Interpretable Machine Learning Identification of Dietary and Metabolic Factors for Metabolic Syndrome in Southern China: A Cross-Sectional Study
Abstract
1. Introduction
2. Materials and Methods
2.1. Data Source and Study Population
2.2. Definition of Metabolic Syndrome
2.3. Dietary Assessment
2.4. Data Preprocessing and Model Development
2.5. Performance of the ML Models
2.6. Interpretability Methods for the Optimal Models
2.7. Other Covariates
2.8. Statistical Analysis
3. Results
3.1. Characteristics of Participants
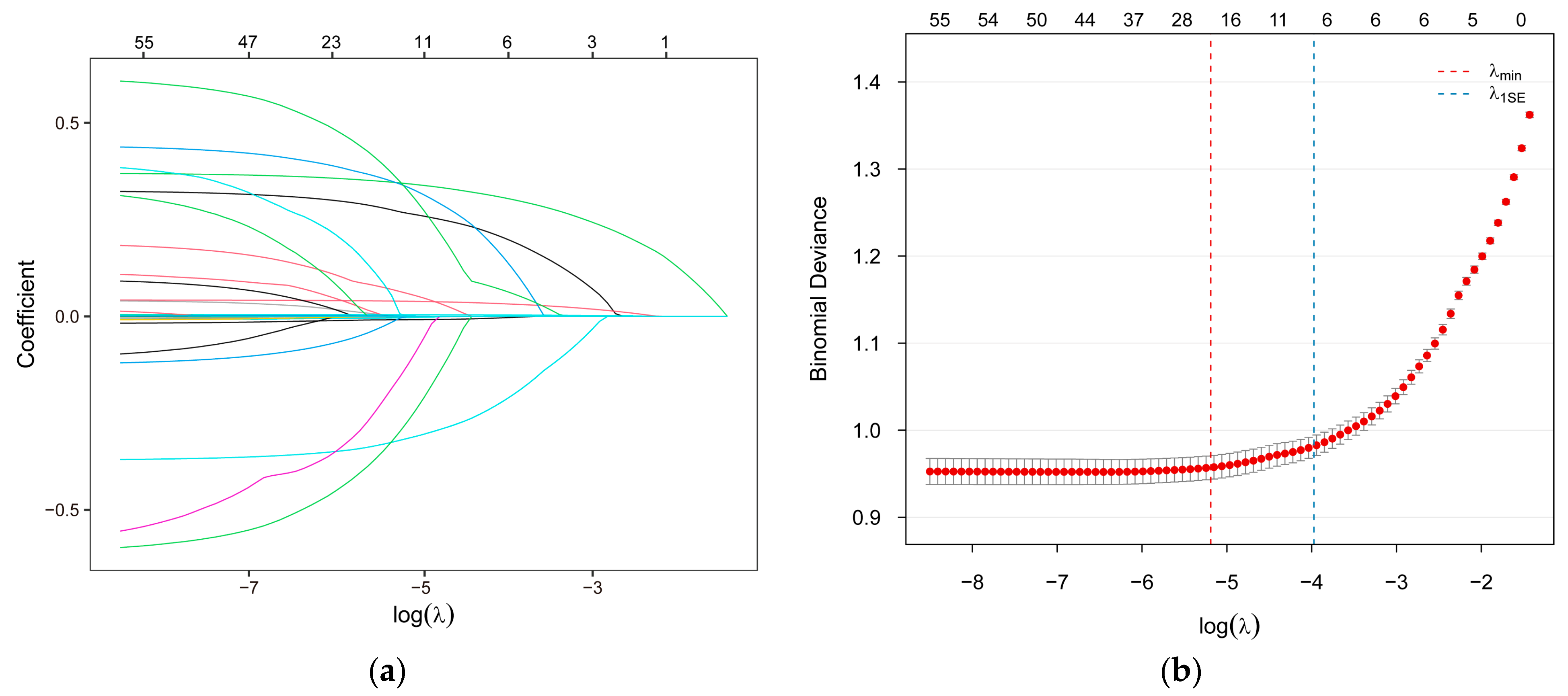
3.2. Variables Selection Using LASSO Regression
3.3. Model Evaluation and Comparison
3.4. Importance of Features Interpretation Using SHAP
4. Discussion
Limitations
5. Conclusions
Supplementary Materials
Author Contributions
Funding
Institutional Review Board Statement
Informed Consent Statement
Data Availability Statement
Acknowledgments
Conflicts of Interest
Abbreviations
| AUC | the area under the ROC curve |
| BMI | body mass index |
| CER | Classification Error Rate |
| CDS 2020 | Chinese Guideline for the Prevention and Treatment of Type 2 Diabetes |
| CNNS | China National Nutrition Surveys |
| DBP | diastolic blood pressure |
| FFQs | food frequency questionnaires |
| FPG | fasting plasma glucose |
| HbA1c | glycated hemoglobin |
| HDL-C | high-density lipoprotein cholesterol |
| KNN | K-nearest neighbors |
| LASSO | The Least Absolute Shrinkage and Selection Operator |
| LDL-C | low-density lipoprotein cholesterol |
| LightGBM | Light Gradient Boosting Machine |
| LR | Logistic Regression |
| MetS | metabolic syndrome |
| MONW | metabolically obese normal weight |
| ML | machine learning |
| NB | Naïve Bayes |
| NPV | negative predictive value |
| PCA | principal component analysis |
| PPV | positive predictive value |
| RF | Random Forest |
| SBP | systolic blood pressure |
| SHAP | Shapley Additive exPlanations |
| SMOTE | Synthetic Minority Oversampling Technique |
| SVM | Support Vector Machine |
| TC | total cholesterol |
| TG | triglycerides |
| TRIPOD | Transparent Reporting of a Multivariable Prediction Model for Individual Prognosis or Diagnosis |
| UA | uric acid |
| XGBoost | Extreme Gradient Boosting |
References
- Neeland, I.J.; Lim, S.; Tchernof, A.; Gastaldelli, A.; Rangaswami, J.; Ndumele, C.E.; Powell-Wiley, T.M.; Després, J.-P. Metabolic syndrome. Nat. Rev. Dis. Primers 2024, 10, 77. [Google Scholar] [CrossRef] [PubMed]
- Hamooya, B.M.; Siame, L.; Muchaili, L.; Masenga, S.K.; Kirabo, A. Metabolic syndrome: Epidemiology, mechanisms, and current therapeutic approaches. Front. Nutr. 2025, 12, 1661603. [Google Scholar] [CrossRef]
- Amouzegar, A.; Honarvar, M.; Masoumi, S.; Khalili, D.; Azizi, F.; Mehran, L. Trajectory patterns of metabolic syndrome severity score and risk of type 2 diabetes. J. Transl. Med. 2023, 21, 750. [Google Scholar] [CrossRef]
- Ramezankhani, A.; Azizi, F.; Hadaegh, F. Gender differences in changes in metabolic syndrome status and its components and risk of cardiovascular disease: A longitudinal cohort study. Cardiovasc. Diabetol. 2022, 21, 227. [Google Scholar] [CrossRef]
- Moghadam-Ahmadi, A.; Soltani, N.; Ayoobi, F.; Jamali, Z.; Sadeghi, T.; Jalali, N.; Vakilian, A.; Lotfi, M.A.; Khalili, P. Association between metabolic syndrome and stroke: A population based cohort study. BMC Endocr. Disord. 2023, 23, 131. [Google Scholar] [CrossRef]
- Noubiap, J.J.; Nansseu, J.R.; Lontchi-Yimagou, E.; Nkeck, J.R.; Nyaga, U.F.; Ngouo, A.T.; Tounouga, D.N.; Tianyi, F.L.; Foka, A.J.; Ndoadoumgue, A.L.; et al. Geographic distribution of metabolic syndrome and its components in the general adult population: A meta-analysis of global data from 28 million individuals. Diabetes Res. Clin. Pr. 2022, 188, 109924. [Google Scholar] [CrossRef] [PubMed]
- Liang, X.; Or, B.; Tsoi, M.F.; Cheung, C.L.; Cheung, B.M.Y. Prevalence of metabolic syndrome in the United States National Health and Nutrition Examination Survey 2011–18. Postgrad. Med. J. 2023, 99, 985–992. [Google Scholar] [CrossRef]
- Yao, F.; Bo, Y.; Zhao, L.; Li, Y.; Ju, L.; Fang, H.; Piao, W.; Yu, D.; Lao, X. Prevalence and Influencing Factors of Metabolic Syndrome among Adults in China from 2015 to 2017. Nutrients 2021, 13, 4475. [Google Scholar] [CrossRef] [PubMed]
- Lao, X.Q.; Ma, W.J.; Sobko, T.; Zhang, Y.H.; Xu, Y.J.; Xu, X.J.; Yu, D.M.; Nie, S.P.; Cai, Q.M.; Wei, X.L.; et al. Dramatic escalation in metabolic syndrome and cardiovascular risk in a Chinese population experiencing rapid economic development. BMC Public Health 2014, 14, 983. [Google Scholar] [CrossRef]
- Ambroselli, D.; Masciulli, F.; Romano, E.; Catanzaro, G.; Besharat, Z.M.; Massari, M.C.; Ferretti, E.; Migliaccio, S.; Izzo, L.; Ritieni, A.; et al. New Advances in Metabolic Syndrome, from Prevention to Treatment: The Role of Diet and Food. Nutrients 2023, 15, 640. [Google Scholar] [CrossRef]
- Guo, H.; Ding, J.; Liang, J.; Zhang, Y. Associations of Whole Grain and Refined Grain Consumption With Metabolic Syndrome. A Meta-Analysis of Observational Studies. Front. Nutr. 2021, 8, 695620. [Google Scholar] [CrossRef]
- Tappia, P.S.; Shah, A.K. Role of Macronutrients in Human Health and Disease. In Biomedical Translational Research: From Disease Diagnosis to Treatment; Springer: Berlin/Heidelberg, Germany, 2022; pp. 477–491. [Google Scholar] [CrossRef]
- Yang, W.; Jiang, W.; Guo, S. Regulation of Macronutrients in Insulin Resistance and Glucose Homeostasis during Type 2 Diabetes Mellitus. Nutrients 2023, 15, 4671. [Google Scholar] [CrossRef]
- Li, K.; Liu, C.; Kuang, X.; Deng, Q.; Zhao, F.; Li, D. Effects of Multivitamin and Multimineral Supplementation on Blood Pressure: A Meta-Analysis of 12 Randomized Controlled Trials. Nutrients 2018, 10, 1018. [Google Scholar] [CrossRef]
- Beydoun, M.A.; Chen, X.; Jha, K.; Beydoun, H.A.; Zonderman, A.B.; Canas, J.A. Carotenoids, vitamin A, and their association with the metabolic syndrome: A systematic review and meta-analysis. Nutr. Rev. 2019, 77, 32–45. [Google Scholar] [CrossRef]
- Das, S.; Choudhuri, D. Dietary calcium regulates the risk renal injury in high fat diet induced obese rats by regulating renal lipid metabolism, oxidative stress and inflammation. Arch. Physiol. Biochem. 2022, 128, 1039–1049. [Google Scholar] [CrossRef]
- Sun, Q.; Fan, Z.; Yao, F.; Zhao, X.; Jiang, M.; Yang, M.; Mao, M.; Yang, C. Association of dietary and circulating antioxidant vitamins with metabolic syndrome: An observational and Mendelian randomization study. Front. Endocrinol. 2024, 15, 1446719. [Google Scholar] [CrossRef] [PubMed]
- Mazidi, M.; Pennathur, S.; Afshinnia, F. Link of dietary patterns with metabolic syndrome: Analysis of the National Health and Nutrition Examination Survey. Nutr. Diabetes 2017, 7, e255. [Google Scholar] [CrossRef] [PubMed]
- Cai, C.; Li, H.; Zhang, L.; Li, J.; Duan, S.; Fang, Z.; Li, C.; Chen, H.; Alharbi, M.; Ye, L.; et al. Machine Learning Identification of Nutrient Intake Variations across Age Groups in Metabolic Syndrome and Healthy Populations. Nutrients 2024, 16, 1659. [Google Scholar] [CrossRef] [PubMed]
- He, Y.; Zhao, W.; Zhang, J.; Zhao, L.; Yang, Z.; Huo, J.; Yang, L.; Wang, J.; He, L.; Sun, J.; et al. Data Resource Profile: China National Nutrition Surveys. Int. J. Epidemiol. 2019, 48, 368. [Google Scholar] [CrossRef]
- Collins, G.S.; Reitsma, J.B.; Altman, D.G.; Moons, K.G. Transparent reporting of a multivariable prediction model for individual prognosis or diagnosis (TRIPOD): The TRIPOD statement. BMJ 2015, 350, g7594. [Google Scholar] [CrossRef]
- Chinese Elderly Type 2 Diabetes Prevention and Treatment of Clinical Guidelines Writing Group; Geriatric Endocrinology and Metabolism Branch of Chinese Geriatric Society; Geriatric Endocrinology and Metabolism Branch of Chinese Geriatric Health Care Society; Geriatric Professional Committee of Beijing Medical Award Foundation; National Clinical Medical Research Center for Geriatric Diseases (PLA General Hospital); Tian, H.; Li, C.; Ji, L. Clinical guidelines for prevention and treatment of type 2 diabetes mellitus in the elderly in China (2022 edition). Zhonghua Nei Ke Za Zhi 2022, 61, 12–50. [Google Scholar] [CrossRef]
- Niezen, S.; Mehta, M.; Jiang, Z.G.; Tapper, E.B. Coffee Consumption Is Associated With Lower Liver Stiffness: A Nationally Representative Study. Clin. Gastroenterol. Hepatol. 2022, 20, 2032–2040.e6. [Google Scholar] [CrossRef]
- Yang, Y.X. Chinese Food Composition Table; Peking University Medical Press: Beijing, China, 2009. [Google Scholar]
- Dablain, D.; Krawczyk, B.; Chawla, N.V. DeepSMOTE: Fusing Deep Learning and SMOTE for Imbalanced Data. IEEE Trans. Neural Netw. Learn. Syst. 2023, 34, 6390–6404. [Google Scholar] [CrossRef]
- Chen, H.; Lundberg, S.M.; Lee, S.I. Explaining a series of models by propagating Shapley values. Nat. Commun. 2022, 13, 4512. [Google Scholar] [CrossRef]
- Lee, S.; Lee, H.; Choi, J.R.; Koh, S.B. Development and Validation of Prediction Model for Risk Reduction of Metabolic Syndrome by Body Weight Control: A Prospective Population-based Study. Sci. Rep. 2020, 10, 10006. [Google Scholar] [CrossRef] [PubMed]
- Tang, X.; Liu, Q. Prediction of the development of metabolic syndrome by the Markov model based on a longitudinal study in Dalian City. BMC Public Health 2018, 18, 707. [Google Scholar] [CrossRef] [PubMed]
- De Silva, S.T.; Niriella, M.A.; Ediriweera, D.S.; Kottahachchi, D.; Kasturiratne, A.; de Silva, A.P.; Dassanayaka, A.S.; Pathmeswaran, A.; Wickramasinghe, R.; Kato, N.; et al. Incidence and risk factors for metabolic syndrome among urban, adult Sri Lankans: A prospective, 7-year community cohort, follow-up study. Diabetol. Metab. Syndr. 2019, 11, 66. [Google Scholar] [CrossRef]
- Rahmawati, N.D.; Andriani, H.; Wirawan, F.; Farsia, L.; Waits, A.; Karim Taufiqurahman, K.A. Body mass index as a dominant risk factor for metabolic syndrome among indonesian adults: A 6-year prospective cohort study of non-communicable diseases. BMC Nutr. 2024, 10, 43. [Google Scholar] [CrossRef]
- Kotsis, V.; Jordan, J.; Micic, D.; Finer, N.; Leitner, D.R.; Toplak, H.; Tokgozoglu, L.; Athyros, V.; Elisaf, M.; Filippatos, T.D.; et al. Obesity and cardiovascular risk: A call for action from the European Society of Hypertension Working Group of Obesity, Diabetes and the High-risk Patient and European Association for the Study of Obesity: Part A: Mechanisms of obesity induced hypertension, diabetes and dyslipidemia and practice guidelines for treatment. J. Hypertens. 2018, 36, 1427–1440. [Google Scholar] [CrossRef] [PubMed]
- Shi, T.H.; Wang, B.; Natarajan, S. The Influence of Metabolic Syndrome in Predicting Mortality Risk Among US Adults: Importance of Metabolic Syndrome Even in Adults With Normal Weight. Prev. Chronic Dis. 2020, 17, E36. [Google Scholar] [CrossRef]
- Cătoi, A.F.; Parvu, A.E.; Andreicut, A.D.; Mironiuc, A.; Crăciun, A.; Cătoi, C.; Pop, I.D. Metabolically Healthy versus Unhealthy Morbidly Obese: Chronic Inflammation, Nitro-Oxidative Stress, and Insulin Resistance. Nutrients 2018, 10, 1199. [Google Scholar] [CrossRef]
- Tsatsoulis, A.; Paschou, S.A. Metabolically Healthy Obesity: Criteria, Epidemiology, Controversies, and Consequences. Curr. Obes. Rep. 2020, 9, 109–120. [Google Scholar] [CrossRef] [PubMed]
- Chen, T.S.; Mi, N.N.; Lao, H.Y.; Wang, C.Y.; Lo, W.L.A.; Mao, Y.R.; Tang, Y.; Pei, Z.; Yuan, J.Q.; Huang, D.F. Investigating the nexus of metabolic syndrome, serum uric acid, and dementia risk: A prospective cohort study. BMC Med. 2024, 22, 115. [Google Scholar] [CrossRef]
- Cho, C.; Kim, B.; Kim, D.S.; Hwang, M.Y.; Shim, I.; Song, M.; Lee, Y.C.; Jung, S.H.; Cho, S.K.; Park, W.Y.; et al. Large-scale cross-ancestry genome-wide meta-analysis of serum urate. Nat. Commun. 2024, 15, 3441. [Google Scholar] [CrossRef]
- Huang, J.; Ma, Z.F.; Zhang, Y.; Wan, Z.; Li, Y.; Zhou, H.; Chu, A.; Lee, Y.Y. Geographical distribution of hyperuricemia in mainland China: A comprehensive systematic review and meta-analysis. Glob. Health Res. Policy 2020, 5, 52. [Google Scholar] [CrossRef]
- Zhang, M.; Zhu, X.; Wu, J.; Huang, Z.; Zhao, Z.; Zhang, X.; Xue, Y.; Wan, W.; Li, C.; Zhang, W.; et al. Prevalence of Hyperuricemia Among Chinese Adults: Findings From Two Nationally Representative Cross-Sectional Surveys in 2015–16 and 2018–19. Front. Immunol. 2021, 12, 791983. [Google Scholar] [CrossRef]
- Wu, M.; Zhang, W.; Shen, X.; Wang, W. Simultaneous Determination of Purines and Uric Acid in Chinese Chicken Broth Using TFA/FA Hydrolysis Coupled with HPLC-VWD. Foods 2021, 10, 2814. [Google Scholar] [CrossRef] [PubMed]
- Raya-Cano, E.; Vaquero-Abellan, M.; Molina-Luque, R.; De Pedro-Jimenez, D.; Molina-Recio, G.; Romero-Saldana, M. Association between metabolic syndrome and uric acid: A systematic review and meta-analysis. Sci. Rep. 2022, 12, 18412. [Google Scholar] [CrossRef]
- Chen, J.P.; Chen, G.C.; Wang, X.P.; Qin, L.; Bai, Y. Dietary Fiber and Metabolic Syndrome: A Meta-Analysis and Review of Related Mechanisms. Nutrients 2017, 10, 24. [Google Scholar] [CrossRef] [PubMed]
- Brownlee, I.A.; Chater, P.I.; Pearson, J.P.; Wilcox, M.D. Dietary fibre and weight loss: Where are we now? Food Hydrocoll. 2017, 68, 186–191. [Google Scholar] [CrossRef]
- Ariyarathna, P.; Mizera, P.; Walkowiak, J.; Dziedzic, K. Physicochemical and Functional Properties of Soluble and Insoluble Dietary Fibers in Whole Grains and Their Health Benefits. Foods 2025, 14, 2447. [Google Scholar] [CrossRef]
- Reynolds, A.; Mann, J.; Cummings, J.; Winter, N.; Mete, E.; Te Morenga, L. Carbohydrate quality and human health: A series of systematic reviews and meta-analyses. Lancet 2019, 393, 434–445. [Google Scholar] [CrossRef]
- Majdi, M.; Imani, H.; Bazshahi, E.; Hosseini, F.; Djafarian, K.; Lesani, A.; Akbarzade, Z.; Shab-Bidar, S. Habitual- and Meal-Specific Carbohydrate Quality Index and Their Relation to Metabolic Syndrome in a Sample of Iranian Adults. Front. Nutr. 2022, 9, 763345. [Google Scholar] [CrossRef]
- Ying, T.; Zheng, J.; Kan, J.; Li, W.; Xue, K.; Du, J.; Liu, Y.; He, G. Effects of whole grains on glycemic control: A systematic review and dose-response meta-analysis of prospective cohort studies and randomized controlled trials. Nutr. J. 2024, 23, 47. [Google Scholar] [CrossRef]
- Qorbani, M.; Seif, E.; Heshmat, R.; Ghonbalani, Z.N.; Basiry, P.; Kazemian, E.; Kelishadi, R. Association of Serum Retinol Concentrations With Metabolic Syndrome Components in Iranian Children and Adolescents: The CASPIAN-V Study. Front. Nutr. 2022, 9, 807634. [Google Scholar] [CrossRef] [PubMed]
- Sun, Q.; Guo, J. Associations between serum retinol and all-cause mortality among adults with prediabetes and diabetes: A cohort study. PLoS ONE 2024, 19, e0297552. [Google Scholar] [CrossRef] [PubMed]
- Zhang, Y.; Ding, Y.; Fan, Y.; Xu, Y.; Lu, Y.; Zhai, L.; Wang, L. Influence of biotin intervention on glycemic control and lipid profile in patients with type 2 diabetes mellitus: A systematic review and meta-analysis. Front. Nutr. 2022, 9, 1046800. [Google Scholar] [CrossRef]
- Taesuwan, S.; Vermeylen, F.; Caudill, M.A.; Cassano, P.A. Relation of choline intake with blood pressure in the National Health and Nutrition Examination Survey 2007–2010. Am. J. Clin. Nutr. 2019, 109, 648–655. [Google Scholar] [CrossRef]
- Virtanen, J.K.; Tuomainen, T.P.; Voutilainen, S. Dietary intake of choline and phosphatidylcholine and risk of type 2 diabetes in men: The Kuopio Ischaemic Heart Disease Risk Factor Study. Eur. J. Nutr. 2020, 59, 3857–3861. [Google Scholar] [CrossRef] [PubMed]
- Zhou, B.; Su, X.; Su, D.; Zeng, F.; Wang, M.H.; Huang, L.; Huang, E.; Zhu, Y.; Zhao, D.; He, D.; et al. Dietary intake of manganese and the risk of the metabolic syndrome in a Chinese population. Br. J. Nutr. 2016, 116, 853–863. [Google Scholar] [CrossRef]
- Jomova, K.; Makova, M.; Alomar, S.Y.; Alwasel, S.H.; Nepovimova, E.; Kuca, K.; Rhodes, C.J.; Valko, M. Essential metals in health and disease. Chem. Biol. Interact. 2022, 367, 110173. [Google Scholar] [CrossRef] [PubMed]
- Yang, K.; Cui, X.; Hu, Y.; Feng, X.; Chen, W.; Zhang, W.; Zhang, L.; Li, S.; Hu, Y.; Li, T.; et al. Dietary manganese supplementation decreases hepatic lipid deposition by regulating gene expression and enzyme activity involved in lipid metabolism in the liver of broilers. J. Anim. Sci. 2024, 102, skae235. [Google Scholar] [CrossRef] [PubMed]




| Model | AUC | Sensitivity | Specificity | Accuracy | PPV | NPV | F1 Score | Recall | CER |
|---|---|---|---|---|---|---|---|---|---|
| XGBoost | 0.834 | 0.798 | 0.712 | 0.729 | 0.405 | 0.935 | 0.537 | 0.798 | 0.271 |
| LightGBM | 0.831 | 0.795 | 0.693 | 0.713 | 0.389 | 0.932 | 0.522 | 0.795 | 0.287 |
| Logistic Regression | 0.825 | 0.764 | 0.713 | 0.723 | 0.395 | 0.925 | 0.521 | 0.764 | 0.277 |
| SVM | 0.824 | 0.779 | 0.717 | 0.729 | 0.404 | 0.930 | 0.532 | 0.779 | 0.271 |
| Random Forest | 0.820 | 0.749 | 0.726 | 0.731 | 0.402 | 0.922 | 0.523 | 0.749 | 0.269 |
| KNN | 0.774 | 0.785 | 0.623 | 0.655 | 0.339 | 0.922 | 0.473 | 0.785 | 0.345 |
| Naive Bayes | 0.747 | 0.855 | 0.452 | 0.532 | 0.277 | 0.927 | 0.419 | 0.855 | 0.468 |
Disclaimer/Publisher’s Note: The statements, opinions and data contained in all publications are solely those of the individual author(s) and contributor(s) and not of MDPI and/or the editor(s). MDPI and/or the editor(s) disclaim responsibility for any injury to people or property resulting from any ideas, methods, instructions or products referred to in the content. |
© 2025 by the authors. Licensee MDPI, Basel, Switzerland. This article is an open access article distributed under the terms and conditions of the Creative Commons Attribution (CC BY) license (https://creativecommons.org/licenses/by/4.0/).
Share and Cite
Meng, X.; Fang, Y.; Zhang, S.; Huang, P.; Wen, J.; Peng, J.; Yang, X.; Ji, G.; Wu, W. Interpretable Machine Learning Identification of Dietary and Metabolic Factors for Metabolic Syndrome in Southern China: A Cross-Sectional Study. Nutrients 2025, 17, 3368. https://doi.org/10.3390/nu17213368
Meng X, Fang Y, Zhang S, Huang P, Wen J, Peng J, Yang X, Ji G, Wu W. Interpretable Machine Learning Identification of Dietary and Metabolic Factors for Metabolic Syndrome in Southern China: A Cross-Sectional Study. Nutrients. 2025; 17(21):3368. https://doi.org/10.3390/nu17213368
Chicago/Turabian StyleMeng, Xi, Yiting Fang, Shuaijing Zhang, Panpan Huang, Jian Wen, Jiewen Peng, Xingfen Yang, Guiyuan Ji, and Wei Wu. 2025. "Interpretable Machine Learning Identification of Dietary and Metabolic Factors for Metabolic Syndrome in Southern China: A Cross-Sectional Study" Nutrients 17, no. 21: 3368. https://doi.org/10.3390/nu17213368
APA StyleMeng, X., Fang, Y., Zhang, S., Huang, P., Wen, J., Peng, J., Yang, X., Ji, G., & Wu, W. (2025). Interpretable Machine Learning Identification of Dietary and Metabolic Factors for Metabolic Syndrome in Southern China: A Cross-Sectional Study. Nutrients, 17(21), 3368. https://doi.org/10.3390/nu17213368

