Effects of High-Protein Nutritional Guidance on Sarcopenia-Related Parameters in Individuals Aged ≥ 75 Years with Type 2 Diabetes: An Exploratory Single-Arm Pre–Post Intervention Study
Abstract
1. Introduction
2. Materials and Methods
2.1. Study Population
2.2. Study Designs and Ethical Considerations
2.3. Intervention and Follow-Up Schedule
2.4. Outcomes and Assessments
- Low muscle mass: SMI < 7.0 kg/m2 for men and <5.7 kg/m2 for women, measured by bioelectrical impedance analysis (InBody 770; InBody Co., Ltd., Seoul, Republic of Korea).
- Low muscle strength: Grip strength < 28 kg for men and <18 kg for women, assessed using a digital handgrip dynamometer (Smedley Hand Dynamometer®; Saehan Corporation, Changwon, Republic of Korea). Each measurement was performed three times within a 5 min interval, and the maximum value was recorded.
- Slow gait speed: <1.0 m/s, evaluated using the 6 m usual gait speed test recommended by AWGS 2019.
- Branched-chain amino acids (BCAAs): valine, leucine, isoleucine;
- Aromatic amino acids (AAAs): phenylalanine, tyrosine, tryptophan;
- Glucogenic amino acids: alanine, serine, glycine, glutamine, etc.;
- Sulfur-containing amino acids: cysteine and methionine;
- Others: amino acids not included in the above categories.
2.5. Statistical Analysis
2.6. Principal Component Analysis (PCA) of Δ AAs
3. Results
3.1. Participant Flow and Baseline Characteristics
3.2. Nutritional Intake and Adherence
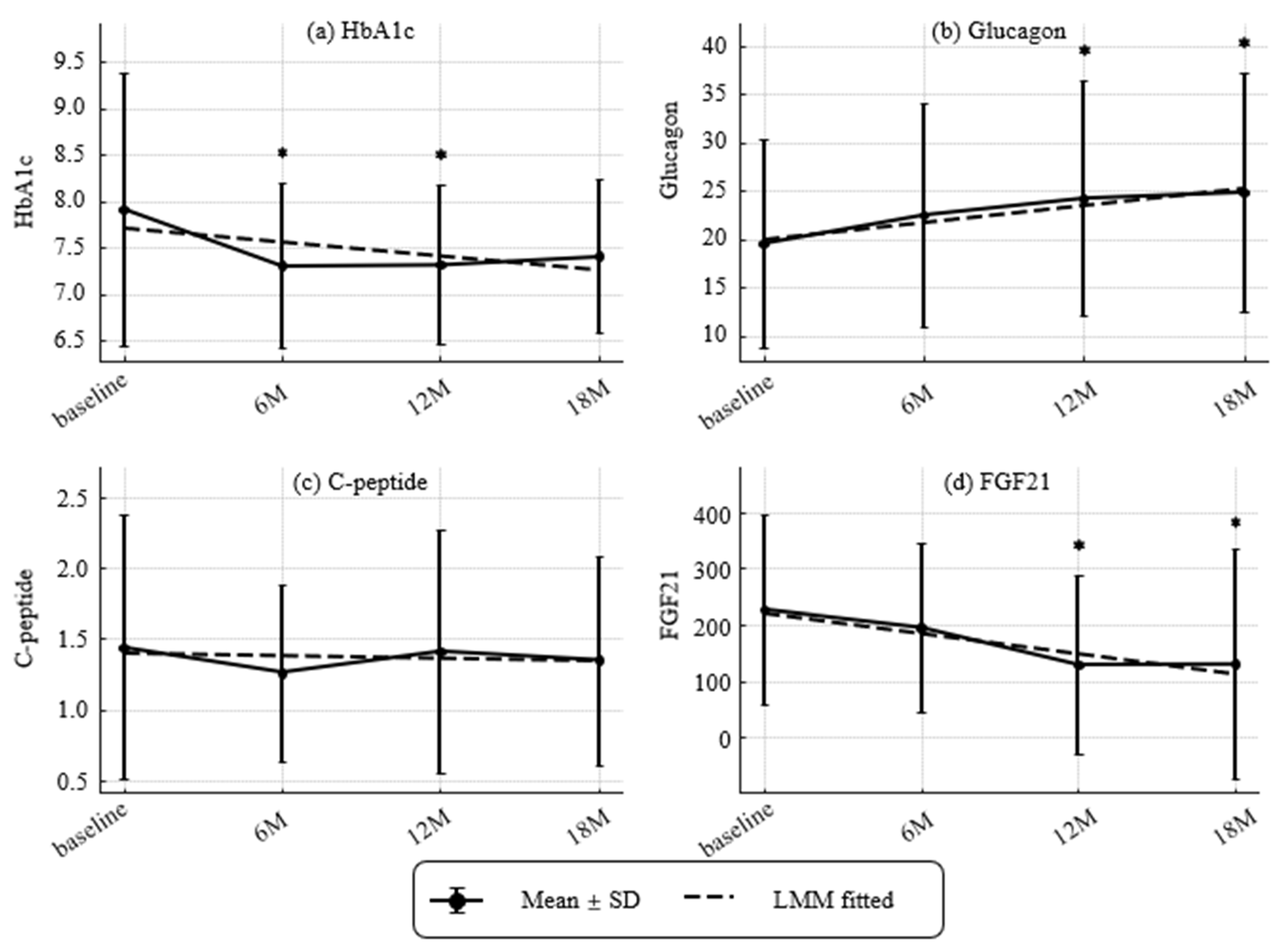
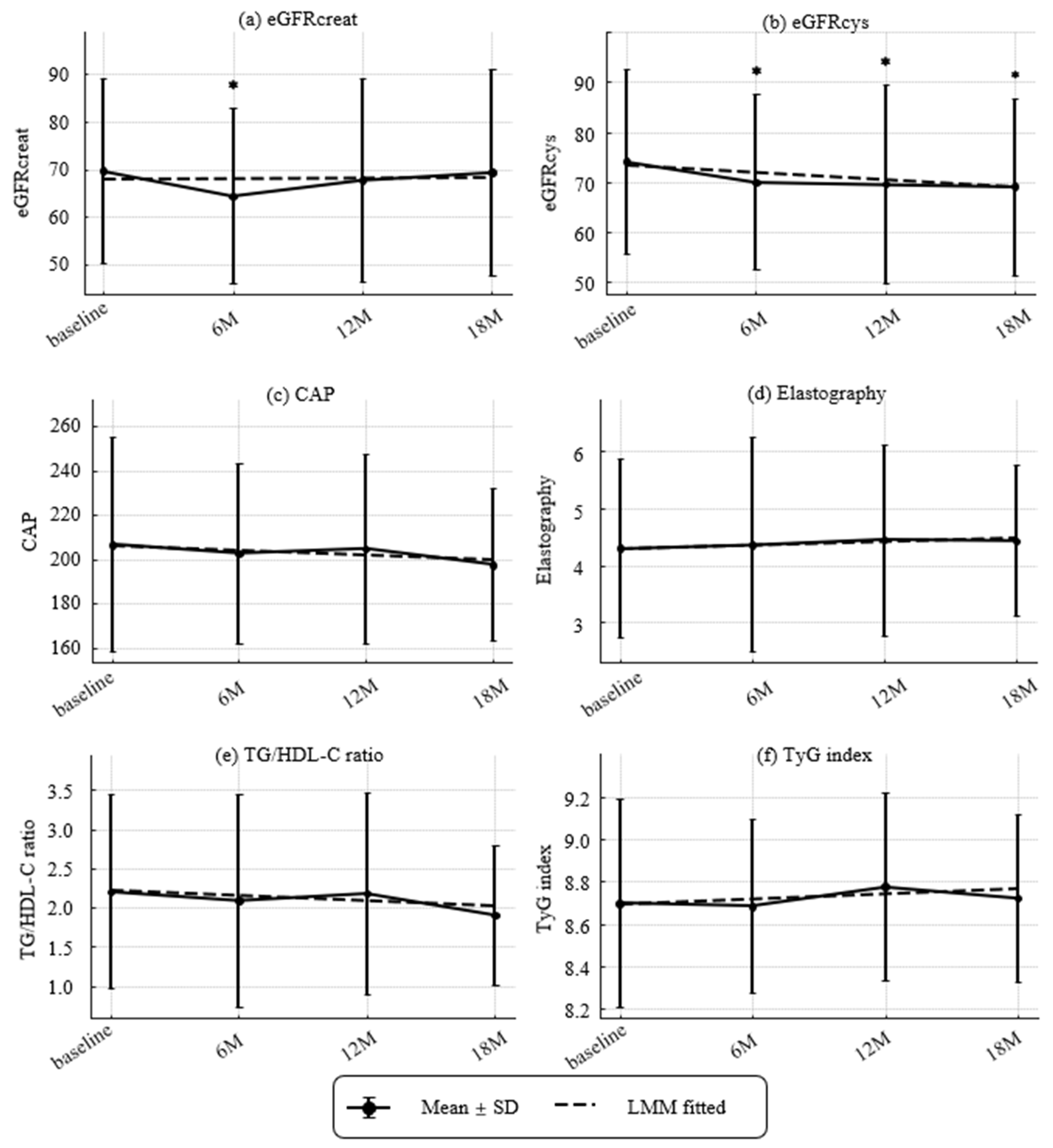
3.3. Changes in Sarcopenia-Related Indices, Organ/Metabolic Parameters, and Metabolic Hormones
3.4. Baseline Associations of AAs and Hormones with Sarcopenia-Related Indices
Cross-Sectional Associations at Baseline Are Shown in Table 3
| AAs | Univariate Analysis | Multivariate Analysis | ||||
|---|---|---|---|---|---|---|
| Non-Adjusted | Adjusted for Age and Sex | |||||
| r | P (r) | Partial_r | P (Partial_r) | Beta (95% CI) | P (Beta) | |
| (a) Relationship between skeletal mass index (SMI) and amino acids (AAs) | ||||||
| Val | 0.31 | 0.039 | 0.07 | 0.633 | 0.00 (−0.01–0.01) | 0.642 |
| Leu | 0.36 | 0.016 | 0.17 | 0.269 | 0.01 (−0.01–0.02) | 0.281 |
| Ile | 0.35 | 0.021 | 0.16 | 0.293 | 0.01 (−0.01–0.02) | 0.305 |
| Tyr | −0.16 | 0.290 | −0.07 | 0.642 | −0.01 (−0.03–0.02) | 0.650 |
| Phe | 0.26 | 0.089 | 0.23 | 0.137 | 0.02 (−0.01–0.05) | 0.146 |
| Trp | 0.04 | 0.787 | −0.09 | 0.566 | −0.01 (−0.04–0.02) | 0.576 |
| Met | 0.2 | 0.191 | 0.2 | 0.187 | 0.04 (−0.02–0.09) | 0.198 |
| Cys | 0.28 | 0.066 | 0.36 | 0.018 | 0.03 (0.00–0.05) | 0.021 |
| Arg | −0.12 | 0.454 | 0.0 | 1.000 | 0.00 (−0.01–0.01) | 1.000 |
| Orn | 0.41 | 0.005 | 0.36 | 0.015 | 0.02 (0.00–0.03) | 0.018 |
| Cit | 0.16 | 0.304 | 0.22 | 0.155 | 0.02 (−0.01–0.04) | 0.166 |
| Ala | 0.24 | 0.113 | 0.26 | 0.085 | 0.00 (−0.00–0.01) | 0.093 |
| Gln | 0.02 | 0.881 | 0.08 | 0.619 | 0.00 (−0.00–0.00) | 0.628 |
| Glu | 0.41 | 0.005 | 0.35 | 0.019 | 0.02 (0.00–0.03) | 0.022 |
| Asp | 0.04 | 0.815 | −0.06 | 0.723 | −0.06 (−0.43–0.30) | 0.730 |
| Asn | 0.15 | 0.345 | 0.14 | 0.366 | 0.01 (−0.01–0.04) | 0.378 |
| Ser | −0.2 | 0.200 | −0.19 | 0.211 | −0.01 (−0.02–0.00) | 0.222 |
| Gly | 0.1 | 0.519 | 0.3 | 0.047 | 0.01 (−0.00–0.01) | 0.053 |
| His | 0.23 | 0.138 | 0.18 | 0.239 | 0.02 (−0.01–0.04) | 0.251 |
| Thr | 0.18 | 0.236 | 0.19 | 0.217 | 0.01 (−0.00–0.02) | 0.228 |
| Lys | 0.09 | 0.565 | 0.04 | 0.801 | 0.00 (−0.01–0.01) | 0.806 |
| Pro | 0.37 | 0.013 | 0.21 | 0.162 | 0.00 (−0.00–0.01) | 0.172 |
| BCAAs | 0.35 | 0.020 | 0.13 | 0.389 | 0.00 (−0.00–0.01) | 0.400 |
| Total AAs | 0.3 | 0.049 | 0.26 | 0.085 | 0.00 (−0.00–0.00) | 0.093 |
| (b) Relationship between Grip strength and amino acids (AAs) | ||||||
| Val | 0.41 | 0.005 | 0.06 | 0.710 | 0.01 (−0.03–0.05) | 0.717 |
| Leu | 0.38 | 0.012 | 0.06 | 0.707 | 0.01 (−0.04–0.06) | 0.714 |
| Ile | 0.27 | 0.078 | −0.1 | 0.514 | −0.02 (−0.10–0.05) | 0.524 |
| Tyr | −0.26 | 0.086 | −0.17 | 0.273 | −0.06 (−0.17–0.05) | 0.284 |
| Phe | 0.08 | 0.624 | −0.03 | 0.831 | −0.02 (−0.17–0.14) | 0.835 |
| Trp | 0.03 | 0.836 | −0.22 | 0.154 | −0.11 (−0.26–0.05) | 0.165 |
| Met | −0.01 | 0.964 | −0.07 | 0.639 | −0.06 (−0.33–0.21) | 0.647 |
| Cys | −0.07 | 0.667 | −0.06 | 0.706 | −0.02 (−0.14–0.10) | 0.713 |
| Arg | −0.27 | 0.072 | −0.16 | 0.300 | −0.03 (−0.09–0.03) | 0.312 |
| Orn | 0.09 | 0.543 | −0.12 | 0.428 | −0.02 (−0.09–0.04) | 0.439 |
| Cit | −0.08 | 0.601 | −0.1 | 0.519 | −0.04 (−0.15–0.08) | 0.529 |
| Ala | 0.0 | 0.997 | −0.04 | 0.819 | −0.00 (−0.02–0.01) | 0.823 |
| Gln | −0.14 | 0.354 | −0.12 | 0.449 | −0.01 (−0.02–0.01) | 0.461 |
| Glu | 0.23 | 0.135 | 0.07 | 0.637 | 0.02 (−0.06–0.09) | 0.645 |
| Asp | 0.03 | 0.854 | −0.16 | 0.309 | −0.87 (−2.64–0.89) | 0.322 |
| Asn | 0.01 | 0.958 | −0.04 | 0.778 | −0.02 (−0.15–0.11) | 0.784 |
| Ser | −0.12 | 0.447 | −0.07 | 0.660 | −0.01 (−0.07–0.05) | 0.668 |
| Gly | −0.24 | 0.112 | −0.03 | 0.840 | −0.00 (−0.03–0.02) | 0.843 |
| His | 0.15 | 0.328 | 0.06 | 0.693 | 0.03 (−0.11–0.17) | 0.700 |
| Thr | −0.05 | 0.763 | −0.11 | 0.474 | −0.02 (−0.06–0.03) | 0.484 |
| Lys | 0.06 | 0.699 | −0.03 | 0.856 | −0.00 (−0.05–0.04) | 0.859 |
| Pro | 0.25 | 0.096 | −0.08 | 0.600 | −0.01 (−0.04–0.02) | 0.609 |
| BCAAs | 0.39 | 0.010 | 0.02 | 0.887 | 0.00 (−0.02–0.02) | 0.890 |
| Total AAs | 0.06 | 0.692 | −0.08 | 0.626 | −0.00 (−0.00–0.00) | 0.634 |
| (c) Relationship between Gait speed and amino acids (AAs) | ||||||
| Val | −0.21 | 0.176 | −0.29 | 0.060 | −0.00 (−0.00–0.00) | 0.067 |
| Leu | −0.29 | 0.064 | −0.37 | 0.015 | −0.00 (−0.01–0.00) | 0.017 |
| Ile | −0.33 | 0.032 | −0.4 | 0.009 | −0.00 (−0.01–0.00) | 0.011 |
| Tyr | −0.09 | 0.554 | −0.09 | 0.553 | −0.00 (−0.01–0.00) | 0.564 |
| Phe | −0.25 | 0.111 | −0.26 | 0.092 | −0.01 (−0.01–0.00) | 0.100 |
| Trp | −0.14 | 0.392 | −0.17 | 0.290 | −0.00 (−0.01–0.00) | 0.303 |
| Met | −0.24 | 0.118 | −0.25 | 0.107 | −0.01 (−0.02–0.00) | 0.117 |
| Cys | −0.24 | 0.127 | −0.22 | 0.156 | −0.00 (−0.01–0.00) | 0.167 |
| Arg | −0.1 | 0.525 | −0.09 | 0.551 | −0.00 (−0.00–0.00) | 0.562 |
| Orn | −0.19 | 0.223 | −0.19 | 0.226 | −0.00 (−0.00–0.00) | 0.238 |
| Cit | −0.07 | 0.659 | −0.03 | 0.840 | −0.00 (−0.01–0.01) | 0.845 |
| Ala | −0.34 | 0.029 | −0.38 | 0.014 | −0.00 (−0.00–0.00) | 0.017 |
| Gln | −0.17 | 0.296 | −0.18 | 0.248 | −0.00 (−0.00–0.00) | 0.260 |
| Glu | 0.02 | 0.908 | −0.02 | 0.906 | −0.00 (−0.00–0.00) | 0.909 |
| Asp | −0.15 | 0.370 | −0.16 | 0.338 | −0.04 (−0.11–0.04) | 0.351 |
| Asn | −0.16 | 0.312 | −0.17 | 0.272 | −0.00 (−0.01–0.00) | 0.285 |
| Ser | −0.03 | 0.862 | −0.09 | 0.559 | −0.00 (−0.00–0.00) | 0.569 |
| Gly | −0.02 | 0.915 | −0.04 | 0.794 | −0.00 (−0.00–0.00) | 0.799 |
| His | −0.12 | 0.447 | −0.11 | 0.472 | −0.00 (−0.01–0.00) | 0.483 |
| Thr | −0.19 | 0.224 | −0.22 | 0.156 | −0.00 (−0.00–0.00) | 0.167 |
| Lys | −0.21 | 0.175 | −0.26 | 0.094 | −0.00 (−0.00–0.00) | 0.102 |
| Pro | −0.19 | 0.217 | −0.24 | 0.125 | −0.00 (−0.00–0.00) | 0.135 |
| BCAAs | −0.28 | 0.076 | −0.37 | 0.017 | −0.00 (−0.00–0.00) | 0.021 |
| Total AAs | −0.31 | 0.043 | −0.36 | 0.021 | −0.00 (−0.00–0.00) | 0.025 |
3.5. Longitudinal Changes in AAs
3.6. PCA and Multivariable Modeling of Changes in Sarcopenia Outcomes (Exploratory)
| Dependent Variable | Independent Variable | β | Std. β | p-Value |
|---|---|---|---|---|
| ΔnSMI | ΔGlucagon | +0.16 | +0.41 | 0.020 * |
| ΔCPR | −2.81 | −0.41 | 0.022 * | |
| PC8 | −2.46 | −0.42 | 0.005 * | |
| ΔnGrip | ΔGlucagon | −0.40 | −0.09 | 0.028 * |
| PC1 | −2.09 | −0.36 | 0.013 * | |
| PC7 | −5.28 | −0.39 | 0.026 * |
3.7. Adverse Events
4. Discussion
- Effects of the intervention on sarcopenia-related parameters;
- Renal and hepatic safety;
- Metabolic mechanisms involving hormones and amino acids;
- Clinical implications for adults aged ≥ 75 years with T2DM.
4.1. Effects of the Intervention on Sarcopenia-Related Parameters
4.2. Renal and Hepatic Safety
4.3. Metabolic Mechanisms Involving Hormones and Amino Acids
4.4. Clinical Implications for Adults Aged ≥ 75 Years with T2DM
5. Conclusions
Supplementary Materials
Author Contributions
Funding
Institutional Review Board Statement
Informed Consent Statement
Data Availability Statement
Acknowledgments
Conflicts of Interest
References
- Trierweiler, H.; Kisielewicz, G.; Jonasson, T.H.; Petterle, R.R.; Moreira, C.A.; Borba, V.Z.C. Sarcopenia: A Chronic Complication of Type 2 Diabetes Mellitus. Diabetol. Metab. Syndr. 2018, 10, 25. [Google Scholar] [CrossRef]
- Yabe, D.; Seino, Y.; Fukushima, M.; Seino, S. β Cell Dysfunction versus Insulin Resistance in the Pathogenesis of Type 2 Diabetes in East Asians. Curr. Diab. Rep. 2015, 15, 36. [Google Scholar] [CrossRef]
- Kitamura, A.; Seino, S.; Abe, T.; Nofuji, Y.; Yokoyama, Y.; Amano, H.; Nishi, M.; Taniguchi, Y.; Narita, M.; Fujiwara, Y.; et al. Sarcopenia: Prevalence, associated factors, and the risk of mortality and disability in Japanese older adults. J. Cachexia Sarcopenia Muscle 2021, 12, 30–38. [Google Scholar] [CrossRef]
- Kobayashi, A.; Hirano, K.; Okuda, T.; Ikenoue, T.; Yokoo, T.; Fukuma, S. Estimating the prevalence of chronic kidney disease in the older population using health screening data in Japan. Clin. Exp. Nephrol. 2025, 29, 276–282. [Google Scholar] [CrossRef]
- Aragon, A.A.; Tipton, K.D.; Schoenfeld, B.J. Age-related muscle anabolic resistance: Inevitable or preventable? Nutr. Rev. 2023, 81, 441–454. [Google Scholar] [CrossRef] [PubMed]
- Ko, G.J.; Obi, Y.; Tortorici, A.R.; Kalantar-Zadeh, K. Dietary Protein Intake and Chronic Kidney Disease. Curr. Opin. Clin. Nutr. Metab. Care 2017, 20, 77–85. [Google Scholar] [CrossRef] [PubMed]
- Volkert, D.; Beck, A.M.; Cederholm, T.; Cruz-Jentoft, A.; Goisser, S.; Hooper, L.; Kiesswetter, E.; Maggio, M.; Raynaud-Simon, A.; Sieber, C.C.; et al. ESPEN Guideline on Clinical Nutrition and Hydration in Geriatrics. Clin. Nutr. 2019, 38, 10–47. [Google Scholar] [CrossRef] [PubMed]
- Moyama, S.; Yamada, Y.; Makabe, N.; Fujita, H.; Araki, A.; Suzuki, A.; Seino, Y.; Shide, K.; Kimura, K.; Murotani, K.; et al. Efficacy and Safety of 6-Month High Dietary Protein Intake in Hospitalized Adults Aged 75 or Older at Nutritional Risk: An Exploratory, Randomized, Controlled Study. Nutrients 2023, 15, 2024. [Google Scholar] [CrossRef]
- Furtado, C.d.C.; Jamar, G.; Barbosa, A.C.B.; Dourado, V.Z.; do Nascimento, J.R.; de Oliveira, G.C.A.F.; Bach Hi, E.M.; de Arruda Souza, T.; Gonzalez Parada, M.J.; de Souza, F.G.; et al. Whey Protein Supplementation in Older Adults With Type 2 Diabetes Undergoing a Resistance Training Program: A Double-Blind Randomized Controlled Trial. J. Aging Phys. Act. 2024, 33, 101–113. [Google Scholar] [CrossRef]
- Cuyul-Vásquez, I.; Pezo-Navarrete, J.; Vargas-Arriagada, C.; Ortega-Díaz, C.; Sepúlveda-Loyola, W.; Hirabara, S.M.; Marzuca-Nassr, G.N. Effectiveness of Whey Protein Supplementation during Resistance Exercise Training on Skeletal Muscle Mass and Strength in Older People with Sarcopenia: A Systematic Review and Meta-Analysis. Nutrients 2023, 15, 3424. [Google Scholar] [CrossRef]
- Li, M.-L.; Zhang, F.; Luo, H.-Y.; Quan, Z.-W.; Wang, Y.-F.; Huang, L.-T.; Wang, J.-H. Improving Sarcopenia in Older Adults: A Systematic Review and Meta-Analysis of Randomized Controlled Trials of Whey Protein Supplementation with or without Resistance Training. J. Nutr. Health Aging 2024, 28, 100184. [Google Scholar] [CrossRef]
- Björkman, M.P.; Suominen, M.H.; Kautiainen, H.; Jyväkorpi, S.K.; Finne-Soveri, H.U.; Strandberg, T.E.; Pitkälä, K.H.; Tilvis, R.S. Effect of Protein Supplementation on Physical Performance in Older People With Sarcopenia—A Randomized Controlled Trial. J. Am. Med. Dir. Assoc. 2020, 21, 226–232.e1. [Google Scholar] [CrossRef] [PubMed]
- Mann, G.; Mora, S.; Madu, G.; Adegoke, O.A.J. Branched-Chain Amino Acids: Catabolism in Skeletal Muscle and Implications for Muscle and Whole-Body Metabolism. Front. Physiol. 2021, 12, 702826. [Google Scholar] [CrossRef] [PubMed]
- Kamei, Y.; Hatazawa, Y.; Uchitomi, R.; Yoshimura, R.; Miura, S. Regulation of Skeletal Muscle Function by Amino Acids. Nutrients 2020, 12, 261. [Google Scholar] [CrossRef] [PubMed]
- Kondo-Ando, M.; Seino, Y.; Morikawa, R.; Negi, K.; Todoroki, H.; Kawakami, T.; Asada, Y.; Yoshimoto, R.; Tanaka, C.; Okamoto, K.; et al. Low-Carbohydrate Diet by Staple Change Attenuates Postprandial GIP and CPR Levels in Type 2 Diabetes Patients. J. Diabetes Complicat. 2019, 33, 107415. [Google Scholar] [CrossRef]
- Ueno, S.; Seino, Y.; Hidaka, S.; Maekawa, R.; Takano, Y.; Yamamoto, M.; Hori, M.; Yokota, K.; Masuda, A.; Himeno, T.; et al. High-Protein Diet Feeding Aggravates Hyperaminoacidemia in Mice Deficient in Proglucagon-Derived Peptides. Nutrients 2022, 14, 975. [Google Scholar] [CrossRef]
- Holst, J.J.; Wewer Albrechtsen, N.J.; Pedersen, J.; Knop, F.K. Glucagon and Amino Acids Are Linked in a Mutual Feedback Cycle: The Liver–α-Cell Axis. Diabetes 2017, 66, 235–240. [Google Scholar] [CrossRef]
- Hayashi, Y.; Seino, Y. Regulation of Amino Acid Metabolism and α-Cell Proliferation by Glucagon. J. Diabetes Investig. 2018, 9, 464–472. [Google Scholar] [CrossRef]
- Seino, Y.; Murase, M.; Hayashi, Y.; Suzuki, A. Carbohydrate-Induced Weight Gain Models for Diabetes Research: Contribution of Incretins and Parasympathetic Signal. J. Diabetes Investig. 2021, 12, 9–11. [Google Scholar] [CrossRef]
- Maekawa, R.; Seino, Y.; Ogata, H.; Murase, M.; Iida, A.; Hosokawa, K.; Joo, E.; Harada, N.; Tsunekawa, S.; Hamada, Y.; et al. Chronic High-Sucrose Diet Increases Fibroblast Growth Factor 21 Production and Energy Expenditure in Mice. J. Nutr. Biochem. 2017, 49, 71–79. [Google Scholar] [CrossRef]
- Lin, Z.; Tian, H.; Lam, K.S.L.; Lin, S.; Hoo, R.C.L.; Konishi, M.; Itoh, N.; Wang, Y.; Bornstein, S.R.; Xu, A.; et al. Adiponectin Mediates the Metabolic Effects of FGF21 on Glucose Homeostasis and Insulin Sensitivity in Mice. Cell Metab. 2013, 17, 779–789. [Google Scholar] [CrossRef]
- Li, S.; Chen, J.; Wei, P.; Zou, T.; You, J. Fibroblast Growth Factor 21: A Fascinating Perspective on the Regulation of Muscle Metabolism. Int. J. Mol. Sci. 2023, 24, 16951. [Google Scholar] [CrossRef]
- Japanese Society of Nephrology. Dietary Recommendations for Non-Dialysis CKD Patients with Sarcopenia and Frailty. J. Jpn. Soc. Dial. Ther. 2019, 52, 401–431. [Google Scholar] [CrossRef]
- Chen, L.-K.; Woo, J.; Assantachai, P.; Auyeung, T.-W.; Chou, M.-Y.; Iijima, K.; Jang, H.C.; Kang, L.; Kim, M.; Kim, S.; et al. Asian Working Group for Sarcopenia: 2019 Consensus Update on Sarcopenia Diagnosis and Treatment. J. Am. Med. Dir. Assoc. 2020, 21, 300–307.e2. [Google Scholar] [CrossRef]
- Kidney Disease: Improving Global Outcomes (KDIGO) CKD Work Group. KDIGO 2012 Clinical Practice Guideline for the Evaluation and Management of Chronic Kidney Disease. Kidney Int. Suppl. 2013, 3, 1–150. [Google Scholar] [CrossRef]
- Takahashi, K.; Yoshimura, Y.; Kaimoto, T.; Kunii, D.; Komatsu, T.; Yamamoto, S. Validation of a Food Frequency Questionnaire Based on Food Groups for Estimating Individual Nutrient Intake. Jpn. J. Nutr. Diet. 2001, 59, 221–232. [Google Scholar] [CrossRef]
- Japan Diabetes Society. Food Exchange List: Dietary Therapy for Diabetes, 7th ed.; Bunkodo: Tokyo, Japan, 2013. [Google Scholar]
- Duan, Y.; Tao, K.; Fang, Z.; Lu, Y. Possible Sarcopenic Screening with Disturbed Plasma Amino Acid Profile in the Elderly. BMC Geriatr. 2023, 23, 427. [Google Scholar] [CrossRef] [PubMed]
- Perkovic, V.; Jardine, M.J.; Neal, B.; Bompoint, S.; Heerspink, H.J.L.; Charytan, D.M.; Edwards, R.; Agarwal, R.; Bakris, G.; Bull, S.; et al. Canagliflozin and Renal Outcomes in Type 2 Diabetes and Nephropathy. N. Engl. J. Med. 2019, 380, 2295–2306. [Google Scholar] [CrossRef]
- Breen, L.; Phillips, S.M. Skeletal Muscle Protein Metabolism in the Elderly: Interventions to Counteract the ‘Anabolic Resistance’ of Ageing. Nutr. Metab. 2011, 8, 68. [Google Scholar] [CrossRef] [PubMed]
- Lu, Y.; Lim, W.S.; Jin, X.; Nyunt, M.S.Z.; Fulop, T.; Gao, Q.; Lim, S.C.; Larbi, A.; Ng, T.P. Lower Insulin Level Is Associated with Sarcopenia in Community-Dwelling Frail and Non-Frail Older Adults. Front. Med. 2022, 9, 971622. [Google Scholar] [CrossRef]
- Liu, Z.-J.; Zhu, C.-F. Causal Relationship between Insulin Resistance and Sarcopenia. Diabetol. Metab. Syndr. 2023, 15, 46. [Google Scholar] [CrossRef] [PubMed]
- Celis-Morales, C.A.; Petermann, F.; Steell, L.; Anderson, J.; Welsh, P.; Mackay, D.F.; Iliodromiti, S.; Lyall, D.M.; Lean, M.E.; Pell, J.P.; et al. Associations of Dietary Protein Intake with Fat-Free Mass and Grip Strength: A Cross-Sectional Study in 146,816 UK Biobank Participants. Am. J. Epidemiol. 2018, 187, 2405–2414. [Google Scholar] [CrossRef]
- Argyropoulou, D.; Geladas, N.D.; Nomikos, T.; Paschalis, V. Exercise and Nutrition Strategies for Combating Sarcopenia and Type 2 Diabetes Mellitus in Older Adults. J. Funct. Morphol. Kinesiol. 2022, 7, 48. [Google Scholar] [CrossRef] [PubMed]
- Tiedemann, A.; Sherrington, C.; Lord, S.R. Physiological and Psychological Predictors of Walking Speed in Older Community-Dwelling People. Gerontology 2005, 51, 390–395. [Google Scholar] [CrossRef]
- McGregor, R.A.; Cameron-Smith, D.; Poppitt, S.D. It Is Not Just Muscle Mass: A Review of Muscle Quality, Composition and Metabolism During Ageing as Determinants of Muscle Function and Mobility in Later Life. Longev. Healthspan. 2014, 3, 9. [Google Scholar] [CrossRef]
- Richter, M.M.; Galsgaard, K.D.; Elmelund, E.; Knop, F.K.; Suppli, M.P.; Holst, J.J.; Winther-Sørensen, M.; Kjeldsen, S.A.S.; Wewer Albrechtsen, N.J. The Liver–α-Cell Axis in Health and in Disease. Diabetes 2022, 71, 1852–1861. [Google Scholar] [CrossRef]
- Gelling, R.W.; Du, X.Q.; Dichmann, D.S.; Romer, J.; Huang, H.; Cui, L.; Obici, S.; Tang, B.; Holst, J.J.; Fledelius, C.; et al. Lower Blood Glucose, Hyperglucagonemia, and Pancreatic α-Cell Hyperplasia in Glucagon Receptor Knockout Mice. Proc. Natl. Acad. Sci. USA 2003, 100, 1438–1443. [Google Scholar] [CrossRef] [PubMed]
- Ueno, S.; Seino, Y.; Hidaka, S.; Nakatani, M.; Hitachi, K.; Murao, N.; Maeda, Y.; Fujisawa, H.; Shibata, M.; Takayanagi, T.; et al. Blockade of Glucagon Increases Muscle Mass and Alters Fiber Type Composition in Mice Deficient in Proglucagon-Derived Peptides. J. Diabetes Investig. 2023, 14, 1045–1055. [Google Scholar] [CrossRef] [PubMed]
- Yamada, M.; Kimura, Y.; Ishiyama, D.; Nishio, N.; Tanaka, T.; Ohji, S.; Otobe, Y.; Koyama, S.; Sato, A.; Suzuki, M.; et al. Plasma Amino Acid Concentrations Are Associated with Muscle Function in Older Japanese Women. J. Nutr. Health Aging 2018, 22, 819–823. [Google Scholar] [CrossRef]
- Park, S.W.; Goodpaster, B.H.; Strotmeyer, E.S.; Kuller, L.H.; Broudeau, R.; Kammerer, C.; de Rekeneire, N.; Harris, T.B.; Schwartz, A.V.; Tylavsky, F.A.; et al. Accelerated Loss of Skeletal Muscle Strength in Older Adults with Type 2 Diabetes. Diabetes Care 2007, 30, 1507–1512. [Google Scholar] [CrossRef]
- Galsgaard, K.D.; Jepsen, S.L.; Kjeldsen, S.A.S.; Pedersen, J.; Wewer Albrechtsen, N.J.; Holst, J.J. Alanine, Arginine, Cysteine, and Proline, but Not Glutamine, Are Substrates for, and Acute Mediators of, the Liver–α-Cell Axis in Female Mice. Am. J. Physiol. Endocrinol. Metab. 2020, 318, E920–E929. [Google Scholar] [CrossRef]
- Porcellati, F.; Pampanelli, S.; Rossetti, P.; Busciantella Ricci, N.; Marzotti, S.; Lucidi, P.; Santeusanio, F.; Bolli, G.B.; Fanelli, C.G. Effect of the Amino Acid Alanine on Glucagon Secretion in Non-Diabetic and Type 1 Diabetic Subjects during Hyperinsulinaemic Euglycaemia, Hypoglycaemia and Post-Hypoglycaemic Hyperglycaemia. Diabetologia 2007, 50, 422–430. [Google Scholar] [CrossRef] [PubMed]
- Zheng, L.; Wei, H.; He, P.; Zhao, S.; Xiang, Q.; Pang, J.; Peng, J. Effects of Supplementation of Branched-Chain Amino Acids to Reduced-Protein Diet on Skeletal Muscle Protein Synthesis and Degradation in the Fed and Fasted States in a Piglet Model. Nutrients 2017, 9, 17. [Google Scholar] [CrossRef] [PubMed]







| Variable | All (n = 44) | Male (n = 19) | Female (n = 25) | p-Value |
|---|---|---|---|---|
| Age (years) | 80 ± 3.8 | 81 ± 4.2 | 79 ± 3.3 | 0.158 |
| Height (cm) | 156.6 ± 9.5 | 164.3 ± 7.7 | 150.7 ± 5.8 | <0.001 * |
| Weight (kg) | 55.3 ± 11.4 | 59.2 ± 11.0 | 52.3 ± 11.0 | 0.047 * |
| BMI (kg/m2) | 22.5 ± 4.2 | 21.8 ± 2.8 | 23.0 ± 5.0 | 0.309 |
| Total Body Water (L) | 28.9 ± 5.2 | 33.1 ± 4.2 | 25.7 ± 3.2 | <0.001 * |
| Protein Mass (kg) | 7.5 ± 1.4 | 8.6 ± 1.1 | 6.7 ± 0.8 | <0.001 * |
| Fat Mass (kg) | 16.1 ± 7.3 | 14.4 ± 6.6 | 17.4 ± 7.7 | 0.167 |
| Muscle Mass (kg) | 36.9 ± 6.7 | 42.3 ± 5.4 | 32.8 ± 4.1 | <0.001 * |
| Skeletal Muscle Mass (kg) | 20.7 ± 4.2 | 24.1 ± 3.4 | 18.1 ± 2.5 | <0.001 * |
| Basal Metabolic Rate (kcal/day) | 1215 ± 150.6 | 1337 ± 123.8 | 1122 ± 92.2 | <0.001 * |
| SMI (kg/m2) | 6.2 ± 1.1 | 6.8 ± 0.8 | 5.8 ± 1.0 | <0.001 * |
| Grip Strength (kg) | 23.7 ± 6.7 | 29.3 ± 5.4 | 19.5 ± 3.8 | <0.001 * |
| Gait Speed (m/s) | 0.88 ± 0.20 | 0.87 ± 0.19 | 0.88 ± 0.20 | 0.896 |
| Barthel Index (score) | 95 ± 8 | 97 ± 5 | 94 ± 9 | 0.157 |
| Systolic BP (mmHg) | 131 ± 19.1 | 123 ± 12.3 | 138 ± 20.8 | 0.004 * |
| Diastolic BP (mmHg) | 72 ± 11.3 | 72 ± 8.8 | 73 ± 13.1 | 0.816 |
| AST (U/L) | 23 ± 9.3 | 23 ± 6.3 | 23 ± 11.2 | 0.954 |
| ALT (U/L) | 19 ± 11.7 | 20 ± 10.7 | 19 ± 12.5 | 0.705 |
| GGT (U/L) | 22 ± 13.7 | 22 ± 14.3 | 22 ± 13.5 | 0.986 |
| FIB4 Index | 2.37 ± 0.79 | 2.43 ± 0.67 | 2.33 ± 0.89 | 0.660 |
| Liver Stiffness (kPa) | 4.3 ± 1.6 | 4.5 ± 2.0 | 4.2 ± 1.2 | 0.602 |
| CAP (dB/m) | 206.5 ± 48.2 | 205.0 ± 62.9 | 207.6 ± 35.8 | 0.878 |
| Urea Nitrogen (mg/dL) | 17.4 ± 6.3 | 18.9 ± 6.2 | 16.3 ± 6.3 | 0.188 |
| Creatinine (mg/dL) | 0.75 ± 0.24 | 0.88 ± 0.23 | 0.65 ± 0.19 | <0.001 * |
| eGFRcreat (mL/min/1.73 m2) | 69.7 ± 19.4 | 66.6 ± 15.1 | 72.1 ± 22.1 | 0.337 |
| Cystatin C(mg/L) | 1.07 ± 0.27 | 1.10 ± 0.26 | 1.04 ± 0.28 | 0.453 |
| eGFRcys (mL/min/1.73 m2) | 64.1 ± 18.4 | 63.4 ± 16.1 | 64.6 ± 20.3 | 0.823 |
| Uric Acid (mg/dL) | 4.8 ± 1.2 | 5.3 ± 1.1 | 4.3 ± 1.1 | 0.003 * |
| Plasma Glucose (mg/dL) | 141 ± 34.6 | 134 ± 39.6 | 145 ± 30.3 | 0.306 |
| HbA1c (NGSP) (%) | 7.9 ± 1.5 | 7.7 ± 1.2 | 8.1 ± 1.7 | 0.466 |
| CPR (ng/mL) | 1.43 ± 0.93 | 1.54 ± 0.99 | 1.34 ± 0.90 | 0.512 |
| Glucagon (pg/mL) | 19.4 ± 10.6 | 21.9 ± 11.6 | 17.6 ± 9.6 | 0.201 |
| FGF21 (pg/mL) | 223.2 ± 168.9 | 219.5 ± 189.6 | 226.1 ± 155.4 | 0.904 |
| Triglycerides (mg/dL) | 92 ± 35.0 | 92 ± 43.7 | 92 ± 27.7 | 0.964 |
| Total Cholesterol (mg/dL) | 174 ± 34.3 | 166 ± 33.0 | 180 ± 34.5 | 0.171 |
| HDL-C (mg/dL) | 49 ± 16.4 | 44 ± 10.1 | 53 ± 19.3 | 0.056 |
| LDL-C (mg/dL) | 99 ± 26.1 | 97 ± 30.6 | 100 ± 22.6 | 0.657 |
| FFA (μEq/L) | 718.4 ± 191.3 | 685.0 ± 229.3 | 743.8 ± 156.8 | 0.344 |
| Total Protein (g/dL) | 6.9 ± 0.5 | 7.0 ± 0.4 | 6.79 ± 0.49 | 0.143 |
| Nutrient Type | Baseline Intake (Mean ± SD) | Recommended Intake (Mean ± SD) | p-Value |
|---|---|---|---|
| Protein (g/kgIBW) | 1.26 ± 0.37 | 1.41 ± 0.23 | 0.028 * |
| Energy (kcal) | 1680 ± 350 | 1640 ± 160 | 0.460 |
| Calcium (mg) | 553 ± 206 | 643 ± 50 | 0.008 * |
| Vitamin D (μg) | 7.7 ± 4.0 | 8.5 ± 0.0 | 0.200 |
| Variable | Univariate Analysis | Multivariate Analysis | ||||
|---|---|---|---|---|---|---|
| Non-Adjusted | Adjusted For Age And Sex | |||||
| r | P (r) | Partial r | P (Partial r) | β (95%CI) | P (β) | |
| (a) C-peptide (CPR)-related variables | ||||||
| BMI | 0.59 | <0.001 *** | 0.62 | <0.001 *** | 0.62 (0.35–0.87) | <0.001 *** |
| Fat Mass (kg) | 0.71 | <0.001 *** | 0.74 | <0.001 *** | 0.73 (0.51–0.95) | <0.001 *** |
| Body fat percentage (%BF) | 0.55 | <0.001 *** | 0.64 | <0.001 *** | 0.59 (0.35–0.82) | <0.001 *** |
| SMI (kg/m2) | 0.52 | <0.001 *** | 0.53 | <0.001 *** | 0.47 (0.21–0.71) | <0.001 *** |
| Grip Strength (kg) | 0.12 | 0.444 | 0.04 | 0.817 | 0.02 (−0.19–0.24) | 0.821 |
| Gait Speed (m/s) | −0.12 | 0.468 | −0.15 | 0.36 | −0.14 (−0.47–0.18) | 0.373 |
| AST (U/L) | 0.26 | 0.096 | 0.25 | 0.106 | 0.26 (−0.06–0.57) | 0.116 |
| ALT (U/L) | 0.35 | 0.023 * | 0.33 | 0.03 * | 0.34 (0.02–0.64) | 0.035 * |
| GGT (U/L) | 0.44 | 0.004 ** | 0.47 | 0.002 ** | 0.47 (0.18–0.76) | 0.002 ** |
| FIB4 Index | −0.04 | 0.81 | −0.01 | 0.943 | −0.01 (−0.33–0.31) | 0.945 |
| Urea Nitrogen (mg/dL) | 0.24 | 0.128 | 0.25 | 0.106 | 0.25 (−0.06–0.56) | 0.115 |
| Creatinine (mg/dL) | 0.53 | <0.001 *** | 0.58 | <0.001 *** | 0.51 (0.27–0.75) | <0.001 *** |
| eGFRcreat (mL/min/1.73 m2) | −0.5 | 0.001 ** | −0.54 | <0.001 *** | −0.53 (−0.81–−0.25) | <0.001 *** |
| Cystatin C (mg/L) | 0.37 | 0.017 * | 0.41 | 0.007 ** | 0.41 (0.11–0.69) | 0.008 ** |
| eGFRcys (mL/min/1.73 m2) | −0.34 | 0.029 * | −0.42 | 0.006 ** | −0.40 (−0.68–−0.11) | 0.007 ** |
| Uric Acid (mg/dL) | 0.27 | 0.09 | 0.28 | 0.078 | 0.25 (−0.03–0.53) | 0.086 |
| Plasma Glucose (mg/dL) | 0.26 | 0.097 | 0.27 | 0.088 | 0.27 (−0.049–0.58) | 0.096 |
| HbA1c (NGSP) (%) | −0.09 | 0.554 | −0.09 | 0.557 | −0.09 (−0.41–0.23) | 0.567 |
| Glucagon (pg/mL) | 0.14 | 0.366 | 0.15 | 0.352 | 0.15 (−0.17–0.46) | 0.364 |
| FGF21 (pg/mL) | 0.34 | 0.029 * | 0.34 | 0.028 * | 0.34 (0.03–0.65) | 0.032 * |
| Triglycerides (mg/dL) | 0.54 | <0.001 *** | 0.55 | <0.001 *** | 0.56 (0.28–0.83) | <0.001 *** |
| Total Cholesterol (mg/dL) | −0.25 | 0.11 | −0.23 | 0.146 | −0.23 (−0.54–0.09) | 0.156 |
| HDL-C (mg/dL) | −0.4 | 0.008 ** | −0.39 | 0.012 * | −0.38 (−0.6–−0.08) | 0.014 * |
| LDL-C (mg/dL) | −0.16 | 0.307 | −0.16 | 0.324 | −0.16 (−0.48–0.17) | 0.336 |
| FFA (μEq/L) | 0.02 | 0.92 | 0.01 | 0.946 | 0.01 (−0.31–0.3) | 0.948 |
| (b) Glucagon-related variables | ||||||
| BMI | 0.12 | 0.438 | 0.17 | 0.286 | 0.17 (−0.15–0.48) | 0.298 |
| Fat Mass (kg) | 0.21 | 0.182 | 0.28 | 0.071 | 0.28 (−0.03–0.58) | 0.078 |
| Body fat percentage (%BF) | 0.16 | 0.301 | 0.29 | 0.061 | 0.27 (−0.02–0.55) | 0.068 |
| SMI (kg/m2) | 0.17 | 0.284 | 0.1 | 0.517 | 0.09 (−0.19–0.37) | 0.528 |
| Grip Strength (kg) | 0.27 | 0.077 | 0.22 | 0.149 | 0.15 (−0.06–0.35) | 0.16 |
| Gait Speed (m/s) | 0.08 | 0.613 | 0.09 | 0.562 | 0.09 (−0.24–0.42) | 0.573 |
| AST (U/L) | −0.02 | 0.886 | −0.02 | 0.881 | −0.02 (−0.35–0.30) | 0.884 |
| ALT (U/L) | −0.05 | 0.771 | −0.05 | 0.754 | −0.05 (−0.37–0.27) | 0.76 |
| GGT (U/L) | −0.12 | 0.438 | −0.13 | 0.398 | −0.13 (−0.46–0.19) | 0.41 |
| FIB4 Index | 0.07 | 0.659 | 0.03 | 0.835 | 0.03 (−0.28–0.35) | 0.839 |
| Urea Nitrogen (mg/dL) | 0.3 | 0.052 | 0.26 | 0.088 | 0.26 (−0.04–0.57) | 0.096 |
| Creatinine (mg/dL) | 0.28 | 0.073 | 0.21 | 0.177 | 0.19 (−0.09–0.47) | 0.188 |
| eGFRcreat (mL/min/1.73 m2) | −0.19 | 0.222 | −0.16 | 0.306 | −0.16 (−0.47–0.15) | 0.318 |
| Cystatin C (mg/L) | 0.16 | 0.3 | 0.13 | 0.405 | 0.13 (−0.18–0.44) | 0.417 |
| eGFRcys (mL/min/1.73 m2) | −0.08 | 0.615 | −0.05 | 0.747 | −0.05 (−0.36–0.26) | 0.753 |
| Uric Acid (mg/dL) | 0.04 | 0.808 | −0.06 | 0.694 | −0.06 (−0.35–0.23) | 0.701 |
| Plasma Glucose (mg/dL) | −0.06 | 0.691 | −0.01 | 0.924 | −0.01 (−0.33–0.30) | 0.926 |
| HbA1c (NGSP) (%) | −0.21 | 0.168 | −0.19 | 0.213 | −0.20 (−0.51–0.12) | 0.224 |
| CPR (ng/mL) | 0.14 | 0.366 | 0.15 | 0.352 | 0.15 (−0.17–0.47) | 0.364 |
| FGF21 (pg/mL) | 0.06 | 0.722 | 0.07 | 0.649 | 0.07 (−0.25–0.40) | 0.657 |
| Triglycerides (mg/dL) | 0.12 | 0.459 | 0.13 | 0.411 | 0.13 (−0.19–0.45) | 0.423 |
| Total Cholesterol (mg/dL) | −0.01 | 0.96 | 0.02 | 0.887 | 0.02 (−0.30–0.34) | 0.89 |
| HDL-C (mg/dL) | −0.06 | 0.685 | −0.03 | 0.835 | −0.03 (−0.35–0.28) | 0.839 |
| LDL-C (mg/dL) | 0.01 | 0.931 | 0.03 | 0.853 | 0.03 (−0.30–0.36) | 0.856 |
| FFA (μEq/L) | 0.18 | 0.253 | 0.24 | 0.116 | 0.24 (−0.07–0.55) | 0.125 |
| (c) Fibroblast growth factor 21 (FGF21)-related variables | ||||||
| BMI | 0.15 | 0.322 | 0.15 | 0.347 | 0.14 (−0.17–0.46) | 0.359 |
| Fat Mass (kg) | 0.31 | 0.041 * | 0.31 | 0.045 * | 0.30 (−0.00–0.59) | 0.051 |
| Body fat percentage (%BF) | 0.23 | 0.134 | 0.23 | 0.135 | 0.21 (−0.07–0.49) | 0.145 |
| SMI (kg/m2) | 0.03 | 0.862 | 0.04 | 0.782 | 0.04 (−0.24–0.32) | 0.788 |
| Grip Strength (kg) | −0.21 | 0.168 | −0.3 | 0.05 | −0.20 (−0.39–0.00) | 0.056 |
| Gait Speed (m/s) | −0.4 | 0.009 ** | −0.42 | 0.006 ** | −0.42 (−0.71–−0.11) | 0.008 ** |
| AST (U/L) | 0.11 | 0.486 | 0.11 | 0.497 | 0.11 (−0.21–0.42) | 0.508 |
| ALT (U/L) | 0.06 | 0.716 | 0.05 | 0.738 | 0.05 (−0.26–0.37) | 0.744 |
| GGT (U/L) | 0.21 | 0.173 | 0.22 | 0.155 | 0.22 (−0.09–0.53) | 0.166 |
| FIB4 Index | −0.14 | 0.368 | −0.13 | 0.424 | −0.12 (−0.43–0.18) | 0.435 |
| Urea Nitrogen (mg/dL) | −0.01 | 0.946 | 0.0 | 0.977 | 0.00 (−0.31–0.32) | 0.977 |
| Creatinine (mg/dL) | 0.18 | 0.235 | 0.24 | 0.124 | 0.21 (−0.06–0.48) | 0.134 |
| eGFRcreat (mL/min/1.73 m2) | −0.1 | 0.507 | −0.12 | 0.428 | −0.12 (−0.43–0.19) | 0.44 |
| Cystatin C (mg/L) | 0.37 | 0.015 * | 0.4 | 0.008 ** | 0.39 (0.10–0.67) | 0.009 ** |
| eGFRcys (mL/min/1.73 m2) | −0.37 | 0.013 * | −0.42 | 0.005 ** | −0.40 (−0.67–−0.12) | 0.006 ** |
| Uric Acid (mg/dL) | 0.04 | 0.814 | 0.07 | 0.668 | 0.06 (−0.22–0.35) | 0.676 |
| Plasma Glucose (mg/dL) | −0.08 | 0.613 | −0.1 | 0.524 | −0.10 (−0.41–0.21) | 0.534 |
| HbA1c (NGSP) (%) | −0.25 | 0.102 | −0.26 | 0.09 | −0.26 (−0.57–0.05) | 0.099 |
| Glucagon (pg/mL) | 0.06 | 0.722 | 0.07 | 0.649 | 0.07 (−0.24–0.38) | 0.657 |
| CPR (ng/mL) | 0.34 | 0.029 | 0.34 | 0.028 * | 0.33 (0.02–0.63) | 0.032 * |
| Triglycerides (mg/dL) | 0.4 | 0.009 ** | 0.39 | 0.009 ** | 0.39 (0.09–0.69) | 0.011 * |
| Total Cholesterol (mg/dL) | 0.19 | 0.231 | 0.19 | 0.227 | 0.19 (−0.12–0.49) | 0.239 |
| HDL-C (mg/dL) | −0.05 | 0.773 | −0.05 | 0.767 | −0.04 (−0.35–0.26) | 0.772 |
| LDL-C (mg/dL) | 0.18 | 0.251 | 0.18 | 0.258 | 0.18 (−0.14–0.49) | 0.27 |
| FFA (μEq/L) | 0.19 | 0.226 | 0.17 | 0.262 | 0.17 (−0.13–0.47) | 0.274 |
Disclaimer/Publisher’s Note: The statements, opinions and data contained in all publications are solely those of the individual author(s) and contributor(s) and not of MDPI and/or the editor(s). MDPI and/or the editor(s) disclaim responsibility for any injury to people or property resulting from any ideas, methods, instructions or products referred to in the content. |
© 2025 by the authors. Licensee MDPI, Basel, Switzerland. This article is an open access article distributed under the terms and conditions of the Creative Commons Attribution (CC BY) license (https://creativecommons.org/licenses/by/4.0/).
Share and Cite
Todoroki, H.; Takayanagi, T.; Morikawa, R.; Asada, Y.; Hidaka, S.; Yoshino, Y.; Hiratsuka, I.; Shibata, M.; Wada, A.; Asai, S.; et al. Effects of High-Protein Nutritional Guidance on Sarcopenia-Related Parameters in Individuals Aged ≥ 75 Years with Type 2 Diabetes: An Exploratory Single-Arm Pre–Post Intervention Study. Nutrients 2025, 17, 3459. https://doi.org/10.3390/nu17213459
Todoroki H, Takayanagi T, Morikawa R, Asada Y, Hidaka S, Yoshino Y, Hiratsuka I, Shibata M, Wada A, Asai S, et al. Effects of High-Protein Nutritional Guidance on Sarcopenia-Related Parameters in Individuals Aged ≥ 75 Years with Type 2 Diabetes: An Exploratory Single-Arm Pre–Post Intervention Study. Nutrients. 2025; 17(21):3459. https://doi.org/10.3390/nu17213459
Chicago/Turabian StyleTodoroki, Hidechika, Takeshi Takayanagi, Risa Morikawa, Yohei Asada, Shihomi Hidaka, Yasumasa Yoshino, Izumi Hiratsuka, Megumi Shibata, Ayumi Wada, Shiho Asai, and et al. 2025. "Effects of High-Protein Nutritional Guidance on Sarcopenia-Related Parameters in Individuals Aged ≥ 75 Years with Type 2 Diabetes: An Exploratory Single-Arm Pre–Post Intervention Study" Nutrients 17, no. 21: 3459. https://doi.org/10.3390/nu17213459
APA StyleTodoroki, H., Takayanagi, T., Morikawa, R., Asada, Y., Hidaka, S., Yoshino, Y., Hiratsuka, I., Shibata, M., Wada, A., Asai, S., Ito, A., Kamimura, K., Fujiwara, Y., Kuwata, H., Hamamoto, Y., Seino, Y., & Suzuki, A. (2025). Effects of High-Protein Nutritional Guidance on Sarcopenia-Related Parameters in Individuals Aged ≥ 75 Years with Type 2 Diabetes: An Exploratory Single-Arm Pre–Post Intervention Study. Nutrients, 17(21), 3459. https://doi.org/10.3390/nu17213459

