The Association Between Mediterranean Diet -Related Health Literacy, Cooking Skills and Mediterranean Diet Adherence in the Spanish Population
Abstract
1. Introduction
2. Materials and Method
2.1. Design and Participants
2.2. Data Collection and Study Variables
2.3. Statistical Analysis
3. Results
4. Discussion
5. Conclusions
Supplementary Materials
Author Contributions
Funding
Institutional Review Board Statement
Informed Consent Statement
Data Availability Statement
Acknowledgments
Conflicts of Interest
References
- Serra-Majem, L.; Roman-Viñas, B.; Sanchez-Villegas, A.; Guasch-Ferré, M.; Corella, D.; La Vecchia, C. Benefits of the Mediterranean diet: Epidemiological and clinical evidence. Public Health Nutr. 2019, 22, 2140–2154. [Google Scholar]
- Dernini, S.; Berry, E.M. Mediterranean Diet: From a healthy diet to a sustainable dietary pattern. Front. Nutr. 2015, 2, 15. [Google Scholar] [CrossRef] [PubMed]
- Bach-Faig, A.; Berry, E.M.; Lairon, D.; Reguant, J.; Trichopoulou, A.; Dernini, S.; Medina, F.X.; Battino, M.; Belahsen, R.; Miranda, G.; et al. Mediterranean diet pyramid today: Science and cultural updates. Public Health Nutr. 2011, 14, 2274–2284. [Google Scholar]
- Costa, V.; Borrego, R.; Mateus, C.; Carolino, E.; Viegas, C. Assessment of Food and Cooking Skills: Validation of a Portuguese Version of a Tool and Characterisation of Food and Cooking Skills in Young Adults. Port. J. Public Health 2023, 41, 83–93. [Google Scholar] [CrossRef]
- Vidgen, H.A.; Gallegos, D. Defining food literacy and its components. Appetite 2014, 76, 50–59. [Google Scholar] [CrossRef]
- Vettori, V.; Lorini, C.; Milani, C.; Bonaccorsi, G. Towards the implementation of a conceptual framework of food and nutrition literacy. Int. J. Environ. Res. Public Health 2019, 16, 5041. [Google Scholar] [CrossRef]
- Truninger, M.; Teixeira, J. Food agency: The making of healthy food practices in everyday life. Sociol. Health Illn. 2020, 42, 1410–1426. [Google Scholar]
- Lang, T.; Heasman, M. Food Wars: The Global Battle for Mouths, Minds and Markets; Routledge: London, UK, 2015. [Google Scholar]
- Monteiro, C.A.; Cannon, G.; Levy, R.B.; Moubarac, J.C.; Jaime, P.C. Ultra-processed foods: What they are and how to identify them. Public Health Nutr. 2019, 22, 936–941. [Google Scholar] [CrossRef]
- McGowan, L.; Caraher, M.; Raats, M.; Lavelle, F.; Hollywood, L.; McDowell, D.; Spence, M.; McCloat, A.; Mooney, E.; Dean, M.; et al. Domestic cooking and food skills: A review. Crit. Rev. Food Sci. Nutr. 2017, 57, 2412–2431. [Google Scholar] [CrossRef] [PubMed]
- Wolfson, J.A.; Bleich, S.N. Is cooking at home associated with better diet quality or weight-loss intention? Public Health Nutr. 2015, 18, 1397–1406. [Google Scholar] [CrossRef]
- Reicks, M.; Trofholz, A.C.; Stang, J.S.; Laska, M.N. Impact of cooking and home food preparation interventions among adults: Outcomes and implications for future programs. J. Nutr. Educ. Behav. 2014, 46, 259–276. [Google Scholar] [CrossRef]
- Lavelle, F.; McGowan, L.; Hollywood, L.; Caraher, M.; Spence, M.; Surgenor, D.; McCloat, A.; Mooney, E.; Raats, M.; Dean, M.; et al. Increasing intention to cook from basic ingredients: A randomised controlled study. Appetite 2017, 116, 502–510. [Google Scholar] [CrossRef]
- Santos, M.; Oliveira, B.; Rocha, A. Food Literacy and Cooking Skills: A Review of the Concept and Its Relation to Health. Int. J. Environ. Res. Public Health 2022, 19, 16812. [Google Scholar]
- Hermosa-Bosano, C.; López-Gil, J.F. Low Self-Perceived Cooking Skills Are Linked to Greater Ultra-Processed Food Consumption Among Adolescents: The EHDLA Study. Nutrients 2025, 17, 1168. [Google Scholar] [CrossRef]
- Marconi, S.; Covolo, L.; Marullo, M.; Zanini, B.; Viola, G.C.V.; Gelatti, U.; Maroldi, R.; Latronico, N.; Castellano, M. Cooking Skills, Eating Habits and Nutrition Knowledge among Italian Adolescents during COVID-19 Pandemic. Nutrients 2023, 15, 4143. [Google Scholar] [CrossRef] [PubMed]
- Rocha Leal, F.M.; de Oliveira, B.M.P.M.; Pereira, S.S.R. Relationship between cooking habits and skills and Mediterranean diet in a sample of Portuguese adolescents. Perspect. Public Health 2011, 131, 283–287. [Google Scholar] [CrossRef]
- Birch, L.L.; Davison, K.K. Family environmental factors influencing the developing behavioral controls of food intake and childhood overweight. Pediatr. Clin. N. Am. 2001, 48, 893–907. [Google Scholar] [CrossRef] [PubMed]
- Dean, M.; Issartel, J.; Benson, T.; McCloat, A.; Mooney, E.; McKernan, C.; Dunne, L.; Brennan, S.F.; Moore, S.E.; McCarthy, D.; et al. CooC11 and CooC7: Development and validation of age-appropriate children’s perceived cooking competence measures. Int. J. Behav. Nutr. Phys. Act. 2021, 18, 129. [Google Scholar] [CrossRef]
- Story, M.; Neumark-Sztainer, D.; French, S.A. Individual and environmental influences on adolescent eating behaviors. J. Am. Diet. Assoc. 2002, 102, S40–S51. [Google Scholar] [CrossRef]
- Lobstein, T.; Jackson-Leach, R.; Moodie, M.L.; Hall, K.D.; Gortmaker, S.L.; Swinburn, B.A.; James, W.P.T.; Wang, Y.; McPherson, K. Child and adolescent obesity: Part of a bigger picture. Lancet 2015, 385, 2510–2520. [Google Scholar] [CrossRef]
- Sawyer, S.M.; Azzopardi, P.S.; Wickremarathne, D.; Patton, G.C. The age of adolescence. Lancet Child Adolesc. Health 2018, 2, 223–228. [Google Scholar] [CrossRef]
- World Health Organization. Health Promoting Schools: An Effective Approach for Early Action on NCD Risk Factors; WHO: Geneva, Switzerland, 2018. [Google Scholar]
- European Commission. Farm to Fork Strategy: For a Fair, Healthy and Environmentally-Friendly Food System; European Commission: Brussels, Belgium, 2020. [Google Scholar]
- Ministry of Health. Encuesta Nacional de Salud de España (ENSE) 2023; Government of Spain: Madrid, Spain, 2023. [Google Scholar]
- Serra-Majem, L.; Tomaino, L.; Dernini, S.; Berry, E.M.; Lairon, D.; de la Cruz, J.N.; Bach-Faig, A.; Donini, L.M.; Medina, F.X.; Belahsen, R.; et al. Updating the Mediterranean Diet Pyramid towards Sustainability: Focus on Environmental Concerns. Int. J. Environ. Res. Public Health 2020, 17, 8758. [Google Scholar] [CrossRef]
- UNESCO. Mediterranean Diet: Intangible Cultural Heritage of Humanity; UNESCO: Paris, France, 2013. [Google Scholar]
- Dernini, S.; Meybeck, A. The Mediterranean Diet as a Sustainable Resource for the Mediterranean Area; FAO: Rome, Italy, 2020. [Google Scholar]
- Pérez-Rodrigo, C.; Aranceta-Bartrina, J. Nutrition education in schools: Experiences and challenges. Eur. J. Clin. Nutr. 2003, 57, S82–S85. [Google Scholar] [CrossRef]
- European Food Information Council (EUFIC). Food and Nutrition Education: Empowering Citizens to Make Healthy and Sustainable Choices; EUFIC: Brussels, Belgium, 2022. [Google Scholar]
- Spronk, I.; Kullen, C.; Burdon, C.; O’Connor, H. Relationship between nutrition knowledge and dietary intake. Br. J. Nutr. 2014, 111, 1713–1726. [Google Scholar] [CrossRef]
- Costa, V. Desenvolvimento de uma Ferramenta de Avaliação de Literacia em Saúde Aplicada à Dieta Mediterrânica (Project); ISPA Instituto Superior de Psicologia Aplicada: Lisbon, Portugal, 2022. [Google Scholar]
- PRIMA Foundation. Tool4MEDLife Project Overview; Partnership for Research and Innovation in the Mediterranean Area: Barcelona, Spain, 2024. [Google Scholar]
- Von Elm, E.; Altman, D.G.; Egger, M.; Pocock, S.J.; Gøtzsche, P.C.; Vandenbroucke, J.P.; STROBE Initiative. The Strengthening the Reporting of Observational Studies in Epidemiology (STROBE) statement: Guidelines for reporting observational studies. Lancet 2007, 370, 1453–1457. [Google Scholar] [CrossRef]
- Currie, C.; Díaz, A.Y.A.; Bosáková, L.; de Looze, M. The International Family Affluence Scale (FAS): Charting 25 years of indicator development, evidence produced, and policy impact on adolescent health inequalities. SSM Popul. Health 2024, 25, 101599. [Google Scholar] [CrossRef] [PubMed]
- European Commission. Commission Regulation (EU) 2018/255 of 19 February 2018 applying Regulation (EC) No 1338/2008 of the European Parliament and of the Council as regards statistics based on the European Health Interview Survey (EHIS). Off. J. Eur. Union 2018, L 48, 41–43. Available online: http://data.europa.eu/eli/reg/2018/255/oj (accessed on 9 January 2026).
- López-Gajardo, M.A.; Leo, F.M.; Sánchez-Miguel, P.A.; López-Gajardo, D.; Soulas, C.; Tapia-Serrano, M.A. KIDMED 2.0, an update of the KIDMED questionnaire: Evaluation of psychometric properties in youth. Front. Nutr. 2022, 9, 945721. [Google Scholar] [CrossRef] [PubMed]
- Schröder, H.; Fitó, M.; Estruch, R.; Martínez-González, M.A.; Corella, D.; Salas-Salvadó, J.; Lamuela-Raventós, R.; Ros, E.; Salaverría, I.; Fiol, M.; et al. A short screener is valid for assessing Mediterranean diet adherence among older Spanish men and women. J. Nutr. 2011, 141, 1140–1145. [Google Scholar] [CrossRef] [PubMed]
- Torres, D.; Faria, N.; Sousa, N.; Teixeira, S.; Soares, R.; Amorim, H.; Guiomar, S.; Lobato, L.; Oliveira, A.C.; Correia, D.; et al. Inquérito Alimentar Nacional e de Atividade Física 2015–2016: Manual Fotográfico de Quantificação de Alimentos; Universidade do Porto: Lisboa, Portugal, 2017. [Google Scholar]
- Block, K.; Gibbs, L.; Staiger, P.K.; Gold, L.; Johnson, B.; Macfarlane, S.; Long, C.; Townsend, M. Growing community: The impact of the Stephanie Alexander Kitchen Garden Program on the social and learning environment in primary schools. Health Educ. Behav. 2012, 39, 419–432. [Google Scholar] [CrossRef]
- Patton, G.C.; Sawyer, S.M.; Santelli, J.S.; Ross, D.A.; Afifi, R.; Allen, N.B.; Arora, M.; Azzopardi, P.; Baldwin, W.; Bonell, C.; et al. Our future: A Lancet commission on adolescent health and wellbeing. Lancet 2016, 387, 2423–2478. [Google Scholar] [CrossRef]
- Hermosa-Bosano, C.; López-Gil, J.F. Socioecological correlates of perceived cooking skills among Spanish adolescents: The EHDLA study. Front. Public Health 2025, 13, 1562110. [Google Scholar]
- Lavelle, F.; McGowan, L.; Hollywood, L.; Surgenor, D.; McCloat, A.; Mooney, E.; Spence, M.; Raats, M.; Dean, M. The influence of cooking skills on food preparation behaviours, attitudes and nutrition outcomes. Public Health Nutr. 2016, 19, 639–648. [Google Scholar]
- Contento, I.R.; Koch, P.A.; Lee, H.; Calabrese-Barton, A. Adolescents demonstrate improvement in food choice behaviour following an educational intervention. J. Nutr. Educ. Behav. 2010, 42, 201–208. [Google Scholar]
- Caraher, M.; Seeley, A.; Wu, M.; Lloyd, S. When chefs adopt a school? An evaluation of a cooking intervention in English primary schools. Public Health Nutr. 2013, 16, 1082–1089. [Google Scholar]
- Jones, M.; Dailami, N.; Weitkamp, E.; Salmon, D.; Kimberlee, R.; Morley, A.; Orme, J. Food sustainability education as a route to healthier eating: Evaluation of a multi-component school programme. Public Health Nutr. 2012, 15, 2160–2167. [Google Scholar]
- Morgan, P.J.; Warren, J.M.; Lubans, D.R.; Saunders, K.L.; Quick, G.I.; Collins, C.E. The impact of nutrition education with and without a school garden on youth fruit and vegetable intake. Health Educ. Behav. 2010, 37, 201–216. [Google Scholar]
- World Health Organization. Making Every School a Health Promoting School; WHO: Geneva, Switzerland, 2021. [Google Scholar]
- Mikkilä, V.; Räsänen, L.; Raitakari, O.T.; Pietinen, P.; Viikari, J. Consistent dietary patterns identified from childhood to adulthood. Br. J. Nutr. 2005, 93, 923–931. [Google Scholar] [CrossRef]
- Craigie, A.M.; Lake, A.A.; Kelly, S.A.; Adamson, A.J.; Mathers, J.C. Tracking of obesity-related behaviours from childhood to adulthood: A systematic review. Maturitas 2011, 70, 266–284. [Google Scholar] [CrossRef]
- FAO; WHO. Sustainable Healthy Diets—Guiding Principles; FAO: Rome, Italy, 2019. [Google Scholar]
- United Nations. Transforming Our World: The 2030 Agenda for Sustainable Development; United Nations: New York, NY, USA, 2015. [Google Scholar]

| Characteristic | Children and Early Adolescents (8–14 Years) ᵃ | Adolescents (15–17 Years) ᵇ | Adults (18+ Years) |
|---|---|---|---|
| Total Study Sample (N) | 407 | 135 | 288 |
| Valid n for sociodemographics | 311 ᶜ | 117 | 232 |
| Age (years), Mean (SD) | 11.68 (2.85) | 15.82 (0.72) | 55.0 (13.0) |
| Gender, n (%) | |||
| Female | 175 (56.3) | 72 (61.5) | 172 (74.1) |
| Male | 124 (39.9) | 42 (35.9) | 60 (25.9) |
| Other/Prefer not to say | 12 (3.8) | 3 (2.6) | — |
| Nationality, n (%) | |||
| Spanish | 274 (89.2) | 106 (90.6) | 226 (97.4) |
| Other | 33 (10.8) | 11 (9.4) | 6 (2.6) |
| Household size, Mean (SD) | 4.04 (0.98) | 4.06 (1.08) | 2.63 (1.21) |
| Socioeconomic Indicators | (Maternal Report) ᵈ | (Maternal Report) | (Self-Report) |
| Education Level, n (%) | |||
| Primary or less | 22 (9.4) | 3 (2.6) | 3 (1.3) |
| Secondary (ESO) | 41 (17.5) | 22 (18.8) | 20 (8.7) |
| Upper Sec./Vocational | 83 (35.5) | 69 (59.0) | 23 (10.0) |
| Tertiary (University) | 87 (37.2) | 15 (12.8) | 184 (80.0) |
| Missing/Not Collected | 174 | 26 | — |
| Employment Status, n (%) | |||
| Employed | 159 (67.9) | 81 (80.2) | 144 (63.0) |
| Unemployed | 7 (3.0) | 1 (1.0) | 6 (2.6) |
| Homemakers/Other | 68 (29.1) | 19 (18.8) | 80 (34.7) |
| Developmental Stage | Variable | n a | Mean (SD) | Median [IQR] | Observed Range (Min–Max) | Theoretical Range |
|---|---|---|---|---|---|---|
| Children and Early Adolescents | MD Adherence (KIDMED) | 382 | 6.30 (3.01) | 6.00 [4.00–8.00] | −1 to +12 | −16 to +12 |
| (8–14 years) | Cooking Competence (CooC11) | 382 | 26.21 (13.09) | 24.00 [12.00–33.00] | 0 to 50 | 0 to 50 |
| Adolescents | MD Adherence (KIDMED) | 136 | 6.20 (3.00) | 6.00 [4.00–8.00] | −1 to +12 | −16 to +12 |
| (15–17 years) | Food and Cooking Skills (FCSk) | 136 | 132.11 (39.02) | 132.00 [93.50–153.50] | 0 to 228 | 0 to 228 |
| Adults | MD Adherence (MEDAS) | 288 | 8.21 (2.31) | 8.00 [7.00–10.00] | 2 to 14 | 0 to 14 |
| (18+ years) | Food and Cooking Skills (FCSk) | 288 | 153.09 (35.08) | 149.50 [118.25–172.00] | 0 to 238 | 0 to 245 |
| MD Health Literacy (Lit-MEDiet) | 233 b | 117.16 (17.29) | 116.00 [108.00–129.00] | 74 to 148 | 0 to 150 |
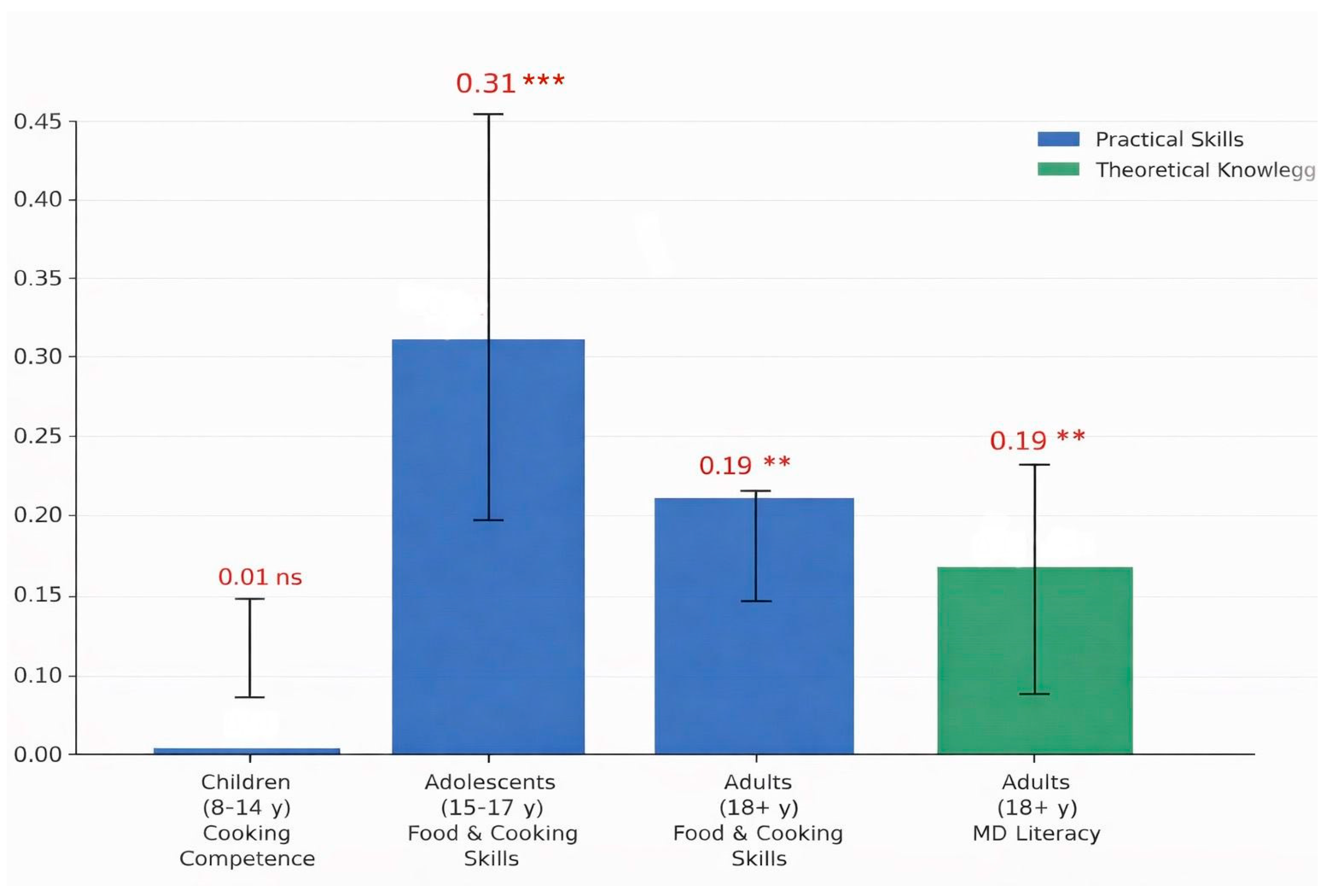
| Age Group | Variables | ρ (rho) | p-Value |
|---|---|---|---|
| Children (8–14 y) | CooC11–KIDMED | −0.018 | 0.733 |
| Adolescents (15–17 y) | FCSk–KIDMED | 0.371 | <0.001 *** |
| Adults (18+ y) | FCSk–MEDAS | 0.174 | 0.003 ** |
| Lit-MEDiet–MEDAS | 0.186 | 0.004 ** | |
| FCSk–Lit-MEDiet ª | 0.396 | <0.001 *** |
| Age Group | Predictor | Outcome | Std. β | Unstandardized b | 95% CI for b | R2 | p-Value | n |
|---|---|---|---|---|---|---|---|---|
| Children (8–14 y) | CooC11 | KIDMED | 0.08 | 0.02 | −0.021 to 0.024 | <0.001 | 14.35 | 382 |
| Adolescents (15–17 y) | FCSk | KIDMED | 5.13 | 0.25 | 0.012 to 0.038 | 1.38 | <0.001 *** | 136 |
| Adults (18+ y) | FCSk | MEDAS | 3.09 | 0.12 | 0.005 to 0.020 | 0.36 | 0.001 ** | 288 |
| Lit-MEDiet | MEDAS | 3.07 | 0.25 | 0.008 to 0.042 | 0.35 | 0.004 ** | 233 |
Disclaimer/Publisher’s Note: The statements, opinions and data contained in all publications are solely those of the individual author(s) and contributor(s) and not of MDPI and/or the editor(s). MDPI and/or the editor(s) disclaim responsibility for any injury to people or property resulting from any ideas, methods, instructions or products referred to in the content. |
© 2026 by the authors. Licensee MDPI, Basel, Switzerland. This article is an open access article distributed under the terms and conditions of the Creative Commons Attribution (CC BY) license.
Share and Cite
Casucci, M.G.; Muñoz-Martínez, J.; Caneda-Ferrón, B.; Salinas-Roca, B.; Orta-Ramirez, A.; Vidal, E.; Rodríguez-Monforte, M.; Medeiro da Costa, I.; Costa, V.; Renzi, S.; et al. The Association Between Mediterranean Diet -Related Health Literacy, Cooking Skills and Mediterranean Diet Adherence in the Spanish Population. Nutrients 2026, 18, 235. https://doi.org/10.3390/nu18020235
Casucci MG, Muñoz-Martínez J, Caneda-Ferrón B, Salinas-Roca B, Orta-Ramirez A, Vidal E, Rodríguez-Monforte M, Medeiro da Costa I, Costa V, Renzi S, et al. The Association Between Mediterranean Diet -Related Health Literacy, Cooking Skills and Mediterranean Diet Adherence in the Spanish Population. Nutrients. 2026; 18(2):235. https://doi.org/10.3390/nu18020235
Chicago/Turabian StyleCasucci, Maria Giulia, Júlia Muñoz-Martínez, Begoña Caneda-Ferrón, Blanca Salinas-Roca, Alicia Orta-Ramirez, Eulàlia Vidal, Míriam Rodríguez-Monforte, Inês Medeiro da Costa, Vânia Costa, Sofia Renzi, and et al. 2026. "The Association Between Mediterranean Diet -Related Health Literacy, Cooking Skills and Mediterranean Diet Adherence in the Spanish Population" Nutrients 18, no. 2: 235. https://doi.org/10.3390/nu18020235
APA StyleCasucci, M. G., Muñoz-Martínez, J., Caneda-Ferrón, B., Salinas-Roca, B., Orta-Ramirez, A., Vidal, E., Rodríguez-Monforte, M., Medeiro da Costa, I., Costa, V., Renzi, S., & Carrillo-Álvarez, E. (2026). The Association Between Mediterranean Diet -Related Health Literacy, Cooking Skills and Mediterranean Diet Adherence in the Spanish Population. Nutrients, 18(2), 235. https://doi.org/10.3390/nu18020235

