Ultra-Processed Food Intake Is Not Associated with Systemic Inflammation in People with HIV
Abstract
1. Introduction
2. Materials and Methods
2.1. Study Design and Population
2.2. Ethical Considerations
2.3. Study Measurements
2.3.1. Baseline Characteristics of Participants
2.3.2. Dietary Measures
2.3.3. Body Composition
2.3.4. Metabolic and Cardiovascular Biomarkers
2.3.5. Biomarkers
2.4. Statistical Analysis
3. Results
3.1. Participants’ Characteristics
3.2. Diet Composition
3.3. Associations Between UPF Intake and Body Composition
3.4. Associations Between UPF Intake and Inflammatory and Gut Biomarkers
3.5. Associations Between UPF Intake and Cardiometabolic Outcomes
4. Discussion
5. Conclusions
Author Contributions
Funding
Institutional Review Board Statement
Informed Consent Statement
Data Availability Statement
Conflicts of Interest
Abbreviations
| AI | Augmentation Index |
| ART | Antiretroviral therapy |
| ASCVD | Atherosclerotic cardiovascular disease |
| AT | Adipose tissue |
| CI | Confidence Interval |
| CT | Computed tomography |
| CVD | Cardiovascular disease |
| DXA | Dual-energy X-ray absorptiometry |
| EDF | Estimated degrees of freedom |
| ELISA | Enzyme-linked immunosorbent assays |
| GAM | Generalized additive models |
| HbA1c | Hemoglobin A1C |
| HDL | High-density lipoprotein |
| HEI | Healthy Eating Index |
| HOMA-IR | Homeostasis Model Assessment of Insulin Resistance |
| HIV | Human Immunodeficiency Virus |
| LBM | Lean body mass |
| LDL | Low-density lipoprotein |
| MUFA | Monounsaturated Fatty Acids |
| NDSR | Nutrition Data System for Research |
| PUFA | Polyunsaturated Fatty Acids |
| PWH | People with HIV |
| RHI | Reactive Hyperemic Index |
| SFA | Saturated Fatty Acids |
| TG | Triglycerides |
| UPF | Ulta-processed food |
| UHCMC | University Hospitals Cleveland Medical Center |
| VAT | Visceral adipose tissue |
| VLDL | Very-low-density lipoprotein |
Appendix A
| Body Composition | Estimate: Beta/EDF 1 | 95% CI | p-Value |
|---|---|---|---|
| Weight | |||
| CD4 Absolute (per 1000) | 7.8 | −0.10, 16 | 0.053 |
| Race | |||
| African American | — | — | |
| Asian | −26 | −73, 20 | 0.3 |
| Bi-Racial | 8.4 | −15, 31 | 0.5 |
| Caucasian | −8 | −15, −1.2 | 0.022 |
| Hispanic | −31 | −58, −4.8 | 0.021 |
| Native American | 24 | −21, 70 | 0.3 |
| Other | −27 | −72, 19 | 0.3 |
| Sex | |||
| Female | — | — | |
| Male | 2.5 | −4.6, 9.6 | 0.5 |
| Age (non-linear) | 1.93 | — | 0.002 |
| BMI | |||
| CD4 Absolute (per 1000) | 3.1 | 0.53, 5.6 | 0.018 |
| Race | |||
| African American | — | — | |
| Asian | −8.3 | −23, 6.6 | 0.3 |
| Bi-Racial | 1.9 | −5.5, 9.4 | 0.6 |
| Caucasian | −1.9 | −4.1, 0.27 | 0.084 |
| Hispanic | −11 | −20, −2.5 | 0.011 |
| Native American | 7.1 | −7.5, 22 | 0.3 |
| Other | −8.6 | −23, 6.2 | 0.3 |
| Sex | |||
| Female | — | — | |
| Male | −4.2 | −6.5, −1.9 | <0.001 |
| Age (non-linear) | 1.98 | — | 0.034 |
| Waist circumference | |||
| CD4 Absolute (per 1000) | 8 | 2.0, 14 | 0.009 |
| Race | |||
| African American | — | — | |
| Asian | −16 | −52, 20 | 0.4 |
| Bi-Racial | 6.8 | −11, 24 | 0.4 |
| Caucasian | −3.2 | −8.4, 2.1 | 0.2 |
| Hispanic | −21 | −41, −0.56 | 0.044 |
| Native American | 18 | −16, 53 | 0.3 |
| Other | −18 | −53, 17 | 0.3 |
| Sex | |||
| Female | — | — | |
| Male | −7.4 | −13, −2.0 | 0.008 |
| Age (non-linear) | 1.88 | — | 0.001 |
| Total Body Bone Mineral Density | |||
| CD4 Absolute (per 1000) | 0.01 | −0.03, 0.04 | 0.8 |
| Race | |||
| African American | — | — | |
| Asian | −0.13 | −0.37, 0.09 | 0.2 |
| Bi-Racial | 0.01 | −0.10, 0.11 | >0.9 |
| Caucasian | −0.07 | −0.10, −0.04 | <0.001 |
| Hispanic | −0.08 | −0.20, 0.04 | 0.2 |
| Native American | −0.10 | −0.32, 0.11 | 0.3 |
| Other | −0.10 | −0.31, 0.11 | 0.4 |
| Sex | |||
| Female | — | — | |
| Male | 0.05 | 0.02, 0.09 | 0.002 |
| Age (non-linear) | 1.83 | — | 0.001 |
| Lean body mass | |||
| CD4 Absolute (per 1000) | 3443 | 38, 6849 | 0.048 |
| Race | |||
| African American | — | — | |
| Asian | −10,695 | −30,704, 9313 | 0.3 |
| Bi-Racial | 2617 | −7291, 12,526 | 0.6 |
| Caucasian | −3245 | −6193, −298 | 0.031 |
| Hispanic | −12,824 | −24,221, −1428 | 0.028 |
| Native American | 9026 | −10,489, 28,541 | 0.4 |
| Other | −6996 | −26,756, 12,764 | 0.5 |
| Sex | |||
| Female | — | — | |
| Male | 12,284 | 9202, 15,366 | <0.001 |
| Age (non-linear) | 1.95 | — | <0.001 |
| Total Limb fat | |||
| CD4 Absolute (per 1000) | 1127 | −1010, 3264 | 0.3 |
| Race | |||
| African American | — | — | |
| Asian | −5997 | −18,550, 6556 | 0.3 |
| Bi-Racial | 2315 | −3903, 8532 | 05 |
| Caucasian | −3011 | −4859, −1162 | 0.002 |
| Hispanic | −8261 | −15,412, −1110 | 0.024 |
| Native American | 4106 | −8139, 16,350 | 0.5 |
| Other | −8869 | −21,264, 3525 | 0.2 |
| Sex | |||
| Female | — | — | |
| Male | −5802 | −7734, −3870 | <0.001 |
| Age (non-linear) | 1.90 | — | 0.016 |
| Trunk fat | |||
| CD4 Absolute (per 1000) | 2863 | 94, 5632 | 0.043 |
| Race | |||
| African American | — | — | |
| Asian | −4711 | −21,102, 11,681 | 0.6 |
| Bi-Racial | 4042 | −3977, 12,061 | 0.3 |
| Caucasian | −1464 | −3844, 916 | 0.2 |
| Hispanic | −9427 | −18,631, −224 | 0.045 |
| Native American | 7678 | −8107, 23,463 | 0.3 |
| Other | −9820 | −25,760, 6120 | 0.2 |
| Sex | |||
| Female | — | — | |
| Male | −5441 | −7925, −2958 | <0.001 |
| Age (non-linear) | 1.82 | — | 0.018 |
| Estimated VAT area | |||
| CD4 Absolute (per 1000) | 27 | 8.4, 45 | 0.004 |
| Race | |||
| African American | — | — | |
| Asian | −16 | −122, 90 | 0.8 |
| Bi-Racial | 41 | −11, 94 | 0.12 |
| Caucasian | 16 | 0.06, 31 | 0.049 |
| Hispanic | −41 | −102, 19 | 0.2 |
| Native American | 68 | −37, 171 | 0.2 |
| Other | −37 | −142, 68 | 0.5 |
| Sex | |||
| Female | — | — | |
| Male | −1.7 | −18, 15 | 0.8 |
| Age (non-linear) | 1.66 | — | <0.001 |
| Gut and Inflammation Markers | Estimate: Beta/EDF 1 | 95% CI | p-Value |
|---|---|---|---|
| Zonulin (log) | |||
| CD4 Absolute (per 1000) | 0.3 | −0.10, 0.70 | 0.14 |
| Race | |||
| African American | — | — | |
| Asian | −0.67 | −2.9, 1.5 | 0.6 |
| Bi-Racial | −0.55 | −1.7, 0.54 | 0.3 |
| Caucasian | −0.21 | −0.57, 0.14 | 0.2 |
| Hispanic | −0.3 | −1.9, 1.3 | 0.7 |
| Native American | −0.46 | −2.6, 1.7 | 0.7 |
| Other | −1.4 | −3.6, 0.75 | 0.2 |
| Sex | |||
| Female | — | — | |
| Male | −0.3 | −0.66, 0.06 | 0.1 |
| Age (non-linear) | 1.81 | — | 0.016 |
| IFABP (log) | |||
| CD4 Absolute (per 1000) | 0.12 | −0.09, 0.34 | 0.2 |
| Race | |||
| African American | — | — | |
| Asian | 0.71 | −0.53, 2.0 | 0.3 |
| Bi-Racial | −0.48 | −1.1, 0.14 | 0.13 |
| Caucasian | −0.14 | −0.33, 0.04 | 0.12 |
| Hispanic | 0.08 | −0.63, 0.79 | 0.8 |
| Native American | −0.69 | −1.9, 0.52 | 0.3 |
| Other | −0.31 | −1.5, 0.91 | 0.6 |
| Sex | |||
| Female | — | — | |
| Male | 0.16 | −0.03, 0.35 | 0.1 |
| Age (per 5 years) | 0.07 | 0.04, 0.10 | <0.001 |
| LBP (log) | |||
| CD4 Absolute (per 1000) | 0.19 | 0.03, 0.35 | 0.021 |
| Race | |||
| African American | — | — | |
| Asian | −0.48 | −1.4, 0.46 | 0.3 |
| Bi-Racial | −0.34 | −0.81, 0.13 | 0.2 |
| Caucasian | −0.05 | −0.19, 0.08 | 0.4 |
| Hispanic | −0.3 | −0.84, 0.24 | 0.3 |
| Native American | 0.93 | 0.01, 1.8 | 0.048 |
| Other | −1.6 | −2.6, −0.71 | <0.001 |
| Sex | |||
| Female | — | — | |
| Male | −0.22 | −0.36, −0.07 | 0.003 |
| Age (non-linear) | 0.01 | −0.03, 0.02 | 0.8 |
| BDG (log) | |||
| CD4 Absolute (non-linear) | 1.50 | — | 0.6 |
| Race | |||
| African American | — | — | |
| Asian | −0.82 | −2.3, 0.66 | 0.3 |
| Bi-Racial | −0.29 | −1.0, 0.44 | 0.4 |
| Caucasian | 0.03 | −0.20, 0.27 | 0.8 |
| Hispanic | 0.26 | −0.79, 1.3 | 0.6 |
| Native American | −0.49 | −1.9, 0.95 | 0.5 |
| Other | −0.87 | −2.3, 0.57 | 0.2 |
| Sex | |||
| Female | — | — | |
| Male | −0.24 | −0.48, 0.00 | 0.051 |
| Age (per 5 years) | 0.01 | −0.03, 0.05 | 0.7 |
| hsCRP (log) | |||
| CD4 Absolute (per 1000) | 0.01 | −0.41, 0.42 | >0.9 |
| Race | |||
| African American | — | — | |
| Asian | −2.4 | −4.8, 0.08 | 0.058 |
| Bi-Racial | −0.02 | −1.2, 1.2 | >0.9 |
| Caucasian | 0.08 | −0.27, 0.44 | 0.7 |
| Hispanic | −0.78 | −2.2, 0.61 | 0.3 |
| Native American | 0.28 | −2.1, 2.7 | 0.8 |
| Other | −2.6 | −5.0, −0.21 | 0.033 |
| Sex | |||
| Female | — | — | |
| Male | −0.61 | −0.98, −0.24 | 0.001 |
| Age | −0.01 | −0.02, 0.00 | 0.2 |
| OxLDL (log) | |||
| CD4 Absolute (non-linear) | 1.74 | — | 0.15 |
| Race | |||
| African American | — | — | |
| Asian | −0.03 | −0.97, 0.90 | >0.9 |
| Bi-Racial | 0.16 | −0.30, 0.62 | 0.5 |
| Caucasian | 0.1 | −0.05, 0.24 | 0.2 |
| Hispanic | −0.84 | −1.5, −0.18 | 0.013 |
| Native American | 0.84 | −0.07, 1.8 | 0.069 |
| Other | 0.02 | −0.88, 0.93 | >0.9 |
| Sex | |||
| Female | — | — | |
| Male | −0.08 | −0.23, 0.07 | 0.3 |
| Age | 0.01 | 0.00, 0.01 | 0.005 |
| TNF-RI (log) | |||
| CD4 Absolute (per 1000) | −0.02 | −0.14, 0.10 | 0.8 |
| Race | |||
| African American | — | — | |
| Asian | 0.28 | −0.42, 0.99 | 0.4 |
| Bi-Racial | 0.13 | −0.21, 0.48 | 0.4 |
| Caucasian | 0.22 | 0.12, 0.32 | <0.001 |
| Hispanic | 0.29 | −0.12, 0.69 | 0.2 |
| Native American | 0.02 | −0.67, 0.71 | >0.9 |
| Other | −0.15 | −0.84, 0.55 | 0.7 |
| Sex | |||
| Female | — | — | |
| Male | −0.11 | −0.22, 0.00 | 0.05 |
| Age (non-linear) | 1.79 | — | 0.05 |
| TNF-RII (log) | |||
| CD4 Absolute (per 1000) | −0.21 | −0.34, −0.08 | 0.002 |
| Race | |||
| African American | — | — | |
| Asian | 0.17 | −0.60, 0.94 | 0.7 |
| Bi-Racial | −0.22 | −0.60, 0.16 | 0.3 |
| Caucasian | 0.15 | 0.04, 0.27 | 0.007 |
| Hispanic | 0.26 | −0.18, 0.70 | 0.2 |
| Native American | −0.9 | −1.6, −0.14 | 0.02 |
| Other | −0.04 | −0.80, 0.71 | >0.9 |
| Sex | |||
| Female | — | — | |
| Male | −0.15 | −0.26, −0.03 | 0.014 |
| Age (per 5 years) | 0.01 | −0.01, 0.02 | 0.6 |
| IL-6 (log) | |||
| CD4 Absolute (per 1000) | −0.04 | −0.24, 0.16 | 0.7 |
| Race | |||
| African American | — | — | |
| Asian | −0.41 | −1.6, 0.76 | 0.5 |
| Bi-Racial | 0.29 | −0.28, 0.86 | 0.3 |
| Caucasian | 0.15 | −0.02, 0.32 | 0.075 |
| Hispanic | −0.3 | −0.96, 0.35 | 0.4 |
| Native American | 0.09 | −1.0, 1.2 | 0.9 |
| Other | 0.78 | −0.35, 1.9 | 0.2 |
| Sex | |||
| Female | — | — | |
| Male | −0.22 | −0.39, −0.04 | 0.015 |
| Age (per 5 years) | 0.02 | 0.00, 0.05 | 0.081 |
| IP-10 (log) | |||
| CD4 Absolute (per 1000) | −0.57 | −0.80, −0.34 | <0.001 |
| Race | |||
| African American | — | — | |
| Asian | −0.1 | −1.4, 1.2 | 0.9 |
| Bi-Racial | 0.19 | −0.46, 0.84 | 0.6 |
| Caucasian | 0.13 | −0.07, 0.34 | 0.2 |
| Hispanic | −0.29 | −1.2, 0.65 | 0.5 |
| Native American | 0.2 | −1.1, 1.5 | 0.8 |
| Other | 0.21 | −1.1, 1.5 | 0.7 |
| Sex | |||
| Female | — | — | |
| Male | −0.36 | −0.57, −0.15 | <0.001 |
| Age (per 5 years) | 0.03 | −0.01, 0.06 | 0.15 |
| ICAM (log) | |||
| CD4 Absolute (non-linear) | 1.56 | — | 0.2 |
| Race | |||
| African American | — | — | |
| Asian | 0.63 | −0.37, 1.6 | 0.2 |
| Bi-Racial | 0.32 | −0.17, 0.82 | 0.2 |
| Caucasian | 0.4 | 0.24, 0.56 | <0.001 |
| Hispanic | 0.56 | −0.15, 1.3 | 0.12 |
| Native American | 0.26 | −0.71, 1.2 | 0.6 |
| Other | −0.1 | −1.1, 0.88 | 0.8 |
| Sex | |||
| Female | — | — | |
| Male | −0.24 | −0.41, −0.08 | 0.004 |
| Age (non-linear) | 1.38 | — | 0.4 |
| VCAM (log) | |||
| CD4 Absolute (per 1000) | −0.28 | −0.38, −0.17 | <0.001 |
| Race | |||
| African American | — | — | |
| Asian | 0.38 | −0.24, 1.0 | 0.2 |
| Bi-Racial | −0.15 | −0.45, 0.16 | 0.4 |
| Caucasian | 0.2 | 0.10, 0.29 | <0.001 |
| Hispanic | 0.27 | −0.09, 0.62 | 0.14 |
| Native American | −0.5 | −1.1, 0.10 | 0.1 |
| Other | 0.42 | −0.19, 1.0 | 0.2 |
| Sex | |||
| Female | — | — | |
| Male | 0.03 | −0.07, 0.12 | 0.6 |
| Age (non-linear) | 1.91 | — | 0.078 |
| sCD14 (log) | |||
| CD4 Absolute (non-linear) | 1.83 | — | 0.11 |
| Race | |||
| African American | — | — | |
| Asian | −0.18 | −0.74, 0.38 | 0.5 |
| Bi-Racial | −0.06 | −0.34, 0.22 | 0.7 |
| Caucasian | 0.11 | 0.03, 0.19 | 0.009 |
| Hispanic | 0.23 | −0.09, 0.54 | 0.2 |
| Native American | 0.13 | −0.42, 0.67 | 0.7 |
| Other | 0.07 | −0.48, 0.62 | 0.8 |
| Sex | |||
| Female | — | — | |
| Male | −0.1 | −0.18, −0.01 | 0.025 |
| Age (non-linear) | 1.64 | — | 0.04 |
| sCD163 (log) | |||
| CD4 Absolute (per 1000) | −0.12 | −0.28, 0.04 | 0.15 |
| Race | |||
| African American | — | — | |
| Asian | 0.16 | −0.80, 1.1 | 0.7 |
| Bi-Racial | 0.12 | −0.35, 0.60 | 0.6 |
| Caucasian | 0.11 | −0.03, 0.25 | 0.14 |
| Hispanic | 0.08 | −0.47, 0.63 | 0.8 |
| Native American | −0.34 | −1.3, 0.60 | 0.5 |
| Other | 0.29 | −0.66, 1.2 | 0.5 |
| Sex | |||
| Female | — | — | |
| Male | −0.12 | −0.27, 0.03 | 0.11 |
| Age (non-linear) | 1.84 | — | 0.006 |
| D-dimer (log) | |||
| CD4 Absolute (per 1000) | −0.42 | −0.79, −0.06 | 0.022 |
| Race | |||
| African American | — | — | |
| Asian | −0.39 | −2.5, 1.7 | 0.7 |
| Bi-Racial | −0.11 | −1.2, 0.94 | 0.8 |
| Caucasian | −0.3 | −0.61, 0.01 | 0.057 |
| Hispanic | −0.11 | −1.3, 1.1 | 0.9 |
| Native American | −2.4 | −4.5, −0.35 | 0.022 |
| Other | −0.85 | −2.9, 1.2 | 0.4 |
| Sex | |||
| Female | — | — | |
| Male | −0.18 | −0.51, 0.14 | 0.3 |
| Age (non-linear) | 1.64 | — | 0.2 |
| Cardiometabolic Biomarker | Estimate: Beta/EDF 1 | 95% CI | p-Value |
|---|---|---|---|
| Triglycerides (log) | |||
| CD4 Absolute (non-linear) | 1.44 | — | 0.001 |
| Race | |||
| African American | — | — | |
| Asian | −0.74 | −1.8, 0.35 | 0.2 |
| Bi-Racial | 0.33 | −0.21, 0.88 | 0.2 |
| Caucasian | 0.23 | 0.08, 0.39 | 0.004 |
| Hispanic | 0.16 | −0.46, 0.78 | 0.6 |
| Native American | 1.3 | 0.28, 2.4 | 0.014 |
| Other | 0.27 | −0.80, 1.3 | 0.6 |
| Sex | |||
| Female | — | — | |
| Male | 0.03 | −0.14, 0.19 | 0.7 |
| Age (per 5 years) | 0.05 | 0.02, 0.07 | <0.001 |
| Cholesterol (log) | |||
| CD4 Absolute (per 1000) | 0.1 | 0.03, 0.18 | 0.007 |
| Race | |||
| African American | — | — | |
| Asian | −0.03 | −0.47, 0.41 | >0.9 |
| Bi-Racial | 0.09 | −0.12, 0.31 | 0.4 |
| Caucasian | 0 | −0.06, 0.07 | >0.9 |
| Hispanic | −0.07 | −0.321, 0.19 | 0.6 |
| Native American | 0.35 | −0.09, 0.77 | 0.11 |
| Other | −0.25 | −0.68, 0.18 | 0.3 |
| Sex | |||
| Female | — | — | |
| Male | −0.06 | −0.13, 0.00 | 0.07 |
| Age (per 5 years) | 0.01 | 0.00, 0.02 | 0.2 |
| non-HDL | |||
| CD4 Absolute (per 1000) | 22 | 9.2, 34 | <0.001 |
| Race | |||
| African American | — | — | |
| Asian | −14 | −87, 59 | 0.7 |
| Bi-Racial | 31 | −4.8, 68 | 0.089 |
| Caucasian | 7 | −3.6, 18 | 0.2 |
| Hispanic | −18 | −59, 24 | 0.4 |
| Native American | 72 | 0.67, 143 | 0.048 |
| Other | −30 | −102, 42 | 0.4 |
| Sex | |||
| Female | — | — | |
| Male | −5.9 | −17, 5.2 | 0.3 |
| Age | 0.21 | −0.14, 0.56 | 0.2 |
| LDL | |||
| CD4 Absolute (non-linear) | 1.62 | — | 0.046 |
| Race | |||
| African American | — | — | |
| Asian | 0.73 | −64, 65 | >0.9 |
| Bi-Racial | 22 | −9.9, 54 | 0.2 |
| Caucasian | 1.2 | −8.2, 11 | 0.8 |
| Hispanic | −13 | −50, 23 | 0.5 |
| Native American | 30 | −33, 93 | 0.3 |
| Other | −31 | −95, 32 | 0.3 |
| Sex | |||
| Female | — | — | |
| Male | −6.7 | −17, 3.1 | 0.2 |
| Age (per 5 years) | 0.02 | −1.5, 1.6 | >0.9 |
| Glucose (log) | |||
| CD4 Absolute (non-linear) | 1.37 | — | 0.059 |
| Race | |||
| African American | — | — | |
| Asian | −0.07 | −0.42, 0.27 | 0.7 |
| Bi-Racial | −0.04 | −0.21, 0.13 | 0.6 |
| Caucasian | 0.04 | −0.01, 0.09 | 0.12 |
| Hispanic | −0.09 | −0.28, 0.11 | 0.4 |
| Native American | 0.14 | −0.19, 0.48 | 0.4 |
| Other | 0.21 | −0.13, 0.55 | 0.2 |
| Sex | |||
| Female | — | — | |
| Male | −0.04 | −0.09, 0.02 | 0.2 |
| Age (per 5 years) | 0.01 | 0.00, 0.01 | 0.2 |
| HOMA-IR (log) | |||
| CD4 Absolute (per 1000) | 0.24 | 0.04, 0.45 | 0.018 |
| Race | |||
| African American | — | — | |
| Asian | −0.54 | −1.7, 0.66 | 0.4 |
| Bi-Racial | 0.04 | −0.55, 0.62 | >0.9 |
| Caucasian | 0.11 | −0.06, 0.28 | 0.2 |
| Hispanic | −0.15 | −0.82, 0.52 | 0.7 |
| Native American | 0.69 | −0.47, 1.8 | 0.2 |
| Other | 0.82 | −0.34, 2.0 | 0.2 |
| Sex | |||
| Female | — | — | |
| Male | −0.24 | −0.42, −0.06 | 0.01 |
| Age (per 5 years) | 0.01 | −0.02, 0.04 | 0.4 |
| RHI | |||
| CD4 Absolute (per 1000) | 0.03 | −0.17, 0.22 | 0.8 |
| Race | |||
| African American | — | — | |
| Asian | 0.47 | −0.64, 1.6 | 0.4 |
| Bi-Racial | 0.75 | 0.20, 1.3 | 0.008 |
| Caucasian | 0.19 | 0.03, 0.35 | 0.023 |
| Hispanic | −0.29 | −0.92, 0.34 | 0.4 |
| Native American | −0.6 | −1.7, 0.48 | 0.3 |
| Other | −0.5 | −1.6, 0.59 | 0.4 |
| Sex | |||
| Female | — | — | |
| Male | 0.04 | −0.13, 0.22 | 0.6 |
| Age (per 5 years) | −0.02 | −0.04, 0.01 | 0.2 |
| Systolic BP | |||
| CD4 Absolute (per 1000) | −4.4 | −9.6, 0.90 | 0.1 |
| Race | |||
| African American | — | — | |
| Asian | 17 | −13, 48 | 0.3 |
| Bi-Racial | −7.7 | −23, 7.5 | 0.3 |
| Caucasian | −4.1 | −8.6, 0.34 | 0.07 |
| Hispanic | −14 | −31, 3.2 | 0.11 |
| Native American | −2.7 | −33, 27 | 0.9 |
| Other | −12 | −42, 18 | 0.4 |
| Sex | |||
| Female | — | — | |
| Male | 0.25 | −4.4, 4.9 | >0.9 |
| Age (non-linear) | 2.62 | — | 0.041 |
| Diastolic BP | |||
| CD4 Absolute (per 1000) | −3.8 | −7.1, −0.60 | 0.02 |
| Race | |||
| African American | — | — | |
| Asian | −4.2 | −23, 15 | 0.7 |
| Bi-Racial | −1.4 | −11, 8.0 | 0.8 |
| Caucasian | −3.6 | −6.4, −0.81 | 0.012 |
| Hispanic | −5.3 | −16, 5.5 | 0.3 |
| Native American | −0.99 | −20, 18 | >0.9 |
| Other | −23 | −42, −4.7 | 0.014 |
| Sex | |||
| Female | — | — | |
| Male | −1.8 | −4.7, 1.1 | 0.2 |
| Age | 0.07 | −0.03, 0.16 | 0.2 |





References
- Feinstein, M.J.; Hsue, P.Y.; Benjamin, L.A.; Bloomfield, G.S.; Currier, J.S.; Freiberg, M.S.; Grinspoon, S.K.; Levin, J.; Longenecker, C.T.; Post, W.S. Characteristics, Prevention, and Management of Cardiovascular Disease in People Living with HIV: A Scientific Statement from the American Heart Association. Circulation 2019, 140, e98–e124. [Google Scholar] [CrossRef] [PubMed]
- So-Armah, K.; Benjamin, L.A.; Bloomfield, G.S.; Feinstein, M.J.; Hsue, P.; Njuguna, B.; Freiberg, M.S. HIV and cardiovascular disease. Lancet HIV 2020, 7, e279–e293. [Google Scholar] [CrossRef]
- Rico-Campà, A.; Martínez-González, M.A.; Alvarez-Alvarez, I.; De Deus Mendonça, R.; De La Fuente-Arrillaga, C.; Gómez-Donoso, C.; Bes-Rastrollo, M. Association between consumption of ultra-processed foods and all cause mortality: SUN prospective cohort study. BMJ 2019, 365, l1949. [Google Scholar] [CrossRef]
- Monteiro, C.A.; Cannon, G.; Levy, R.; Moubarac, J.C.; Jaime, P.; Paula Martins, A.; Canella, D.; Louzada, M.; Parra Also with Camila Ricardo, D.; Calixto, G.; et al. NOVA. The star shines bright. World Nutr. 2016, 7, 28–38. [Google Scholar]
- Monteiro, C.A. Nutrition and health. The issue is not food, nor nutrients, so muchas processing. Public Health Nutr. 2009, 12, 729–731. [Google Scholar] [CrossRef]
- Lane, M.M.; Gamage, E.; Du, S.; Ashtree, D.N.; McGuinness, A.J.; Gauci, S.; Baker, P.; Lawrence, M.; Rebholz, C.M.; Srour, B.; et al. Ultra-processed food exposure and adverse health outcomes: Umbrella review of epidemiological meta-analyses. BMJ 2024, 384, e077310. [Google Scholar] [CrossRef] [PubMed]
- Mendoza, K.; Smith-Warner, S.A.; Rossato, S.L.; Khandpur, N.; Manson, J.A.E.; Qi, L.; Rimm, E.B.; Mukamal, K.J.; Willett, W.C.; Wang, M.; et al. Ultra-processed foods and cardiovascular disease: Analysis of three large US prospective cohorts and a systematic review and meta-analysis of prospective cohort studies. Lancet Reg. Health—Am. 2024, 37, 100859. [Google Scholar] [CrossRef] [PubMed]
- Juul, F.; Vaidean, G.; Parekh, N. Ultra-processed Foods and Cardiovascular Diseases: Potential Mechanisms of Action. Adv. Nutr. 2021, 12, 1673–1680. [Google Scholar] [CrossRef] [PubMed]
- Fitch, K.V.; Mccallum, S.A.; Erlandson, K.M.; Overton, E.T.; Zanni, M.V.; Fichtenbaum, C.; Aberg, J.A.; Fulda, E.S.; Kileel, E.M.; Moran, L.E.; et al. Diet in a global cohort of adults with HIV at low-to-moderate traditional cardiovascular disease risk. AIDS 2022, 36, 1997–2003. [Google Scholar] [CrossRef] [PubMed]
- Monteiro, C.A.; Cannon, G.; Levy, R.B.; Moubarac, J.C.; Louzada, M.L.C.; Rauber, F.; Khandpur, N.; Cediel, G.; Neri, D.; Martinez-Steele, E.; et al. Ultra-processed foods: What they are and how to identify them. Public Health Nutr. 2019, 22, 936–941. [Google Scholar] [CrossRef]
- Eckard, A.R.; Wu, Q.; Sattar, A.; Ansari-Gilani, K.; Labbato, D.; Foster, T.; Fletcher, A.A.; Adekunle, R.O.; McComsey, G.A. Once-weekly semaglutide in people with HIV-associated lipohypertrophy: A randomised, double-blind, placebo-controlled phase 2b single-centre clinical trial. Lancet Diabetes Endocrinol. 2024, 12, 523–534. [Google Scholar] [CrossRef] [PubMed]
- Baissary, J.; Koberssy, Z.; Durieux, J.C.; Atieh, O.; Daher, J.; Ailstock, K.; Labbato, D.; Foster, T.; Rodgers, M.A.; Merheb, A.; et al. The Effect of COVID-19 on Arterial Stiffness and Inflammation: A Longitudinal Prospective Study. Viruses 2025, 17, 394. [Google Scholar] [CrossRef]
- ASCVD Risk Estimator +. Available online: https://tools.acc.org/ascvd-risk-estimator-plus/#!/calculate/estimate/ (accessed on 1 December 2024).
- Alberti, K.G.M.M.; Eckel, R.H.; Grundy, S.M.; Zimmet, P.Z.; Cleeman, J.I.; Donato, K.A.; Fruchart, J.C.; James, W.P.T.; Loria, C.M.; Smith, S.C. Harmonizing the metabolic syndrome: A joint interim statement of the international diabetes federation task force on epidemiology and prevention; National heart, lung, and blood institute; American heart association; World heart federation; International atherosclerosis society; And international association for the study of obesity. Circulation 2009, 120, 1640–1645. [Google Scholar] [CrossRef]
- Monteiro, C.A.; Louzada, M.L.; Steele-Martinez, E.; Cannon, G.; Andrade, G.C.; Baker, P.; Bes-Rastrollo, M.; Bonaccio, M.; Gearhardt, A.N.; Khandpur, N.; et al. Ultra-processed foods and human health: The main thesis and the evidence. Lancet 2025, 406, 2667–2684. [Google Scholar] [CrossRef] [PubMed]
- Rajasuriar, R.; Khoury, G.; Kamarulzaman, A.; French, M.A.; Cameron, P.U.; Lewin, S.R. Persistent immune activation in chronic HIV infection: Do any interventions work? AIDS 2013, 27, 1199–1208. [Google Scholar] [CrossRef] [PubMed]
- Klatt, N.R.; Funderburg, N.T.; Brenchley, J.M. Microbial translocation, immune activation, and HIV disease. Trends Microbiol. 2013, 21, 6–13. [Google Scholar] [CrossRef] [PubMed]
- Manzano, M.; Talavera-Rodríguez, A.; Moreno, E.; Madrid, N.; Gosalbes, M.J.; Ron, R.; Dronda, F.; Pérez-Molina, J.A.; Lanza, V.F.; Díaz, J.; et al. Relationship of Diet to Gut Microbiota and Inflammatory Biomarkers in People with HIV. Nutrients 2022, 14, 1221. [Google Scholar] [CrossRef] [PubMed]
- Weiss, J.J.; Sanchez, L.; Hubbard, J.; Lo, J.; Grinspoon, S.K.; Fitch, K.V. Diet Quality Is Low and Differs by Sex in People with HIV. J. Nutr. 2019, 149, 78–87. [Google Scholar] [CrossRef]
- Webel, A.R.; Sattar, A.; Funderburg, N.T.; Kinley, B.; Longenecker, C.T.; Labbato, D.; Alam, S.K.; McComsey, G.A. Alcohol and dietary factors associate with gut integrity and inflammation in HIV-infected adults. HIV Med. 2017, 18, 402–411. [Google Scholar] [CrossRef]
- Gibney, M.J.; Forde, C.G.; Mullally, D.; Gibney, E.R. Ultra-processed foods in human health: A critical appraisal. Am. J. Clin. Nutr. 2017, 106, 717–724. [Google Scholar] [CrossRef]
- Monteiro, C.A.; Cannon, G.; Moubarac, J.C.; Levy, R.B.; Louzada, M.L.C.; Jaime, P.C. The UN Decade of Nutrition, the NOVA food classification and the trouble with ultra-processing. Public Health Nutr. 2018, 21, 5–17. [Google Scholar] [CrossRef]

| Characteristic | Overall N = 222 1 | Healthier N = 110 1 | Unhealthy N = 112 1 | p-Value 2 |
|---|---|---|---|---|
| Age | 45.4 ± 14.2 | 46.9 ± 14.2 | 44.0 ± 14.0 | 0.13 |
| Sex | 0.269 | |||
| Female | 69 (31.1%) | 38 (34.5%) | 31 (27.7%) | |
| Male | 153 (68.9%) | 72 (65.5%) | 81 (72.3%) | |
| Race | 0.339 | |||
| African American | 137 (61.7%) | 61 (55.5%) | 76 (67.9%) | |
| Asian | 1 (0.5%) | 1 (0.9%) | 0 (0.0%) | |
| Bi-Racial | 4 (1.8%) | 3 (2.7%) | 1 (0.9%) | |
| Caucasian | 75 (33.8%) | 41 (37.3%) | 34 (30.4%) | |
| Native American | 1 (0.5%) | 1 (0.9%) | 0 (0.0%) | |
| Other | 1 (0.5%) | 1 (0.9%) | 0 (0.0%) | |
| Ethnicity | 0.785 | |||
| Hispanic or Latino | 21 (9.5%) | 11 (10.0%) | 10 (8.9%) | |
| Non-Hispanic or Non-Latino | 201 (90.5%) | 99 (90.0%) | 102 (91.1%) | |
| Diagnoses: Past Medical + Current | ||||
| Hypertension | 76 (34.2%) | 40 (36.4%) | 36 (32.1%) | 0.508 |
| Hyperlipidemia | 36 (16.2%) | 17 (15.5%) | 19 (17.0%) | 0.76 |
| High cholesterol | 34 (15.3%) | 18 (16.4%) | 16 (14.3%) | 0.667 |
| Diabetes | 11 (5.0%) | 4 (3.6%) | 7 (6.3%) | 0.37 |
| Asthma/COPD | 67 (30.2%) | 25 (22.7%) | 42 (37.5%) | 0.017 |
| CD4 < 200 | 37 (16.7%) | 22 (20.0%) | 15 (13.4%) | 0.187 |
| Malignancy | 12 (5.4%) | 8 (7.3%) | 4 (3.6%) | 0.223 |
| Substance abuse | 49 (22.1%) | 23 (20.9%) | 26 (23.2%) | 0.679 |
| Smoking Status | 0.455 | |||
| Current | 105 (47.3%) | 50 (45.5%) | 55 (49.1%) | |
| Never | 74 (33.3%) | 35 (31.8%) | 39 (34.8%) | |
| Past | 43 (19.4%) | 25 (22.7%) | 18 (16.1%) | |
| Alcohol Status | 0.008 | |||
| Current | 155 (69.8%) | 87 (79.1%) | 68 (60.7%) | |
| Never | 19 (8.6%) | 5 (4.5%) | 14 (12.5%) | |
| Past | 48 (21.6%) | 18 (16.4%) | 30 (26.8%) | |
| HIV Condition | ||||
| CD4 Absolute (cells/mm3) | 762.3 ± 398.7 | 703.8 ± 375.1 | 818.1 ± 414.1 | 0.033 |
| HIV duration (months) | 165.9 ± 123.7 | 172.2 ± 128.7 | 159.6 ± 118.8 | 0.447 |
| Viral load (copies/mL) | 20 (20, 20) | 20 (20, 20) | 20 (20, 20) | 0.417 |
| BMI (Kg/m2) | 30.61 ± 7.91 | 30.39 ± 7.72 | 30.82 ± 8.12 | 0.691 |
| Characteristic | Overall N = 222 1 | Healthier N = 110 1 | Unhealthy N = 112 1 |
|---|---|---|---|
| Total Energy (kcal) | 4258.95 ± 4274.96 | 4574.03 ± 5573.90 | 3949.49 ± 2383.77 |
| Total Fats (g) | 187.59 ± 289.27 | 213.91 ± 395.35 | 161.75 ± 108.40 |
| Total Carbohydrates (g) | 470.69 ± 383.02 | 447.93 ± 444.58 | 493.04 ± 311.41 |
| Total Proteins (g) | 161.00 ± 162.39 | 184.05 ± 211.96 | 138.36 ± 85.67 |
| Total Saturated Fats (g) | 59.63 ± 60.00 | 65.35 ± 76.03 | 54.01 ± 37.78 |
| Total Monounsaturated Fats (g) | 64.17 ± 86.64 | 73.63 ± 116.93 | 54.88 ± 36.65 |
| Total polyunsaturated Fats (g) | 48.94 ± 146.07 | 58.02 ± 205.07 | 40.03 ± 32.01 |
| Total Dietary Fibers (g) | 32.18 ± 52.12 | 40.02 ± 71.31 | 24.47 ± 17.13 |
| Total Soluble Dietary Fibers (g) | 10.27 ± 10.47 | 11.70 ± 12.95 | 8.88 ± 7.06 |
| Total Insoluble Dietary Fibers (g) | 20.72 ± 40.06 | 26.01 ± 55.32 | 15.52 ± 11.60 |
| Total Added Sugars (carbs) (g) | 169.74 ± 163.71 | 113.52 ± 98.12 | 224.96 ± 194.16 |
| Total Added Sugars (Total Sugars) (g) | 153.44 ± 151.20 | 104.16 ± 89.04 | 201.84 ± 181.56 |
| NOVA 1 (%) | 21% (14, 30) | 27% (19, 37) | 18% (11, 25) |
| NOVA 4 (%) | 46% (36, 58) | 36% (28, 43) | 57% (50, 66) |
| Body Composition | Estimate: Beta/EDF 1 | 95% CI | p-Value | q-Value 2 | Adjusted R2 3 |
|---|---|---|---|---|---|
| Weight | |||||
| % NOVA 1 | 5.4 | −20, 31 | 0.68 | 0.94 | |
| % NOVA 4 | −8.3 | −30, 14 | 0.46 | 0.73 | 0.095 |
| BMI | |||||
| % NOVA 1 | 1.0 | −7.2, 9.2 | 0.81 | 0.94 | |
| % NOVA 4 | −1.6 | −8.7, 5.5 | 0.66 | 0.97 | 0.156 |
| Waist circumference | |||||
| % NOVA 1 | 6.9 | −13, 26 | 0.48 | 0.94 | |
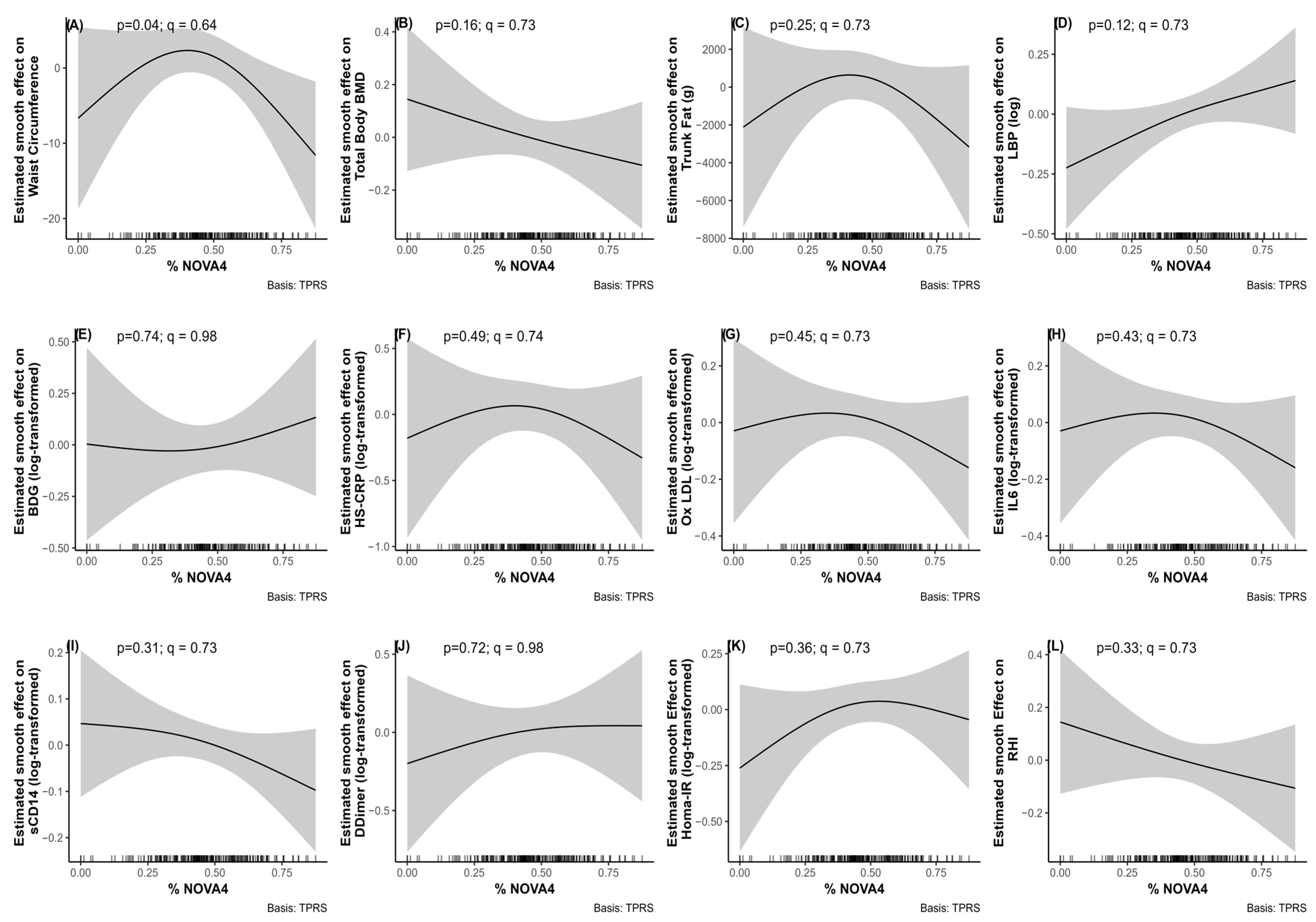
| % NOVA 4 (non-linear) | 1.85 | - | 0.04 | 0.64 | 0.183 |
| Total Body Bone Mineral Density | |||||
| % NOVA 1 | 0.10 | −0.02, 0.22 | 0.12 | 0.69 | |
| % NOVA 4 (non-linear) | 1.78 | - | 0.16 | 0.73 | 0.172 |
| Lean body mass | |||||
| % NOVA 1 | 2817 | −8175, 13,808 | 0.61 | 0.94 | |
| % NOVA 4 | −5278 | −14,785, 4229 | 0.27 | 0.73 | 0.28 |
| Total Limb fat | |||||
| % NOVA 1 | 431 | −6466, 7328 | 0.90 | 0.94 | |
| % NOVA 4 | 144 | −5822, 6109 | 0.96 | 0.99 | 0.257 |
| Trunk fat | |||||
| % NOVA 1 | 1429 | −7496, 10,355 | 0.75 | 0.94 | |
| % NOVA 4 (non-linear) | 1.72 | - | 0.25 | 0.73 | 0.18 |
| Estimated VAT area | |||||
| % NOVA 1 | −8.6 | −67, 50 | 0.77 | 0.94 | |
| % NOVA 4 | −35.05 | −86, 16 | 0.25 | 0.73 | 0.255 |
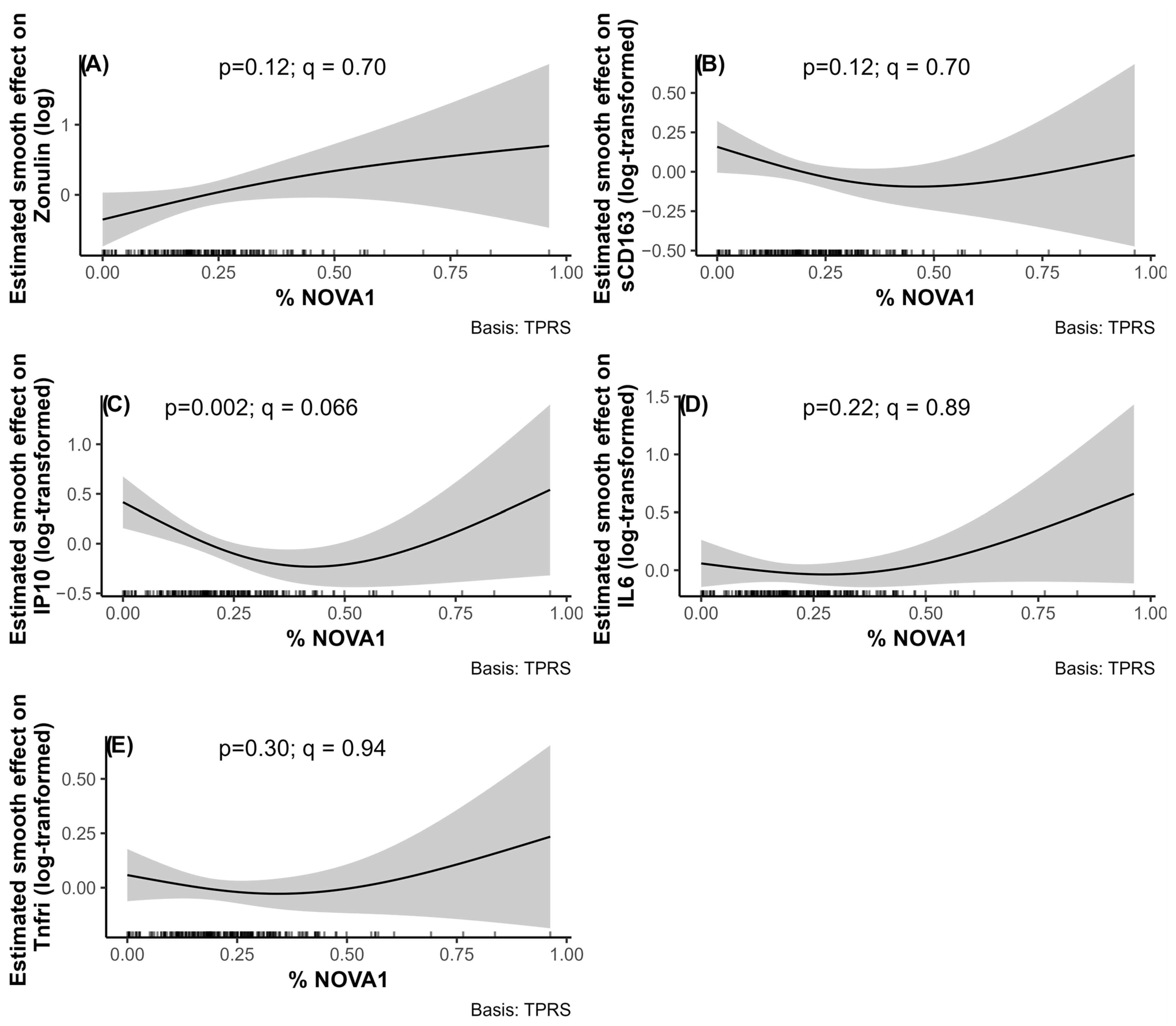
| Gut and Inflammation Marker | Estimate: Beta/EDF 1 | 95% CI | p-Value | q-Value 2 | Adjusted R2 3 |
|---|---|---|---|---|---|
| Zonulin (log) | |||||
| % NOVA 1 (non-linear) | 1.32 | - | 0.12 | 0.70 | |
| % NOVA 4 | −0.07 | −1.3, 1.1 | 0.91 | 0.99 | 0.099 |
| IFABP (log) | |||||
| % NOVA 1 | −0.06 | −0.74, 0.62 | 0.86 | 0.94 | |
| % NOVA 4 | 0.09 | −0.50, 0.68 | 0.76 | 0.98 | 0.091 |
| LBP (log) | |||||
| % NOVA 1 | 0.40 | −0.12, 0.92 | 0.13 | 0.70 | |
| % NOVA 4 | 1.31 | - | 0.12 | 0.73 | 0.12 |
| BDG (log) | |||||
| % NOVA 1 | 0.30 | −0.59, 1.2 | 0.51 | 0.94 | |
| % NOVA 4 (non-linear) | 1.33 | - | 0.74 | 0.98 | −0.006 |
| hsCRP (log) | |||||
| % NOVA 1 | 0.12 | −1.2, 1.5 | 0.86 | 0.94 | |
| % NOVA 4 (non-linear) | 1.57 | - | 0.49 | 0.74 | 0.05 |
| OxLDL (log) | |||||
| % NOVA 1 | −0.12 | −0.68, 0.45 | 0.68 | 0.94 | |
| % NOVA 4 (non-linear) | - | - | 0.45 | 0.73 | 0.089 |
| TNF-RI (log) | |||||
| % NOVA 1 (non-linear) | 1.72 | - | 0.30 | 0.94 | |
| % NOVA 4 | 0.30 | −0.03, 0.64 | 0.074 | 0.73 | 0.085 |
| TNF-RII (log) | |||||
| % NOVA 1 | −0.12 | −0.54, 0.30 | 0.58 | 0.94 | |
| % NOVA 4 | 0.14 | −0.23, 0.51 | 0.45 | 0.73 | 0.086 |
| IL-6 (log) | |||||
| % NOVA 1 (non-linear) | 1.82 | - | 0.22 | 0.89 | |
| % NOVA 4 (non-linear) | 1.58 | - | 0.43 | 0.73 | 0.036 |
| IP-10 (log) | |||||
| % NOVA 1 (non-linear) | 1.91 | - | 0.002 | 0.066 | |
| % NOVA 4 | 0.08 | −0.63, 0.79 | 0.83 | 0.99 | 0.177 |
| ICAM-1 (log) | |||||
| % NOVA 1 | −0.68 | −1.3, −0.07 | 0.028 | 0.45 | |
| % NOVA 4 | 0.45 | −0.09, 1.0 | 0.10 | 0.73 | 0.20 |
| VCAM-1 (log) | |||||
| % NOVA 1 | 0.02 | −0.32, 0.36 | 0.93 | 0.94 | |
| % NOVA 4 | 0.13 | −0.16, 0.42 | 0.39 | 0.73 | 0.219 |
| sCD14 (log) | |||||
| % NOVA 1 | −0.20 | −0.51, 0.10 | 0.19 | 0.89 | |
| % NOVA 4 (non-linear) | 1.37 | - | 0.31 | 0.73 | 0.107 |
| sCD163 (log) | |||||
| % NOVA 1 (non-linear) | −1.73 | - | 0.12 | 0.70 | |
| % NOVA 4 | 0.03 | −0.43, 0.49 | 0.90 | 0.99 | 0.05 |
| D-dimer (log) | |||||
| % NOVA 1 | 0.20 | −0.97, 1.4 | 0.74 | 0.94 | |
| % NOVA 4 (non-linear) | 1.24 | - | 0.72 | 0.98 | 0.041 |
| Cardiometabolic Biomarker | Estimate: Beta/EDF 1 | 95% CI | p-Value | q-Value 2 | Adjusted R2 3 |
|---|---|---|---|---|---|
| Triglycerides (log) | |||||
| % NOVA 1 | −0.06 | −0.66, 0.54 | 0.84 | 0.94 | |
| % NOVA 4 | −0.06 | −0.58, 0.46 | 0.82 | 0.99 | 0.137 |
| Cholesterol (log) | |||||
| % NOVA 1 | −0.05 | −0.30, 0.19 | 0.70 | 0.94 | |
| % NOVA 4 | −0.24 | −0.45, −0.04 | 0.02 | 0.64 | 0.67 |
| non-HDL | |||||
| % NOVA 1 | −1.6 | −42, 39 | 0.94 | 0.94 | |
| % NOVA 4 | −21 | −56, 14 | 0.23 | 0.73 | 0.069 |
| LDL | |||||
| % NOVA 1 | 2.2 | −33, 37 | 0.91 | 0.94 | |
| % NOVA 4 | −15 | −46, 15 | 0.33 | 0.73 | 0.031 |
| Glucose (log) | |||||
| % NOVA 1 | 0.02 | −0.17, 0.21 | 0.84 | 0.94 | |
| % NOVA 4 | 0.01 | −0.17, 0.16 | 0.99 | 0.99 | 0.021 |
| HOMA-IR (log) | |||||
| % NOVA 1 | 0.26 | −0.40, 0.91 | 0.44 | 0.94 | |
| % NOVA 4 (non-linear) | 1.62 | - | 0.36 | 0.73 | 0.06 |
| RHI | |||||
| % NOVA 1 | −0.18 | −0.80, 0.45 | 0.78 | 0.94 | |
| % NOVA 4 (non-linear) | 1.10 | - | 0.33 | 0.73 | 0.041 |
| Systolic BP | |||||
| % NOVA 1 | 4.7 | −12, 22 | 0.58 | 0.94 | |
| % NOVA 4 | 7.5 | −7.0, 22 | 0.31 | 0.73 | 0.04 |
| Diastolic BP | |||||
| % NOVA 1 | −0.81 | −11, 9.6 | 0.87 | 0.94 | |
| % NOVA 4 | −0.36 | −9.4, 8.7 | 0.94 | 0.99 | 0.052 |
Disclaimer/Publisher’s Note: The statements, opinions and data contained in all publications are solely those of the individual author(s) and contributor(s) and not of MDPI and/or the editor(s). MDPI and/or the editor(s) disclaim responsibility for any injury to people or property resulting from any ideas, methods, instructions or products referred to in the content. |
© 2026 by the authors. Licensee MDPI, Basel, Switzerland. This article is an open access article distributed under the terms and conditions of the Creative Commons Attribution (CC BY) license.
Share and Cite
Koberssy, Z.; Fletcher, A.A.; Daher, J.; Murphy, J.E.; Baissary, J.; Atieh, O.; Ailstock, K.; Cummings, M.; Funderburg, N.T.; McComsey, G.A. Ultra-Processed Food Intake Is Not Associated with Systemic Inflammation in People with HIV. Nutrients 2026, 18, 1211. https://doi.org/10.3390/nu18081211
Koberssy Z, Fletcher AA, Daher J, Murphy JE, Baissary J, Atieh O, Ailstock K, Cummings M, Funderburg NT, McComsey GA. Ultra-Processed Food Intake Is Not Associated with Systemic Inflammation in People with HIV. Nutrients. 2026; 18(8):1211. https://doi.org/10.3390/nu18081211
Chicago/Turabian StyleKoberssy, Ziad, Aaron A. Fletcher, Joviane Daher, Jennifer E. Murphy, Jhony Baissary, Ornina Atieh, Kate Ailstock, Morgan Cummings, Nicholas T. Funderburg, and Grace A. McComsey. 2026. "Ultra-Processed Food Intake Is Not Associated with Systemic Inflammation in People with HIV" Nutrients 18, no. 8: 1211. https://doi.org/10.3390/nu18081211
APA StyleKoberssy, Z., Fletcher, A. A., Daher, J., Murphy, J. E., Baissary, J., Atieh, O., Ailstock, K., Cummings, M., Funderburg, N. T., & McComsey, G. A. (2026). Ultra-Processed Food Intake Is Not Associated with Systemic Inflammation in People with HIV. Nutrients, 18(8), 1211. https://doi.org/10.3390/nu18081211

