on spontaneous energy intake, satiety and palatability. Br. J. Nutr. 2007, 97, 584–590. [Google Scholar] [CrossRef] [PubMed]
© 2015 by the authors; licensee MDPI, Basel, Switzerland. This article is an open access article distributed under the terms and conditions of the Creative Commons Attribution license (http://creativecommons.org/licenses/by/4.0/).
Share and Cite
Dalton, M.; Hollingworth, S.; Blundell, J.; Finlayson, G. Weak Satiety Responsiveness Is a Reliable Trait Associated with Hedonic Risk Factors for Overeating among Women. Nutrients 2015, 7, 7421-7436. https://doi.org/10.3390/nu7095345
Dalton M, Hollingworth S, Blundell J, Finlayson G. Weak Satiety Responsiveness Is a Reliable Trait Associated with Hedonic Risk Factors for Overeating among Women. Nutrients. 2015; 7(9):7421-7436. https://doi.org/10.3390/nu7095345
Chicago/Turabian StyleDalton, Michelle, Sophie Hollingworth, John Blundell, and Graham Finlayson. 2015. "Weak Satiety Responsiveness Is a Reliable Trait Associated with Hedonic Risk Factors for Overeating among Women" Nutrients 7, no. 9: 7421-7436. https://doi.org/10.3390/nu7095345
APA StyleDalton, M., Hollingworth, S., Blundell, J., & Finlayson, G. (2015). Weak Satiety Responsiveness Is a Reliable Trait Associated with Hedonic Risk Factors for Overeating among Women. Nutrients, 7(9), 7421-7436. https://doi.org/10.3390/nu7095345

