Fecal Short-Chain Fatty Acids to Predict Prediabetes and Type 2 Diabetes Risk: An Exploratory Cross-Sectional Study
Abstract
1. Introduction
2. Materials and Methods
2.1. Study Design and Subjects
2.2. Study Procedures
2.3. Classification of Glycemic Status
2.4. Food Frequency Questionnaire
2.5. Urinary Sugar Excretion Analysis
2.6. Fecal DNA Extraction and Sequencing for Microbiota Populations Analysis
2.7. Fecal Short-Chain Fatty Acids
2.8. Statistical Analyses
3. Results
3.1. Demographic and Clinical Characteristics
3.2. Dietary Intake Patterns
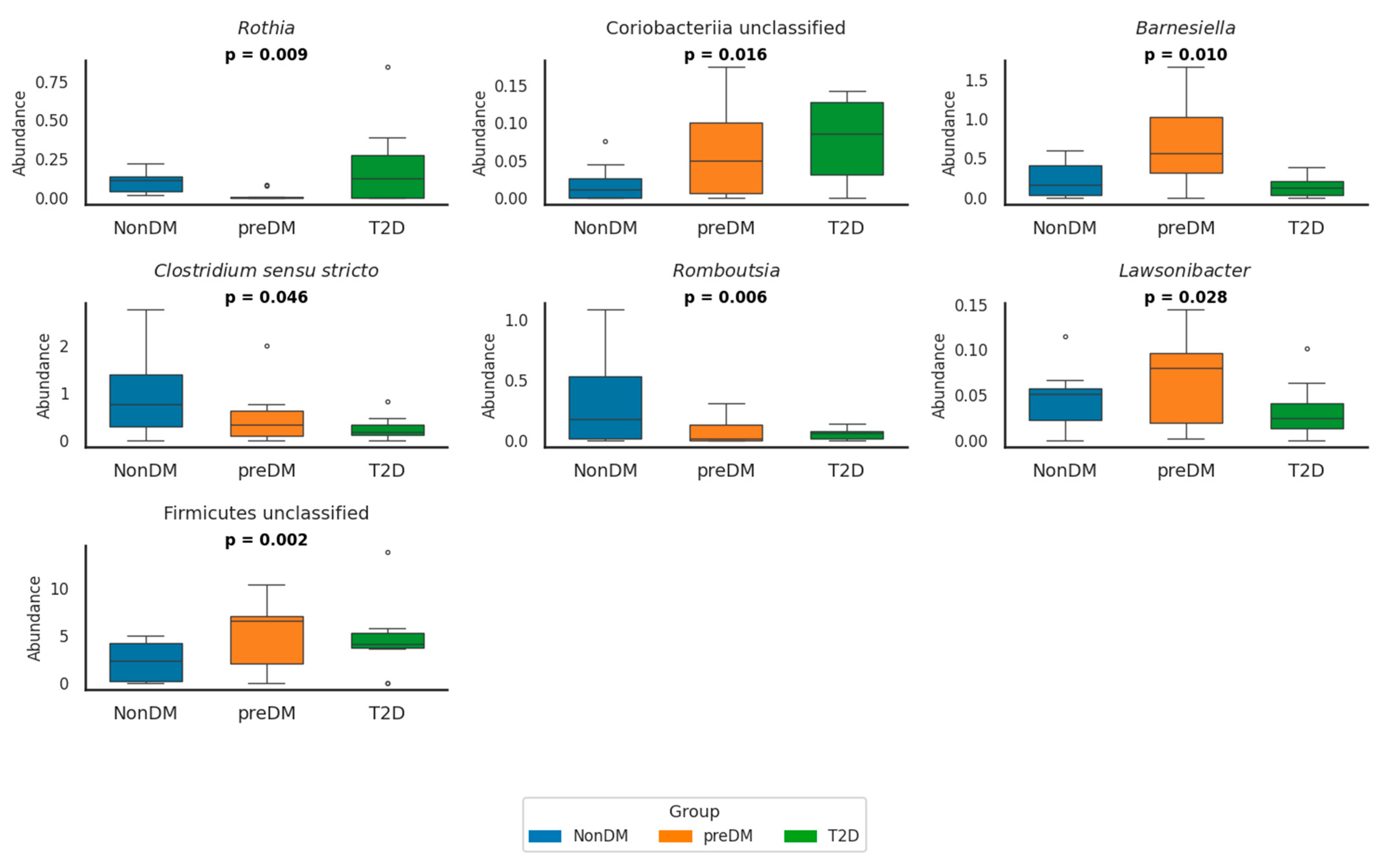
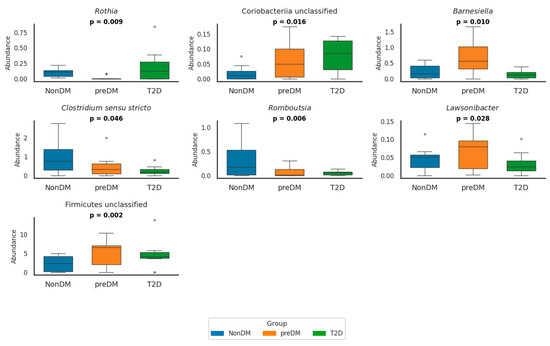
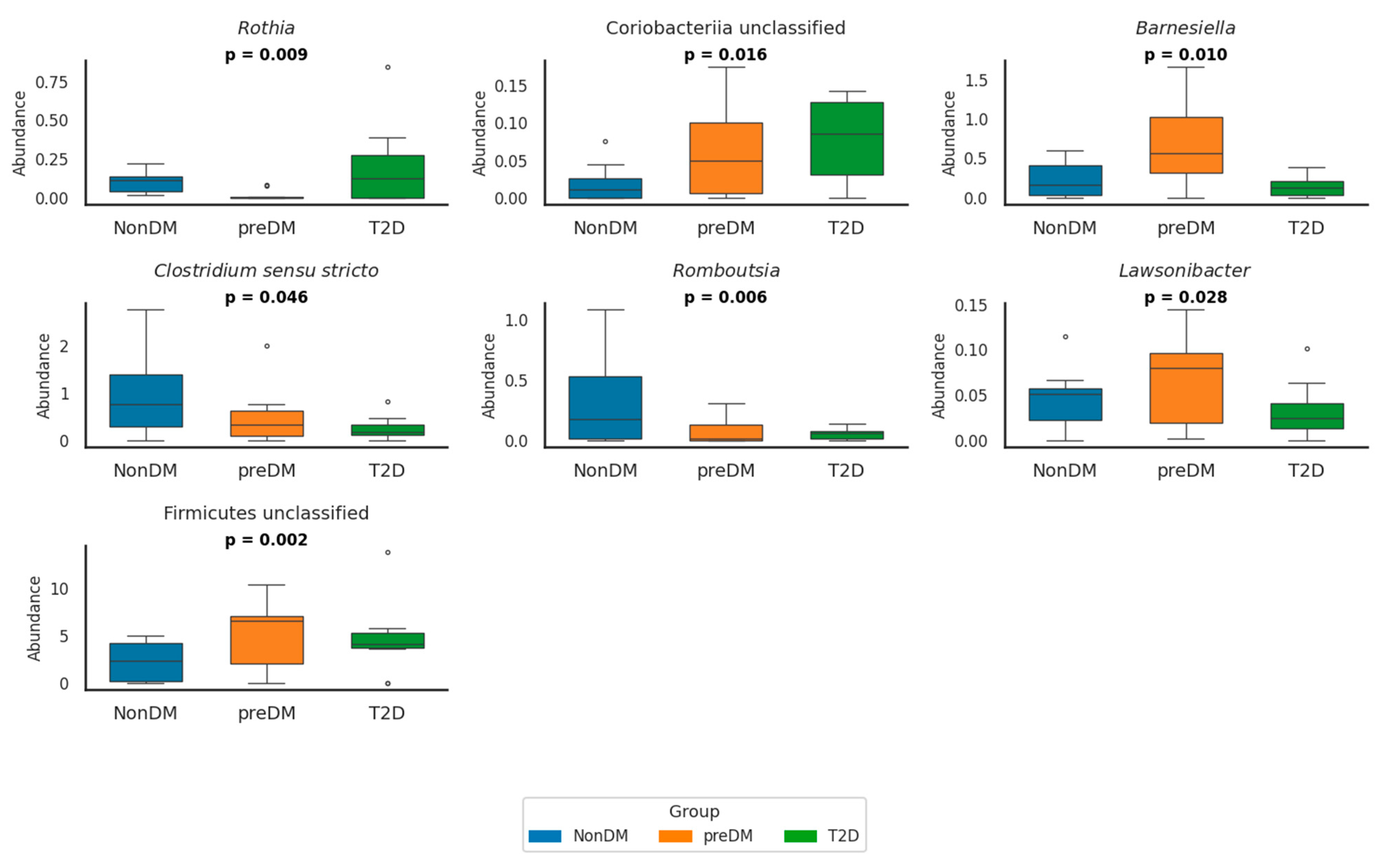
3.3. Composition of Gut Microbiota in Feces
3.4. Fecal Short-Chain Fatty Acids (SCFAs)
3.5. Correlation Between SCFAs and Gut Microbial Genera
3.6. Microbial and Metabolic Predictors of Dysglycemia
3.6.1. PreDM vs. NonDM
3.6.2. T2D vs. NonDM
3.6.3. T2D vs. PreDM
4. Discussion
5. Conclusions
Supplementary Materials
Author Contributions
Funding
Institutional Review Board Statement
Informed Consent Statement
Data Availability Statement
Acknowledgments
Conflicts of Interest
Abbreviations
| preDM | Prediabetes |
| T2D | Type 2 Diabetes |
| SCFA | Short-Chain Fatty Acids |
| NonDM | individuals with normoglycemia |
| Di@bet.es | Spanish national diabetes epidemiological study |
| OGTT | Oral Glucose Tolerance Test |
| FPG | Fasting Plasma Glucose |
| HbA1c | Glycated Hemoglobin |
| ADA | American Diabetes Association |
| FFQ | Food Frequency Questionnaire |
| GM | Gut Microbiota |
| MASLD | Metabolic dysfunction-associated steatotic liver disease |
| LDL | Low-Density Lipoprotein |
| HDL | High-Density Lipoprotein |
| AST | Aspartate Aminotransferase |
| GGT | Gamma-Glutamyl Transferase |
| FLI | Fatty Liver Index |
| 16S rRNA | 16S Ribosomal Ribonucleic Acid |
| OTU | Operational Taxonomic Unit |
| R | R statistical software |
| SD | Standard Deviation |
| CI | Confidence Interval |
References
- Hostalek, U. Global epidemiology of prediabetes—Present and future perspectives. Clin. Diabetes Endocrinol. 2019, 5, 5. [Google Scholar] [CrossRef]
- Magliano, D.J.; Boyko, E.J.; IDF Diabetes Atlas 10th Edition Scientific Committee. IDF Diabetes Atlas, 10th ed.; International Diabetes Federation: Brussels, Belgium, 2021; ISBN 9782930229980. [Google Scholar]
- Ong, K.L.; Stafford, L.K.; McLaughlin, S.A.; Boyko, E.J.; Vollset, S.E.; Smith, A.E.; Dalton, B.E.; Duprey, J.; Cruz, J.A.; Hagins, H.; et al. Global, regional, and national burden of diabetes from 1990 to 2021, with projections of prevalence to 2050: A systematic analysis for the Global Burden of Disease Study 2021. Lancet 2023, 402, 203–234. [Google Scholar] [CrossRef] [PubMed]
- Mohan, V. Lessons learned from epidemiology of type 2 diabetes in South Asians: Kelly West Award Lecture 2024. Diabetes Care 2025, 48, 153–163. [Google Scholar] [CrossRef] [PubMed]
- Malik, V.S.; Fung, T.T.; van Dam, R.M.; Rimm, E.B.; Rosner, B.; Hu, F.B. Dietary patterns during adolescence and risk of type 2 diabetes in middle-aged women. Diabetes Care 2012, 35, 12–18. [Google Scholar] [CrossRef]
- Jayedi, A.; Soltani, S.; Abdolshahi, A.; Shab-Bidar, S. Healthy and unhealthy dietary patterns and the risk of chronic disease: An umbrella review of meta-analyses of prospective cohort studies. Br. J. Nutr. 2020, 124, 1133–1144. [Google Scholar] [CrossRef] [PubMed]
- Kim, H.; Westerman, K.E.; Smith, K.; Chiou, J.; Cole, J.B.; Majarian, T.; von Grotthuss, M.; Kwak, S.H.; Kim, J.; Mercader, J.M.; et al. High-throughput genetic clustering of type 2 diabetes loci reveals heterogeneous mechanistic pathways of metabolic disease. Diabetologia 2023, 66, 495–507. [Google Scholar] [CrossRef]
- Chianelli, M.; Armellini, M.; Carpentieri, M.; Coccaro, C.; Cuttica, C.M.; Fusco, A.; Marucci, S.; Nelva, A.; Nizzoli, M.; Ponziani, M.C.; et al. Obesity in prediabetic patients: Management of metabolic complications and strategies for prevention of overt diabetes. Endocr. Metab. Immune Disord. Drug Targets 2025, 25, 8–36. [Google Scholar] [CrossRef]
- Rowland, I.; Gibson, G.; Heinken, A.; Scott, K.; Swann, J.; Thiele, I.; Tuohy, K. Gut microbiota functions: Metabolism of nutrients and other food components. Eur. J. Nutr. 2018, 57, 1–24. [Google Scholar] [CrossRef]
- Gao, Z.; Yin, J.; Zhang, J.; Ward, R.E.; Martin, R.J.; Lefevre, M.; Cefalu, W.T.; Ye, J. Butyrate improves insulin sensitivity and increases energy expenditure in mice. Diabetes 2009, 58, 1509–1517. [Google Scholar] [CrossRef]
- Ríos-Covián, D.; Ruas-Madiedo, P.; Margolles, A.; Gueimonde, M.; De los Reyes-Gavilán, C.G.; Salazar, N. Intestinal short-chain fatty acids and their link with diet and human health. Front. Microbiol. 2016, 7, 185. [Google Scholar] [CrossRef]
- Almugadam, B.S.; Liu, Y.; Chen, S.M.; Wang, C.H.; Shao, C.Y.; Ren, B.W.; Tang, L. Alterations of gut microbiota in type 2 diabetes individuals and the confounding effect of antidiabetic agents. J. Diabetes Res. 2020, 2020, 7253978. [Google Scholar] [CrossRef]
- Letchumanan, G.; Abdullah, N.; Marlini, M.; Baharom, N.; Lawley, B.; Omar, M.R.; Mohideen, F.B.S.; Addnan, F.H.; Nur Fariha, M.M.; Ismail, Z.; et al. Gut microbiota composition in prediabetes and newly diagnosed type 2 diabetes: A systematic review of observational studies. Front. Cell. Infect. Microbiol. 2022, 12, 943427. [Google Scholar] [CrossRef] [PubMed]
- Zhong, H.; Ren, H.; Lu, Y.; Fang, C.; Hou, G.; Yang, Z.; Chen, B.; Yang, F.; Zhao, Y.; Shi, Z.; et al. Distinct gut metagenomics and metaproteomics signatures in prediabetics and treatment-naïve type 2 diabetics. EBioMedicine 2019, 47, 373–383. [Google Scholar] [CrossRef] [PubMed]
- Lyu, L.; Fan, Y.; Vogt, J.K.; Clos-Garcia, M.; Bonnefond, A.; Pedersen, H.K.; Dutta, A.; Koivula, R.; Sharma, S.; Allin, K.H.; et al. The dynamics of the gut microbiota in prediabetes during a four-year follow-up among European patients—An IMI-DIRECT prospective study. Genome Med. 2025, 17, 78. [Google Scholar] [CrossRef] [PubMed]
- Seethaler, B.; Nguyen, N.K.; Basrai, M.; Kiechle, M.; Walter, J.; Delzenne, N.M.; Bischoff, S.C. Short-chain fatty acids are key mediators of the favorable effects of the Mediterranean diet on intestinal barrier integrity: Data from the randomized controlled LIBRE trial. Am. J. Clin. Nutr. 2022, 116, 928–942. [Google Scholar] [CrossRef]
- Rojo-Martínez, G.; Valdés, S.; Soriguer, F.; Vendrell, J.; Urrutia, I.; Pérez, V.; Ortega, E.; Ocón, P.; Montanya, E.; Menéndez, E.; et al. Incidence of diabetes mellitus in Spain as results of the nation-wide cohort Di@bet.es study. Sci. Rep. 2020, 10, 2765. [Google Scholar] [CrossRef]
- Soriguer, F.; Goday, A.; Bosch-Comas, A.; Bordiú, E.; Calle-Pascual, A.; Carmena, R.; Casamitjana, R.; Castaño, L.; Castell, C.; Catalá, M.; et al. Prevalence of diabetes mellitus and impaired glucose regulation in Spain: The Di@bet.es study. Diabetologia 2012, 55, 88–93. [Google Scholar] [CrossRef]
- American Diabetes Association Professional Practice Committee. 2. Diagnosis and classification of diabetes: Standards of Care in Diabetes—2024. Diabetes Care 2024, 47 (Suppl. 1), S20–S42. [Google Scholar] [CrossRef]
- Ortega, E.; Franch, J.; Castell, C.; Goday, A.; Ribas-Barba, L.; Soriguer, F.; Vendrell, J.; Casamitjana, R.; Bosch-Comas, A.; Bordiú, E.; et al. Mediterranean Diet Adherence in Individuals with Prediabetes and Unknown Diabetes: The Di@bet.Es Study. Ann. Nutr. Metab. 2013, 62, 339–346. [Google Scholar] [CrossRef]
- Schloss, P.D.; Westcott, S.L.; Ryabin, T.; Hall, J.R.; Hartmann, M.; Hollister, E.B.; Lesniewski, R.A.; Oakley, B.B.; Parks, D.H.; Robinson, C.J.; et al. Introducing mothur: Open-source, platform-independent, community-supported software for describing and comparing microbial communities. Appl. Environ. Microbiol. 2009, 75, 7537–7541. [Google Scholar] [CrossRef]
- Pruesse, E.; Quast, C.; Knittel, K.; Fuchs, B.M.; Ludwig, W.; Peplies, J.; Glöckner, F.O. SILVA: A comprehensive online resource for quality checked and aligned ribosomal RNA sequence data compatible with ARB. Nucleic Acids Res. 2007, 35, 7188–7196. [Google Scholar] [CrossRef]
- McMurdie, P.J.; Holmes, S. phyloseq: An R package for reproducible interactive analysis and graphics of microbiome census data. PLoS ONE 2013, 8, e61217. [Google Scholar] [CrossRef]
- Love, M.I.; Huber, W.; Anders, S. Moderated estimation of fold change and dispersion for RNA-seq data with DESeq2. Genome Biol. 2014, 15, 550. [Google Scholar] [CrossRef]
- Lahti, L.; Shetty, S.; Blake, T.; Salojärvi, J. Tools for Microbiome Analysis in R, Version 2.1.28. Available online: https://microbiome.github.io/tutorials/ (accessed on 5 September 2025).
- Oksanen, J.; Simpson, G.L.; Blanchet, F.G.; Kindt, R.; Legendre, P.; Minchin, P.R.; O’Hara, R.B.; Solymos, P.; Stevens, M.H.H.; Szöcs, E.; et al. Vegan: Community Ecology Package. Available online: https://CRAN.R-project.org/package=vegan (accessed on 5 September 2025).
- Gaike, A.H.; Paul, D.; Bhute, S.; Dhotre, D.P.; Pande, P.; Upadhyaya, S.; Reddy, Y.; Sampath, R.; Ghosh, D.; Chandraprabha, D.; et al. The gut microbial diversity of newly diagnosed diabetics but not of prediabetics is significantly different from that of healthy nondiabetics. mSystems 2020, 5, e00578-19. [Google Scholar] [CrossRef]
- Allin, K.H.; Tremaroli, V.; Caesar, R.; Jensen, B.A.H.; Damgaard, M.T.F.; Bahl, M.I.; Licht, T.R.; Hansen, T.H.; Nielsen, T.; Dantoft, T.M.; et al. Aberrant intestinal microbiota in individuals with prediabetes. Diabetologia 2018, 61, 810–820. [Google Scholar] [CrossRef]
- Org, E.; Blum, Y.; Kasela, S.; Mehrabian, M.; Kuusisto, J.; Kangas, A.J.; Soininen, P.; Wang, Z.; Ala-Korpela, M.; Hazen, S.L.; et al. Relationships between gut microbiota, plasma metabolites, and metabolic syndrome traits in the METSIM cohort. Genome Biol. 2017, 18, 70. [Google Scholar] [CrossRef]
- Pedersen, H.K.; Gudmundsdottir, V.; Nielsen, H.B.; Hyotylainen, T.; Nielsen, T.; Jensen, B.A.H.; Forslund, K.; Hildebrand, F.; Prifti, E.; Falony, G.; et al. Human gut microbes impact host serum metabolome and insulin sensitivity. Nature 2016, 535, 376–381. [Google Scholar] [CrossRef] [PubMed]
- Matz, L.M.; Shah, N.S.; Porterfield, L.; Stuyck, O.M.; Jochum, M.D.; Kayed, R.; Taglialatela, G.; Urban, R.J.; Buffington, S.A. Gut pathobiont enrichment observed in a population predisposed to dementia, type 2 diabetics of Mexican descent living in South Texas. Front. Microbiomes 2024, 3, 1456642. [Google Scholar] [CrossRef]
- Maskarinec, G.; Raquinio, P.; Kristal, B.S.; Setiawan, V.W.; Wilkens, L.R.; Franke, A.A.; Lim, U.; Le Marchand, L.; Randolph, T.W.; Lampe, J.W.; et al. The gut microbiome and type 2 diabetes status in the Multiethnic Cohort. PLoS ONE 2021, 16, e0250855. [Google Scholar] [CrossRef] [PubMed]
- Mayorga-Ramos, A.; Barba-Ostria, C.; Simancas-Racines, D.; Guamán, L.P. Protective role of butyrate in obesity and diabetes: New insights. Front. Nutr. 2022, 9, 1067647. [Google Scholar] [CrossRef]
- Gerritsen, J.; Fuentes, S.; Grievink, W.; van Niftrik, L.; Tindall, B.J.; Timmerman, H.M.; Rijkers, G.T.; Smidt, H. Characterization of Romboutsia ilealis gen. nov., sp. nov., isolated from the gastro-intestinal tract of a rat, and proposal for the reclassification of five closely related members of the genus Clostridium into the genera Romboutsia gen. nov., Intestinibacter gen. nov., Terrisporobacter gen. nov. and Asaccharospora gen. nov. Int. J. Syst. Evol. Microbiol. 2014, 64, 1600–1616. [Google Scholar] [CrossRef]
- Chen, Z.; Radjabzadeh, D.; Chen, L.; Kurilshikov, A.; Kavousi, M.; Ahmadizar, F.; Ikram, M.A.; Uitterlinden, A.G.; Zhernakova, A.; Fu, J.; et al. Association of insulin resistance and type 2 diabetes with gut microbial diversity: A microbiome-wide analysis from population studies. JAMA Netw. Open 2021, 4, e2118811. [Google Scholar] [CrossRef]
- Gravdal, K.; Kirste, K.H.; Grzelak, K.; Kirubakaran, G.T.; Leissner, P.; Saliou, A.; Casèn, C. Exploring the gut microbiota in patients with pre-diabetes and treatment naïve type 2 diabetes—A pilot study. BMC Endocr. Disord. 2023, 23, 179. [Google Scholar] [CrossRef]
- Zhao, L.; Lou, H.; Peng, Y.; Chen, S.; Zhang, Y.; Li, X. Comprehensive relationships between gut microbiome and faecal metabolome in individuals with type 2 diabetes and its complications. Endocrine 2019, 66, 526–537. [Google Scholar] [CrossRef]
- Zhong, C.; Dai, Z.; Chai, L.; Wu, L.; Li, J.; Guo, W.; Zhang, J.; Zhang, Q.; Xue, C.; Lin, H.; et al. The change of gut microbiota-derived short-chain fatty acids in diabetic kidney disease. J. Clin. Lab. Anal. 2021, 35, e24062. [Google Scholar] [CrossRef] [PubMed]
- Wu, H.; Tremaroli, V.; Schmidt, C.; Lundqvist, A.; Olsson, L.M.; Krämer, M.; Gummesson, A.; Perkins, R.; Bergström, G.; Bäckhed, F. The gut microbiota in prediabetes and diabetes: A population-based cross-sectional study. Cell Metab. 2020, 32, 379–390.e3. [Google Scholar] [CrossRef] [PubMed]
- Zhang, X.; Shen, D.; Fang, Z.; Jie, Z.; Qiu, X.; Zhang, C.; Chen, Y.; Ji, L. Human gut microbiota changes reveal the progression of glucose intolerance. PLoS ONE 2013, 8, e71108. [Google Scholar] [CrossRef]
- Li, J.; Li, Y.; Zhang, S.; Wang, C.; Mao, Z.; Huo, W.; Yang, T.; Li, Y.; Xing, W.; Li, L. Association of the short-chain fatty acid levels and dietary quality with type 2 diabetes: A case–control study based on Henan Rural Cohort. Br. J. Nutr. 2024, 131, 1668–1677. [Google Scholar] [CrossRef]
- Rastelli, M.; Cani, P.D.; Knauf, C. The gut microbiome influences host endocrine functions. Endocr. Rev. 2019, 40, 1271–1284. [Google Scholar] [CrossRef]
- Wijdeveld, M.; Schrantee, A.; Hagemeijer, A.; Nederveen, A.J.; Scheithauer, T.P.M.; Levels, J.H.M.; Prodan, A.; de Vos, W.M.; Nieuwdorp, M.; Ijzerman, R.G. Intestinal acetate and butyrate availability is associated with glucose metabolism in healthy individuals. iScience 2023, 26, 108478. [Google Scholar] [CrossRef]
- Mariño, E.; Richards, J.L.; McLeod, K.H.; Stanley, D.; Yap, Y.A.; Knight, J.; McKenzie, C.; Kranich, J.; Oliveira, A.C.; Rossello, F.J.; et al. Gut microbial metabolites limit the frequency of autoimmune T cells and protect against type 1 diabetes. Nat. Immunol. 2017, 18, 552–562. [Google Scholar] [CrossRef] [PubMed]
- Topping, D.L.; Clifton, P.M. Short-chain fatty acids and human colonic function: Roles of resistant starch and non-starch polysaccharides. Physiol. Rev. 2001, 81, 1031–1064. [Google Scholar] [CrossRef] [PubMed]
- Chambers, E.S.; Viardot, A.; Psichas, A.; Morrison, D.J.; Murphy, K.G.; Zac-Varghese, S.E.K.; MacDougall, K.; Preston, T.; Tedford, C.; Finlayson, G.S.; et al. Effects of targeted delivery of propionate to the human colon on appetite regulation, body weight maintenance and adiposity in overweight adults. Gut 2015, 64, 1744–1754. [Google Scholar] [CrossRef] [PubMed]
- De Vadder, F.; Kovatcheva-Datchary, P.; Goncalves, D.; Vinera, J.; Zitoun, C.; Duchampt, A.; Bäckhed, F.; Mithieux, G. Microbiota-generated metabolites promote metabolic benefits via gut-brain neural circuits. Cell 2014, 156, 84–96. [Google Scholar] [CrossRef]
- Llauradó, G.; Cedó, L.; Climent, E.; Badia, J.; Rojo-Martínez, G.; Flores-Le Roux, J.; Yanes, O.; Vinaixa, M.; Granado-Casas, M.; Mauricio, D.; et al. Circulating short-chain fatty acids and Mediterranean food patterns. A potential role for the Prediction of Type 2 Diabetes Risk: The Di@bet.es Study. BMC Med. 2025, 23, 337. [Google Scholar] [CrossRef]
- Deng, K.; Xu, J.; Shen, L.; Zhao, H.; Gou, W.; Xu, F.; Fu, Y.; Jiang, Z.; Shuai, M.; Li, B.; et al. Comparison of fecal and blood metabolome reveals inconsistent associations of the gut microbiota with cardiometabolic diseases. Nat. Commun. 2023, 14, 571. [Google Scholar] [CrossRef]
- Costin, I.D. Utilization of sodium acetate by Shigella and Escherichia. J. Gen. Microbiol. 1965, 41, 23–27. [Google Scholar] [CrossRef]
- Zhao, S.; Liu, W.; Wang, J.; Shi, J.; Sun, Y.; Wang, W.; Ning, G.; Liu, R.; Hong, J. Akkermansia muciniphila improves metabolic profiles by reducing inflammation in chow diet-fed mice. J. Mol. Endocrinol. 2017, 58, 1–14. [Google Scholar] [CrossRef]
- Liu, E.; Ji, X.; Zhou, K. Akkermansia muciniphila for the prevention of type 2 diabetes and obesity: A meta-analysis of animal studies. Nutrients 2024, 16, 3440. [Google Scholar] [CrossRef]
- Ejtahed, H.S.; Hoseini-Tavassol, Z.; Khatami, S.; Zangeneh, M.; Behrouzi, A.; Ahmadi Badi, S.; Moshiri, A.; Hasani-Ranjbar, S.; Soroush, A.R.; Vaziri, F.; et al. Main gut bacterial composition differs between patients with type 1 and type 2 diabetes and non-diabetic adults. J. Diabetes Metab. Disord. 2020, 19, 265–271. [Google Scholar] [CrossRef]




| Variable | NonDM (n = 39) | PreDM (n = 24) | T2D (n = 25) | p-Value (Global) | NonDM vs. PreDM | NonDM vs. T2D | PreDM vs. T2D |
|---|---|---|---|---|---|---|---|
| Clinical variables | |||||||
| Age (y) | 60.1 ± 13.8 | 67.4 ± 8.2 | 70.5 ± 9.4 | <0.01 | 0.156 | <0.01 | 0.907 |
| Sex, women | 19 (48.7%) | 11 (45.8%) | 6 (24.2%) | 0.124 | 0.823 | 0.047 | 0.108 |
| BMI (kg/m2) | 27.4 ± 3.7 | 29.2 ± 4.5 | 29.5 ± 4.2 | 0.087 | 0.496 | 0.142 | 1.000 |
| Waist circumference | 88.1 ± 11.8 | 95.9 ± 12.6 | 100 ± 12.6 | <0.01 | 0.122 | <0.01 | 0.502 |
| Smoking habit | 5 (23.8%) | 5 (38.5%) | 6 (42.9%) | 0.465 | 0.362 | 0.234 | 0.816 |
| Hypertension, n (%) | 13 (33.3%) | 14 (58.3%) | 16 (64.0%) | 0.031 | 0.051 | 0.016 | 0.684 |
| Dyslipidemia, n (%) | 7 (17.9%) | 8 (33.3%) | 14 (56.0%) | 0.007 | 0.163 | 0.001 | 0.110 |
| Medication use | |||||||
| Antidiabetic drugs (ADO) (%) | <0.001 | ||||||
| yes | 0 (0.00%) | 1 (4.17%) | 21 (84.0%) | ||||
| no | 39 (100%) | 23 (95.8%) | 4 (16.0%) | ||||
| Insulin therapy (%) | 0.010 | ||||||
| yes | 0 (0.00%) | 0 (0.00%) | 4 (16.0%) | ||||
| no | 39 (100%) | 23 (100%) | 21 (84.0%) | ||||
| Serum biochemistry | |||||||
| Glucose (mg/dL) | 96.2 ± 9.9 | 108.9 ± 18.6 | 151.2 ± 51.0 | <0.0001 | 0.007 | <0.001 | <0.001 |
| Insulin (mIU/L) | 11.8 ± 8.4 | 12.4 ± 12.0 | 9.5 ± 4.8 | 0.486 | 1.000 | 1.000 | 1.000 |
| HbA1c (%) | 5.3 ± 0.3 | 5.8 ± 0.3 | 7.0 ± 0.6 | <0.001 | <0.001 | <0.001 | <0.001 |
| Cholesterol (mg/dL) | 201.0 ± 37.5 | 213.0 ± 36.0 | 181.0 ± 35.9 | 0.010 | 1.000 | 0.072 | 0.012 |
| LDLc (mg/dL) | 126.0 ± 31.8 | 133 ± 31.1 | 106 ± 27.2 | 0.006 | 1.000 | 0.018 | 0.013 |
| HDLc (mg/dL) | 54.2 ± 11.6 | 52.6 ± 13.6 | 45.3 ± 10.3 | 0.013 | 1.000 | 0.022 | 0.160 |
| Triglycerides (mg/dL) | 106 ± 50.5 | 139 ± 66.1 | 151 ± 90.0 | 0.024 | 0.054 | 0.055 | 1.000 |
| AST | 19.8 ± 5.1 | 18.6 ± 8.0 | 22.3 ± 8.6 | 0.604 | 0.868 | 0.854 | 0.601 |
| GGT | 42.3 (45.9) | 36.5 (39.8) | 24.0 (12.3) | 0.616 | 0.397 | 0.239 | 0.684 |
| Fatty liver index (FLI) | 67.2 ± 25.4 | 78.5 ± 14.5 | 77.3 ± 25.4 | 0.515 | 1.000 | 1.000 | 1.000 |
| Urinary biochemistry | |||||||
| Glucose (g/L) | 0.45 (1.42) | 0.08 (0.05) | 2.31 (6.21) | 0.051 | 1.000 | 0.199 | 0.812 |
| Fructose (g/L) | 0.03 (0.06) | 0.01 (0.02) | 0.68 (2.83) | 0.360 | 1.000 | 0.568 | 0.481 |
| Sucrose (g/L) | 0.08 (0.22) | 0.06 (0.14) | 1.91 (5.99) | 0.134 | 1.000 | 1.000 | 1.000 |
| Food Group | NonDM n = 39 | PreDM n = 24 | T2D n = 25 | p-All | NonDM vs. PreDM | NonDM vs. T2D | PreDM vs. T2D |
|---|---|---|---|---|---|---|---|
| Dairy | 42.7 ± 31.4 | 57.1 ± 28.2 | 49.2 ± 20.5 | 0.079 | 0.040 | 0.154 | 0.347 |
| White meat | 13.4 ± 7.1 | 12.7 ± 7.5 | 24.3 ± 22.7 | 0.060 | 0.614 | 0.055 | 0.027 |
| Beer | 7.3 ± 11.8 | 4.7 ± 10.2 | 4.1 ± 7.2 | 0.047 | 0.019 | 0.177 | 0.237 |
| Coffee | 42.3 ± 32.4 | 63.3 ± 31.0 | 48.0 ± 21.4 | 0.021 | 0.010 | 0.269 | 0.056 |
| SCFA (mmol/kg) | NonDM (n = 39) | PreDM (n = 24) | T2D (n = 25) | p-Value (Overall) | NonDM vs. preDM | NonDM vs. T2D | PreDM vs. T2D |
|---|---|---|---|---|---|---|---|
| Acetic | 173 ± 121 | 179 ± 109 | 115 ± 64.6 | 0.061 | 0.853 | 0.036 | 0.018 |
| Propionic | 52.5 ± 35.9 | 45.0 ± 31.1 | 38.1 ± 24.8 | 0.230 | 0.433 | 0.091 | 0.409 |
| Isobutyric | 5.58 ± 3.44 | 5.54 ± 2.80 | 5.34 ± 2.96 | 0.954 | 0.956 | 0.774 | 0.817 |
| Butyric | 42.7 ± 30.3 | 43.5 ± 27.8 | 31.5 ± 19.2 | 0.206 | 0.914 | 0.112 | 0.090 |
| Isovaleric | 9.16 ± 7.85 | 8.00 ± 4.44 | 8.28 ± 5.09 | 0.772 | 0.539 | 0.628 | 0.842 |
| Valeric | 7.61 ± 4.37 | 6.96 ± 2.26 | 7.72 ± 5.69 | 0.826 | 0.536 | 0.934 | 0.572 |
Disclaimer/Publisher’s Note: The statements, opinions and data contained in all publications are solely those of the individual author(s) and contributor(s) and not of MDPI and/or the editor(s). MDPI and/or the editor(s) disclaim responsibility for any injury to people or property resulting from any ideas, methods, instructions or products referred to in the content. |
© 2025 by the authors. Licensee MDPI, Basel, Switzerland. This article is an open access article distributed under the terms and conditions of the Creative Commons Attribution (CC BY) license (https://creativecommons.org/licenses/by/4.0/).
Share and Cite
Puig, R.; Rojo-López, M.I.; Julve, J.; Castelblanco, E.; Ponomarenko, J.; Amézqueta, S.; Vendrell, J.; Franch-Nadal, J.; Torres, J.L.; Mauricio, D.; et al. Fecal Short-Chain Fatty Acids to Predict Prediabetes and Type 2 Diabetes Risk: An Exploratory Cross-Sectional Study. Nutrients 2025, 17, 3003. https://doi.org/10.3390/nu17183003
Puig R, Rojo-López MI, Julve J, Castelblanco E, Ponomarenko J, Amézqueta S, Vendrell J, Franch-Nadal J, Torres JL, Mauricio D, et al. Fecal Short-Chain Fatty Acids to Predict Prediabetes and Type 2 Diabetes Risk: An Exploratory Cross-Sectional Study. Nutrients. 2025; 17(18):3003. https://doi.org/10.3390/nu17183003
Chicago/Turabian StylePuig, Rocío, Marina Idalia Rojo-López, Josep Julve, Esmeralda Castelblanco, Julia Ponomarenko, Susana Amézqueta, Joan Vendrell, Josep Franch-Nadal, Josep Lluís Torres, Dídac Mauricio, and et al. 2025. "Fecal Short-Chain Fatty Acids to Predict Prediabetes and Type 2 Diabetes Risk: An Exploratory Cross-Sectional Study" Nutrients 17, no. 18: 3003. https://doi.org/10.3390/nu17183003
APA StylePuig, R., Rojo-López, M. I., Julve, J., Castelblanco, E., Ponomarenko, J., Amézqueta, S., Vendrell, J., Franch-Nadal, J., Torres, J. L., Mauricio, D., & Ramos-Romero, S. (2025). Fecal Short-Chain Fatty Acids to Predict Prediabetes and Type 2 Diabetes Risk: An Exploratory Cross-Sectional Study. Nutrients, 17(18), 3003. https://doi.org/10.3390/nu17183003

