Nutrient Intake, Dairy Consumption, Past Fractures, and Lifestyle Correlates of Forearm Bone Mineral Density in Adolescent Boys with Myelomeningocele
Abstract
1. Introduction
2. Materials and Methods
2.1. Study Design and Experimental Approach
2.2. Evaluation Method for Diet and Eating Habits
2.3. Bone Tissue Parameters and Anthropometric Evaluation Method
2.4. Evaluation Method for Physical Activity and Past Fractures
2.5. Statistical Analysis
3. Results
3.1. Bone Parameters, Biometric and Somatic Parameters, Diet and Eating Habit Factors, Past Fractures, and Physical Activity Parameters
3.2. Relationships of Major Determinants of Biological Bone Mineralization Status
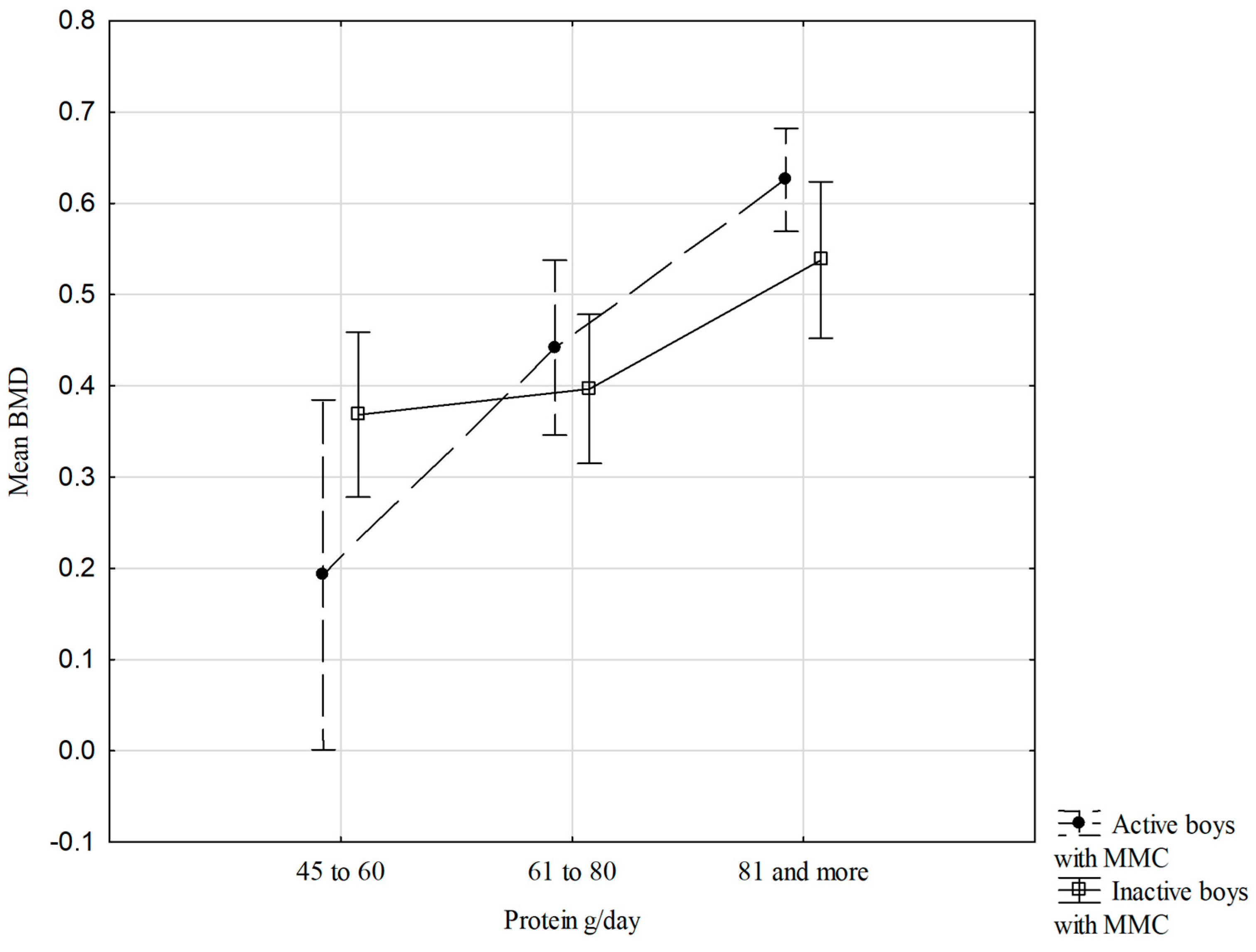
3.3. Relationships of Mean BMD, Physical Activity Status, and Dietary Variables
4. Discussion
5. Conclusions
Author Contributions
Funding
Institutional Review Board Statement
Informed Consent Statement
Data Availability Statement
Conflicts of Interest
Abbreviations
| BMD | bone mineral density |
| BMC | bone mineral content |
| MMC | myelomeningocele |
| dis | distal parts of the forearm |
| prox | proximal parts of the forearm |
| PA | physical activity |
| FFQ | Food Frequency Questionnaire |
| 24HR | 24 h dietary recall |
| Fat% | body fat percentage |
| FM | fat mass in kg |
| FFM | fat-free mass in kg |
| BMI | body mass index |
| WHtR | waist-to-height ratio |
| IPAQ-SF | International Physical Activity Questionnaire—Short Form |
References
- Fintini, D.; Cianfarani, S.; Cofini, M.; Andreoletti, A.; Ubertini, G.M.; Cappa, M.; Manco, M. The Bones of Children with Obesity. Front. Endocrinol. 2020, 11, 200. [Google Scholar] [CrossRef]
- Gkiatas, I.; Lykissas, M.; Kostas-Agnantis, I.; Korompilias, A.; Batistatou, A.; Beris, A. Factors Affecting Bone Growth. Am. J. Orthop. 2015, 44, 61–67. [Google Scholar]
- Golden, N.H.; Abrams, S.A.; Committee on Nutrition; Daniels, S.R.; Corkins, M.R.; De Ferranti, S.D.; Magge, S.N.; Schwarzenberg, S.J. Optimizing Bone Health in Children and Adolescents. Pediatrics 2014, 134, e1229–e1243. [Google Scholar] [CrossRef] [PubMed]
- Tabor, E.; Bach, M.; Werner, A.; Drozdzowska, B.; Pluskiewicz, W. The Impact of Environmental and Genetic Factors on Bone Quality in Monozygotic and Dizygotic Twins. Biomedicines 2022, 10, 2360. [Google Scholar] [CrossRef] [PubMed]
- Levine, M. Assessing Bone Health in Children and Adolescents. Indian J. Endocrinol. Metab. 2012, 16, 205–213. [Google Scholar] [CrossRef] [PubMed]
- Zhu, X.; Zheng, H. Factors Influencing Peak Bone Mass Gain. Front. Med. 2021, 15, 53–69. [Google Scholar] [CrossRef]
- Jakubowska-Pietkiewicz, E.; Woźniak, E.; Matczak, D. Diagnosis of Secondary Osteoporosis—Long-Term Observations in Children with Myelomeningocele and Cerebral Palsy. Pediatr. Med. Rodz. 2021, 17, 47–51. [Google Scholar] [CrossRef]
- Jaworek, M.; Kochmańska, A.; Cyran, M.; Kulesa-Mrowiecka, M.; Zyznawska, J. Assessment of Mobility and Quality of Life of Patients with Myelomeningocele. J. Orthop. Trauma Surg. Relat. Res. 2013, 8, 42–47. [Google Scholar]
- Yasmeh, P.; Mueske, N.M.; Yasmeh, S.; Wren, T.A.L.; Carollo, J.J.; Munger, M.E. Walking Activity during Daily Living in Children with Myelomeningocele. Disabil. Rehabil. 2017, 39, 1422–1427. [Google Scholar] [CrossRef]
- Rozensztrauch, A.; Iwańska, M.; Bagłaj, M. The Quality of Life of Children with Myelomeningocele: A Cross-Sectional Preliminary Study. Int. J. Environ. Res. Public Health 2021, 18, 10756. [Google Scholar] [CrossRef]
- Aliatakis, N.; Schneider, J.; Spors, B.; Mohr, N.; Lebek, S.; Seidel, U.; Trojan, K.C.; Kaindl, A.M. Age-Specific Occurrence of Pathological Fractures in Patients with Spina Bifida. Eur. J. Pediatr. 2020, 179, 773–779. [Google Scholar] [CrossRef]
- Trinh, A.; Wong, P.; Brown, J.; Hennel, S.; Ebeling, P.R.; Fuller, P.J.; Milat, F. Fractures in Spina Bifida from Childhood to Young Adulthood. Osteoporos. Int. 2017, 28, 399–406. [Google Scholar] [CrossRef]
- Martinelli, V.; Dell’Atti, C.; Ausili, E.; Federici, E.; Magarelli, N.; Leone, A.; Massimi, L.; Di Rocco, C.; Bonomo, L.; Rendeli, C. Risk of Fracture Prevention in Spina Bifida Patients: Correlation between Bone Mineral Density, Vitamin D, and Electrolyte Values. Childs Nerv. Syst. 2015, 31, 1361–1365. [Google Scholar] [CrossRef]
- Mazur, L.J.; Wilsford, L.D.; Rosas, L.; Sullivan, E. Low 25-Hydroxyvitamin D Levels in Children with Spina Bifida. South. Med. J. 2016, 109, 31–35. [Google Scholar] [CrossRef]
- Morse, L.R.; Biering-Soerensen, F.; Carbone, L.D.; Cervinka, T.; Cirnigliaro, C.M.; Johnston, T.E.; Liu, N.; Troy, K.L.; Weaver, F.M.; Shuhart, C.; et al. Bone Mineral Density Testing in Spinal Cord Injury: 2019 ISCD Official Position. J. Clin. Densitom. 2019, 22, 554–566. [Google Scholar] [CrossRef]
- Spina Bifida Association. Guidelines for the Care of People with Spina Bifida: Nutrition, Metabolic Syndrome and Obesity Guideline. Available online: https://www.spinabifidaassociation.org/blog/nutrition-metabolic-syndrome-and-obesity-guideline/ (accessed on 18 December 2024).
- McPherson, A.C.; Chen, L.; O’Neil, J.; Vanderbom, K.A. Nutrition, Metabolic Syndrome, and Obesity: Guidelines for the Care of People with Spina Bifida. J. Pediatr. Rehabil. Med. 2020, 13, 637–653. [Google Scholar] [CrossRef]
- Gour-Provençal, G.; Costa, C. Metabolic Syndrome in Children with Myelomeningocele and the Role of Physical Activity: A Narrative Review of the Literature. Top. Spinal Cord Inj. Rehabil. 2022, 28, 15–40. [Google Scholar] [CrossRef] [PubMed]
- Rendeli, C.; Kuczynska, E.; Giuliano, A.C.; Chiaretti, A.; Ausili, E. Dietary Approach to Prevent Obesity Risk in Spina Bifida Patients. Childs Nerv. Syst. 2020, 36, 1515–1520. [Google Scholar] [CrossRef] [PubMed]
- Shepherd, K.; Roberts, D.; Golding, S.; Thomas, B.; Shepherd, R. Body Composition in Myelomeningocele. Am. J. Clin. Nutr. 1991, 53, 1–6. [Google Scholar] [CrossRef]
- Polfuss, M.; Liu, T.; Smith, K.; Murphy, P.S.; Ward, E.; Thibadeau, J.; Dosa, N.P.; Wang, Y.; Sawin, K.J. Weight Status of Children Participating in the National Spina Bifida Patient Registry. Pediatrics 2022, 150, e2022057007. [Google Scholar] [CrossRef] [PubMed]
- Oberlin, D.J.; Eubank, J.M.; Samuel, L.; Ekhtman, J.; Egwuonwu, E.; Sabo, K.; Veras, Á.; Fernandez, A. How Acute Aerobic Exercise and Social Interactions Influence Mood and Cognitive Functioning in Healthy Adults: A Pilot Study. Biomed. Hum. Kinet. 2025, 17, 78–89. [Google Scholar] [CrossRef]
- Kopiczko, A. Bone Mineral Density in the Various Regions of the Skeleton in Women with Subclinical Hypothyroidism: The Effect of Biological Factors, Bone Turnover Markers and Physical Activity. Biomed. Hum. Kinet. 2024, 16, 1–11. [Google Scholar] [CrossRef]
- Malara, M.; Widłak, P. Metabolic Disturbances in Sedentary and Active Polish Male Students with Normal Body Mass Index and Waist Circumference. Biomed. Hum. Kinet. 2024, 16, 12–18. [Google Scholar] [CrossRef]
- Nystoriak, M.A.; Bhatnagar, A. Cardiovascular Effects and Benefits of Exercise. Front. Cardiovasc. Med. 2018, 5, 135. [Google Scholar] [CrossRef] [PubMed]
- Cieplińska, J.; Kopiczko, A. Bone Mineral Density and Body Composition in Polish Girls with Myelomeningocele: Effects of Adapted Physical Activity and Past Fractures. Homo 2021, 72, 149–157. [Google Scholar] [CrossRef]
- Proia, P.; Amato, A.; Drid, P.; Korovljev, D.; Vasto, S.; Baldassano, S. The Impact of Diet and Physical Activity on Bone Health in Children and Adolescents. Front. Endocrinol. 2021, 12, 704647. [Google Scholar] [CrossRef]
- Apkon, S.D.; Fenton, L.; Coll, J.R. Bone Mineral Density in Children with Myelomeningocele. Dev. Med. Child Neurol. 2009, 51, 63–67. [Google Scholar] [CrossRef]
- Kowalkowska, J.; Wadolowska, L. The 72-Item Semi-Quantitative Food Frequency Questionnaire (72-Item SQ-FFQ) for Polish Young Adults: Reproducibility and Relative Validity. Nutrients 2022, 14, 2696. [Google Scholar] [CrossRef]
- Szponar, L.; Wolnicka, K.; Rychlik, E. Album Fotografii Produktów i Potraw [Album of Photographs of Food Products and Dishes]; Instytut Żywności i Żywienia: Warsaw, Poland, 2000. [Google Scholar]
- Hall, J.G.; Allanson, J.E.; Gripp, K.W.; Slavotinek, A.M. Handbook of Physical Measurements, 3rd ed.; Oxford University Press: Oxford, UK, 2007. [Google Scholar]
- Hardy, J.; Kuter, H.; Campbell, M.; Canoy, D. Reliability of Anthropometric Measurements in Children with Special Needs. Arch. Dis. Child. 2018, 103, 757–762. [Google Scholar] [CrossRef]
- Steinfeld, E.; Lenker, J.; Paquet, V. The Anthropometrics of Disability; University at Buffalo, The State University of New York: Buffalo, NY, USA, 2002. [Google Scholar]
- Finger, J.D.; Tafforeau, J.; Gisle, L.; Oja, L.; Ziese, T.; Thelen, J.; Mensink, G.B.M.; Lange, C. Development of the European Health Interview Survey—Physical Activity Questionnaire (EHIS-PAQ) to Monitor Physical Activity in the European Union. Arch. Public Health 2015, 73, 59. [Google Scholar] [CrossRef]
- World Health Organization. WHO Guidelines on Physical Activity and Sedentary Behaviour; WHO: Geneva, Switzerland, 2020. [Google Scholar]
- Zieliński, G. Effect Size Guidelines for Individual and Group Differences in Physiotherapy. Arch. Phys. Med. Rehabil. 2025, 106, 1844–1849. [Google Scholar] [CrossRef]
- Chrzanowska, M. Ekspansja Nadwagi w Populacji Dzieci i Młodzieży Krakowa w Okresie 1971–2000 w Świetle Wskaźnika EOW (Extent of Overweight). Pediatr. Pol. 2010, 85, 481–484. [Google Scholar] [CrossRef]
- Gołąbek, R.; Majcher, P. The Assessment of Overweight and Overweight Obesity Occurrence in Children Aged 11–12 by the Example of Public Primary School Nr 3 in Radom. Pr. Nauk. Akad. Im Jana Długosza Częstochowie Kult. Fiz. 2018, 17, 119–130. [Google Scholar] [CrossRef]
- Mueske, N.M.; Ryan, D.D.; Van Speybroeck, A.L.; Chan, L.S.; Wren, T.A. Fat Distribution in Children and Adolescents with Myelomeningocele. Dev. Med. Child Neurol. 2015, 57, 273–278. [Google Scholar] [CrossRef] [PubMed]
- Bagińska-Chyży, J.; Korzeniecka-Kozerska, A. Application of Bioelectrical Impedance Analysis in Weight Management of Children with Spina Bifida. Nutrients 2024, 16, 3222. [Google Scholar] [CrossRef]
- Closa-Monasterolo, R.; Zaragoza-Jordana, M.; Ferré, N.; Luque, V.; Grote, V.; Koletzko, B.; Verduci, E.; Vecchi, F.; Escribano, J.; on behalf of the EU Childhood Obesity Project Group. Adequate Calcium Intake during Long Periods Improves Bone Mineral Density in Healthy Children. Data from the Childhood Obesity Project. Clin. Nutr. 2018, 37, 890–896. [Google Scholar] [CrossRef]
- Pan, K.; Zhang, C.; Yao, X.; Zhu, Z. Association between Dietary Calcium Intake and BMD in Children and Adolescents. Endocr. Connect. 2020, 9, 194–200. [Google Scholar] [CrossRef]
- Kafadar, I.; Kilic, B.A.; Yilmaz, F.K.; Kilic, M. Bone Mineral Density in Pediatric Patients with Meningomyelocele. Childs Nerv. Syst. 2016, 32, 111–119. [Google Scholar] [CrossRef]
- Specker, B.; Thiex, N.W.; Sudhagoni, R.G. Does Exercise Influence Pediatric Bone? A Systematic Review. Clin. Orthop. Relat. Res. 2015, 473, 3658–3672. [Google Scholar] [CrossRef]
- Meyer, U.; Ernst, D.; Zahner, L.; Schindler, C.; Puder, J.J.; Kraenzlin, M.; Rizzoli, R.; Kriemler, S. 3-Year Follow-up Results of Bone Mineral Content and Density after a School-Based Physical Activity Randomized Intervention Trial. Bone 2013, 55, 16–22. [Google Scholar] [CrossRef]
- Rosenstein, B.D.; Greene, W.B.; Herrington, R.T. Bone Density in Myelomeningocele: The Effects of Ambulatory Status and Other Factors. Dev. Med. Child Neurol. 1987, 29, 486–494. [Google Scholar] [CrossRef] [PubMed]



| Variable | Active Boys with MMC (n = 30) | Inactive Boys with MMC (n = 33) | t (p) | Hedges’ g |
| mean ± SD | ||||
| Biometric and somatic | ||||
| Age (years) | 11.1 ± 1.58 | 11.2 ± 1.57 | −0.431 (0.668) | 0.063 |
| Body weight (kg) | 37.8 ± 9.34 | 51.7 ± 7.36 | −6.587 (p < 0.001) *** | 0.419 |
| Body height (cm) | 121.9 ± 11.19 | 117.0 ± 12.15 | 1.681 (0.098) | 1.668 |
| Triceps skinfold (mm) | 17.2 ± 4.59 | 23.4 ± 5.43 | −4.862 (p < 0.001) *** | 1.232 |
| Subscapular skinfold (mm) | 24.0 ± 6.69 | 28.9 ± 4.98 | −3.309 (0.002) ** | 0.842 |
| Waist circumference (cm) | 72.2 ± 9.52 | 73.3 ± 9.16 | −0.473 (0.637) | 0.118 |
| Hip circumference (cm) | 77.4 ± 12.69 | 78.6 ± 12.93 | −0.378 (0.707) | 0.093 |
| Fat % | 33.9 ± 8.31 | 42.6 ± 7.97 | −4.228 (p < 0.001) *** | 1.074 |
| FM (kg) | 13.1 ± 5.06 | 22.1 ± 5.41 | −6.781 (p < 0.001) *** | 1.717 |
| FFM (kg) | 24.7 ± 5.87 | 29.6 ± 5.59 | −3.402 (0.001) *** | 0.856 |
| BMI (kg/m2) | 25.5 ± 5.63 | 38.5 ± 7.42 | −7.780 (p < 0.001) *** | 1.964 |
| Cole’s index | 149.5 ± 32.81 | 225.1 ± 45.99 | −7.437 (p < 0.001) *** | 1.880 |
| WHtR | 0.60 ± 0.10 | 0.63 ± 0.09 | −1.411 (0.163) | 0.316 |
| Bone parameters | ||||
| BMD dis (g/cm2) | 0.458 ± 0.158 | 0.350 ± 0.168 | 2.607 (0.011) * | 0.661 |
| BMD prox (g/cm2) | 0.655 ± 0.178 | 0.539 ± 0.180 | 2.571 (0.013) * | 0.648 |
| BMC dis (g) | 1.114 ± 0.375 | 0.906 ± 0.368 | 2.217 (0.030) * | 0.560 |
| BMC prox (g) | 1.446 ± 0.379 | 1.276 ± 0.388 | 1.756 (0.084) | 0.443 |
| Z-score | 0.131 ± 1.013 | −0.461 ± 0.896 | 2.461 (0.017) * | 0.621 |
| Diet and eating habits | ||||
| Number of meals (n/day) | 4.1 ± 1.05 | 4.4 ± 0.90 | −1.333 (0.187) | 0.308 |
| Number of dairy products (n/day) | 2.1 ± 1.11 | 1.6 ± 1.22 | 1.558 (0.124) | 0.428 |
| Energy (kcal/day) | 1633.7 ± 540.7 | 1674.2 ± 589.6 | −0.283 (0.778) | 0.071 |
| Protein (g/day) | 87.9 ± 24.6 | 80.1 ± 18.9 | 1.413 (0.163) | 0.358 |
| Energy from protein (kcal/day) | 351.5 ± 98.5 | 320.4 ± 75.5 | 1.410 (0.160) | 0.357 |
| Energy from protein (%) | 23.0 ± 7.2 | 21.0 ± 6.7 | 1.148 (0.256) | 0.288 |
| Protein (g/kg b.w.) | 2.5 ± 0.9 | 1.6 ± 0.4 | 5.130 (p < 0.001) *** | 1.782 |
| Calcium (mg/day) | 742.9 ± 168.8 | 628.2 ± 132.3 | 3.015 (0.004) ** | 0.761 |
| Past fractures (number/whole life) | 1.03 ± 1.0 | 0.76 ± 1.1 | 1.043 (0.301) | 0.256 |
| Physical activity (min/day) | 74.0 ± 21.6 | 15.9 ± 14.0 | 12.80 (p < 0.001) *** | 3.225 |
| Mean Square | F (p) | η2 | |
|---|---|---|---|
| BMD dis | |||
| PA (min/day) | 0.041 | 3.270 (0.076) | 0.060 |
| Cole’s index | 0.000 | 0.025 (0.876) | 0.000 |
| FM (kg) | 0.008 | 0.640 (0.427) | 0.012 |
| FFM (kg) | 0.010 | 0.805 (0.374) | 0.016 |
| Past fractures (n) | 0.001 | 0.052 (0.820) | 0.001 |
| Number of meals (n/day) | 0.003 | 0.202 (0.655) | 0.004 |
| Number of dairy products (n/day) | 0.083 | 6.660 (0.013) ** | 0.116 |
| Energy (kcal/day) | 0.018 | 1.462 (0.232) | 0.028 |
| Protein (g/day) | 0.191 | 15.272 (p < 0.001) *** | 0.230 |
| Calcium (mg/day) | 0.009 | 0.751 (0.390) | 0.015 |
| F (p) | 8.481 (p < 0.001) | ||
| R2 adj. | 0.57 | ||
| BMC dis | |||
| PA (min/day) | 0.861 | 9.803 (0.003) ** | 0.161 |
| Cole’s index | 0.007 | 0.084 (0.773) | 0.002 |
| FM (kg) | 0.185 | 2.107 (0.153) | 0.040 |
| FFM (kg) | 0.206 | 2.341 (0.132) | 0.044 |
| Past fractures (n) | 0.034 | 0.390 (0.535) | 0.008 |
| Number of meals (n/day) | 0.170 | 1.934 (0.170) | 0.037 |
| Number of dairy products (n/day) | 0.009 | 0.103 (0.750) | 0.002 |
| Energy (kcal/day) | 0.106 | 1.208 (0.277) | 0.023 |
| Protein (g/day) | 0.163 | 1.860 (0.179) | 0.035 |
| Calcium (mg/day) | 0.004 | 0.050 (0.824) | 0.001 |
| F (p) | 4.76 (p < 0.001) | ||
| R2 adj. | 0.40 | ||
| Mean Square | F (p) | η2 | |
|---|---|---|---|
| BMD prox | |||
| PA (min/day) | 0.029 | 2.073 (0.156) | 0.039 |
| Cole’s index | 0.000 | 0.003 (0.955) | 0.000 |
| FM (kg) | 0.022 | 1.592 (0.213) | 0.030 |
| FFM (kg) | 0.088 | 6.247 (0.016) | 0.109 |
| Past fractures (n) | 0.002 | 0.119 (0.732) | 0.002 |
| Number of meals (n/day) | 0.001 | 0.100 (0.753) | 0.002 |
| Number of dairy products (n/day) | 0.141 | 9.951 (0.003) ** | 0.163 |
| Energy (kcal/day) | 0.039 | 2.737 (0.104) | 0.051 |
| Protein (g/day) | 0.183 | 12.948 (0.001) *** | 0.202 |
| Calcium (mg/day) | 0.027 | 1.903 (0.174) | 0.036 |
| F (p) | 9.283 (p < 0.001) | ||
| R2 adj. | 0.60 | ||
| BMC prox | |||
| PA (min/day) | 0.418 | 4.386 (0.041) * | 0.079 |
| Cole’s index | 0.002 | 0.018 (0.894) | 0.000 |
| FM (kg) | 0.008 | 0.088 (0.768) | 0.002 |
| FFM (kg) | 0.273 | 2.863 (0.097) | 0.053 |
| Past fractures (n) | 0.018 | 0.192 (0.663) | 0.004 |
| Number of meals (n/day) | 0.229 | 2.407 (0.127) | 0.045 |
| Number of dairy products (n/day) | 0.158 | 1.656 (0.204) | 0.031 |
| Energy (kcal/day) | 0.291 | 3.049 (0.087) | 0.056 |
| Protein (g/day) | 0.002 | 0.024 (0.876) | 0.000 |
| Calcium (mg/day) | 0.213 | 2.239 (0.141) | 0.042 |
| F (p) | 4.364 (p < 0.001) | ||
| R2 adj. | 0.37 | ||
| Mean Square | F (p) | η2 | |
|---|---|---|---|
| Z-score | |||
| PA (min/day) | 0.018 | 0.121 (0.729) | 0.002 |
| Cole’s index | 0.002 | 0.014 (0.906) | 0.000 |
| FM (kg) | 0.024 | 0.161 (0.690) | 0.003 |
| FFM (kg) | 0.033 | 0.226 (0.637) | 0.004 |
| Past fractures (n) | 0.628 | 4.262 (0.044) * | 0.077 |
| Number of meals (n/day) | 0.907 | 6.152 (0.016) * | 0.108 |
| Number of dairy products (n/day) | 3.076 | 20.871 (p < 0.001) *** | 0.209 |
| Energy (kcal/day) | 0.517 | 3.504 (0.067) | 0.064 |
| Protein (g/day) | 2.875 | 19.506 (p < 0.001) *** | 0.277 |
| Calcium (mg/day) | 4.711 | 31.959 (p < 0.001) *** | 0.385 |
| F (p) | 32.945 (p < 0.001) | ||
| R2 adj. | 0.85 | ||
Disclaimer/Publisher’s Note: The statements, opinions and data contained in all publications are solely those of the individual author(s) and contributor(s) and not of MDPI and/or the editor(s). MDPI and/or the editor(s) disclaim responsibility for any injury to people or property resulting from any ideas, methods, instructions or products referred to in the content. |
© 2026 by the authors. Licensee MDPI, Basel, Switzerland. This article is an open access article distributed under the terms and conditions of the Creative Commons Attribution (CC BY) license.
Share and Cite
Cieplińska, J.; Kopiczko, A. Nutrient Intake, Dairy Consumption, Past Fractures, and Lifestyle Correlates of Forearm Bone Mineral Density in Adolescent Boys with Myelomeningocele. Nutrients 2026, 18, 154. https://doi.org/10.3390/nu18010154
Cieplińska J, Kopiczko A. Nutrient Intake, Dairy Consumption, Past Fractures, and Lifestyle Correlates of Forearm Bone Mineral Density in Adolescent Boys with Myelomeningocele. Nutrients. 2026; 18(1):154. https://doi.org/10.3390/nu18010154
Chicago/Turabian StyleCieplińska, Joanna, and Anna Kopiczko. 2026. "Nutrient Intake, Dairy Consumption, Past Fractures, and Lifestyle Correlates of Forearm Bone Mineral Density in Adolescent Boys with Myelomeningocele" Nutrients 18, no. 1: 154. https://doi.org/10.3390/nu18010154
APA StyleCieplińska, J., & Kopiczko, A. (2026). Nutrient Intake, Dairy Consumption, Past Fractures, and Lifestyle Correlates of Forearm Bone Mineral Density in Adolescent Boys with Myelomeningocele. Nutrients, 18(1), 154. https://doi.org/10.3390/nu18010154

