Dietitians’ Adherence and Perspectives on the European Association for the Study of Obesity (EASO) and the European Federation of the Associations of Dietitians (EFAD) Recommendations for Overweight and Obesity Management: A Mixed-Methods Study
Abstract
1. Introduction
2. Materials and Methods
2.1. Ethical Clearance
2.2. Study Design, Participants, and Tools
2.3. Statistical Analysis
2.4. Thematic Analysis
3. Results
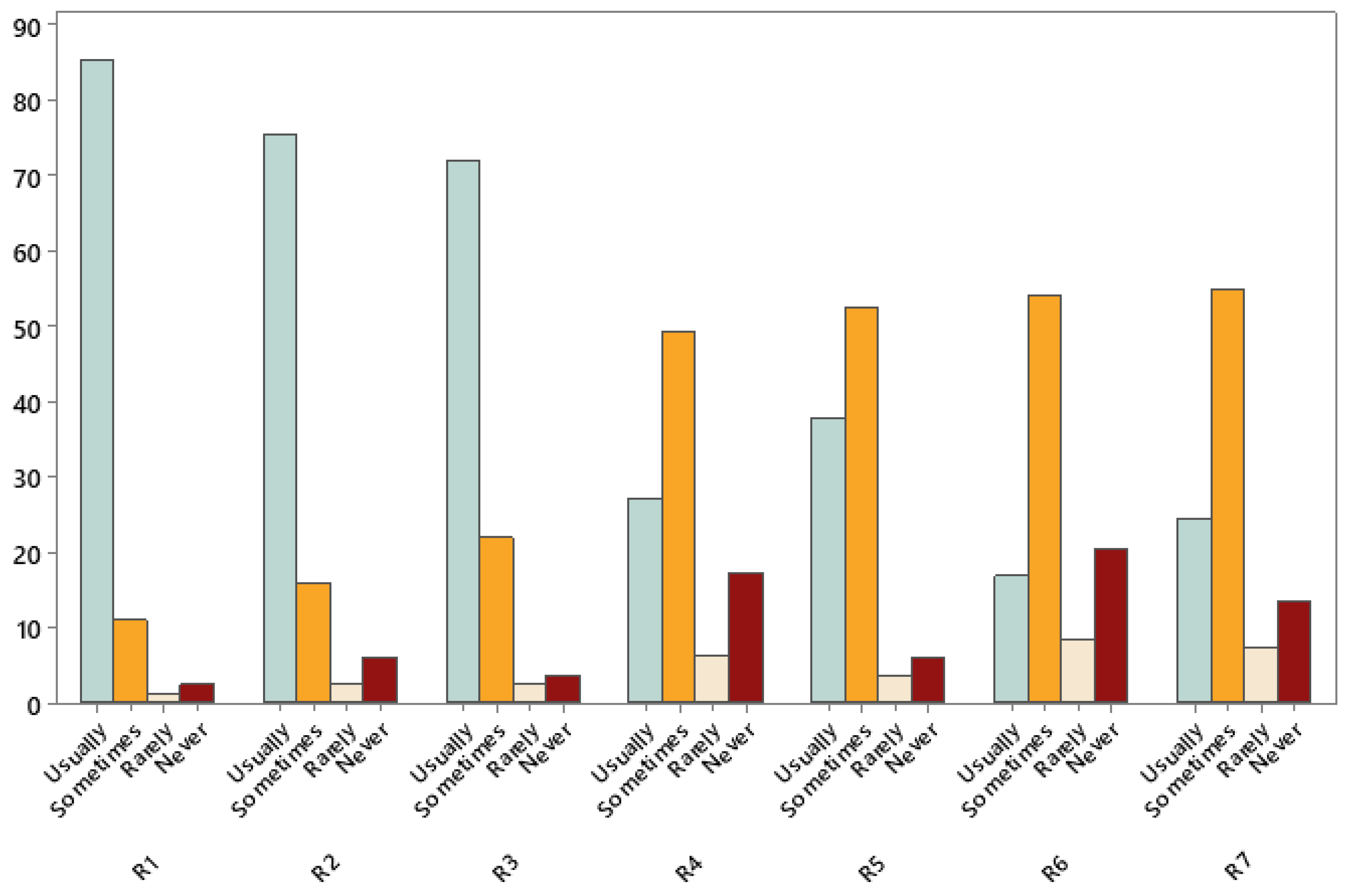
3.1. Questionnaire Survey
3.2. Interviews
3.2.1. Theme 1: Language Barriers Limit Accessibility
“The guidelines being only in English is a problem; it limits uptake from dietitians who don’t speak English fluently. If the guidelines were translated into other European languages, more dietitians could use them.”
3.2.2. Theme 2: Rapidly Evolving Field Requires Updated and Flexible Recommendations
“Obesity management is fast evolving, so recommendations and how they are worded need to keep pace.”
3.2.3. Theme 3: Multidisciplinarity, Staffing, and Resource Constraints Limit Implementation
“There is a lack of dietitians overall. Obesity is now recognized as a chronic disease by countries with subsidized healthcare, but the volume of patients living with obesity far exceeds available dietitian capacity.”
“There is a clear lack of knowledge and training in other professionals, which affects how they support dietary interventions. To effectively use some of the specific diets mentioned, reskilling of healthcare professionals is needed.”
3.2.4. Theme 4: Emphasis on Health over Weight as an Outcome
“I focus more on health than weight as an outcome, so I could not agree with the wording of some of the statements, although in practice I am implementing individualized nutrition therapy.”
4. Discussion
5. Conclusions
Author Contributions
Funding
Institutional Review Board Statement
Informed Consent Statement
Data Availability Statement
Acknowledgments
Conflicts of Interest
Abbreviations
| EASO | European Association for the Study of Obesity |
| EFAD | European Federation of the Associations of Dietitians |
| MNT | Medical nutrition therapy |
| HCPs | Healthcare professionals |
Appendix A. Online Survey Questions
- You will be shown a number of statements/recommendations from the paper, and asked your views about each.
| 1. Which of the following best describes you in relation to this paper? |
Not aware of it, have not read it |
Aware of it, have not read it |
Aware of it, have read it |
| 2. In relation to national guidance or best practice for this statement, which of the following applies? |
| Adults living with obesity should receive individualized medical nutrition therapy provided by a registered dietitian (when available) to improve weight outcomes (body weight, BMI), waist circumference, glycemic control, established blood lipid targets, including LDL-C, triglycerides, and blood pressure. |
This is already in my country’s national guidance or best practice for obesity |
This is not in our current national guidance or best practice for obesity |
We do not have national guidance or best practice for obesity |
Other (please tell us more in Q23 below) |
| 3. In relation to current practice for this statement, which of the following applies? |
| Adults living with obesity should receive individualized medical nutrition therapy provided by a registered dietitian (when available) to improve weight outcomes (body weight, BMI), waist circumference, glycemic control, established blood lipid targets, including LDL-C, triglycerides, and blood pressure. |
This is usually done in practice |
This is sometimes done in practice |
This is rarely done in practice |
This is never done in practice |
| 4. In relation to national guidance or best practice for this statement, which of the following applies? |
| Adults living with obesity and type 2 diabetes should consider intensive behavioural interventions that target 7–15% weight loss to increase the remission of type 2 diabetes, reduce the incidence of nephropathy, obstructive sleep apnea and depression. |
This is already in my country’s national guidance or best practice for obesity |
This is not in our current national guidance or best practice for obesity |
We do not have national guidance or best practice for obesity |
Other (please tell us more in Q23 below) |
| 5. In relation to current practice for this statement, which of the following applies? |
| Adults living with obesity and type 2 diabetes should consider intensive behavioural interventions that target 7–15% weight loss to increase the remission of type 2 diabetes, reduce the incidence of nephropathy, obstructive sleep apnea and depression. |
This is usually done in practice |
This is sometimes done in practice |
This is rarely done in practice |
This is never done in practice |
| 6. In relation to national guidance or best practice for this statement, which of the following applies? |
| Adults living with obesity and impaired glucose tolerance (prediabetes) should consider intensive behavioral interventions that target 5–7% weight loss to improve glycemic control, blood pressure, blood lipids, reduce incident of type 2 diabetes, microvascular complications and cardiovascular and all-cause mortality. |
This is already in my country’s national guidance or best practice for obesity |
This is not in our current national guidance or best practice for obesity |
We do not have national guidance or best practice for obesity |
Other (please tell us more in Q23 below) |
| 7. In relation to current practice for this statement, which of the following applies? |
| Adults living with obesity and impaired glucose tolerance (prediabetes) should consider intensive behavioral interventions that target 5–7% weight loss to improve glycemic control, blood pressure, blood lipids, reduce incident of type 2 diabetes, microvascular complications and cardiovascular and all-cause mortality. |
This is usually done in practice |
This is sometimes done in practice |
This is rarely done in practice |
This is never done in practice |
| 8. In relation to national guidance or best practice for this statement, which of the following applies? |
| Portfolio dietary pattern to improve established blood lipid targets, including LDL-C, apo B, and non-HDL-C. |
This is already in my country’s national guidance or best practice for obesity |
This is not in our current national guidance or best practice for obesity |
We do not have national guidance or best practice for obesity |
Other (please tell us more in Q23 below) |
| 9. In relation to current practice for this statement, which of the following applies? |
| Portfolio dietary pattern to improve established blood lipid targets, including LDL-C, apo B, and non-HDL-C. |
This is usually done in practice |
This is sometimes done in practice |
This is rarely done in practice |
This is never done in practice |
| 10. In relation to national guidance or best practice for this statement, which of the following applies? |
| Dietary Approaches to Stop Hypertension (DASH) dietary pattern to reduce body weight and waist circumference. |
This is already in my country’s national guidance or best practice for obesity |
This is not in our current national guidance or best practice for obesity |
We do not have national guidance or best practice for obesity |
Other (please tell us more in Q23 below) |
| 11. In relation to current practice for this statement, which of the following applies? |
| Dietary Approaches to Stop Hypertension (DASH) dietary pattern to reduce body weight and waist circumference. |
This is usually done in practice |
This is sometimes done in practice |
This is rarely done in practice |
This is never done in practice |
| 12. In relation to national guidance or best practice for this statement, which of the following applies? |
| Partial meal replacements (replacing one to two meals/day as part of a calorie-restricted intervention) to reduce body weight, waist circumference, blood pressure and improve glycemic control. |
This is already in my country’s national guidance or best practice for obesity |
This is not in our current national guidance or best practice for obesity |
We do not have national guidance or best practice for obesity |
Other (please tell us more in Q23 below) |
| 13. In relation to current practice for this statement, which of the following applies? |
| Partial meal replacements (replacing one to two meals/day as part of a calorie-restricted intervention) to reduce body weight, waist circumference, blood pressure and improve glycemic control. |
This is usually done in practice |
This is sometimes done in practice |
This is rarely done in practice |
This is never done in practice |
| 14. In relation to national guidance or best practice for this statement, which of the following applies? |
| Intermittent or continuous calorie restriction achieved similar short-term body weight reduction. |
This is already in my country’s national guidance or best practice for obesity |
This is not in our current national guidance or best practice for obesity |
We do not have national guidance or best practice for obesity |
Other (please tell us more in Q23 below) |
| 15. In relation to current practice for this statement, which of the following applies? |
| Intermittent or continuous calorie restriction achieved similar short-term body weight reduction. |
This is usually done in practice |
This is sometimes done in practice |
This is rarely done in practice |
This is never done in practice |
| 16. If you answered ‘other’ to any of the questions above, please tell us more about your answers. |
![]() |
| 17. What would be difficult for you in changing your current advice to include the recommendations above? |
![]() |
| 18. What would help you overcome these difficulties? |
![]() |
Appendix B. Topic Guide of Semi-Structured Interviews
| Interview questions |
| 1. Looking at the recommendations, what would be new to your practice? What would you have to do differently? |
| 2. What, in your opinion, is the most important of the recommendations to implement? |
| 3. Which of the recommendations would you say you (and colleagues) already include in their practice? |
| 4. Thinking about making changes to your practice to implement the new recommendations, what would make change difficult for you? |
| 5. What would help you overcome those difficulties? |
| 6. What resources (e.g., podcasts, webinars, infographics), would help you in implementing the new recommendations? |
| 7. Is there anything else you would like to add? |
References
- NCD Risk Factor Collaboration (NCD-RisC). Worldwide trends in underweight and obesity from 1990 to 2022: A pooled analysis of 3663 population-representative studies with 222 million children, adolescents, and adults. Lancet 2024, 403, 1027–1050. [Google Scholar] [CrossRef]
- World Health Organization. European Regional Obesity Report 2022. WHO Regional Office for Europe. 2022. Available online: https://iris.who.int/bitstream/handle/10665/353747/9789289057738-eng.pdf (accessed on 15 July 2025).
- Vlassopoulos, A.; Govers, E.; Mulrooney, H.; Androutsos, O.; Hassapidou, M. Dietetic management of obesity in Europe: Gaps in current practice. Eur. J. Clin. Nutr. 2021, 75, 1155–1158. [Google Scholar] [CrossRef]
- Hassapidou, M.; Vlassopoulos, A.; Kalliostra, M.; Govers, E.; Mulrooney, H.; Ells, L.; Ramos Salas, X.; Muscogiuri, G.; Handjieva Darleska, T.; Busetto, L.; et al. European Association for the Study of Obesity position statement on medical nutrition therapy for the management of overweight and obesity in adults developed in collaboration with the European Federation of the Associations of Dietitians. Obes. Facts 2023, 16, 11–28. [Google Scholar] [CrossRef]
- Diamantis, D.V.; Karatzi, K.; Kantaras, P.; Liatis, S.; Iotova, V.; Bazdraska, Y.; Tankova, T.; Cardon, G.; Wikström, K.; Rurik, I.; et al. Prevalence and Socioeconomic Correlates of Adult Obesity in Europe: The Feel4Diabetes Study. Int. J. Environ. Res. Public Health 2022, 19, 12572. [Google Scholar] [CrossRef] [PubMed] [PubMed Central]
- Clark, J.M.; Garvey, W.T.; Niswender, K.D.; Schmidt, A.M.; Ahima, R.S.; Aleman, J.O.; Battarbee, A.N.; Beckman, J.; Bennett, W.L.; Brown, N.J.; et al. Obesity and Overweight: Probing Causes, Consequences, and Novel Therapeutic Approaches Through the American Heart Association’s Strategically Focused Research Network. J. Am. Heart Assoc. 2023, 12, e027693. [Google Scholar] [CrossRef]
- Yumuk, V.; Tsigos, C.; Fried, M.; Schindler, K.; Busetto, L.; Micic, D.; Toplak, H. Obesity Management Task Force of the European Association for the Study of Obesity. European Guidelines for Obesity Management in Adults. Obes. Facts 2015, 8, 402–424, Erratum in: Obes. Facts 2016, 9, 64. https://doi.org/10.1159/000444869. [Google Scholar] [CrossRef] [PubMed] [PubMed Central]
- Cornier, M.A. A review of current guidelines for the treatment of obesity. Am. J. Manag. Care 2022, 28 (Suppl. S15), S288–S296. [Google Scholar] [CrossRef] [PubMed]
- Carrasco, D.; Thulesius, H.; Jakobsson, U.; Memarian, E. Primary care physicians’ knowledge and attitudes about obesity, adherence to treatment guidelines and association with confidence to treat obesity: A Swedish survey study. BMC Prim. Care 2022, 23, 208. [Google Scholar] [CrossRef] [PubMed] [PubMed Central]
- Boaventura, B.; Stanford, F.C. Dietitians’ role in obesity care: Insights from the Academy of Nutrition and Dietetics. Hepatobiliary Surg. Nutr. 2025, 14, 159–162. [Google Scholar] [CrossRef] [PubMed]
- Abild, C.B.; Klein, A.K.; Klindt, T.; Bruun, J.M.; Dalstrup Pauls, D. Dietitians’ utilization, attitudes, and experiences towards low-energy diets and very low-energy diets in dietary treatment of obesity. Int. J. Obes. 2025, 49, 1412–1415. [Google Scholar] [CrossRef] [PubMed] [PubMed Central]
- Semlitsch, T.; Stigler, F.L.; Jeitler, K.; Horvath, K.; Siebenhofer, A. Management of overweight and obesity in primary care-A systematic overview of international evidence-based guidelines. Obes. Rev. 2019, 20, 1218–1230. [Google Scholar] [CrossRef] [PubMed] [PubMed Central]
- Abbott, S.; Parretti, H.M.; Greenfield, S. Experiences and perceptions of dietitians for obesity management: A general practice qualitative study. J. Hum. Nutr. Diet. 2021, 34, 494–503. [Google Scholar] [CrossRef] [PubMed]
- Jeffers, L.; Manner, J.; Jepson, R.; McAteer, J. Healthcare professionals’ perceptions and experiences of obesity and overweight and its management in primary care settings: A qualitative systematic review. Prim. Health Care Res. Dev. 2024, 25, e5. [Google Scholar] [CrossRef]
- Braun, V.; Clarke, V. Using thematic analysis in psychology. Qual. Res. Psychol. 2006, 3, 77–101. [Google Scholar] [CrossRef]
- Wosny, M.; Strasser, L.M.; Hastings, J. Experience of health care professionals using digital tools in the hospital: Qualitative systematic review. JMIR Hum. Factors 2023, 10, e50357. [Google Scholar] [CrossRef]
- Jones, A.; Mitchell, L.J.; O’Connor, R.; Rollo, M.E.; Slater, K.; Williams, L.T.; Ball, L. Investigating the perceptions of primary care dietitians on the use of information technology in their workplace: Qualitative study. JMIR Med. Inform. 2018, 6, e43. [Google Scholar] [CrossRef]
- Manaf, Z.A.; Rosli, M.H.M.; Noor, N.M.; Jamil, N.A.; Mazri, F.H.; Shahar, S. Exploring dietitians’ views on digital nutrition educational tools in Malaysia: A qualitative study. Nutr. Res. Pract. 2024, 18, 294–307. [Google Scholar] [CrossRef] [PubMed]
- Crowley, J.; Ball, L.; Hiddink, G.J. Nutrition in medical education: A systematic review. Lancet Planet. Health 2019, 3, e379–e389. [Google Scholar] [CrossRef]
- Wilson, T.; Bendich, A. Nutrition guidelines for improved clinical care. Med. Clin. N. Am. 2022, 106, 819–836. [Google Scholar] [CrossRef]
- Krishnan, S.; Sytsma, T.; Wischmeyer, P.E. Addressing the urgent need for clinical nutrition education in postgraduate medical training: New programs and credentialing. Adv. Nutr. 2024, 15, 100321. [Google Scholar] [CrossRef]
- Magni, P.; Bier, D.M.; Pecorelli, S.; Agostoni, C.; Astrup, A.; Brighenti, F.; Cook, R.; Folco, E.; Fontana, L.; Gibson, R.A.; et al. Perspective: Improving Nutritional Guidelines for Sustainable Health Policies: Current Status and Perspectives. Adv. Nutr. 2017, 8, 532–545. [Google Scholar] [CrossRef] [PubMed]
- Mozaffarian, D.; Angell, S.Y.; Lang, T.; Rivera, J.A. Role of government policy in nutrition—Barriers to and opportunities for healthier eating. BMJ 2018, 361, k2426. [Google Scholar] [CrossRef]
- Béné, C.; Fanzo, J.; Prager, S.D.; Achicanoy, H.A.; Mapes, B.R.; Alvarez Toro, P.; Ezzine-de-Blas, D.; MacMillan, S.; Thorlakson, T.; Herrero, M. Global drivers of food system (un)sustainability: A multi-country correlation analysis. PLoS ONE 2020, 15, e0231071. [Google Scholar] [CrossRef] [PubMed]
- Augustus, E.; Haynes, E.; Guell, C.; Morrissey, K.; Murphy, M.M.; Halliday, C.; Jia, L.; Iese, V.; Anderson, S.G.; Unwin, N. The impact of nutrition-based interventions on nutritional status and metabolic health in Small Island Developing States: A systematic review and narrative synthesis. Nutrients 2022, 14, 3529. [Google Scholar] [CrossRef]
- Abeltino, A.; Riente, A.; Bianchetti, G.; Serantoni, C.; De Spirito, M.; Capezzone, S.; Esposito, R.; Maulucci, G. Digital applications for diet monitoring, planning, and precision nutrition for citizens and professionals: A state of the art. Nutr. Rev. 2025, 83, e574–e601. [Google Scholar] [CrossRef]
- World Health Organization. Reformulation of Food and Beverage Products for Healthier Diets: Policy Brief. 2022. Available online: https://iris.who.int/bitstream/handle/10665/355755/9789240039919-eng.pdf (accessed on 15 July 2025).
- Ramage, S.; Farmer, A.; Eccles, K.A.; McCargar, L. Healthy strategies for successful weight loss and weight maintenance: A systematic review. Appl. Physiol. Nutr. Metab. 2014, 39, 1–20. [Google Scholar] [CrossRef]
- van Baak, M.A.; Mariman, E.C.M. Dietary Strategies for Weight Loss Maintenance. Nutrients 2019, 11, 1916. [Google Scholar] [CrossRef]
- Kim, J.Y. Optimal Diet Strategies for Weight Loss and Weight Loss Maintenance. J. Obes. Metab. Syndr. 2020, 30, 20–31. [Google Scholar] [CrossRef] [PubMed]
- Clarke, V.; Braun, V. Successful Qualitative Research: A Practical Guide for Beginners; SAGE Publications Ltd.: London, UK, 2013. [Google Scholar]
- Bryman, A. Social Research Methods; Oxford University Press: Oxford, UK, 2016. [Google Scholar]


| In Relation to Your Country’s Guidance, Tick the Box That Best Suits | Already in Guidance | Not in Guidance | No Guidance |
|---|---|---|---|
| Recommendations [4] | N (%) | ||
| R1. Adults living with obesity should receive individualized MNT by RDs to improve weight outcomes, glycemic control, blood lipids, BP | 36 (43.4%) | 21 (25.3%) | 26 (31.3%) |
| R2. Adults living with obesity and type 2 diabetes should consider intensive behavioral interventions (7–15% weight loss) | 32 (40.0%) | 22 (27.5%) | 26 (32.5%) |
| R3. Adults living with obesity and impaired glucose tolerance should consider intensive behavioral interventions (5–7% weight loss) | 40 (48.2%) | 18 (21.7%) | 25 (30.1%) |
| R4. Portfolio dietary pattern to improve established blood lipid targets | 12 (16.9%) | 39 (54.94%) | 20 (28.2%) |
| R5. Dietary Approaches to Stop Hypertension (DASH) dietary pattern to reduce body weight and waist circumference | 30 (38.5%) | 27 (34.6%) | 21 (26.9%) |
| R6. Partial meal replacements to improve BW, WC, BP, glycemic control | 17 (21.0%) | 41 (50.6%) | 23 (28.4%) |
| R7. Intermittent or continuous calorie restriction achieves similar short-term BW reduction | 17 (20.2%) | 40 (47.6%) | 27 (32.1%) |
Disclaimer/Publisher’s Note: The statements, opinions and data contained in all publications are solely those of the individual author(s) and contributor(s) and not of MDPI and/or the editor(s). MDPI and/or the editor(s) disclaim responsibility for any injury to people or property resulting from any ideas, methods, instructions or products referred to in the content. |
© 2025 by the authors. Licensee MDPI, Basel, Switzerland. This article is an open access article distributed under the terms and conditions of the Creative Commons Attribution (CC BY) license (https://creativecommons.org/licenses/by/4.0/).
Share and Cite
Androutsos, O.; Mulrooney, H.; Svolos, V.; Vlassopoulos, A.; Govers, E.; Hasssapidou, M. Dietitians’ Adherence and Perspectives on the European Association for the Study of Obesity (EASO) and the European Federation of the Associations of Dietitians (EFAD) Recommendations for Overweight and Obesity Management: A Mixed-Methods Study. Nutrients 2025, 17, 2736. https://doi.org/10.3390/nu17172736
Androutsos O, Mulrooney H, Svolos V, Vlassopoulos A, Govers E, Hasssapidou M. Dietitians’ Adherence and Perspectives on the European Association for the Study of Obesity (EASO) and the European Federation of the Associations of Dietitians (EFAD) Recommendations for Overweight and Obesity Management: A Mixed-Methods Study. Nutrients. 2025; 17(17):2736. https://doi.org/10.3390/nu17172736
Chicago/Turabian StyleAndroutsos, Odysseas, Hilda Mulrooney, Vaios Svolos, Antonis Vlassopoulos, Elisabeth Govers, and Maria Hasssapidou. 2025. "Dietitians’ Adherence and Perspectives on the European Association for the Study of Obesity (EASO) and the European Federation of the Associations of Dietitians (EFAD) Recommendations for Overweight and Obesity Management: A Mixed-Methods Study" Nutrients 17, no. 17: 2736. https://doi.org/10.3390/nu17172736
APA StyleAndroutsos, O., Mulrooney, H., Svolos, V., Vlassopoulos, A., Govers, E., & Hasssapidou, M. (2025). Dietitians’ Adherence and Perspectives on the European Association for the Study of Obesity (EASO) and the European Federation of the Associations of Dietitians (EFAD) Recommendations for Overweight and Obesity Management: A Mixed-Methods Study. Nutrients, 17(17), 2736. https://doi.org/10.3390/nu17172736



