Blood Lipid Levels in Response to Almond Consumption: A Systematic Review and Meta-Analysis of Randomized Controlled Trials
Abstract
1. Introduction
2. Methods
2.1. Literature Search
2.2. Literature Filtration
2.3. Data Extraction and Study Quality
- High attrition rate (>20%) and failure to conduct an intention-to-treat (ITT) analysis;
- Failure to report background dietary intakes;
- Significant differences between groups at baseline in energy, macronutrients, or fiber without statistical adjustments (e.g., analysis of covariance);
- Failure to report baseline lipid levels for each intervention group; or
- Significant differences between groups at baseline in lipid levels without statistical adjustments (e.g., analysis of covariance).
2.4. Data Synthesis
3. Results
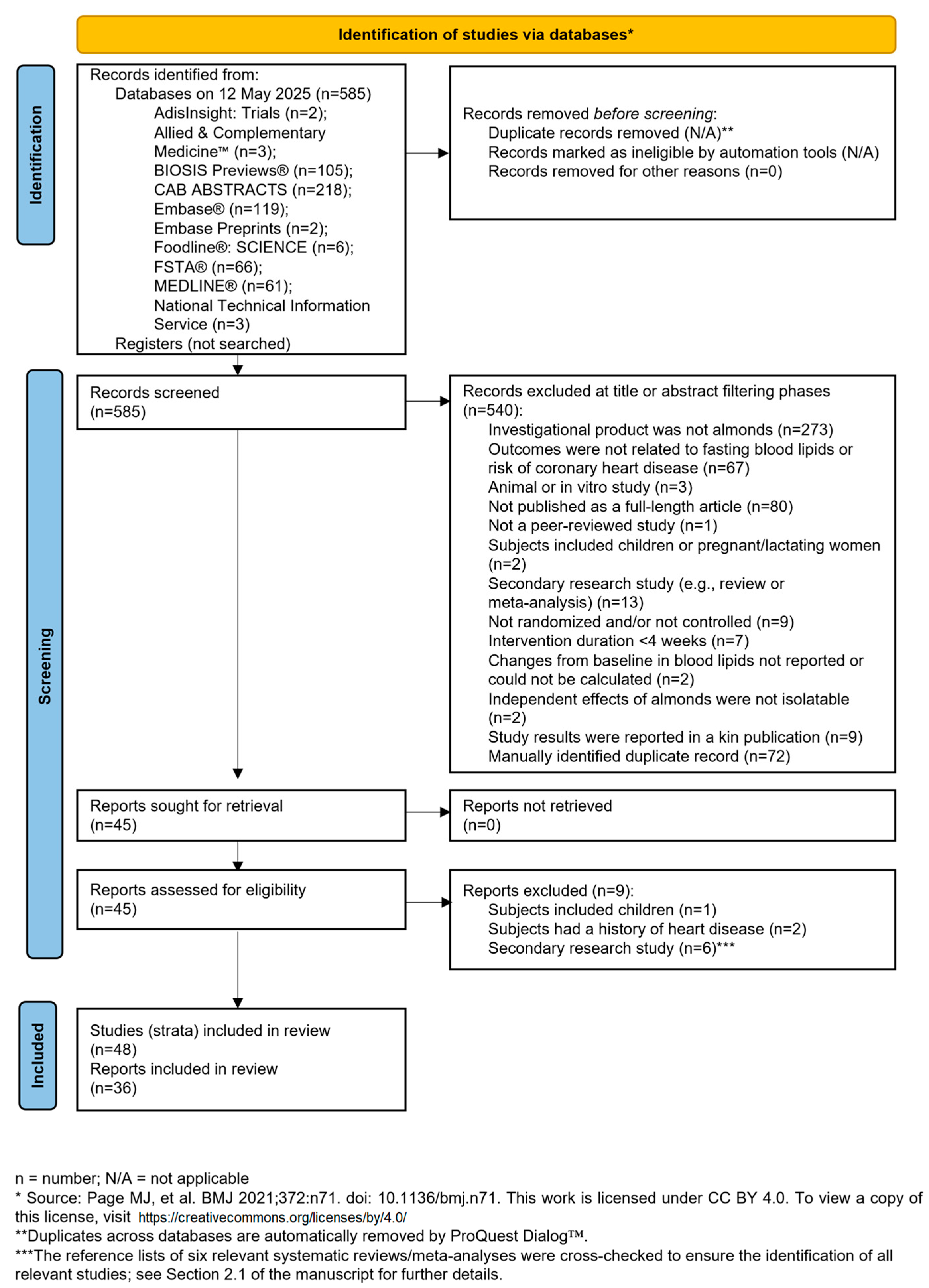
3.1. Literature Search Results and Overview of Included Studies
3.2. Almond Interventions
3.3. Control Foods and Diets
3.4. Study Quality
3.5. Effects of Almonds on Fasting Blood Lipids
3.5.1. LDL-C
3.5.2. TC
3.5.3. HDL-C
3.5.4. Non-HDL-C
3.5.5. TC:HDL-C
3.5.6. LDL-C:HDL-C
3.5.7. TG
3.5.8. ApoA
3.5.9. ApoB
3.5.10. ApoB:ApoA
3.5.11. Lp(a)
4. Discussion
5. Conclusions
Supplementary Materials
Author Contributions
Funding
Data Availability Statement
Acknowledgments
Conflicts of Interest
Abbreviations
| ApoA | apolipoprotein A |
| ApoB | apolipoprotein B |
| CI | confidence interval |
| CVD | cardiovascular disease |
| GDN | Global Diagnostics Network |
| HDL | high-density lipoprotein |
| HDL-C | high-density lipoprotein cholesterol |
| ITT | intention-to-treat |
| LDL | low-density lipoprotein |
| LDL-C | low-density lipoprotein cholesterol |
| Lp(a) | lipoprotein a |
| MUFA | monounsaturated fat |
| PRIMSA | Preferred Reporting Items for Systematic Reviews and Meta-analyses |
| PUFA | polyunsaturated fat |
| RRR | relative risk reduction |
| SFA | saturated fat |
| T2D | type 2 diabetes |
| TC | total cholesterol |
| TG | Triglycerides |
| WHO | World Health Organization |
References
- WHO (World Health Organization). Cardiovascular Diseases (CVDs); WHO: Geneva, Switzerland, 2021; Available online: https://www.who.int/news-room/fact-sheets/detail/cardiovascular-diseases-(cvds) (accessed on 24 August 2025).
- Brown, J.C.; Gerhardt, T.E.; Kwon, E. Risk Factors for Coronary Artery Disease; StatPearls Publishing: Treasure Island, FL, USA, 2023. Available online: https://www.ncbi.nlm.nih.gov/books/NBK554410/ (accessed on 24 August 2025).
- Pahwa, R.; Jialal, I. Atherosclerosis; StatPearls Publishing: Treasure Island, FL, USA, 2023. Available online: https://www.ncbi.nlm.nih.gov/books/NBK507799/ (accessed on 24 August 2025).
- Martin, S.S.; Niles, J.K.; Kaufman, H.W.; Awan, Z.; Elgaddar, O.; Choi, R.; Ahn, S.; Verma, R.; Nagarajan, M.; Don-Wauchope, A.; et al. Lipid distributions in the Global Diagnostics Network across five continents. Eur. Heart J. 2023, 44, 2305–2318. [Google Scholar] [CrossRef]
- Musa-Veloso, K.; Paulionis, L.; Poon, T.; Lee, H.Y. The effects of almond consumption on fasting blood lipid levels: A systematic review and meta-analysis of randomised controlled trials. J. Nutr. Sci. 2016, 5, e34. [Google Scholar] [CrossRef]
- Lee-Bravatti, M.A.; Wang, J.; Avendano, E.E.; King, L.; Johnson, E.J.; Raman, G. Almond consumption and risk factors for cardiovascular disease: A systematic review and meta-analysis of randomized controlled trials. Adv. Nutr. 2019, 10, 1076–1088. [Google Scholar] [CrossRef] [PubMed]
- Asbaghi, O.; Moodi, V.; Hadi, A.; Eslampour, E.; Shirinbakhshmasoleh, M.; Ghaedi, E.; Miraghajani, M. The effect of almond intake on lipid profile: A systematic review and meta-analysis of randomized controlled trials. Food Funct. 2021, 12, 1882–1896. [Google Scholar] [CrossRef]
- Page, M.J.; McKenzie, J.E.; Bossuyt, P.M.; Boutron, I.; Hoffmann, T.C.; Mulrow, C.D.; Shamseer, L.; Tetzlaff, J.M.; Akl, E.A.; Brennan, S.E.; et al. The PRISMA 2020 statement: An updated guideline for reporting systematic reviews. BMJ 2021, 372, n71. [Google Scholar] [CrossRef]
- Moosavian, S.P.; Rahimlou, M.; Rezaei Kelishadi, M.; Moradi, S.; Jalili, C. Effects of almond on cardiometabolic outcomes in patients with type 2 diabetes: A systematic review and meta-analysis of randomized controlled trials. Phytother. Res. 2022, 36, 1839–1853. [Google Scholar] [CrossRef]
- Morvaridzadeh, M.; Qorbani, M.; Shokati Eshkiki, Z.; Estêvão, M.D.; Mohammadi Ganjaroudi, N.; Toupchian, O.; Abdollahi, S.; Pizarro, A.B.; Abu-Zaid, A.; Zadro, J.R.; et al. The effect of almond intake on cardiometabolic risk factors, inflammatory markers, and liver enzymes: A systematic review and meta-analysis. Phytother. Res. 2022, 36, 4325–4344. [Google Scholar] [CrossRef] [PubMed]
- Singar, S.; Kadyan, S.; Patoine, C.; Park, G.; Arjmandi, B.; Nagpal, R. The effects of almond consumption on cardiovascular health and gut microbiome: A comprehensive review. Nutrients 2024, 16, 1964. [Google Scholar] [CrossRef] [PubMed]
- Wang, P.; Sheng, Y.; Samadi, M. Effects of almond consumption on lipid profile in patients with type 2 diabetes: A systematic review and meta-analysis of randomised controlled trials. Arch. Physiol. Biochem. 2024, 130, 128–135. [Google Scholar] [CrossRef]
- Health Canada. Guidance Document for Preparing a Submission for Food Health Claims; Health Canada: Ottawa, ON, Canada, 2009; Available online: https://www.canada.ca/en/health-canada/services/food-nutrition/legislation-guidelines/guidance-documents/guidance-document-preparing-submission-food-health-claims-2009-1.html (accessed on 24 August 2025).
- Balk, E.M.; Earley, A.; Patel, K.; Trikalinos, T.A.; Dahabreh, I.J. Empirical Assessment of Within-Arm Correlation Imputation in Trials of Continuous Outcomes; Methods Research Report/AHRQ Publication No. 12(13)-EHC141-EF; Tufts Evidence-Based Practice Center: Boston, MA, USA; Agency for Healthcare Research and Quality (AHRQ): Rockville, MD, USA, 2012. Available online: https://effectivehealthcare.ahrq.gov/sites/default/files/pdf/continuous-outcomes-correlation_research.pdf (accessed on 24 August 2025).
- DerSimonian, R.; Laird, N. Meta-analysis in clinical trials revisited. Contemp. Clin. Trials 2015, 45, 139–145. [Google Scholar] [CrossRef]
- Cochrane Handbook for Systematic Reviews of Interventions, Version 6.5; Higgins, J.P.T., Thomas, J., Chandler, J., Cumpston, M., Li, T., Page, M.J., Welch, V.A.L., Eds.; The Cochrane Collaboration: London, UK, 2024; Available online: https://www.cochrane.org/authors/handbooks-and-manuals/handbook (accessed on 24 August 2025).
- NCEP (National High Blood Pressure Education Program). ATP III Guidelines At-A-Glance Quick Desk Reference; NCEP: Bethesda, MD, USA, 2001. Available online: https://www.nhlbi.nih.gov/resources/atp-iii-glance-quick-desk-reference (accessed on 24 August 2025).
- Deeks, J.; Higgins, J.P.; Altman, D.P. Chapter 10: Analysing data and undertaking meta-analyses (Cochrane Statistical Methods Group). In Cochrane Handbook for Systematic Reviews of Interventions, Version 6.5; Higgins, J.P.T., Thomas, J., Chandler, J., Cumpston, M., Li, T., Page, M.J., Welch, V.A.L., Eds.; The Cochrane Collaboration: London, UK, 2024; Available online: https://www.cochrane.org/authors/handbooks-and-manuals/handbook/current/chapter-10#section-10-10-2/ (accessed on 24 August 2025).
- Duval, S.; Tweedie, R. Trim and fill: A simple funnel-plot-based method of testing and adjusting for publication bias in meta-analysis. Biometrics 2000, 56, 455–463. [Google Scholar] [CrossRef]
- Abazarfard, Z.; Salehi, M.; Keshavarzi, S. The effect of almonds on anthropometric measurements and lipid profile in overweight and obese females in a weight reduction program: A randomized controlled clinical trial. J. Res. Med. Sci. 2014, 19, 457–464. [Google Scholar]
- Berryman, C.E.; West, S.G.; Fleming, J.A.; Bordi, P.L.; Kris-Etherton, P.M. Effects of daily almond consumption on cardiometabolic risk and abdominal adiposity in healthy adults with elevated LDL-cholesterol: A randomized controlled trial. J. Am. Heart Assoc. 2015, 4, e000993. [Google Scholar] [CrossRef] [PubMed]
- Bowen, J.; Luscombe-Marsh, N.D.; Stonehouse, W.; Tran, C.; Rogers, G.B.; Johnson, N.; Thompson, C.H.; Brinkworth, G.D. Effects of almond consumption on metabolic function and liver fat in overweight and obese adults with elevated fasting blood glucose: A randomised controlled trial. Clin. Nutr. 2019, 30, 10–18. [Google Scholar] [CrossRef] [PubMed]
- Brown, R.C.; Ware, L.; Gray, A.R.; Tey, S.L.; Chisholm, A. Comparing the effects of consuming almonds or biscuits on body weight in habitual snackers: A 1-year randomized controlled trial. Am. J. Clin. Nutr. 2023, 118, 228–240. [Google Scholar] [CrossRef] [PubMed]
- Carter, S.; Hill, A.M.; Mead, L.C.; Wong, H.Y.; Yandell, C.; Buckley, J.D.; Tan, S.Y.; Rogers, G.B.; Fraysse, F.; Coates, A.M. Almonds vs. carbohydrate snacks in an energy-restricted diet: Weight and cardiometabolic outcomes from a randomized trial. Obesity 2023, 31, 2467–2481. [Google Scholar] [CrossRef]
- Chen, C.-M.; Liu, J.-F.; Li, S.-C.; Huang, C.-L.; Hsirh, A.-T.; Weng, S.-F.; Chang, M.-L.; Li, H.-T.; Mohn, E.; Chen, C.-Y.O. Almonds ameliorate glycemic control in Chinese patients with better controlled type 2 diabetes: A randomized, crossover, controlled feeding trial. Nutr. Metab. 2017, 14, 51. [Google Scholar] [CrossRef]
- Coates, A.M.; Morgillo, S.; Yandell, C.; Scholey, A.; Buckley, J.D.; Dyer, K.A.; Hill, A.M. Effect of a 12-week almond-enriched diet on biomarkers of cognitive performance, mood, and cardiometabolic health in older overweight adults. Nutrients 2020, 12, 1180. [Google Scholar] [CrossRef]
- Cohen, A.E.; Johnston, C.S. Almond ingestion at mealtime reduces postprandial glycemia and chronic ingestion reduces hemoglobin A(1c) in individuals with well-controlled type 2 diabetes mellitus. Metabolism 2011, 60, 1312–1317. [Google Scholar] [CrossRef]
- Damasceno, N.R.; Pérez-Heras, A.; Serra, M.; Cofán, M.; Sala-Vila, A.; Salas-Salvadó, J.; Ros, E. Crossover study of diets enriched with virgin olive oil, walnuts or almonds. Effects on lipids and other cardiovascular risk markers. Nutr. Metab. Cardiovasc. Dis. 2011, 21, S14–S20. [Google Scholar] [CrossRef]
- Dhillon, J.; Thorwald, M.; De La Cruz, N.; Vu, E.; Asghar, S.A.; Kuse, Q.; Diaz Rios, L.K.; Ortiz, R.M. Glucoregulatory and cardiometabolic profiles of almond vs. cracker snacking for 8 weeks in young adults: A randomized controlled trial. Nutrients 2018, 10, 960. [Google Scholar] [CrossRef] [PubMed]
- Dikariyanto, V.; Smith, L.; Francis, L.; Robertson, M.; Kusaslan, E.; O’Callaghan-Latham, M.; Palanche, C.; D’Annibale, M.; Christodoulou, D.; Basty, N.; et al. Snacking on whole almonds for 6 weeks improves endothelial function and lowers LDL cholesterol but does not affect liver fat and other cardiometabolic risk factors in healthy adults: The ATTIS study, a randomized controlled trial. Am. J. Clin. Nutr. 2020, 111, 1178–1189. [Google Scholar] [CrossRef]
- Foster, G.D.; Shantz, K.L.; Vander Veur, S.S.; Oliver, T.L.; Lent, M.R.; Virus, A.; Szapary, P.O.; Rader, D.J.; Zemel, B.S.; Gilden-Tsai, A. A randomized trial of the effects of an almond-enriched, hypocaloric diet in the treatment of obesity. Am. J. Clin. Nutr. 2012, 96, 249–254. [Google Scholar] [CrossRef] [PubMed]
- Gayathri, R.; Abirami, K.; Kalpana, N.; Manasa, V.S.; Sudha, V.; Shobana, S.; Jeevan, R.G.; Kavitha, V.; Parkavi, K.; Anjana, R.M.; et al. Effect of almond consumption on insulin sensitivity and serum lipids among Asian Indian adults with overweight and obesity- A randomized controlled trial. Front. Nutr. 2022, 9, 1055923. [Google Scholar] [CrossRef] [PubMed]
- Gravesteijn, E.; Mensink, R.P.; Plat, J. The effects of long-term almond consumption on whole-body insulin sensitivity, postprandial glucose responses, and 48 h continuous glucose concentrations in males and females with prediabetes: A randomized controlled trial. Eur. J. Nutr. 2023, 62, 2661–2672. [Google Scholar] [CrossRef]
- Gulati, S.; Misra, A.; Tiwari, R.; Sharma, M.; Pandey, R.M.; Upadhyay, A.D.; Chandra Sati, H. Premeal almond load decreases postprandial glycaemia, adiposity and reversed prediabetes to normoglycemia: A randomized controlled trial. Clin. Nutr. 2023, 54, 12–22. [Google Scholar] [CrossRef]
- Huang, L.C.; Henderson, G.C.; Mattes, R.D. Effects of daily almond consumption on glycaemia in adults with elevated risk for diabetes: A randomised controlled trial. Br. J. Nutr. 2024, 132, 1289–1299. [Google Scholar] [CrossRef]
- Hunter, S.R.; Considine, R.V.; Mattes, R.D. Almond consumption decreases android fat mass percentage in adults with high android subcutaneous adiposity but does not change HbA1c in a randomised controlled trial. Br. J. Nutr. 2022, 127, 850–861. [Google Scholar] [CrossRef]
- Jenkins, D.J.; Kendall, C.W.; Marchie, A.; Parker, T.L.; Connelly, P.W.; Qian, W.; Haight, J.S.; Faulkner, D.; Vidgen, E.; Lapsley, K.G.; et al. Dose response of almonds on coronary heart disease risk factors: Blood lipids, oxidized low-density lipoproteins, lipoprotein(a), homocysteine, and pulmonary nitric oxide: A randomized, controlled, crossover trial. Circulation 2002, 106, 1327–1332. [Google Scholar] [CrossRef]
- Jia, X.; Li, N.; Zhang, W.; Zhang, X.; Lapsley, K.; Huang, G.; Blumberg, J.; Ma, G.; Chen, J. A pilot study on the effects of almond consumption on DNA damage and oxidative stress in smokers. Nutr. Cancer 2006, 54, 179–183. [Google Scholar] [CrossRef]
- Jung, H.; Chen, C.O.; Blumberg, J.B.; Kwak, H.K. The effect of almonds on vitamin E status and cardiovascular risk factors in Korean adults: A randomized clinical trial. Eur. J. Nutr. 2018, 57, 2069–2079. [Google Scholar] [CrossRef] [PubMed]
- Kurlandsky, S.B.; Stote, K.S. Cardioprotective effects of chocolate and almond consumption in healthy women. Nutr. Res. 2006, 26, 509–516. [Google Scholar] [CrossRef]
- Lee, Y.; Berryman, C.E.; West, S.G.; Chen, C.O.; Blumberg, J.B.; Lapsley, K.G.; Preston, A.G.; Fleming, J.A.; Kris-Etherton, P.M. Effects of dark chocolate and almonds on cardiovascular risk factors in overweight and obese individuals: A randomized controlled-feeding trial. J. Am. Heart Assoc. 2017, 6, e005162. [Google Scholar] [CrossRef]
- Li, S.C.; Liu, Y.H.; Liu, J.F.; Chang, W.H.; Chen, C.M.; Chen, C.Y. Almond consumption improved glycemic control and lipid profiles in patients with type 2 diabetes mellitus. Metabolism 2011, 60, 474–479. [Google Scholar] [CrossRef]
- Liu, Y.; Hwang, H.-J.; Ryu, H.; Lee, Y.-S.; Kim, H.-S.; Park, H. The effects of daily intake timing of almond on the body composition and blood lipid profile of healthy adults. Nutr. Res. Pract. 2017, 11, 479–486. [Google Scholar] [CrossRef]
- Lovejoy, J.C.; Most, M.M.; Lefevre, M.; Greenway, F.L.; Rood, J.C. Effect of diets enriched in almonds on insulin action and serum lipids in adults with normal glucose tolerance or type 2 diabetes. Am. J. Clin. Nutr. 2002, 76, 1000–1006. [Google Scholar] [CrossRef]
- Mustra Rakic, J.; Tanprasertsuk, J.; Scott, T.M.; Rasmussen, H.M.; Mohn, E.S.; Chen, C.O.; Johnson, E.J. Effects of daily almond consumption for six months on cognitive measures in healthy middle-aged to older adults: A randomized control trial. Nutr. Neurosci. 2022, 25, 1466–1476. [Google Scholar] [CrossRef] [PubMed]
- Palacios, O.M.; Maki, K.C.; Xiao, D.; Wilcox, M.L.; Dicklin, M.R.; Kramer, M.; Trivedi, R.; Burton-Freeman, B.; Edirisinghe, I. Effects of consuming almonds on insulin sensitivity and other cardiometabolic health markers in adults with prediabetes. J. Am. Coll. Nutr. 2020, 39, 397–406. [Google Scholar] [CrossRef]
- Rayo, V.U.; Okamoto, L.; Cervantes, M.; Hong, M.Y.; Jason, N.; Kern, M.; Liu, C.; North, E.; Storm, S.; Witard, O.C.; et al. Almond snacking modestly improves diet quality and waist circumference but not psychosocial assessments and other cardiometabolic markers in overweight, middle-aged adults: A randomized, crossover trial. Hum. Nutr. Metab. 2025, 39, 200291. [Google Scholar] [CrossRef]
- Ruisinger, J.F.; Gibson, C.A.; Backes, J.M.; Smith, B.K.; Sullivan, D.K.; Moriarty, P.M.; Kris-Etherton, P. Statins and almonds to lower lipoproteins (the STALL Study). J. Clin. Lipidol. 2015, 9, 58–64. [Google Scholar] [CrossRef]
- Sabaté, J.; Haddad, E.; Tanzman, J.S.; Jambazian, P.; Rajaram, S. Serum lipid response to the graduated enrichment of a Step I diet with almonds: A randomized feeding trial. Am. J. Clin. Nutr. 2003, 77, 1379–1384. [Google Scholar] [CrossRef]
- Siegel, L.; Rooney, J.; Marjoram, L.; Mason, L.; Bowles, E.; van Keulen, T.V.; Helander, C.; Rayo, V.; Hong, M.Y.; Liu, C.; et al. Chronic almond nut snacking alleviates perceived muscle soreness following downhill running but does not improve indices of cardiometabolic health in mildly overweight, middle-aged, adults. Front. Nutr. 2023, 10, 1298868. [Google Scholar] [CrossRef]
- Spiller, G.A.; Jenkins, D.A.; Bosello, O.; Gates, J.E.; Cragen, L.N.; Bruce, B. Nuts and plasma lipids: An almond-based diet lowers LDL-C while preserving HDL-C. J. Am. Coll. Nutr. 1998, 17, 285–290. [Google Scholar] [CrossRef]
- Sweazea, K.L.; Johnston, C.S.; Ricklefs, K.D.; Petersen, K.N. Almond supplementation in the absence of dietary advice significantly reduces C-reactive protein in subjects with type 2 diabetes. J. Funct. Foods 2014, 10, 252–259. [Google Scholar] [CrossRef]
- Tamizifar, B.; bullet, M.; Rismankarzadeh, M.; Vosoughi, A.; Rafieeyan, M.; Tamizifar, B.; Aminzade, A. A low-dose almond-based diet decreases LDL-C while preserving HDL-C. Arch. Iran. Med. 2005, 8, 45–51. [Google Scholar]
- Tan, S.Y.; Mattes, R.D. Appetitive, dietary and health effects of almonds consumed with meals or as snacks: A randomized, controlled trial. Eur. J. Clin. Nutr. 2013, 67, 1205–1214. [Google Scholar] [CrossRef]
- Wien, M.; Bleich, D.; Raghuwanshi, M.; Gould-Forgerite, S.; Gomes, J.; Monahan-Couch, L.; Oda, K. Almond consumption and cardiovascular risk factors in adults with prediabetes. J. Am. Coll. Nutr. 2010, 29, 189–197. [Google Scholar] [CrossRef]
- Bachorik, P.S. Measurement of total cholesterol, HDL-cholesterol, and LDL-cholesterol. Clin. Lab. Med. 1989, 9, 61–72. [Google Scholar] [CrossRef]
- Ference, B.A.; Graham, I.; Tokgozoglu, L.; Catapano, A.L. Impact of lipids on cardiovascular health: JACC Health Promotion Series. J. Am. Coll. Cardiol. 2018, 72, 1141–1156. [Google Scholar] [CrossRef]
- Higashi, Y. Endothelial function in dyslipidemia: Roles of LDL-cholesterol, HDL-cholesterol and triglycerides. Cells 2023, 12, 1293. [Google Scholar] [CrossRef]
- Marques, L.R.; Diniz, T.A.; Antunes, B.M.; Rossi, F.E.; Caperuto, E.C.; Lira, F.S.; Gonçalves, D.C. Reverse cholesterol transport: Molecular mechanisms and the non-medical approach to enhance HDL cholesterol. Front. Physiol. 2018, 9, 526. [Google Scholar] [CrossRef]
- Chrysohoou, C.; Pitsavos, C.; Skoumas, J.; Masoura, C.; Katinioti, A.; Panagiotakos, D.; Stefanadis, C. The emerging anti-inflammatory role of HDL-cholesterol, illustrated in cardiovascular disease free population; the ATTICA study. Int. J. Cardiol. 2007, 122, 29–33. [Google Scholar] [CrossRef]
- Pilard, M.; Babran, S.; Martel, C. Regulation of platelet function by HDL. Arterioscler. Thromb. Vasc. Biol. 2025, 45, e184–e200. [Google Scholar] [CrossRef]
- Mangaraj, M.; Nanda, R.; Panda, S. Apolipoprotein A-I: A molecule of diverse function. Indian. J. Clin. Biochem. 2016, 31, 253–259. [Google Scholar] [CrossRef]
- Nassir, F.; Bonen, D.K.; Davidson, N.O. Apolipoprotein(a) synthesis and secretion from hepatoma cells is coupled to triglyceride synthesis and secretion. J. Biol. Chem. 1998, 273, 17793–17800. [Google Scholar] [CrossRef]
- Tall, A.R. An overview of reverse cholesterol transport. Eur. Heart J. 1998, 19 (Suppl. A), A31–A35. Available online: https://pubmed.ncbi.nlm.nih.gov/9519340/ (accessed on 24 August 2025). [CrossRef]
- Feig, J.E.; Hewing, B.; Smith, J.D.; Hazen, S.L.; Fisher, E.A. High-density lipoprotein and atherosclerosis regression: Evidence from preclinical and clinical studies. Circ. Res. 2014, 114, 205–213. [Google Scholar] [CrossRef]
- Elhomsy, G.; Griffing, G.T.; Hermelin, D. Apolipoprotein A-I; Medscape LLC: New York, NY, USA, 2021; Available online: https://emedicine.medscape.com/article/2087313-overview (accessed on 24 August 2025).
- Sirniö, P.; Väyrynen, J.P.; Klintrup, K.; Mäkelä, J.; Mäkinen, M.J.; Karttunen, T.J.; Tuomisto, A. Decreased serum apolipoprotein A1 levels are associated with poor survival and systemic inflammatory response in colorectal cancer. Sci. Rep. 2017, 7, 5374. [Google Scholar] [CrossRef]
- Devaraj, S.; Semaan, J.R.; Jialal, I. Biochemistry, Apolipoprotein B; StatPearls Publishing: Treasure Island, FL, USA, 2023. Available online: https://www.ncbi.nlm.nih.gov/books/NBK538139/ (accessed on 24 August 2025).
- Vekic, J.; Zeljkovic, A.; Cicero, A.F.G.; Janez, A.; Stoian, A.P.; Sonmez, A.; Rizzo, M. Atherosclerosis development and progression: The role of atherogenic small, dense LDL. Medicina 2022, 58, 299. [Google Scholar] [CrossRef]
- Cleveland Clinic. Apo B Test; Cleveland Clinic: Cleveland, OH, USA, 2023; Available online: https://my.clevelandclinic.org/health/diagnostics/24992-apolipoprotein-b-test (accessed on 24 August 2025).
- Sniderman, A.D.; Williams, K.; Contois, J.H.; Monroe, H.M.; McQueen, M.J.; de Graaf, J.; Furberg, C.D. A meta-analysis of low-density lipoprotein cholesterol, non-high-density lipoprotein cholesterol, and apolipoprotein B as markers of cardiovascular risk. Circ. Cardiovasc. Qual. Outcomes 2011, 4, 337–345. [Google Scholar] [CrossRef]
- Reynoso-Villalpando, G.L.; Sevillano-Collantes, C.; Valle, Y.; Moreno-Ruiz, I.; Padilla-Gutiérrez, J.R.; Del Cañizo-Gómez, F.J. ApoB/ApoA1 ratio and non-HDL-cholesterol/HDL-cholesterol ratio are associated to metabolic syndrome in patients with type 2 diabetes mellitus subjects and to ischemic cardiomyopathy in diabetic women. Endocrinol. Diabetes Nutr. Engl. Ed. 2019, 66, 502–511. [Google Scholar] [CrossRef]
- McQueen, M.J.; Hawken, S.; Wang, X.; Ounpuu, S.; Sniderman, A.; Probstfield, J.; Steyn, K.; Sanderson, J.E.; Hasani, M.; Volkova, E.; et al. Lipids, lipoproteins, and apolipoproteins as risk markers of myocardial infarction in 52 countries (the INTERHEART study): A case-control study (INTERHEART study investigators). Lancet 2008, 372, 224–233. [Google Scholar] [CrossRef]
- Lu, M.; Lu, Q.; Zhang, Y.; Tian, G. ApoB/apoA1 is an effective predictor of coronary heart disease risk in overweight and obesity. J. Biomed. Res. 2011, 25, 266–273. [Google Scholar] [CrossRef]
- Doherty, S.; Hernandez, S.; Rikhi, R.; Mirzai, S.; De Los Reyes, C.; McIntosh, S.; Block, R.C.; Shapiro, M.D. Lipoprotein(a) as a causal risk factor for cardiovascular disease. Curr. Cardiovasc. Risk Rep. 2025, 19, 8. [Google Scholar] [CrossRef]
- Reyes-Soffer, G.; Ginsberg, H.N.; Berglund, L.; Duell, P.B.; Heffron, S.P.; Kamstrup, P.R.; Lloyd-Jones, D.M.; Marcovina, S.M.; Yeang, C.; Koschinsky, M.L. Lipoprotein(a): A genetically determined, causal, and prevalent risk factor for atherosclerotic cardiovascular disease: A scientific statement from the American Heart Association. Arterioscler. Thromb. Vasc. Biol. 2022, 42, e48–e60. [Google Scholar] [CrossRef]
- Yang, C.; Xia, H.; Wan, M.; Lu, Y.; Xu, D.; Yang, X.; Yang, L.; Sun, G. Comparisons of the effects of different flaxseed products consumption on lipid profiles, inflammatory cytokines and anthropometric indices in patients with dyslipidemia related diseases: Systematic review and a dose-response meta-analysis of randomized controlled trials. Nutr. Metab. 2021, 18, 91. [Google Scholar] [CrossRef]
- Anderson, J.W.; Johnstone, B.M.; Cook-Newell, M.E. Meta-analysis of the effects of soy protein intake on serum lipids. N. Engl. J. Med. 1995, 333, 276–282. [Google Scholar] [CrossRef]
- Whitehead, A.; Beck, E.J.; Tosh, S.; Wolever, T.M. Cholesterol-lowering effects of oat β-glucan: A meta-analysis of randomized controlled trials. Am. J. Clin. Nutr. 2014, 100, 1413–1421. [Google Scholar] [CrossRef]
- Ho, H.V.; Sievenpiper, J.L.; Zurbau, A.; Blanco Mejia, S.; Jovanovski, E.; Au-Yeung, F.; Jenkins, A.L.; Vuksan, V. The effect of oat β-glucan on LDL-cholesterol, non-HDL-cholesterol and apoB for CVD risk reduction: A systematic review and meta-analysis of randomised-controlled trials. Br. J. Nutr. 2016, 116, 1369–1382. [Google Scholar] [CrossRef]
- Demonty, I.; Ras, R.T.; van der Knaap, H.C.; Duchateau, G.S.; Meijer, L.; Zock, P.L.; Geleijnse, J.M.; Trautwein, E.A. Continuous dose-response relationship of the LDL-cholesterol-lowering effect of phytosterol intake. J. Nutr. 2009, 139, 271–284. [Google Scholar] [CrossRef]
- Musa-Veloso, K.; Poon, T.H.; Elliot, J.A.; Chung, C. A comparison of the LDL-cholesterol lowering efficacy of plant stanols and plant sterols over a continuous dose range: Results of a meta-analysis of randomized, placebo-controlled trials. Prostaglandins Leukot. Essent. Fatty Acids 2011, 85, 9–28. [Google Scholar] [CrossRef]
- Kim, A.; Chiu, A.; Barone, M.K.; Avino, D.; Wang, F.; Coleman, C.I.; Phung, O.J. Green tea catechins decrease total and low-density lipoprotein cholesterol: A systematic review and meta-analysis. J. Am. Diet. Assoc. 2011, 111, 1720–1729. [Google Scholar] [CrossRef]
- Sabaté, J.; Oda, K.; Ros, E. Nut consumption and blood lipid levels: A pooled analysis of 25 intervention trials. Arch. Intern. Med. 2010, 170, 821–827. [Google Scholar] [CrossRef]
- Brenner, H.; Heiss, G. The intraindividual variability of fasting triglyceride--a challenge for further standardization. Eur. Heart J. 1990, 11, 1054–1058. [Google Scholar] [CrossRef]
- Bookstein, L.; Gidding, S.S.; Donovan, M.; Smith, F.A. Day-to-day variability of serum cholesterol, triglyceride, and high-density lipoprotein cholesterol levels. Impact on the assessment of risk according to the National Cholesterol Education Program guidelines. Arch. Intern. Med. 1990, 150, 1653–1657. [Google Scholar] [CrossRef]
- Jacobs, D.R., Jr.; Barrett-Connor, E. Retest reliability of plasma cholesterol and triglyceride. The Lipid Research Clinics Prevalence Study. Am. J. Epidemiol. 1982, 116, 878–885. [Google Scholar] [CrossRef]
- Marcovina, S.M.; Gaur, V.P.; Albers, J.J. Biological variability of cholesterol, triglyceride, low- and high-density lipoprotein cholesterol, lipoprotein(a), and apolipoproteins A-I and B. Clin. Chem. 1994, 40, 574–578. [Google Scholar] [CrossRef]
- Ikeda, I.; Tanaka, K.; Sugano, M.; Vahouny, G.V.; Gallo, L.L. Inhibition of cholesterol absorption in rats by plant sterols. J. Lipid Res. 1988, 29, 1573–1582. [Google Scholar] [CrossRef]
- Nishi, S.; Kendall, C.W.; Gascoyne, A.M.; Bazinet, R.P.; Bashyam, B.; Lapsley, K.G.; Augustin, L.S.; Sievenpiper, J.L.; Jenkins, D.J. Effect of almond consumption on the serum fatty acid profile: A dose-response study. Br. J. Nutr. 2014, 112, 1137–1146. [Google Scholar] [CrossRef]
- Wang, Q.; Zhang, H.; Jin, Q.; Wang, X. Effects of dietary linoleic acid on blood lipid profiles: A systematic review and meta-analysis of 40 randomized controlled trials. Foods 2023, 12, 2129. [Google Scholar] [CrossRef]
- Berryman, C.E.; Preston, A.G.; Karmally, W.; Deckelbaum, R.J.; Kris-Etherton, P.M. Effects of almond consumption on the reduction of LDL-cholesterol: A discussion of potential mechanisms and future research directions. Nutr. Rev. 2011, 69, 171–185. [Google Scholar] [CrossRef] [PubMed]
- Chahibakhsh, N.; Rafieipour, N.; Rahimi, H.; RajabiNezhad, S.; Momeni, S.A.; Motamedi, A.; Malekzadeh, J.; Islam, M.S.; Mohammadi-Sartang, M. Almond supplementation on appetite measures, body weight, and body composition in adults: A systematic review and dose-response meta-analysis of 37 randomized controlled trials. Obes. Rev. 2024, 25, e13711. [Google Scholar] [CrossRef] [PubMed]
- EC (European Commission). Charactaristics. Entry ID: 160, 162, 1947. Vitamin E. In Food and Feed Information Portal Database. Version 5.3.1; European Commission: Brussels, Belgium, 2025; Available online: https://ec.europa.eu/food/food-feed-portal/screen/health-claims/eu-register/details/POL-HC-6522 (accessed on 24 August 2025).
- Almond Board of California. FAQ: How much vitamin E is in almonds. In What You Need to Know About Vitamin E; Almond Board of California: Modesto, CA, USA, 2024; Available online: https://www.almonds.com/why-almonds/health-and-nutrition/nutritional-value/vitamin-E#:~:text=How%20much%20vitamin%20E%20is,foods%20for%20this%20powerful%20antioxidant (accessed on 24 August 2025).
- Eslampour, E.; Asbaghi, O.; Hadi, A.; Abedi, S.; Ghaedi, E.; Lazaridi, A.V.; Miraghajani, M. The effect of almond intake on blood pressure: A systematic review and meta-analysis of randomized controlled trials. Complement. Ther. Med. 2020, 50, 102399. [Google Scholar] [CrossRef]
- Fatahi, S.; Daneshzad, E.; Lotfi, K.; Azadbakht, L. The effects of almond consumption on inflammatory biomarkers in adults: A systematic review and meta-analysis of randomized clinical trials. Adv. Nutr. 2022, 13, 1462–1475. [Google Scholar] [CrossRef]
- Luo, B.; Mohammad, W.T.; Jalil, A.T.; Saleh, M.M.; Al-Taee, M.M.; Alshahrani, M.Y.; Mohammed, N.M.; Heydani, A. Effects of almond intake on oxidative stress parameters: A systematic review and meta-analysis of clinical trials. Complement. Ther. Med. 2023, 73, 102935. [Google Scholar] [CrossRef]
- Tsoupras, A.; Lordan, R.; Zabetakis, I. Inflammation, not cholesterol, is a cause of chronic disease. Nutrients 2018, 10, 604. [Google Scholar] [CrossRef]
- Panchal, S.K.; Brown, L. Cholesterol versus inflammation as cause of chronic diseases. Nutrients 2019, 11, 2332. [Google Scholar] [CrossRef]
- Becerra-Tomás, N.; Paz-Graniel, I.; Kendall, C.W.C.; Kahleova, H.; Rahelić, D.; Sievenpiper, J.L.; Salas-Salvadó, J. Nut consumption and incidence of cardiovascular diseases and cardiovascular disease mortality: A meta-analysis of prospective cohort studies. Nutr. Rev. 2019, 77, 691–709. [Google Scholar] [CrossRef]
- Liu, X.; Guasch-Ferré, M.; Drouin-Chartier, J.P.; Tobias, D.K.; Bhupathiraju, S.N.; Rexrode, K.M.; Willett, W.C.; Sun, Q.; Li, Y. Changes in nut consumption and subsequent cardiovascular disease risk among US Men and Women: 3 large prospective cohort studies. J. Am. Heart Assoc. 2020, 9, e013877. [Google Scholar] [CrossRef] [PubMed]
- NLA (National Lipid Association). PREDIMED study design and results. In Specialty Corner: The PREDIMED Study: Should the Mediterranean Diet Be Recommended to Prevent Cardiovascular Disease? National Lipid Association (NLA): Jacksonville, FL, USA, 2025; Available online: https://www.lipid.org/lipid-spin/fall-2017/specialty-corner-predimed-study-should-mediterranean-diet-be-recommended#:~:text=PREDIMED%20Study%20Design%20and%20Results,compared%20to%20the%20control%20diet (accessed on 24 August 2025).












| Reference | Design a (Quality) | Duration (wk) b | Country | Population c | Investigational Product | Baseline Demographics d | Background Diet e | |||||
|---|---|---|---|---|---|---|---|---|---|---|---|---|
| n (Gender) | Health Status | Almonds (n) | Control (n) | Intended Matching | Age (y) | BMI (kg/m2) | LDL-C Status f | |||||
| Abazarfard et al. [20] | P LQ | 12 | Iran | 100F | BMI ≥ 25 kg/m2 | 50 g/d (n = 50) | NFD (n = 50) | CHO, E, PRO, TF | 42.7 ± 7.1 | 29.6 ± 1.5 | N.O. | LCD |
| Berryman et al. [21] | X HQ | 6 | U.S. | 48 (22M, 26F) | OW; elevated TC and LDL-C | 42.5 g/d | 106 g/d muffin + 2.7 g/d butter | E, SFA | 49.9 ± 9.4 | 26.2 ± 2.8 | N.O. | BW maintenance diets |
| Bowen et al. [22] | SB, P HQ | 8 | Australia | 76 (45M, 31F) | OW or OB; T2D or elevated FBG | 56 g/d (n = 39) | 72 g/d biscuits (n = 37) | E | 60.7 ± 7.7 | 33.8 ± 5.6 | O | Habitual diet |
| Brown et al. [23] | SB, P HQ | 52 | New Zealand | 109 (GD NR) | Normal/ OW | 42.5 g/d (n = 57) | Cookies + crackers (n = 52) | E | 35.6 ± 13.4 | 23.7 ± 3.0 | O | Usual snacks replaced |
| Carter et al. [24] g | SB, P HQ | 36 | Australia | 106 (GD NR) | OW or OB, with HTN and HC in some subjects | 30 to 50 g/d (n = 55) | Cereal bar + rice crackers (n = 51) | E | 47.5 ± 10.9 | 30.7 ± 0.8 | O | LCD (12 wk); BW maintenance (24 wk) |
| Chen et al. [25] | X HQ | 12 | Taiwan | 33 (13M, 20F) | T2D | 60 g/d | NFD | E, PRO, PUFA, SFA | 54.9 ± 10.5 | 25.5 ± 4.2 | O | NCEP Step II BW maintenance diet |
| Coates et al. [26] g | SB, P HQ | 12 | Australia | 128 (GD NR) | OW/OB, with HTN and HC in some subjects | ~57 g/d (n = 63) | Biscuits + potato chips (n = 65) | E | 65 ± 8 | 30.4 ± 3.7 | O | Habitual diet |
| Cohen and Johnston [27] g | P HQ | 12 | U.S. | 13 (7M, 6F) | T2D | 28 g/d (n = 6) | Two sticks of cheese (n = 7) | E, TF, CHO | 66 ± 8.4 | 34.8 ± 8.0 | O | No instructions provided |
| Damasceno et al. [28] | SB, X HQ | 4 | Spain | 18 (9M, 9F) | Moderately HC | 50 to 75 g/d | 35 to 50 g/d olive oil | E, TF | 56 ± 13 | 25.7 ± 2.3 | N.O. | Mediterranean diet |
| Dhillon et al. [29] | SB, P HQ | 8 | U.S. | 73 (32M, 41F) | Low/ moderate cardio-metabolic risk | 56.7 g/d (n = 38) | 77.5 g/d graham crackers (n = 35) | E | 18.0 ± NR | 25.5 ± 4.7 | O | No instructions provided |
| Dikaryanto et al. [30] | SB, P HQ | 6 | UK | 102 (GD NR) | Above- average CVD risk | 56 g/d (n = 53) | Muffins (n = 49) | E | 56.2 ± 10.4 | 27.0 ± 4.4 | N.O. | Habitual diet |
| Foster et al. [31] | P LQ | 72 | U.S. | 92 (GD NR) | OW | 56 g/d + LCD (n = 47) | Nut-free LCD (n = 45) | N/A | 46.8 ± 12.5 | 34.0 ± 3.6 | O | Habitual diet (1 wk) followed by LCD |
| Gayathri et al. [32] | P HQ | 12 | India | 352 (GD NR) | OW and OB; elevated CMD risk factors | 43 g/d (n = 174) | NFD (n = 178) | N/A | 37.7 ± 8.6 | 28.5 ± 3.8 | O | Habitual diet |
| Gravesteijn et al. [33] | X LQ | 21 | NL | 34 (22M, 12F) | OW and OB; prediabetic | 50 g/d | NFD | N/A | 63.7 ± 10.1 | 29.6 ± 5.3 | N.O. | Dutch dietary guidelines |
| Gulati et al. [34] | P HQ | ~13 (90 d) | India | 60 (GD NR) | Prediabetic | 60 g/d (n = 30) | NFD (n = 30) | N/A | 42.0 ± 8.2 | 31 ± 4.2 | O | Guidelines for Asian Indians |
| Huang et al. [35] | P HQ | 16 | U.S. | 81 (23M, 58F) | Elevated HbA1c | 56 g/d (n = 39) | 83.4 g/d pretzels (n = 42) | E | 49.4 ± 12.6 | 35.2 ± 7.7 | O | No guidance provided |
| Hunter et al. [36] | P HQ | 24 | U.S. | 118 (GD NR) | OW or OB | 42.5 g/d (n = 59) | NFD (n = 59) | N/A | 37.0 ± NR | 33.5 ± NR | O | Habitual diet |
| Jenkins et al. [37] (st 1) | X LQ | 4 | Canada | 27 (15M, 12F) | HC | 37 ± 2 g/d | 75 ± 3 g/d muffins | E, FIB, PRO, PUFA, SFA | 64 ± 9 | 25.7 ± 3.0 | N.O. | Low-fat therapeutic diet |
| Jenkins et al. [37] (st 2) | 73 ± 3 g/d | 147 ± 6 g/d muffins | ||||||||||
| Jia et al. [38] (st 1) | P HQ | 4 | China | 30M | Habitual smokers | 84 g/d (n = 10) | NFD (n = 10) | NR | 22.3 ± 1.8 | NR | O | Army unit canteen |
| Jia et al. [38] (st 2) | 168 g/d (n = 10) | 22.1 ± 1.8 | ||||||||||
| Jung et al. [39] | X HQ | 4 | Republic of Korea | 84 (11M, 73F) | OW/OB | 56 g/d | 70 g/d cookies | E | 52.4 ± 0.6 | 25.4 ± 0.22 | O | Habitual diet |
| Kurlandsky and Stote [40] (st 1) | P HQ | 6 | U.S. | 47F | HC | 60 g/d (n = 12) | NFD (n = 12) | N/A | 46.6 ± 10.4 | 25.7 ± 3.8 | O | Self-selected diet based on NCEP ATP III TLC diet guidelines |
| Kurlandsky and Stote [40] (st 2) | 60 g/d + 41 g/d dark chocolate (n = 11) | 41 g/d dark chocolate (n = 12) | N/A | 41.1 ± 11.1 | 25.5 ± 3.8 | |||||||
| Lee et al. [41] (st 1) | SB, X LQ | 4 | U.S. | 31 (18M, 13F) | OW and OB; mildly elevated LDL-C | 42.5 g/d | Butter, cheese, and refined grains | E | 46.3 ± 10.0 | 29.6 ± 2.8 | N.O. | Typical American diet |
| Lee et al. [41] (st 2) | 42.5 g/d + 18 g/d natural cocoa + 43 g/d dark chocolate | 18 g/d cocoa powder + 43 g/d dark chocolate | E | |||||||||
| Li et al. [42] | X HQ | 4 | Taiwan | 20 (9M, 11F) | T2D; HC | 56 g/d | NFD | E, PRO, SFA | 58 ± 8.9 | 26.0 ± 3.1 | N.O. | BW maintenance NCEP Step II diet |
| Liu et al. [43] (st 1) | SB, P LQ | 16 | Republic of Korea | 169 (77M, 92F) | Healthy | Pre-meal: 56 g/d (n = 58) | 66 g/d cookies (n = 56) | E | 26.33 ± 5.55 | 22.59 ± 3.04 | O | Habitual diet |
| Liu et al. [43] (st 2) | Snack: 56 g/d (n = 55) | |||||||||||
| Lovejoy et al. [44] (st 1) | DB, X HQ | 4 | U.S. | 30 (13M, 17F) | T2D | High fat: 57 to 113 g/d, depending on EER (37% fat, 10% from almonds) | High fat: olive or canola oil (37% fat, 10% from MUFAs in oil) | CHO, E, MUFA, PRO, PUFA, SFA, TF | 53.8 ± 10.4 | 33.0 ± 5.47 | O | BW maintenance diets |
| Lovejoy et al. [44] (st 2) | Low fat: 57 to 113 g/d, depending on EER (25% fat, 10% from almonds) | Low fat: olive or canola oil (25% fat, 10% from MUFAs in oil) | CHO, E, MUFA, PRO, PUFA, SFA, TF | |||||||||
| Mustra Rakic et al. [45] (st 1) | SB, P HQ | 24 | U.S. | 60 (33M, 27F) | OW and OB | 42 g/d (n = 19) | 100 g/d snack mix (n = 17) | E, PRO, TF | 62.3 ± 5.9 | 29.0 ± 2.7 | O | BW maintenance diets |
| Mustra Rakic et al. [45] (st 2) | 84 g/d (n = 24) | CHO | 61.4 ± 6.4 | 29.0 ± 2.7 | ||||||||
| Palacios et al. [46] | X LQ | 6 | U.S. | 33 (17M, 16F) | OW and OB; prediabetes | 85 g/d | CHO-based foods | E | 48.3 ± 12.64 | 30.5 ± 4.02 | O | Habitual diet |
| Rayo et al. [47] | X HQ | 8 | U.S. | 26 (GD NR) | OW | 57 g/d | 86.5 g/d isocaloric pretzels | E | 37.2 ± 6.3 | 26.2 ± 3.1 | O | Habitual diet |
| Ruisinger et al. [48] | P HQ | 4 | U.S. | 48 (24M, 24F) | On stable statin therapy | 100 g/d (n = 22) | NFD (n = 26) | N/A | 59.6 ± 11.0 | 29.2 ± 4.3 | O | ATP-III TLC diet |
| Sabaté et al. [49] (st 1) | X HQ | 4 | U.S. | 25 (14M, 11F) | Mildly HC | 34 g/d | NFD | E, PRO | 41 ± 13 | NR | N.O. | Isoenergetic NCEP Step I diets |
| Sabaté et al. [49] (st 1) | 68 g/d | |||||||||||
| Siegel et al. [50] | X HQ | 8 | UK | 25 (11M, 14F) | Mildly OW | 57 g/d | 86 g/d pretzels | E | 35.1 ± 4.7 | 25.8 ± 3.6 | O | Habitual diet |
| Spiller et al. [51] (st 1) | P HQ | 4 | U.S. | 45 (12M, 33F) | HC | 100 g/d (n = 18) | 48 g olive oil + 113 g cottage cheese + 21 g rye crackers/d (n = 15) | E, TF, PRO | 53 ± 10 | NR | N.O. | Some foods provided for participants to prepare (e.g., lentils) |
| Spiller et al. [51] (st 2) | 85 g cheddar cheese + 28 g butter + 21 g rye crackers/d (n = 12) | E, TF, PRO | ||||||||||
| Sweazea et al. [52] g | P HQ | 12 | U.S. | 21 (9M, 12F) | T2D | 43 g/d (n = 10) | NFD (n = 11) | N/A | 56.2 ± 7.5 | 35.3 ± 8.3 | O | Habitual diet |
| Tamizifar et al. [53] | SB, X HQ | 4 | Iran | 30 (17M, 13F) | Mildly HC | 25 g/d | NFD | E, CHO, PRO | 56 ± 6.1 | 24.1 ± 4.5 | N.O. | NCEP Step I diet |
| Tan and Mattes [54] (st 1) | P HQ | 4 | Australia | 137 (48M, 89F) | OW or OB; increased T2D risk | Breakfast: 43 g/d (n = 28) | NFD (n = 27) | N/A | 30.8 ± 10.6 | 27.6 ± 4.6 | O | Habitual diet |
| Tan and Mattes [54] (st 2) | Morning snack: 43 g/d (n = 28) | 28.2 ± 10.2 | 27.9 ± 4.7 | |||||||||
| Tan and Mattes [54] (st 3) | Lunch: 43 g/d (n = 26) | 29.0 ± 11.7 | 28.0 ± 4.2 | |||||||||
| Tan and Mattes [54] (st 4) | Afternoon snack: 43 g/d (n = 28) | 28.9 ± 10.8 | 27.6 ± 4.8 | |||||||||
| Wien et al. [55] | P HQ | 16 | U.S. | 54 (GD NR) | Prediabetic | 60 g/d + ADA diet (n = 25) | NFD (n = 29) | E | 53.5 ± 10.0 | 29.5 ± 5.0 | O | ADA diet plan |
| Outcome | WMD (95% CI) | p-Value | Heterogeneity | Publication Bias | ||
|---|---|---|---|---|---|---|
| I2 (%) | p-Value | Missing (L or R of WMD) a | WMD (95% CI) b | |||
| LDL-C (mmol/L) (n = 35 studies, 46 strata, 2455 subjects) | −0.132 (−0.190, −0.075) | <0.001 | 63.215 | <0.001 | 5 (R) | −0.11 (−0.16, −0.05) |
| TC (mmol/L) (n = 36 studies, 48 strata, 2485 subjects) | −0.160 (−0.218, −0.101) | <0.001 | 31.123 | 0.034 | 3 (R) | −0.13 (−0.20, −0.07) |
| HDL-C (mmol/L) (n = 34 studies, 45 strata, 2442 subjects) | −0.002 (−0.020, 0.016) | 0.815 | 32.936 | 0.029 | 0 (L) | N/A; no publication bias |
| Non-HDL-C (mmol/L) (n = 8 studies, 10 strata, 621 subjects) | −0.204 (−0.281, −0.127) | <0.001 | 0.000 | 0.901 | 1 (R) | −0.20 (−0.27, −0.12) |
| TC:HDL-C (n = 15 studies, 18 strata, 1050 subjects) | −0.154 (−0.246, −0.063) | 0.001 | 38.129 | 0.061 | 5 (R) | −0.07 (−0.18, 0.03) |
| LDL-C:HDL-C (n = 8 studies, 11 strata, 285 subjects) | −0.112 (−0.199, −0.026) | 0.011 | 0.000 | 0.936 | 2 (R) | −0.10 (−0.19, −0.02) |
| TG (mmol/L) (n = 36 studies, 48 strata, 2485 subjects) | −0.037 (−0.079, 0.005) | 0.085 | 23.299 | 0.097 | 3 (R) | −0.02 (−0.07, 0.03) |
| ApoA (mg/dL) c (n = 12 studies, 15 strata, 886 subjects) | −0.714 (−2.830, 1.402) | 0.508 | 0.000 | 0.965 | 2 (L) | −0.93 (−3.01, 1.15) |
| ApoB (mg/dL) (n = 12 studies, 15 strata, 886 subjects) | −4.552 (−6.460, −2.645) | <0.001 | 4.349 | 0.403 | 0 (R) | N/A; no publication bias |
| ApoB:ApoA d (n = 7 studies, 10 strata, 268 subjects) | −0.027 (−0.046, −0.008) | 0.006 | 0.000 | 0.955 | 1 (R) | −0.03 (−0.05, −0.01) |
| Lp(a) (mg/dL) (n = 6 studies, 9 strata, 197 subjects) | 0.563 (−0.366, 1.492) | 0.235 | 0.000 | 0.996 | 4 (R) | 0.69 (−0.19, 1.57) |
Disclaimer/Publisher’s Note: The statements, opinions and data contained in all publications are solely those of the individual author(s) and contributor(s) and not of MDPI and/or the editor(s). MDPI and/or the editor(s) disclaim responsibility for any injury to people or property resulting from any ideas, methods, instructions or products referred to in the content. |
© 2025 by the authors. Licensee MDPI, Basel, Switzerland. This article is an open access article distributed under the terms and conditions of the Creative Commons Attribution (CC BY) license (https://creativecommons.org/licenses/by/4.0/).
Share and Cite
Musa-Veloso, K.; Gauntlett, C.; Geronimo, K.; Vicente, I.; Ho, S.P.L. Blood Lipid Levels in Response to Almond Consumption: A Systematic Review and Meta-Analysis of Randomized Controlled Trials. Nutrients 2025, 17, 2791. https://doi.org/10.3390/nu17172791
Musa-Veloso K, Gauntlett C, Geronimo K, Vicente I, Ho SPL. Blood Lipid Levels in Response to Almond Consumption: A Systematic Review and Meta-Analysis of Randomized Controlled Trials. Nutrients. 2025; 17(17):2791. https://doi.org/10.3390/nu17172791
Chicago/Turabian StyleMusa-Veloso, Kathy, Caroline Gauntlett, Katrina Geronimo, Isabella Vicente, and Samuel Pak Lam Ho. 2025. "Blood Lipid Levels in Response to Almond Consumption: A Systematic Review and Meta-Analysis of Randomized Controlled Trials" Nutrients 17, no. 17: 2791. https://doi.org/10.3390/nu17172791
APA StyleMusa-Veloso, K., Gauntlett, C., Geronimo, K., Vicente, I., & Ho, S. P. L. (2025). Blood Lipid Levels in Response to Almond Consumption: A Systematic Review and Meta-Analysis of Randomized Controlled Trials. Nutrients, 17(17), 2791. https://doi.org/10.3390/nu17172791

