Green Ethanolic Repercolation of Larix decidua Needles: Phytochemical Profiling and In Vivo Modulation of the Oxidative–Nitrosative Axis in Acute Sterile Inflammation
Abstract
1. Introduction
2. Materials and Methods
2.1. Plant Material and Extract Preparation
2.2. Phytochemical Analysis
2.2.1. Determination of Total Polyphenol Content (TPC)
2.2.2. Determination of Total Flavonoid Content (TFC)
2.3. HPLC-DAD-ESI+ Analysis of Phenolic Compounds
2.4. In Vitro Antioxidant Activity Analysis
2.4.1. 2,2-Diphenyl-1-picrylhydrazyl (DPPH) Radical Scavenging Capacity
2.4.2. Ferric Reducing Antioxidant Power (FRAP) Assay
2.4.3. Hydrogen Peroxide (H2O2) Scavenging Activity
2.4.4. Nitric Oxide (NO) Radical Scavenging Assay
2.5. In Vivo Experimental Design
2.5.1. Animal Models
2.5.2. Experimental Protocol
2.6. Biochemical and Oxidative Stress Marker Analysis
2.6.1. Total Oxidative Status (TOS)
2.6.2. Total Antioxidant Capacity (TAC)
2.6.3. Oxidative Stress Index (OSI)
2.6.4. 8-Hydroxy-2′-deoxyguanosine (8-OHdG)
2.6.5. Advanced Oxidation Protein Products (AOPP)
2.6.6. Malondialdehyde (MDA)
2.6.7. Nitric Oxide (NO)
2.6.8. Total Thiols (SH)
2.6.9. 3-Nitrotyrosine (3-NT)
2.7. Inflammatory Marker Analysis
2.8. Statistical Analysis
3. Results
3.1. Phytochemical Analysis
3.1.1. Total Flavonoid Content and Total Polyphenol Content
3.1.2. Phytochemical Profiling Through HPLC–ESI-MS
3.2. In Vitro Antioxidant Activity
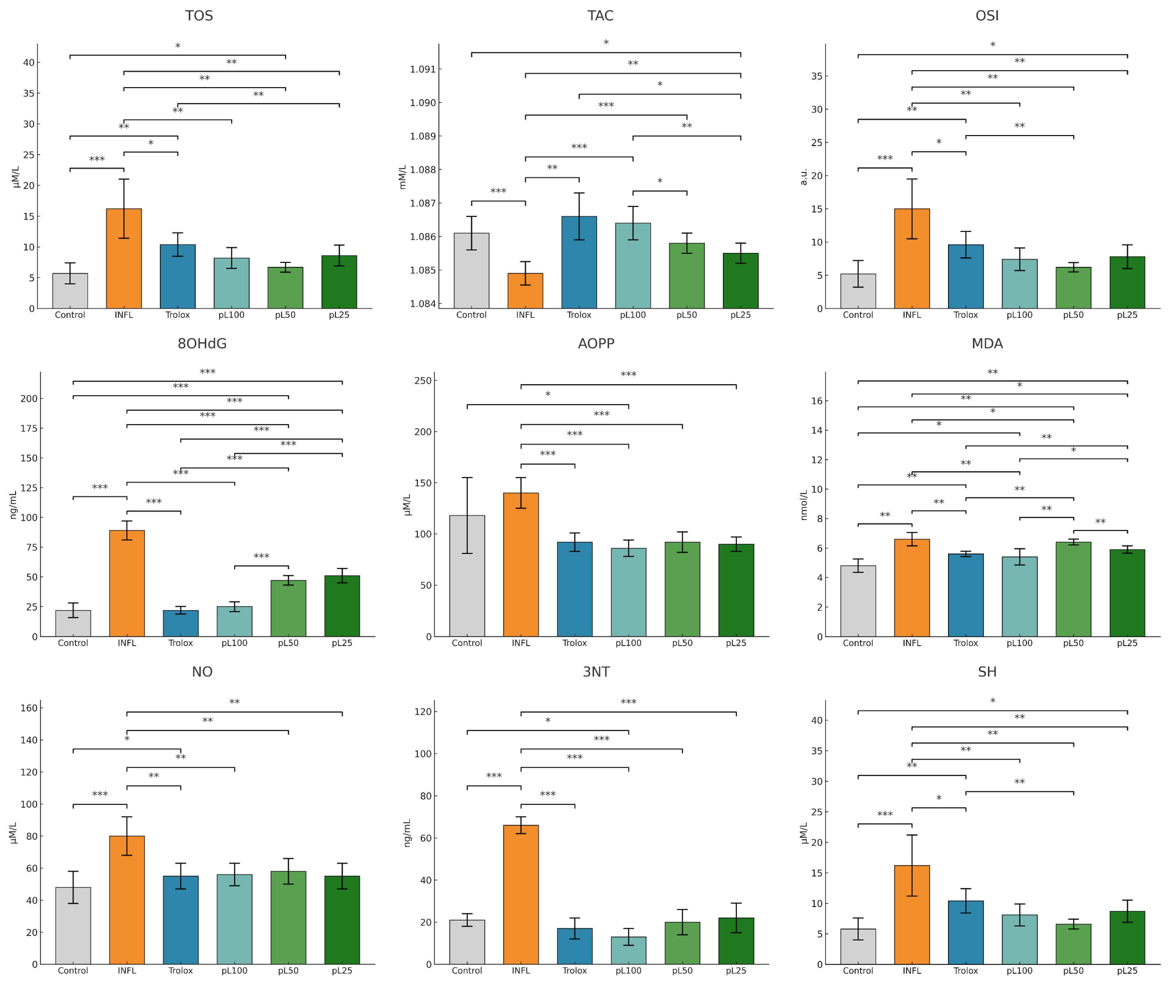
3.3. In Vivo Antioxidant and Anti-Inflammatory Activity
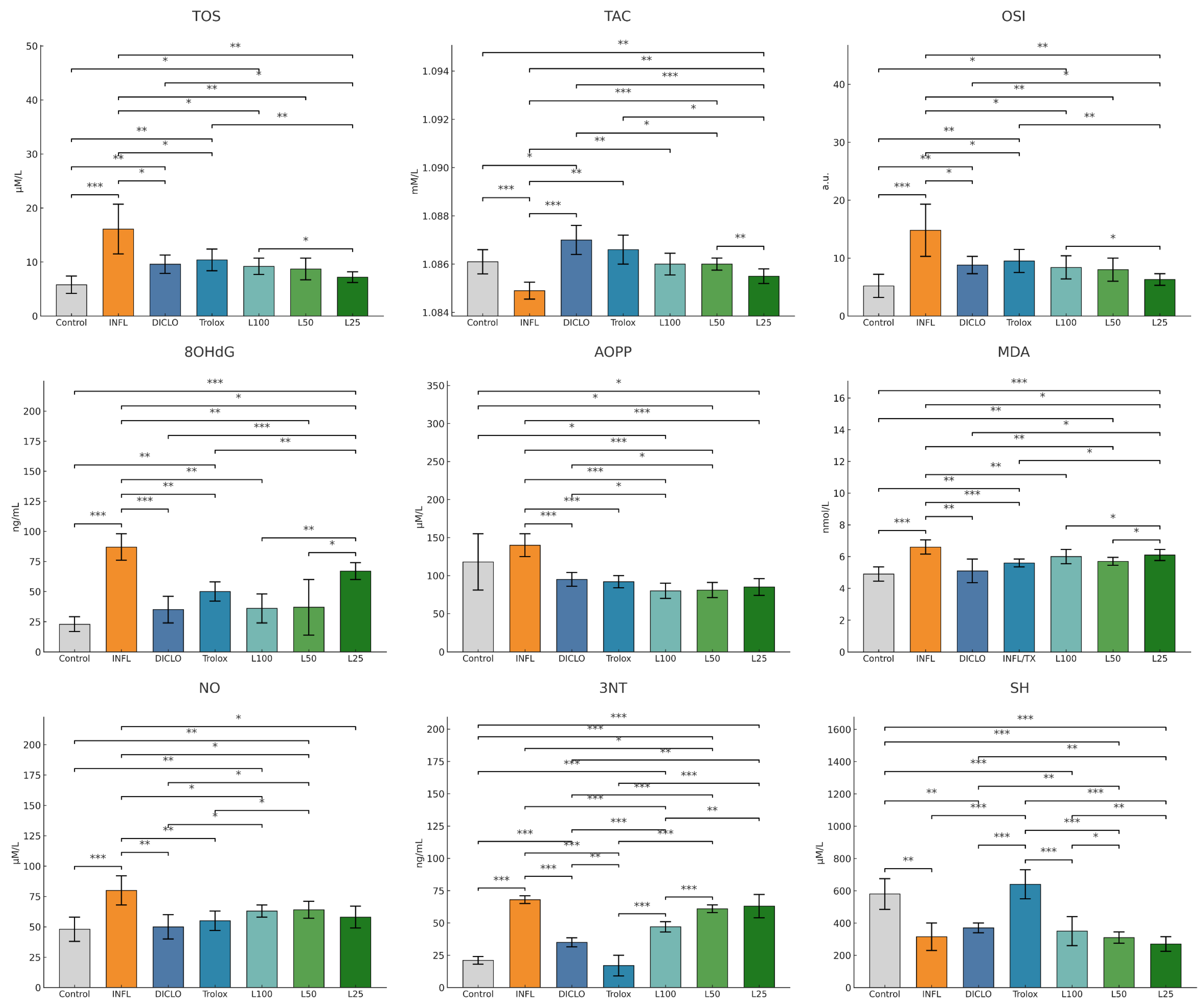
3.4. Prophylactic Protocol
4. Discussion
5. Conclusions
Author Contributions
Funding
Institutional Review Board Statement
Data Availability Statement
Conflicts of Interest
References
- Goels, T.; Eichenauer, E.; Tahir, A.; Prochaska, P.; Hoeller, F.; Heiß, E.H.; Glasl, S. Exudates of Picea abies, Pinus nigra, and Larix decidua: Chromatographic Comparison and Pro-Migratory Effects on Keratinocytes In Vitro. Plants 2022, 11, 599. [Google Scholar] [CrossRef]
- Batista, J.V.C.; Uecker, A.; Holandino, C.; Boylan, F.; Maier, J.; Huwyler, J.; Baumgartner, S. A Scoping Review on the Therapeutic Potential of Resin from the Species Larix decidua Mill. (Pinaceae) to Treat Ulcerating Wounds. Front. Pharmacol. 2022, 13, 895838. [Google Scholar] [CrossRef] [PubMed]
- Mirković, S.; Martinović, M.; Tadić, V.M.; Nešić, I.; Jovanović, A.S.; Žugić, A. Antimicrobial and Antioxidant Activity of Essential Oils from Selected Pinus Species from Bosnia and Herzegovina. Antibiotics 2025, 14, 677. [Google Scholar] [CrossRef] [PubMed]
- Tedesco, D.; Garavaglia, L.; Spagnuolo, M.S.; Pferschy-Wenzig, E.M.; Bauer, R.; Franz, C. In Vivo Assessment of an Industrial Waste Product as a Feed Additive in Dairy Cows: Effects of Larch (Larix decidua L.) Sawdust on Blood Parameters and Milk Composition. Vet. J. 2015, 206, 322–326. [Google Scholar] [CrossRef] [PubMed]
- Dion, C.; Chappuis, E.; Ripoll, C. Does Larch Arabinogalactan Enhance Immune Function? A Review of Mechanistic and Clinical Trials. Nutr. Metab. 2016, 13, 28. [Google Scholar] [CrossRef]
- Lundberg, J.O.; Weitzberg, E. Nitric Oxide Signaling in Health and Disease. Cell 2022, 185, 2853–2878. [Google Scholar] [CrossRef]
- Hussain, T.; Tan, B.; Yin, Y.; Blachier, F.; Tossou, M.C.B.; Rahu, N. Oxidative Stress and Inflammation: What Polyphenols Can Do for Us. Oxid. Med. Cell. Longev. 2016, 2016, 7432797. [Google Scholar] [CrossRef]
- Salzano, S.; Checconi, P.; Hanschmann, E.-M.; Lillig, C.H.; Bowler, L.D.; Chan, P.; Vaudry, D.; Mengozzi, M.; Coppo, L.; Sacre, S.; et al. Linkage of Inflammation and Oxidative Stress via Release of Glutathionylated Peroxiredoxin-2, Which Acts as a Danger Signal. Proc. Natl. Acad. Sci. USA 2014, 111, 12157–12162. [Google Scholar] [CrossRef]
- Romuk, E.; Wojciechowska, C.; Jacheć, W.; Nowak, J.; Niedziela, J.; Malinowska-Borowska, J.; Głogowska-Gruszka, A.; Birkner, E.; Rozentryt, P. Comparison of Oxidative Stress Parameters in Heart Failure Patients Depending on Ischaemic or Nonischaemic Aetiology. Oxid. Med. Cell. Longev. 2019, 2019, 7156038. [Google Scholar] [CrossRef]
- Graille, M.; Wild, P.; Sauvain, J.J.; Hemmendinger, M.; Guseva Canu, I.; Hopf, N.B. Urinary 8-Hydroxy-2′-Deoxyguanosine as a Biomarker for Oxidative Stress: A Systematic Literature Review and Meta-Analysis. Int. J. Mol. Sci. 2020, 21, 3743. [Google Scholar] [CrossRef]
- Ghonimi, N.A.M.; Elsharkawi, K.A.; Khyal, D.S.M.; Abdelghani, A.A. Serum Malondialdehyde as a Lipid Peroxidation Marker in Multiple Sclerosis Patients and Its Relation to Disease Characteristics. Mult. Scler. Relat. Disord. 2021, 51, 102941. [Google Scholar] [CrossRef] [PubMed]
- Ou, H.; Huang, Z.; Mo, Z.; Xiao, J. The Characteristics and Roles of Advanced Oxidation Protein Products in Atherosclerosis. Cardiovasc. Toxicol. 2017, 17, 1–12. [Google Scholar] [CrossRef] [PubMed]
- Murata, M.; Kawanishi, S. Oxidative DNA Damage Induced by Nitrotyrosine, a Biomarker of Inflammation. Biochem. Biophys. Res. Commun. 2004, 316, 123–128. [Google Scholar] [CrossRef] [PubMed]
- Parvu, A.E.; Parvu, M.; Vlase, L.; Miclea, P.; Mot, A.C.; Silaghi-Dumitrescu, R. Anti-Inflammatory Effects of Allium schoenoprasum L. Leaves. J. Physiol. Pharmacol. 2014, 65, 309–315. [Google Scholar]
- Erhan, S.-E.; Pârvu, A.E.; Ciorîță, A.; Putri, A.A.; Molina, A.J.V.; Pârvu, M.; Moț, A.C. Chemical Composition and Anti-Inflammatory Effect of Phellodendron amurense Rupr. Stem Bark Extract. Not. Bot. Horti Agrobot. Cluj-Napoca 2023, 51, 13306. [Google Scholar] [CrossRef]
- Sasidharan, S.; Chen, Y.; Saravanan, D.; Sundram, K.M.; Latha, L.Y. Extraction, Isolation and Characterization of Bioactive Compounds from Plants’ Extracts. Afr. J. Tradit. Complement. Altern. Med. 2011, 8, 1–10. [Google Scholar] [CrossRef]
- Chera, E.I.; Pop, R.M.; Pârvu, M.; Sorițău, O.; Uifălean, A.; Cătoi, F.A.; Cecan, A.; Negoescu, A.G.; Achimaș-Cadariu, P.; Pârvu, A.E. Flaxseed Ethanol Extracts’ Antitumor, Antioxidant, and Anti-Inflammatory Potential. Antioxidants 2022, 11, 892. [Google Scholar] [CrossRef]
- Patel, A.; Patel, A.; Patel, A.; Patel, N. Determination of Polyphenols and Free Radical Scavenging Activity of Tephrosia purpurea Linn Leaves. Pharmacogn. Res. 2010, 2, 152–158. [Google Scholar] [CrossRef]
- Erel, O. A New Automated Colorimetric Method for Measuring Total Oxidant Status. Clin. Biochem. 2005, 38, 1103–1111. [Google Scholar] [CrossRef]
- Witko-Sarsat, V.; Friedlander, M.; Capeillère-Blandin, C.; Nguyen-Khoa, T.; Nguyen, A.T.; Zingraff, J.; Jungers, P.; Descamps-Latscha, B. Advanced Oxidation Protein Products as a Novel Marker of Oxidative Stress in Uremia. Kidney Int. 1996, 49, 1304–1313. [Google Scholar] [CrossRef]
- Tsikas, D. Assessment of Lipid Peroxidation by Measuring Malondialdehyde and Related Compounds in Biological Samples: Analytical and Biological Challenges. Anal. Biochem. 2017, 524, 13–30. [Google Scholar] [CrossRef] [PubMed]
- Miranda, K.M.; Espey, M.G.; Wink, D.A. A Rapid, Simple Spectrophotometric Method for Simultaneous Detection of Nitrate and Nitrite. Nitric Oxide 2001, 5, 62–71. [Google Scholar] [CrossRef] [PubMed]
- Muramatsu, D.; Uchiyama, H.; Kida, H.; Iwai, A. Cell Cytotoxicity and Anti-Glycation Activity of a Taxifolin-Rich Extract from Japanese Larch (Larix kaempferi). Heliyon 2019, 5, e02047. [Google Scholar] [CrossRef] [PubMed]
- Baldan, V.; Sut, S.; Faggian, M.; Gassa, E.D.; Ferrari, S.; De Nadai, G.; Francescato, S.; Baratto, G.; Dall’acqua, S. Larix decidua Bark as a Source of Phytoconstituents: An LC–MS Study. Molecules 2017, 22, 1974. [Google Scholar] [CrossRef]
- EFSA Panel on Dietetic Products, Nutrition and Allergies (NDA). Scientific Opinion on Taxifolin-Rich Extract from Dahurian Larch (Larix gmelinii). EFSA J. 2017, 15, 4682. [Google Scholar]
- Harma, M.; Harma, M.; Erel, O. Increased Oxidative Stress in Patients with Hydatidiform Mole. Swiss Med. Wkly. 2003, 133, 563–566. [Google Scholar] [CrossRef]
- Essel, L.B.; Obiri, D.D.; Osafo, N.; Antwi, A.O.; Duduyemi, B.M. The Ethanolic Stem-Bark Extract of Antrocaryon micraster Inhibits Carrageenan-Induced Pleurisy and Pedal Oedema in Murine Models of Inflammation. Int. Sch. Res. Not. 2017, 2017, 6859230. [Google Scholar]
- Nandakumar, A.; Nataraj, P.; James, A.; Krishnan, R.; Mahesh, K.M. Estimation of Salivary 8-Hydroxy-2′-Deoxyguanosine (8-OHdG) as a Potential Biomarker in Assessing Progression toward Malignancy: A Case–Control Study. Asian Pac. J. Cancer Prev. 2020, 21, 2325–2329. [Google Scholar] [CrossRef]
- Popescu, D.I.; Frum, A.; Dobrea, C.M.; Cristea, R.; Gligor, F.G.; Vicas, L.G.; Ionete, R.E.; Sutan, N.A.; Georgescu, C. Comparative Antioxidant and Antimicrobial Activities of Several Conifer Needles and Bark Extracts. Pharmaceutics 2023, 16, 52. [Google Scholar] [CrossRef]
- He, J.; Xu, L.; Yang, L.; Wang, X. Epigallocatechin Gallate Is the Most Effective Catechin against Antioxidant Stress via Hydrogen Peroxide and Radical Scavenging Activity. Med. Sci. Monit. 2018, 24, 8198–8206. [Google Scholar] [CrossRef]
- Zheng, L.; Chen, L.; Li, J.; Liang, L.; Fan, Y.; Qiu, L.; Deng, Z. Two Kaempferol Glycosides Separated from Camellia oleifera Meal by High-Speed Counter-Current Chromatography and Their Possible Application for Antioxidation. J. Food Sci. 2019, 84, 2805–2811. [Google Scholar] [CrossRef] [PubMed]
- Zhang, X.; Lian, X.; Li, H.; Zhao, W.; Li, X.; Zhou, F.; Zhou, Y.; Cui, T.; Wang, Y.; Liu, C. Taxifolin Attenuates Inflammation via Suppressing the MAPK Signaling Pathway: In Vitro and In Silico Analysis. Chin. Herb. Med. 2022, 14, 554–562. [Google Scholar] [CrossRef] [PubMed]
- Taylor, E.L.; Armstrong, K.R.; Perrett, D.; Hattersley, A.T.; Winyard, P.G. Optimisation of an Advanced Oxidation Protein Products Assay and Its Application to Studies of Oxidative Stress in Diabetes Mellitus. Oxid. Med. Cell. Longev. 2015, 2015, 496271. [Google Scholar] [CrossRef] [PubMed]
- Zhao, Y.; Zhang, L.; Ouyang, X.; Jiang, Z.; Xie, Z.; Fan, L.; Zhu, D.; Li, L. Advanced Oxidation Protein Products Play Critical Roles in Liver Diseases. Eur. J. Clin. Investig. 2019, 49, e13098. [Google Scholar] [CrossRef]
- Ho, E.; Karimi Galougahi, K.; Liu, C.-C.; Bhindi, R.; Figtree, G.A. Biological Markers of Oxidative Stress: Applications to Cardiovascular Research and Practice. Redox Biol. 2013, 1, 483–491. [Google Scholar] [CrossRef]
- Liao, J.-C.; Deng, J.-S.; Lin, Y.-C.; Lee, C.-Y.; Lee, M.-M.; Hou, W.-C.; Huang, S.-S.; Huang, G.-J. Antioxidant, Antinociceptive, and Anti-Inflammatory Activities from Actinidia callosa var. callosa In Vitro and In Vivo. Evid.-Based Complement. Altern. Med. 2012, 2012, 129152. [Google Scholar]
- Babotă, M.; Mocan, A.; Vlase, L.; Crișan, O.; Ielciu, I.; Gheldiu, A.-M.; Vodnar, D.C.; Crișan, G.; Păltinean, R. Phytochemical Analysis, Antioxidant, and Antimicrobial Activities of Helichrysum arenarium (L.) Moench and Antennaria dioica (L.) Gaertn. Flowers. Molecules 2018, 23, 409. [Google Scholar] [CrossRef]
- Mitrea, D.R.; Malkey, R.; Florian, T.L.; Filip, A.; Clichici, S.; Bidian, C.; Moldovan, R.; Hoteiuc, O.A.; Toader, A.M.; Baldea, I. Daily Oral Administration of Chlorogenic Acid Prevents Experimental Carrageenan-Induced Oxidative Stress. J. Physiol. Pharmacol. 2020, 71, 55–65. [Google Scholar]
- Khalil, H.E.; Abdelwahab, M.F.; Emeka, P.M.; Badger-Emeka, L.I.; Ahmed, A.-S.F.; Anter, A.F.; Abdel Hafez, S.M.N.; AlYahya, K.A.; Ibrahim, H.-I.M.; Thirugnanasambantham, K.; et al. Brassica oleracea L. var. botrytis Leaf Extract Alleviates Gentamicin-Induced Hepatorenal Injury in Rats via Modulation of IL-1β and NF-κB Activity. Life 2022, 12, 1370. [Google Scholar] [CrossRef]
- Pferschy-Wenzig, E.M.; Kunert, O.; Presser, A.; Bauer, R. In Vitro Anti-Inflammatory Activity of Larch (Larix decidua L.) Sawdust. J. Agric. Food Chem. 2008, 56, 11688–11693. [Google Scholar] [CrossRef]
- Faggian, M.; Bernabè, G.; Ferrari, S.; Francescato, S.; Baratto, G.; Castagliuolo, I.; Dall’Acqua, S.; Peron, G. Polyphenol-Rich Larix decidua Bark Extract with Antimicrobial Activity against Respiratory Tract Pathogens. Antibiotics 2021, 10, 789. [Google Scholar] [CrossRef] [PubMed]
- Farinacci, M.; Colitti, M.; Sgorlon, S.; Stefanon, B. Immunomodulatory Activity of Plant Residues on Ovine Neutrophils. Vet. Immunol. Immunopathol. 2008, 126, 54–63. [Google Scholar] [CrossRef] [PubMed]
- Liu, T.; Zhang, L.; Joo, D.; Sun, S.-C. NF-κB Signaling in Inflammation. Signal Transduct. Target. Ther. 2017, 2, 17023. [Google Scholar] [CrossRef] [PubMed]
- Harijith, A.; Ebenezer, D.L.; Natarajan, V. Reactive Oxygen Species at the Crossroads of Inflammasome and Inflammation. Front. Physiol. 2014, 5, 352. [Google Scholar] [CrossRef]
- Cai, C.; Liu, C.; Zhao, L.; Liu, H.; Li, W.; Guan, H.; Zhao, L.; Xiao, J. Effects of Taxifolin on Osteoclastogenesis In Vitro and In Vivo. Front. Pharmacol. 2018, 9, 1286. [Google Scholar] [CrossRef]
- Surendran, S.; Qassadi, F.; Surendran, G.; Lilley, D.; Heinrich, M. Myrcene—Potential Health Benefits of This Flavouring and Aroma Agent. Front. Nutr. 2021, 8, 699666. [Google Scholar] [CrossRef]
- Zahid, A.; Li, B.; Kombe, A.J.K.; Jin, T.; Tao, J. Pharmacological Inhibitors of the NLRP3 Inflammasome. Front. Immunol. 2019, 10, 2538. [Google Scholar] [CrossRef]
- Biswas, S.K. Does the Interdependence between Oxidative Stress and Inflammation Explain the Antioxidant Paradox? Oxid. Med. Cell. Longev. 2016, 2016, 5698931. [Google Scholar] [CrossRef]
- Malenica, M.; Klisić, A.; Meseldžić, N.; Dujić, T.; Bego, T.; Kotur-Stevuljević, J. Principal Component Analysis of Oxidative Stress, Inflammation, and Dyslipidemia in Patients with Different Levels of Glucoregulation. J. Med. Biochem. 2023, 42, 427–436. [Google Scholar] [CrossRef]
- Joo, S.-Y.; Song, Y.-A.; Park, Y.-L.; Myung, E.; Chung, C.-Y.; Park, K.-J.; Cho, S.-B.; Lee, W.-S.; Kim, H.-S.; Rew, J.-S.; et al. Epigallocatechin-3-Gallate Inhibits LPS-Induced NF-κB and MAPK Signaling Pathways in Bone Marrow-Derived Macrophages. Gut Liver 2012, 6, 188–196. [Google Scholar] [CrossRef]
- Rashid, S. Impact of Thymoquinone on the Nrf2/HO-1 and MAPK/NF-κB Axis in Mitigating 5-Fluorouracil-Induced Acute Kidney Injury In Vivo. Front. Oncol. 2025, 15, 1572095. [Google Scholar] [CrossRef]
- Habtemariam, S. Anti-Inflammatory Therapeutic Mechanisms of Natural Products: Insight from Rosemary Diterpenes, Carnosic Acid and Carnosol. Biomedicines 2023, 11, 545. [Google Scholar] [CrossRef]
- Ahsan, H. 3-Nitrotyrosine: A Biomarker of Nitrogen Free Radical Species–Modified Proteins in Systemic Autoimmunogenic Conditions. Hum. Immunol. 2013, 74, 1392–1399. [Google Scholar] [CrossRef]







| Conifer Extract | TFC (mg QE/g) | TPC (mg GAE/g) |
|---|---|---|
| L. decidua | 2.07 ± 0.22 | 3.442 ± 0.22 |
| Peak | Rt (min) | UV λmax (nm) | [M + H]+ (m/z) | Compound | Subclass | Content (µg/mL) |
|---|---|---|---|---|---|---|
| 1 | 3.12 | 275 | 155 | 2,3-Dihydroxybenzoic acid | Hydroxybenzoic acid | 60.40 ± 2.84 |
| 2 | 9.55 | 280 | 307 | Gallocatechin | Flavanol | 52.30 ± 5.57 |
| 3 | 10.48 | 275 | 155 | 2,4-Dihydroxybenzoic acid | Hydroxybenzoic acid | 16.89 ± 2.67 |
| 4 | 11.38 | 280 | 579 | Procyanidin dimer B3 | Flavanol | 51.02 ± 2.18 |
| 5 | 11.94 | 280 | 579 | Procyanidin dimer B1 | Flavanol | 47.47 ± 0.33 |
| 6 | 12.25 | 280 | 291 | Catechin | Flavanol | 140.62 ± 5.53 |
| 7 | 12.83 | 280 | 579 | Procyanidin dimer B2 | Flavanol | 73.75 ± 2.55 |
| 8 | 13.51 | 280 | 291 | Epicatechin | Flavanol | 36.73 ± 2.23 |
| 9 | 14.58 | 358,255 | 521,317 | Isorhamnetin-acetyl-glucoside | Flavonol | 91.84 ± 2.31 |
| 10 | 14.96 | 350,260 | 579,287 | Kaempferol-rhamnosyl-rhamnoside | Flavonol | 803.87 ± 7.53 |
| 11 | 15.4 | 350,260 | 433,287 | Kaempferol-rhamnoside | Flavonol | 81.54 ± 1.18 |
| 12 | 15.61 | 350,250 | 465,319 | Myricetin-rhamnoside | Flavonol | 86.74 ± 4.12 |
| 13 | 15.86 | 360,255 | 465,303 | Quercetin-glucoside | Flavonol | 162.75 ± 2.63 |
| 14 | 16.09 | 358,255 | 493,317 | Isorhamnetin-glucuronide | Flavonol | 69.47 ± 1.97 |
| 15 | 16.6 | 358,255 | 595,317 | Isorhamnetin-arabinosyl-rhamnoside | Flavonol | 102.68 ± 0.31 |
| 16 | 16.97 | 350,260 | 449,287 | Kaempferol-glucoside | Flavonol | 111.97 ± 1.89 |
| 17 | 17.12 | 360,255 | 449,303 | Quercetin-rhamnoside | Flavonol | 154.38 ± 9.00 |
| 18 | 17.31 | 358,255 | 479,317 | Isorhamnetin-glucoside | Flavonol | 95.07 ± 3.78 |
| 19 | 18.19 | 350,260 | 419,287 | Kaempferol-arabinoside | Flavonol | 62.07 ± 0.95 |
| 20 | 18.79 | 350,260 | 491,287 | Kaempferol-acetyl-glucoside | Flavonol | 66.21 ± 0.60 |
| 21 | 20.64 | 358,255 | 625,317 | Isorhamnetin-neohesperidoside | Flavonol | 50.86 ± 1.16 |
| 22 | 23.09 | 350,260 | 287 | Kaempferol | Flavonol | 105.71 ± 0.71 |
| 23 | 23.44 | 360,270 | 305 | Taxifolin | Flavonol | 76.44 ± 0.79 |
| Sample/Standard | DPPH (µg TE/mL) | H2O2 (µg TE/mL) | FRAP (µg TE/mL) | NO (µg QE/mL) |
|---|---|---|---|---|
| L. decidua | 10.01 ± 0.25 | 74.90 ± 0.84 | 126.69 ± 0.65 | 119.01 ± 0.37 |
| Trolox | 11.20 ± 0.45 | 24.23 ± 1.53 | 19.97 ± 1.10 | - |
| Quercetin | - | - | - | 20.58 ± 2.68 |
Disclaimer/Publisher’s Note: The statements, opinions and data contained in all publications are solely those of the individual author(s) and contributor(s) and not of MDPI and/or the editor(s). MDPI and/or the editor(s) disclaim responsibility for any injury to people or property resulting from any ideas, methods, instructions or products referred to in the content. |
© 2026 by the authors. Licensee MDPI, Basel, Switzerland. This article is an open access article distributed under the terms and conditions of the Creative Commons Attribution (CC BY) license.
Share and Cite
Bolunduț, D.; Pârvu, A.E.; Moldovan, C.; Ranga, F.; Pârvu, M.; Dalai, C.O.; Țicolea, M.; Cecan, A.D.; Pop, R.M. Green Ethanolic Repercolation of Larix decidua Needles: Phytochemical Profiling and In Vivo Modulation of the Oxidative–Nitrosative Axis in Acute Sterile Inflammation. Nutrients 2026, 18, 538. https://doi.org/10.3390/nu18030538
Bolunduț D, Pârvu AE, Moldovan C, Ranga F, Pârvu M, Dalai CO, Țicolea M, Cecan AD, Pop RM. Green Ethanolic Repercolation of Larix decidua Needles: Phytochemical Profiling and In Vivo Modulation of the Oxidative–Nitrosative Axis in Acute Sterile Inflammation. Nutrients. 2026; 18(3):538. https://doi.org/10.3390/nu18030538
Chicago/Turabian StyleBolunduț, Dinu, Alina Elena Pârvu, Cristina Moldovan, Florica Ranga, Marcel Pârvu, Ciprian Ovidiu Dalai, Mădălina Țicolea, Andra Diana Cecan, and Raluca Maria Pop. 2026. "Green Ethanolic Repercolation of Larix decidua Needles: Phytochemical Profiling and In Vivo Modulation of the Oxidative–Nitrosative Axis in Acute Sterile Inflammation" Nutrients 18, no. 3: 538. https://doi.org/10.3390/nu18030538
APA StyleBolunduț, D., Pârvu, A. E., Moldovan, C., Ranga, F., Pârvu, M., Dalai, C. O., Țicolea, M., Cecan, A. D., & Pop, R. M. (2026). Green Ethanolic Repercolation of Larix decidua Needles: Phytochemical Profiling and In Vivo Modulation of the Oxidative–Nitrosative Axis in Acute Sterile Inflammation. Nutrients, 18(3), 538. https://doi.org/10.3390/nu18030538

