A Multi-Component Nutraceutical Formulation for the Management of Vascular and Inflammatory Alterations Characteristic of the Oedema Disorders
Abstract
1. Introduction
2. Materials and Methods
2.1. Reagents
2.2. Antioxidant Activity
2.2.1. DPPH Assay
2.2.2. ABTS Assay
2.3. Anti-Inflammatory Activity
2.3.1. Lipoxygenase Inhibitory Activity Assay
2.3.2. Cyclooxygenase 1 (COX-1) and Cyclooxygenase 2 (COX-2) Inhibitory Activity Assay
2.4. Cell Culture and M1 Polarisation
2.4.1. M1 Macrophage Detection by Flow Cytometry
2.4.2. Cell Treatments and Quantitative Real-Time PCR (RT-qPCR)
- IL-6: 5′-CGGAGAGGAGACTTCACAGAG-3′; 5′-ATTTCCACGATTTCCCAGAG-3′
- IL-1β: 5′-TACCAGTTGGGGAACTCTGC-3′; 5′ -GGGCCTCAAAGGAAAGAATC-3′
- TNF-α: 5′-CAGTAGACAGAAGAGCGTGGT-3′; 5′ -AGGCACTCCCCCAAAAGA-3′
- Arg-1: 5′-CTGGTTGTCAGGGGAGTGTT-3′; 5′- GTGAAGAACCCACGGTCTGT-3′
- IL-10: 5′-CGGAAACAACTCCTTGGAAA-3′; 5′-AAGTGTGGCCAGCCTTAGAA-3′
- Cd206: 5′-AGGACATGCCAGGGTCACCTTT-3′;5′-GTTCACCTGGAATGGTTCTC-3′
2.5. Animal Study
2.5.1. Carrageenan-Induced Paw Oedema Model
2.5.2. Assessment of Anti-Inflammatory Activity in an Acetic Acid-Induced Inflammation Model
2.6. Statistical Analysis
3. Results
3.1. Antioxidant and Anti-Inflammatory Activity of NF
3.2. Inhibitory Effects of NF on the Macrophage M1 Polarisation
3.3. Effect of NF on Plasmatic LTB4 and Protein Levels in Acetic Acid-Induced Inflammation
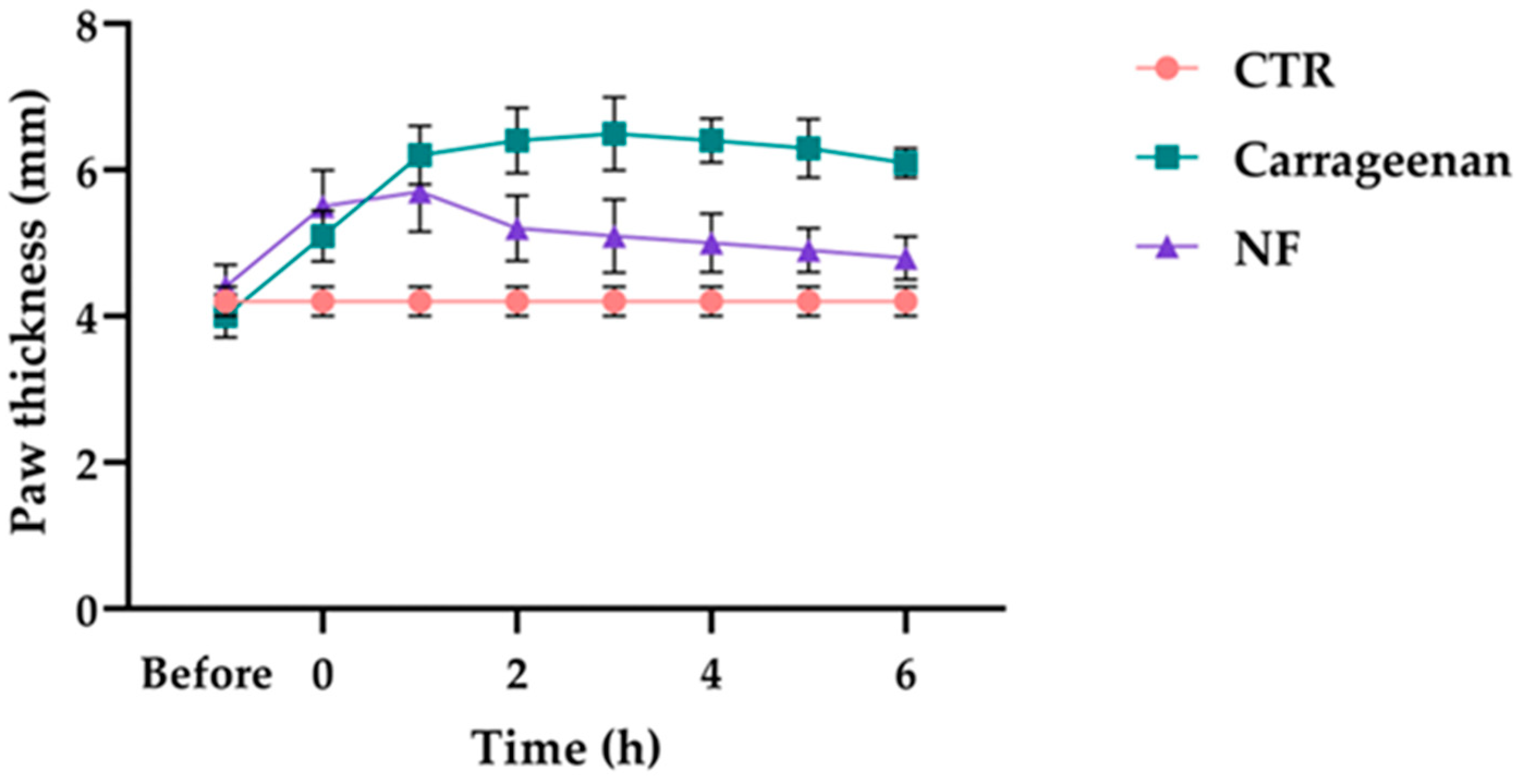
3.4. NF Reduces Paw Oedema in a Carrageenan-Induced Rat Model
4. Discussion
5. Conclusions
Author Contributions
Funding
Institutional Review Board Statement
Informed Consent Statement
Data Availability Statement
Acknowledgments
Conflicts of Interest
References
- Lent-Schochet, D.; Jialal, I. Physiology, Edema; StatPearls Publishing: Treasure Island, FL, USA, 2023. [Google Scholar]
- Woodcock, T.E.; Woodcock, T.M. Revised Starling Equation and the Glycocalyx Model of Transvascular Fluid Exchange: An Improved Paradigm for Prescribing Intravenous Fluid Therapy. Br. J. Anaesth. 2012, 108, 384–394. [Google Scholar] [CrossRef]
- Trayes, K.P.; Studdiford, J.S.; Pickle, S.; Tully, A.S. Edema: Diagnosis and Management. Am. Fam. Physician 2013, 88, 102–110. [Google Scholar]
- Schwager, S.; Detmar, M. Inflammation and Lymphatic Function. Front. Immunol. 2019, 10, 308. [Google Scholar] [CrossRef]
- Curry, F.E.; Adamson, R.H. Endothelial Glycocalyx: Permeability Barrier and Mechanosensor. Ann. Biomed. Eng. 2012, 40, 828–839. [Google Scholar] [CrossRef]
- Goyal, A.; Singh, B.; Afzal, M. Peripheral Edema; StatPearls Publishing: Treasure Island, FL, USA, 2025. [Google Scholar]
- Aghajanian, A.; Wittchen, E.S.; Allingham, M.J.; Garrett, T.A.; Burridge, K. Endothelial Cell Junctions and the Regulation of Vascular Permeability and Leukocyte Transmigration. J. Thromb. Haemost. 2008, 6, 1453–1460. [Google Scholar] [CrossRef]
- Sukriti, S.; Tauseef, M.; Yazbeck, P.; Mehta, D. Mechanisms Regulating Endothelial Permeability. Pulm. Circ. 2014, 4, 535–551. [Google Scholar] [CrossRef] [PubMed]
- Dayan, J.H.; Ly, C.L.; Kataru, R.P.; Mehrara, B.J. Lymphedema: Pathogenesis and Novel Therapies. Annu. Rev. Med. 2018, 69, 263–276. [Google Scholar] [CrossRef]
- Gounden, V.; Vashisht, R.; Jialal, I. Hypoalbuminemia; StatPearls Publishing: Treasure Island, FL, USA, 2025. [Google Scholar]
- Claesson-Welsh, L.; Dejana, E.; McDonald, D.M. Permeability of the Endothelial Barrier: Identifying and Reconciling Controversies. Trends Mol. Med. 2021, 27, 314–331. [Google Scholar] [CrossRef] [PubMed]
- Patel, H.; Skok, C.; DeMarco, A. Peripheral Edema: Evaluation and Management in Primary Care. Am. Fam. Physician 2022, 106, 557–564. [Google Scholar] [PubMed]
- Senger, J.-L.B.; Kadle, R.L.; Skoracki, R.J. Current Concepts in the Management of Primary Lymphedema. Medicina 2023, 59, 894. [Google Scholar] [CrossRef]
- Maisto, M.; Schiano, E.; Novellino, E.; Piccolo, V.; Iannuzzo, F.; Salviati, E.; Summa, V.; Annunziata, G.; Tenore, G.C. Application of a Rapid and Simple Technological Process to Increase Levels and Bioccessibility of Free Phenolic Compounds in Annurca Apple Nutraceutical Product. Foods 2022, 11, 1453. [Google Scholar] [CrossRef]
- Di Lorenzo, R.; Grumetto, L.; Sacchi, A.; Laneri, S.; Dini, I. Dermocosmetic Evaluation of a Nutricosmetic Formulation Based on Curcuma. Phytother. Res. 2023, 37, 1900–1910. [Google Scholar] [CrossRef] [PubMed]
- Laneri, S.; Di Lorenzo, R.; Sacchi, A.; Dini, I. Dosage of Bioactive Molecules in the Nutricosmeceutical Helix aspersa Muller Mucus and Formulation of New Cosmetic Cream with Moisturizing Effect. Nat. Prod. Commun. 2019, 14, 1934578X19868606. [Google Scholar] [CrossRef]
- Sommonte, F.; Arduino, I.; Iacobazzi, R.M.; Laera, L.; Silvestri, T.; Lopedota, A.A.; Castegna, A.; Denora, N. Microfluidic Development of Brain-Derived Neurotrophic Factor Loaded Solid Lipid Nanoparticles: An in Vitro Evaluation in the Post-Traumatic Brain Injury Neuroinflammation Model. J. Drug Deliv. Sci. Technol. 2024, 96, 105699. [Google Scholar] [CrossRef]
- Silvestri, T.; Grumetto, L.; Neri, I.; De Falco, M.; Graziano, S.F.; Damiano, S.; Giaquinto, D.; Maruccio, L.; de Girolamo, P.; Villapiano, F.; et al. Investigating the Effect of Surface Hydrophilicity on the Destiny of PLGA-Poloxamer Nanoparticles in an In Vivo Animal Model. Int. J. Mol. Sci. 2023, 24, 14523. [Google Scholar] [CrossRef]
- Schiano, E.; Piccolo, V.; Novellino, E.; Maisto, M.; Iannuzzo, F.; Summa, V.; Tenore, G.C. Thinned Nectarines, an Agro-Food Waste with Antidiabetic Potential: HPLC-HESI-MS/MS Phenolic Characterization and In Vitro Evaluation of Their Beneficial Activities. Foods 2022, 11, 1010. [Google Scholar] [CrossRef]
- Maisto, M.; Piccolo, V.; Novellino, E.; Schiano, E.; Iannuzzo, F.; Ciampaglia, R.; Summa, V.; Tenore, G.C. Optimization of Ursolic Acid Extraction in Oil from Annurca Apple to Obtain Oleolytes with Potential Cosmeceutical Application. Antioxidants 2023, 12, 224. [Google Scholar] [CrossRef]
- Saleem, M.; Asif, M.; Parveen, A.; Yaseen, H.S.; Saadullah, M.; Bashir, A.; Asif, J.; Arif, M.; Khan, I.U.; Khan, R.U. Investigation of in Vivo Anti-Inflammatory and Anti-Angiogenic Attributes of Coumarin-Rich Ethanolic Extract of Melilotus Indicus. Inflammopharmacology 2021, 29, 281–293. [Google Scholar] [CrossRef] [PubMed]
- Michelini, S.; Fiorentino, A.; Cardone, M. Melilotus, Rutin and Bromelain in Primary and Secondary Lymphedema. Lymphology 2019, 52, 177–186. [Google Scholar] [CrossRef]
- Campana, F.; Urso, S.U.; Paccasassi, S.; Dimitrova, G.; Colucci, R.; Cavezzi, A. Preliminary Experience with a Multicomponent Nutraceutical (Melilotus, Rutin and Bromelain) on Phlebolymphedema of the Lower Limbs. Acta Phlebol. 2017, 18, 29–35. [Google Scholar] [CrossRef]
- Belcaro, G.; Dugall, M.; Hu, S.; Ledda, A.; Ippolito, E. French Oak Wood (Quercus robur) Extract (Robuvit) in Primary Lymphedema: A Supplement, Pilot, Registry Evaluation. Int. J. Angiol. 2014, 24, 47–54. [Google Scholar] [CrossRef]
- Kongpuckdee, S.; Phadoongsombut, N.; Ardhanwanich, S.; Mahattanadul, S. Role of Scopoletin Containing in an Aqueous Morinda Citrifolia Fruit Extract on the Gastric Mucosal Integrity and Gastric Ulcer Healing Process. Lett. Appl. NanoBioSci. 2024, 13, 160. [Google Scholar] [CrossRef]
- Pavan, R.; Jain, S.; Shraddha; Kumar, A. Properties and Therapeutic Application of Bromelain: A Review. Biotechnol. Res. Int. 2012, 2012, 976203. [Google Scholar] [CrossRef]
- Varilla, C.; Marcone, M.; Paiva, L.; Baptista, J. Bromelain, a Group of Pineapple Proteolytic Complex Enzymes (Ananas comosus) and Their Possible Therapeutic and Clinical Effects. A Summary. Foods 2021, 10, 2249. [Google Scholar] [CrossRef]
- Iannuzzo, F.; Piccolo, V.; Novellino, E.; Schiano, E.; Salviati, E.; Summa, V.; Campiglia, P.; Tenore, G.C.; Maisto, M. A Food-Grade Method for Enhancing the Levels of Low Molecular Weight Proanthocyanidins with Potentially High Intestinal Bioavailability. Int. J. Mol. Sci. 2022, 23, 13557. [Google Scholar] [CrossRef] [PubMed]
- Liu, S.; Lu, Z.; Liu, C.; Chang, X.; Apudureheman, B.; Chen, S.; Ye, X. Castanea Mollissima Shell Polyphenols Regulate JAK2 and PPARγ Expression to Suppress Inflammation and Lipid Accumulation by Inhibiting M1 Macrophages Polarization. J. Funct. Foods 2022, 92, 105046. [Google Scholar] [CrossRef]
- De Cicco, P.; Maisto, M.; Tenore, G.C.; Ianaro, A. Olive Leaf Extract, from Olea europaea L., Reduces Palmitate-Induced Inflammation via Regulation of Murine Macrophages Polarization. Nutrients 2020, 12, 3663. [Google Scholar] [CrossRef] [PubMed]
- Archer, A.C.; Muthukumar, S.P.; Halami, P.M. Anti-Inflammatory Potential of Probiotic Lactobacillus Spp. on Carrageenan Induced Paw Edema in Wistar Rats. Int. J. Biol. Macromol. 2015, 81, 530–537. [Google Scholar] [CrossRef]
- Liu, Z.; Li, J.; Bian, Y.; Zhang, X.; Cai, X.; Zheng, Y. Low-Intensity Pulsed Ultrasound Reduces Lymphedema by Regulating Macrophage Polarization and Enhancing Microcirculation. Front. Bioeng. Biotechnol. 2023, 11, 1173169. [Google Scholar] [CrossRef]
- Moffatt, C.; Keeley, V.; Quéré, I. The Concept of Chronic Edema—A Neglected Public Health Issue and an International Response: The LIMPRINT Study. Lymphat. Res. Biol. 2019, 17, 121–126. [Google Scholar] [CrossRef]
- Mercier, G.; Pastor, J.; Moffatt, C.; Franks, P.; Quéré, I. LIMPRINT: Health-Related Quality of Life in Adult Patients with Chronic Edema. Lymphat. Res. Biol. 2019, 17, 163–167. [Google Scholar] [CrossRef] [PubMed]
- Reed, R.K.; Rubin, K. Transcapillary Exchange: Role and Importance of the Interstitial Fluid Pressure and the Extracellular Matrix. Cardiovasc. Res. 2010, 87, 211–217. [Google Scholar] [CrossRef]
- Wynn, T.A.; Vannella, K.M. Macrophages in Tissue Repair, Regeneration, and Fibrosis. Immunity 2016, 44, 450–462. [Google Scholar] [CrossRef]
- Azhar, S.H.; Lim, H.Y.; Tan, B.-K.; Angeli, V. The Unresolved Pathophysiology of Lymphedema. Front. Physiol. 2020, 11, 137. [Google Scholar] [CrossRef]
- Grada, A.A.; Phillips, T.J. Lymphedema. J. Am. Acad. Dermatol. 2017, 77, 1009–1020. [Google Scholar] [CrossRef] [PubMed]
- Mittal, M.; Siddiqui, M.R.; Tran, K.; Reddy, S.P.; Malik, A.B. Reactive Oxygen Species in Inflammation and Tissue Injury. Antioxid. Redox Signal. 2014, 20, 1126–1167. [Google Scholar] [CrossRef]
- Abdulkhaleq, L.A.; Assi, M.A.; Abdullah, R.; Zamri-Saad, M.; Taufiq-Yap, Y.H.; Hezmee, M.N.M. The Crucial Roles of Inflammatory Mediators in Inflammation: A Review. Vet. World 2018, 11, 627–635. [Google Scholar] [CrossRef]
- Vijakumaran, U.; Shanmugam, J.; Heng, J.W.; Azman, S.S.; Yazid, M.D.; Haizum Abdullah, N.A.; Sulaiman, N. Effects of Hydroxytyrosol in Endothelial Functioning: A Comprehensive Review. Molecules 2023, 28, 1861. [Google Scholar] [CrossRef]
- Nobre, T.A.; de Sousa, A.A.; Pereira, I.C.; Pedrosa-Santos, Á.M.C.; Lopes, L.d.O.; Debia, N.; El-Nashar, H.A.S.; El-Shazly, M.; Islam, M.T.; Sousa, J.M.d.C.e.; et al. Bromelain as a Natural Anti-Inflammatory Drug: A Systematic Review. Nat. Prod. Res. 2025, 39, 1258–1271. [Google Scholar] [CrossRef]
- Trus, E.; Basta, S.; Gee, K. Who’s in Charge Here? Macrophage Colony Stimulating Factor and Granulocyte Macrophage Colony Stimulating Factor: Competing Factors in Macrophage Polarization. Cytokine 2020, 127, 154939. [Google Scholar] [CrossRef] [PubMed]
- Viola, A.; Munari, F.; Sánchez-Rodríguez, R.; Scolaro, T.; Castegna, A. The Metabolic Signature of Macrophage Responses. Front. Immunol. 2019, 10, 1462. [Google Scholar] [CrossRef]
- Yunna, C.; Mengru, H.; Lei, W.; Weidong, C. Macrophage M1/M2 Polarization. Eur. J. Pharmacol. 2020, 877, 173090. [Google Scholar] [CrossRef]
- de Carvalho, J.T.G.; Agudelo, J.S.H.; Baldivia, D.D.S.; Carollo, C.A.; Silva, D.B.; de Picoli Souza, K.; Câmara, N.O.S.; dos Santos, E.L. Hydroethanolic Stem Bark Extracts of Stryphnodendron Adstringens Impair M1 Macrophages and Promote M2 Polarization. J. Ethnopharmacol. 2020, 254, 112684. [Google Scholar] [CrossRef]
- Watroly, M.N.; Sekar, M.; Fuloria, S.; Gan, S.H.; Jeyabalan, S.; Wu, Y.S.; Subramaniyan, V.; Sathasivam, K.V.; Ravi, S.; Rani, N.N.I.M.; et al. Chemistry, Biosynthesis, Physicochemical and Biological Properties of Rubiadin: A Promising Natural Anthraquinone for New Drug Discovery and Development. Drug Des. Dev. Ther. 2021, 15, 4527–4549. [Google Scholar] [CrossRef]
- Miao, F.; Geng, S.; Ning, D. Hydroxytyrosol Ameliorates LPS-Induced Acute Liver Injury (ALI) in Mice by Modulating the Balance between M1/M2 Phenotype Macrophage and Inhibiting TLR4/NF-ΚB Activation. J. Funct. Foods 2023, 102, 105455. [Google Scholar] [CrossRef]
- Di Gennaro, A.; Kenne, E.; Wan, M.; Soehnlein, O.; Lindbom, L.; Haeggström, J.Z. Leukotriene B4—Induced Changes in Vascular Permeability Are Mediated by Neutrophil Release of Heparin-binding Protein (HBP/CAP37/Azurocidin). FASEB J. 2009, 23, 1750–1757. [Google Scholar] [CrossRef]
- Björk, J.; Hedqvist, P.; Arfors, K.-E. Increase in Vascular Permeability Induced by Leukotriene B4 and the Role of Polymorphonuclear Leukocytes. Inflammation 1982, 6, 189–200. [Google Scholar] [CrossRef] [PubMed]
- Bertelli, M.; Kiani, A.K.; Paolacci, S.; Manara, E.; Dautaj, A.; Beccari, T.; Michelini, S. Molecular Pathways Involved in Lymphedema: Hydroxytyrosol as a Candidate Natural Compound for Treating the Effects of Lymph Accumulation. J. Biotechnol. 2020, 308, 82–86. [Google Scholar] [CrossRef] [PubMed]
- Chakraborty, A.; Mitra, S.; Tallei, T.; Tareq, A.; Nainu, F.; Cicia, D.; Dhama, K.; Emran, T.; Simal-Gandara, J.; Capasso, R. Bromelain a Potential Bioactive Compound: A Comprehensive Overview from a Pharmacological Perspective. Life 2021, 11, 317. [Google Scholar] [CrossRef]
- Maisto, M.; Piccolo, V.; Marzocchi, A.; Maresca, D.C.; Romano, B.; Summa, V.; Tenore, G.C.; Ercolano, G.; Ianaro, A. Nutraceutical Formulation Based on a Synergic Combination of Melatonin and Palmitoylethanolamide for the Management of Allergic Events. Front. Nutr. 2024, 11, 1417747. [Google Scholar] [CrossRef] [PubMed]
- Bradic, J.; Petrovic, A.; Nikolic, M.; Nedeljkovic, N.; Andjic, M.; Kladar, N.; Bolevich, S.; Jakovljevic, V.; Kocovic, A. Newly Developed Semi-Solid Formulations Containing Mellilotus Officinalis Extract: Characterization, Assessment of Stability, Safety, and Anti-Inflammatory Activity. Pharmaceutics 2024, 16, 1003. [Google Scholar] [CrossRef] [PubMed]




Disclaimer/Publisher’s Note: The statements, opinions and data contained in all publications are solely those of the individual author(s) and contributor(s) and not of MDPI and/or the editor(s). MDPI and/or the editor(s) disclaim responsibility for any injury to people or property resulting from any ideas, methods, instructions or products referred to in the content. |
© 2026 by the authors. Licensee MDPI, Basel, Switzerland. This article is an open access article distributed under the terms and conditions of the Creative Commons Attribution (CC BY) license.
Share and Cite
Maisto, M.; Marzocchi, A.; Piccolo, V.; Ciampaglia, R.; De Vivo, M.; Tenore, G.C. A Multi-Component Nutraceutical Formulation for the Management of Vascular and Inflammatory Alterations Characteristic of the Oedema Disorders. Nutrients 2026, 18, 523. https://doi.org/10.3390/nu18030523
Maisto M, Marzocchi A, Piccolo V, Ciampaglia R, De Vivo M, Tenore GC. A Multi-Component Nutraceutical Formulation for the Management of Vascular and Inflammatory Alterations Characteristic of the Oedema Disorders. Nutrients. 2026; 18(3):523. https://doi.org/10.3390/nu18030523
Chicago/Turabian StyleMaisto, Maria, Adua Marzocchi, Vincenzo Piccolo, Roberto Ciampaglia, Marlo De Vivo, and Gian Carlo Tenore. 2026. "A Multi-Component Nutraceutical Formulation for the Management of Vascular and Inflammatory Alterations Characteristic of the Oedema Disorders" Nutrients 18, no. 3: 523. https://doi.org/10.3390/nu18030523
APA StyleMaisto, M., Marzocchi, A., Piccolo, V., Ciampaglia, R., De Vivo, M., & Tenore, G. C. (2026). A Multi-Component Nutraceutical Formulation for the Management of Vascular and Inflammatory Alterations Characteristic of the Oedema Disorders. Nutrients, 18(3), 523. https://doi.org/10.3390/nu18030523

