Water-Soluble Cellulose Acetate Changes the Intestinal Microbiota in Mice with Non-Alcoholic Steatohepatitis
Abstract
1. Introduction
2. Materials and Methods
2.1. Animal Experimentation
2.2. Analysis of Blood Biochemistry
2.3. Intestinal Bacteria Analysis
2.4. Statistical Analyses
3. Results
3.1. Serum Biochemical Parameters
3.2. Intestinal Microbiota
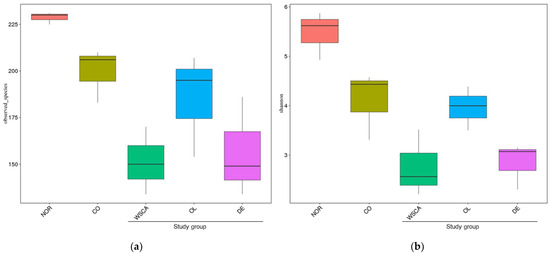
3.2.1. Alpha Diversity
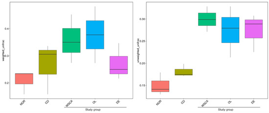
3.2.2. Beta Diversity
3.2.3. Analysis of Microbiota Composition at the Phylum Level
3.2.4. Analysis of Microbiota Composition at the Genus Level
4. Discussion
5. Conclusions
Author Contributions
Funding
Institutional Review Board Statement
Informed Consent Statement
Data Availability Statement
Acknowledgments
Conflicts of Interest
References
- Tanaka, N.; Kimura, T.; Fujimori, N.; Nagaya, T.; Komatsu, M.; Tanaka, E. Current Status, Problems, and Perspectives of Non-Alcoholic Fatty Liver Disease Research. World J. Gastroenterol. 2019, 25, 163–177. [Google Scholar] [CrossRef] [PubMed]
- Machado, M.V.; Diehl, A.M. Pathogenesis of Nonalcoholic Steatohepatitis. Gastroenterology 2016, 150, 1769–1777. [Google Scholar] [CrossRef]
- Younossi, Z.M.; Koenig, A.B.; Abdelatif, D.; Fazel, Y.; Henry, L.; Wymer, M. Global Epidemiology of Nonalcoholic Fatty Liver Disease-Meta-Analytic Assessment of Prevalence, Incidence, and Outcomes. Hepatology 2016, 64, 73–84. [Google Scholar] [CrossRef]
- Estes, C.; Anstee, Q.M.; Arias-Loste, M.T.; Bantel, H.; Bellentani, S.; Caballeria, J.; Colombo, M.; Craxi, A.; Crespo, J.; Day, C.P.; et al. Modeling NAFLD Disease Burden in China, France, Germany, Italy, Japan, Spain, United Kingdom, and United States for the Period 2016–2030. J. Hepatol. 2018, 69, 896–904. [Google Scholar] [CrossRef]
- Younossi, Z.M.; Golabi, P.; Paik, J.M.; Henry, A.; Van Dongen, C.; Henry, L. The global epidemiology of nonalcoholic fatty liver disease (NAFLD) and nonalcoholic steatohepatitis (NASH): A systematic review. Hepatology 2023, 77, 1335–1347. [Google Scholar] [CrossRef] [PubMed]
- Day, C.P.; James, O.F. Steatohepatitis: A Tale of Two “Hits”? Gastroenterology 1998, 114, 842–845. [Google Scholar] [CrossRef] [PubMed]
- Tilg, H.; Moschen, A.R. Evolution of Inflammation in Nonalcoholic Fatty Liver Disease: The Multiple Parallel Hits Hypothesis. Hepatology 2010, 52, 1836–1846. [Google Scholar] [CrossRef] [PubMed]
- Tilg, H.; Adolph, T.E.; Moschen, A.R. Multiple Parallel Hits Hypothesis in Nonalcoholic Fatty Liver Disease: Revisited after a Decade. Hepatology 2021, 73, 833–842. [Google Scholar] [CrossRef]
- Zhu, L.; Baker, S.S.; Gill, C.; Liu, W.; Alkhouri, R.; Baker, R.D.; Gill, S.R. Characterization of Gut Microbiomes in Nonalcoholic Steatohepatitis (NASH) Patients: A Connection between Endogenous Alcohol and NASH. Hepatology 2013, 57, 601–609. [Google Scholar] [CrossRef] [PubMed]
- Markowiak-Kopeć, P.; Śliżewska, K. The Effect of Probiotics on the Production of Short-Chain Fatty Acids by Human Intestinal Microbiome. Nutrients 2020, 12, 1107. [Google Scholar] [CrossRef] [PubMed]
- Guan, Z.W.; Yu, E.Z.; Feng, Q. Soluble Dietary Fiber, One of the Most Important Nutrients for the Gut Microbiota. Molecules 2021, 26, 6802. [Google Scholar] [CrossRef] [PubMed]
- Zhu, Y.; Yang, H.; Zhang, Y.; Rao, S.; Mo, Y.; Zhang, H.; Liang, S.; Zhang, Z.; Yang, W. Dietary Fiber Intake and Non-Alcoholic Fatty Liver Disease: The Mediating Role of Obesity. Front. Public Health 2022, 10, 1038435. [Google Scholar] [CrossRef] [PubMed]
- Shimamoto, S.; Nakamura, T.; Ukita, S.; Nakamura, T.; Yamauchi, R.; Kobayashi, H. Nutrient Composition Having Lipid Metabolism-Improving. Action. Patent No. WO2015093067A1, 25 June 2015. [Google Scholar]
- Iida, A.; Yamauchi, R.; Kobayashi, H.; Uchida, M.; Shimamoto, S.; Kitagaki, H.; Nakamura, T. Water Soluble Cellulose Acetate Improve Alteration of the Intestinal Flora and Symptoms Associated with NAFLD/NASH in Mice. J. Jpn. Soc. Med. Use Funct. Foods 2020, 14, 736–781. (In Japanese) [Google Scholar]
- Iida, A.; Kuranuki, S.; Yamamoto, R.; Uchida, M.; Ohta, M.; Ichimura, M.; Tsuneyama, K.; Masaki, T.; Seike, M.; Nakamura, T. Analysis of Amino Acid Profiles of Blood over Time and Biomarkers Associated with Non-Alcoholic Steatohepatitis in STAM Mice. Exp. Anim. 2019, 68, 417–428. [Google Scholar] [CrossRef] [PubMed]
- Tarantino, G.; Finelli, C. What about non-alcoholic fatty liver disease as a new criterion to define metabolic syndrome? World J. Gastroenterol. 2013, 19, 3375–3384. [Google Scholar] [CrossRef]
- Kim, H.; Lee, D.S.; An, T.H.; Park, H.-J.; Kim, W.K.; Bae, K.-H.; Oh, K.-J. Metabolic Spectrum of Liver Failure in Type 2 Diabetes and Obesity: From NAFLD to NASH to HCC. Int. J. Mol. Sci. 2021, 22, 4495. [Google Scholar] [CrossRef] [PubMed]
- Wang, Q.; Wang, Z.; Pang, B.; Zheng, H.; Cao, Z.; Feng, C.; Ma, W.; Wei, J. Probiotics for the Improvement of Metabolic Profiles in Patients with Metabolic-Associated Fatty Liver Disease: A Systematic Review and Meta-Analysis of Randomized Controlled Trials. Front. Endocrinol. 2022, 13, 1014670. [Google Scholar] [CrossRef]
- Finn, D.R. A Metagenomic Alpha-Diversity Index for Microbial Functional Biodiversity. FEMS Microbiol. Ecol. 2024, 100, fiae019. [Google Scholar] [CrossRef]
- Willis, A.D. Rarefaction, Alpha Diversity, and Statistics. Front. Microbiol. 2019, 10, 2407. [Google Scholar] [CrossRef] [PubMed]
- Heiman, M.L.; Greenway, F.L. A Healthy Gastrointestinal Microbiome Is Dependent on Dietary Diversity. Mol. Metab. 2016, 5, 317–320. [Google Scholar] [CrossRef] [PubMed]
- Belizário, J.E.; Faintuch, J. Microbiome and Gut Dysbiosis. Exp. Suppl. 2018, 109, 459–476. [Google Scholar] [PubMed]
- Cantu-Jungles, T.M.; Hamaker, B.R. Turning Expectations to Reality: Don’t Expect Increased Gut Microbiota Diversity with Dietary Fiber. J. Nutr. 2023, 153, 3156–3163. [Google Scholar] [CrossRef]
- Imdad, S.; So, B.; Jang, J.; Park, J.; Lee, S.J.; Kim, J.H.; Kang, C. Temporal Variations in the Gut Microbial Diversity in Response to High-Fat Diet and Exercise. Sci. Rep. 2024, 14, 3282. [Google Scholar] [CrossRef]
- Guo, J.; Han, X.; Zhan, J.; You, Y.; Huang, W. Vanillin Alleviates High Fat Diet-Induced Obesity and Improves the Gut Microbiota Composition. Front. Microbiol. 2018, 9, 2733. [Google Scholar] [CrossRef] [PubMed]
- Campbell, C.L.; Yu, R.; Li, F.; Zhou, Q.; Chen, D.; Qi, C.; Yin, Y.; Sun, J. Modulation of Fat Metabolism and Gut Microbiota by Resveratrol on High-Fat Diet-Induced Obese Mice. Diabetes Metab. Syndr. Obes. 2019, 12, 97–107. [Google Scholar] [CrossRef]
- Han, L.; Li, T.; Du, M.; Chang, R.; Zhan, B.; Mao, X. Beneficial Effects of Potentilla Discolor Bunge Water Extract on Inflammatory Cytokines Release and Gut Microbiota in High-Fat Diet and Streptozotocin-Induced Type 2 Diabetic Mice. Nutrients 2019, 11, 670. [Google Scholar] [CrossRef]
- Harte, A.L.; da Silva, N.F.; Creely, S.J.; McGee, K.C.; Billyard, T.; Youssef-Elabd, E.M.; Tripathi, G.; Ashour, E.; Abdalla, M.S.; Sharada, H.M.; et al. Elevated endotoxin levels in non-alcoholic fatty liver disease. J. Inflamm. 2010, 7, 1–10. [Google Scholar] [CrossRef] [PubMed]
- Zhang, Y.; Duan, X.; Wassie, T.; Wang, H.H.; Li, T.; Xie, C.; Wu, X. Enteromorpha prolifera Polysaccharide-Zinc Complex Modulates the Immune Response and Alleviates Lps-Induced Intestinal Inflammation via Inhibiting the Tlr4/Nf-Κb Signaling Pathway. Food Funct. 2022, 13, 52–63. [Google Scholar] [CrossRef]
- Martin, C.R.; Osadchiy, V.; Kalani, A.; Mayer, E.A. The Brain-Gut-Microbiome Axis. Cell. Mol. Gastroenterol. Hepatol. 2018, 6, 133–148. [Google Scholar] [CrossRef]
- Tolhurst, G.; Heffron, H.; Lam, Y.S.; Parker, H.E.; Habib, A.M.; Diakogiannaki, E.; Cameron, J.; Grosse, J.; Reimann, F.; Gribble, F.M. Short-Chain Fatty Acids Stimulate Glucagon-Like Peptide-1 Secretion Via the G-Protein-Coupled Receptor Ffar2. Diabetes 2012, 61, 364–371. [Google Scholar] [CrossRef] [PubMed]
- Drucker, D.J.; Habener, J.F.; Holst, J.J. Discovery, Characterization, and Clinical Development of the Glucagon-Like Peptides. J. Clin. Invest. 2017, 127, 4217–4227. [Google Scholar] [CrossRef]
- Andersen, A.; Lund, A.; Knop, F.K.; Vilsbøll, T. Glucagon-Like Peptide 1 in Health and Disease. Nat. Rev. Endocrinol. 2018, 14, 390–403. [Google Scholar] [CrossRef] [PubMed]
- Genda, T.; Kondo, T.; Sugiura, S.; Hino, S.; Shimamoto, S.; Nakamura, T.; Ukita, S.; Morita, T. Bacterial Fermentation of Water-Soluble Cellulose Acetate Raises Large-Bowel Acetate and Propionate and Decreases Plasma Cholesterol Concentrations in Rats. J. Agric. Food Chem. 2018, 66, 11909–11916. [Google Scholar] [CrossRef]
- Ozato, N.; Saito, S.; Yamaguchi, T.; Katashima, M.; Tokuda, I.; Sawada, K.; Katsuragi, Y.; Kakuta, M.; Imoto, S.; Ihara, K.; et al. Blautia Genus Associated with Visceral Fat Accumulation in Adults 20–76 Years of Age. NPJ Biofilms Microbiomes 2019, 5, 28. [Google Scholar] [CrossRef] [PubMed]
- Dao, M.C.; Everard, A.; Aron-Wisnewsky, J.; Sokolovska, N.; Prifti, E.; Verger, E.O.; Kayser, B.D.; Levenez, F.; Chilloux, J.; Hoyles, L.; et al. Akkermansia muciniphila and Improved Metabolic Health During a Dietary Intervention in Obesity: Relationship with Gut Microbiome Richness and Ecology. Gut 2016, 65, 426–436. [Google Scholar] [CrossRef] [PubMed]
- Zhang, X.; Shen, D.; Fang, Z.; Jie, Z.; Qiu, X.; Zhang, C.; Chen, Y.; Ji, L. Human Gut Microbiota Changes Reveal the Progression of Glucose Intolerance. PLoS ONE 2013, 8, e71108. [Google Scholar] [CrossRef]
- Alcazar, M.; Escribano, J.; Ferré, N.; Closa-Monasterolo, R.; Selma-Royo, M.; Feliu, A.; Castillejo, G.; Luque, V.; Obemat2.0 Study Group. Gut microbiota is associated with metabolic health in children with obesity. Clin. Nutr. 2022, 41, 1680–1688. [Google Scholar] [CrossRef] [PubMed]
- Goodrich, J.K.; Waters, J.L.; Poole, A.C.; Sutter, J.L.; Koren, O.; Blekhman, R.; Beaumont, M.; Van Treuren, W.; Knight, R.; Bell, J.T.; et al. Human Genetics Shape the Gut Microbiome. Cell 2014, 159, 789–799. [Google Scholar] [CrossRef] [PubMed]
- Chen, T.; Long, W.; Zhang, C.; Liu, S.; Zhao, L.; Hamaker, B.R. Fiber-utilizing capacity varies in Prevotella- versus Bacteroides-dominated gut microbiota. Sci. Rep. 2017, 7, 2594. [Google Scholar] [CrossRef] [PubMed]











| Components | STAM (High Fat Diet [HFD32]) | |||
|---|---|---|---|---|
| Control | WSCA | DE | OL | |
| Milk casein | 24.5 | 24.5 | 24.5 | 24.5 |
| Powdered albumen | 5.0 | 5.0 | 5.0 | 5.0 |
| L-cystine | 0.43 | 0.43 | 0.43 | 0.43 |
| Powdered beef tallow (containing 80% beef tallow) | 15.88 | 15.88 | 15.88 | 15.88 |
| Safflower oil (high-oleic type) | 20.0 | 20.0 | 20.0 | 20.0 |
| Cellulose | 5.5 | 2.5 | 2.5 | 2.5 |
| Water-soluble cellulose acetate | - | 3.0 | - | - |
| Indigestible dextrin | - | - | 3.0 | - |
| Fructo-oligosaccharide | - | - | - | 3.0 |
| Maltodextrin | 8.25 | 8.25 | 8.25 | 8.25 |
| Lactose | 6.928 | 6.928 | 6.928 | 6.928 |
| Sucrose | 6.75 | 6.75 | 6.75 | 6.75 |
| AIN-93G mineral mixture | 5.0 | 5.0 | 5.0 | 5.0 |
| AIN-93 vitamin mixture | 1.4 | 1.4 | 1.4 | 1.4 |
| Choline hydrogen tartrate | 0.36 | 0.36 | 0.36 | 0.36 |
| t-Butylhydroquinone | 0.002 | 0.002 | 0.002 | 0.002 |
| Total | 100.000 | 100.000 | 100.000 | 100.000 |
| Normal | STAM | ||||||||||||||
|---|---|---|---|---|---|---|---|---|---|---|---|---|---|---|---|
| Control | WSCA | DE | OL | ||||||||||||
| Number of Mice | 6 | 6 * | 5 | 6 | 6 | ||||||||||
| AST (U/L) | 73.2 | ± | 22.0 a | 303.2 | ± | 51.5 b | 209.6 | ± | 24.4 ab | 290.2 | ± | 58.6 ab | 280.0 | ± | 67.4 ab |
| ALT (U/L) | 34.2 | ± | 11.9 a | 123.7 | ± | 17.1 b | 84.2 | ± | 10.7 ab | 126.2 | ± | 21.5 b | 123.3 | ± | 25.0 b |
| TG (mg/dL) | 120.7 | ± | 13.3 | 197.4 | ± | 99.2 | 263.6 | ± | 99.7 | 220.8 | ± | 54.3 | 348.7 | ± | 81.4 |
| TCHO (mg/dL) | 105.2 | ± | 9.8 a | 157.5 | ± | 11.3 ab | 159.6 | ± | 31.4 ab | 201.0 | ± | 12.9 bc | 240.2 | ± | 14.8 c |
| GLU (mg/dL) | 158.7 | ± | 23.7 a | 599.0 | ± | 53.3 bc | 444.6 | ± | 86.0 b | 662.7 | ± | 61.1 bc | 710.0 | ± | 39.3 c |
Disclaimer/Publisher’s Note: The statements, opinions and data contained in all publications are solely those of the individual author(s) and contributor(s) and not of MDPI and/or the editor(s). MDPI and/or the editor(s) disclaim responsibility for any injury to people or property resulting from any ideas, methods, instructions or products referred to in the content. |
© 2025 by the authors. Licensee MDPI, Basel, Switzerland. This article is an open access article distributed under the terms and conditions of the Creative Commons Attribution (CC BY) license (https://creativecommons.org/licenses/by/4.0/).
Share and Cite
Iida, A.; Takahashi, E.; Kuranuki, S.; Shimamoto, S.; Nakamura, T.; Kitagaki, H. Water-Soluble Cellulose Acetate Changes the Intestinal Microbiota in Mice with Non-Alcoholic Steatohepatitis. Nutrients 2025, 17, 500. https://doi.org/10.3390/nu17030500
Iida A, Takahashi E, Kuranuki S, Shimamoto S, Nakamura T, Kitagaki H. Water-Soluble Cellulose Acetate Changes the Intestinal Microbiota in Mice with Non-Alcoholic Steatohepatitis. Nutrients. 2025; 17(3):500. https://doi.org/10.3390/nu17030500
Chicago/Turabian StyleIida, Ayaka, Ena Takahashi, Sachi Kuranuki, Shu Shimamoto, Tsuyoshi Nakamura, and Hiroshi Kitagaki. 2025. "Water-Soluble Cellulose Acetate Changes the Intestinal Microbiota in Mice with Non-Alcoholic Steatohepatitis" Nutrients 17, no. 3: 500. https://doi.org/10.3390/nu17030500
APA StyleIida, A., Takahashi, E., Kuranuki, S., Shimamoto, S., Nakamura, T., & Kitagaki, H. (2025). Water-Soluble Cellulose Acetate Changes the Intestinal Microbiota in Mice with Non-Alcoholic Steatohepatitis. Nutrients, 17(3), 500. https://doi.org/10.3390/nu17030500

